Evaluation of Pectin Extraction Conditions and Polyphenol Profile from Citrus x lantifolia Waste: Potential Application as Functional Ingredients
Abstract
:1. Introduction
2. Materials and Methods
2.1. Biological Materials and Reagents
2.2. Flour Waste Preparation and Characterization
2.3. Polyphenol Extraction, Total Polyphenol Quantification (TPC), and Antioxidant Activity
2.4. Polyphenol Identification and Quantification by HPLC
2.5. Pectin Extraction
2.6. Pectin Physicochemical Characterization
2.7. Cookie Elaboration, Water Activity (aW), Water Content (%), Physical and Textural Determinations
2.8. Statistical Analysis
3. Results
3.1. Flour Citrus Waste Characterization
3.2. TPC, Antioxidant Activity and Polyphenol Profile
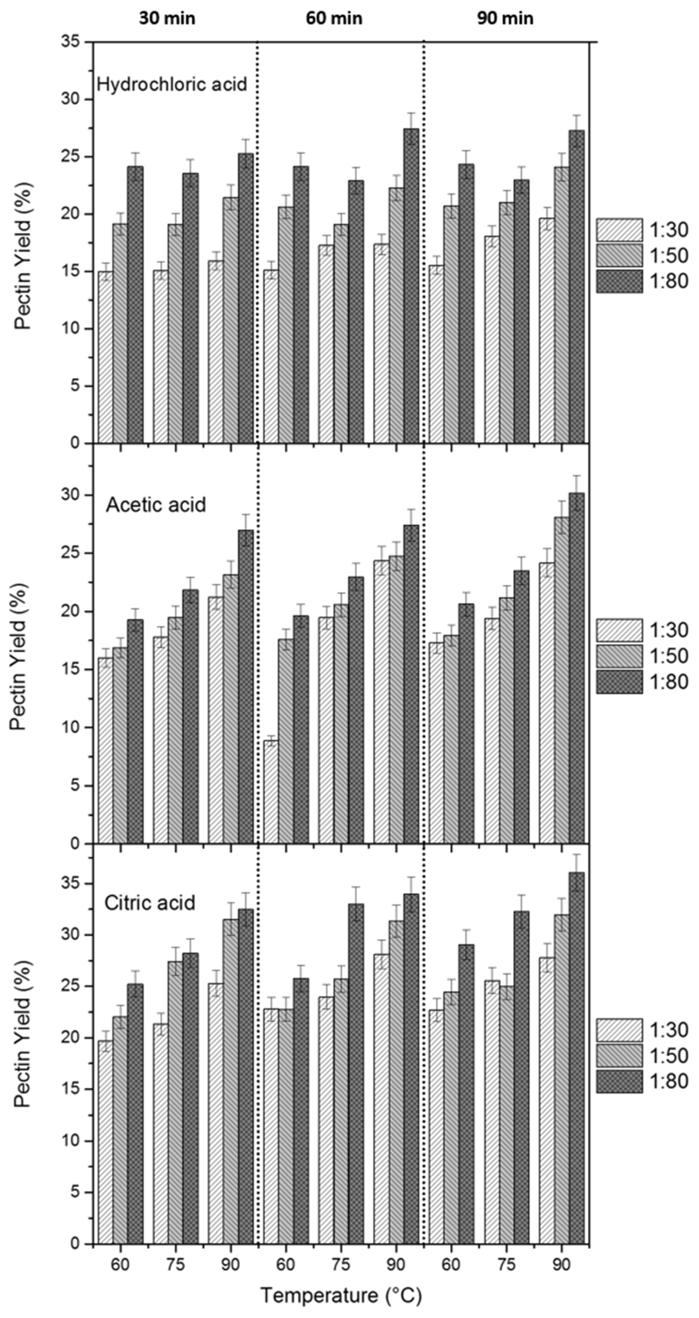
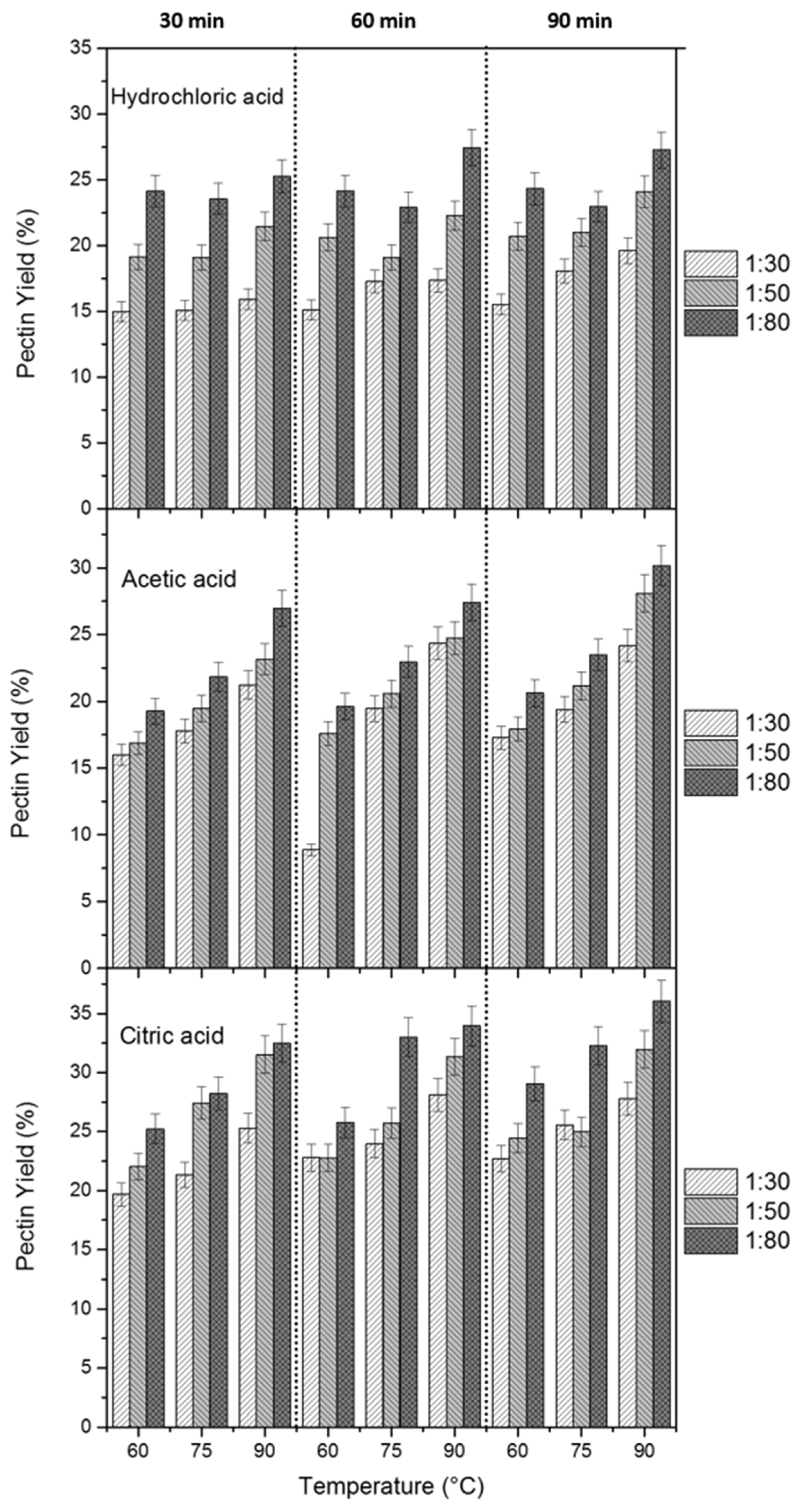
3.3. Pectin Extraction
3.4. Physicochemical Pectin Characterization
3.5. Pectin Identification and Conformation
3.6. Evaluation of Pectin as Functional Ingredient
4. Discussion
4.1. Flour Citrus Waste Characterization
4.2. TPC, Antioxidant Activity, and Polyphenol Profile
4.3. Pectin Extraction
4.4. Physicochemical Pectin Characterization
4.5. Evaluation of Pectin as Functional Ingredient
5. Conclusions
Acknowledgments
Author Contributions
Conflicts of Interest
References
- SIAP-Agri-Food and Fisheries Information Service. (2014). SIAP gob.mx. Available online: http://www.siap.gob.mx/agricultura-produccion-anual/ (accessed on 16 July 2016).
- Baltazar, R.; Carbajal, D.; Baca, N.; Salvador, D. Optimization of the conditions of pectin extraction from lemon rind french (Citrus medica) using response surface methodology. Agroind. Sci. 2013, 2, 77–89. [Google Scholar] [CrossRef]
- Casquete, R.; Castro, S.M.; Martín, A.; Ruiz-Moyano, S.; Saraiva, J.A.; Córdoba, M.G.; Teixeira, P. Evaluation of the effect of high pressure on total phenolic content, antioxidant and antimicrobial activity of citrus peels. Innov. Food Sci. Emerg. Technol. 2015, 31, 37–44. [Google Scholar] [CrossRef]
- Benavente-García, O.; Castillo, J. Update on uses and properties of citrus flavonoids: New findings in anticancer, cardiovascular, and anti-inflammatory activity. J. Agric. Food Chem. 2008. [Google Scholar] [CrossRef] [PubMed]
- Gil-Izquierdo, A.; Riquelme, M.T.; Porras, I.; Ferreres, F. Effect of the Rootstock and Interstock Grafted in Lemon Tree (Citrus limon (L.) Burm.) on the Flavonoid Content of Lemon Juice. J. Agric. Food Chem. 2004, 52, 324–331. [Google Scholar] [CrossRef] [PubMed]
- Sungthongjeen, S.; Sriamornsak, P.; Pitaksuteepong, T.; Somrisi, A.; Puttipipatkhachorn, S. Effect of degree of esterification of pectin and calcium amount on drug release from pectin-based matrix tablets. AAPS PharmSciTech 2009, 5, 50–57. [Google Scholar]
- Luppi, B.; Bigucci, F.; Abruzzo, A.; Corace, G.; Cerchiara, T.; Zecchi, V. Freeze-dried chitosan/pectin nasal inserts for antipsychotic drug delivery. Eur. J. Pharm. Biopharm. 2010, 75, 381–387. [Google Scholar] [CrossRef] [PubMed]
- Sriamornsak, P. Application of pectin in oral drug delivery. Expert Opin. Drug Deliv. 2011, 8, 1009–1023. [Google Scholar] [CrossRef] [PubMed]
- Glinsky, V.V.; Raz, A. Modified citrus pectin anti-metastatic properties: One bullet, multiple targets. Carbohydr. Res. 2009, 344, 1788–1791. [Google Scholar] [CrossRef] [PubMed]
- Munarin, F.; Tanzi, M.C.; Petrini, P. Advances in biomedical applications of pectins gels. Int. J. Biol. Macromol. 2012, 51, 681–689. [Google Scholar] [CrossRef] [PubMed]
- Chan, S.Y.; Choo, W.S.; Young, D.J.; Loh, X.J. Pectin as a rheology modifier: Origin, structure, commercial production and rheology. Carbohydr. Polym. 2017, 161, 118–139. [Google Scholar] [CrossRef] [PubMed]
- Lim, J.; Ko, S.; Lee, S. Use of Yuja (Citrus junos) pectin as a fat replacer in baked foods. Food Sci. Biotechnol. 2014, 23, 1837–1841. [Google Scholar] [CrossRef]
- Norma Oficial Mexicana NMX-F-428. Determinación de Humedad (Método Rápido de la Termobalanza). 1982. Available online: http://www.colpos.mx/bancodenormas/nmexicanas/NMX-F-428-1982.PDF (accessed on 10 September 2015).
- Sánchez-Contreras, A.; Rufino-Gonzalez, Y.; Ponce-Macotela, M.; Sánchez-Garcia, S.; Jiménez-Estrada, M.; Rodriguez-Buenfil, I.; Chel-Guerrero, L. Psidium guajava and Tagetes erecta flavonoids: Isolation, identification and biological activity. In Nutraceuticals Funct Foods Conv Non-Conventional Sources; Studium Press: Houston, TX, USA, 2011; pp. 64–71. [Google Scholar]
- Vasco, C.; Ruales, J.; Kamal-Eldin, A. Total phenolic compounds and antioxidant capacities of major fruits from Ecuador. Food Chem. 2008, 111, 816–823. [Google Scholar] [CrossRef]
- Chen, M.L.; Yang, D.J.; Liu, S.C. Effects of drying temperature on the flavonoid, phenolic acid and antioxidative capacities of the methanol extract of citrus fruit (Citrus sinensis (L.) Osbeck) peels. Int. J. Food Sci. Technol. 2011, 46, 1179–1185. [Google Scholar] [CrossRef]
- Gamboa, B.M.; Universidad de Oriente, Núcleo de Anzoátegui, Puerto la Cruz, Venezuela. Aprovechamiento de los Residuos Obtenidos del Proceso de Despulpado del Mango (Mangifera indica L.) Como Materias Primas Para la Obtención de Pectinas. Personal Communication, 2009. [Google Scholar]
- Mohd, N.; Ramli, N.; Meon, H. Extraction and characterization of pectin from Dragon Fruit (Hylocereus polyhizus) using various extraction conditions. Sains Malays. 2012, 41, 41–45. [Google Scholar]
- Pomeranz, Y.; Meloan, C.E. Food Analysis: Theory and Practice, 3rd ed.; Springer Science & Business Media, An Aspen Publication, Aspen Publishers, Inc.: Gaitherburg, MD, USA, 2000. [Google Scholar]
- Handa, C.; Goomer, S.; Siddhu, A. Effects of Whole-Multigrain and Fructoligosaccharide incorporation on the Quality and Sensory Attributes of cookies. Food Sci. Technol. Res. 2011, 17, 45–54. [Google Scholar] [CrossRef]
- Sudha, M.L.; Srivastava, A.K.; Vetrimani, R.; Leelavathi, K. Fat replacement in soft dough biscuits: Its implications on dough rheology and biscuit quality. J. Food Eng. 2007, 80, 922–930. [Google Scholar] [CrossRef]
- Badillo, M.D.; Escuela Superior Politécnica de Chimborazo, Riobamba, Ecuador. Estudio Comparativo del Potencial Nutritivo de Limón Persa (Citrus latifolia tanaka) Deshidratado en Secador de Bandejas y en Microondas. Personal Communication, 2011. [Google Scholar]
- Norma Oficial Mexicana NOM-247-SSA1. Productos y Servicios. Cereales y sus Productos. Cereales, Harinas de Cereales, Sémolas o Semolinas. 2008. Available online: http://depa.fquim.unam.mx/amyd/archivero/NOMcereales_12434.pdf (accessed on 8 September 2015).
- Baas-Dzul, L.V.; Centro de Investigación y Asistencia en Tecnología y Diseño del Estado de Jalisco A.C. Mérida México. Obtención de Extractos Polifenólicos con Actividad Biológica a Partir de Harinas Elaboradas con Subproductos de Limón Italiano. Personal Communication, 2015. [Google Scholar]
- Li, B.; Smith, B.; Hossain, M. Extraction of phenolics from citrus peels I. solvent extraction method. Sep. Purif. Technol. 2006, 48, 182–188. [Google Scholar] [CrossRef]
- Wang, Y.; Chueh, Y.; Hsing, W. The flavonoid, carotenoid and pectin content in peels of citrus cultivated in Taiwan. Food Chem. 2008, 106, 277–284. [Google Scholar] [CrossRef]
- Papoutsis, K.; Pristijono, P.; Golding, J.B.; Stathopoulos, C.E.; Bowyer, M.C.; Scarlett, C.J.; Vuong, Q.V. Effect of vacuum-drying, hot air-drying and freeze-drying on polyphenols and antioxidant capacity of lemon (Citrus Limon) pomace aqueous extracts. Int. J. Food Sci. Technol. 2017. [Google Scholar] [CrossRef]
- Del Río, J.A.; Fuster, M.D.; Gómez, P.; Porras, I.; García-Lidón, A.; Ortuño, A. Citrus limon: A source of flavonoids of pharmaceutical interest. Food Chem. 2004, 84, 457–461. [Google Scholar] [CrossRef]
- Canteri, M.H.; Ramos, H.C.; Waszczynskyj, N.; Wosiacki, G. Extraction of pectin from Apple pomace. Braz. Arch. Biol. Technol. 2005, 48, 259–266. [Google Scholar] [CrossRef]
- Ferreira, S. Aislamiento y caracterización de las pectinas de algunas variedades de frutos cítricos colombianos. Rev. Colomb. Cienc. Quím. Farm. 1976, 3, 5–25. [Google Scholar]
- Madhav, A.; Pushpalatha, P. Characterization of pectin extracted from different fruit wastes. J. Trop. Agric. 2002, 40, 53–55. [Google Scholar]
- Methacanon, P.; Krongsin, J.; Gamonpilas, C. Pomelo (Citrus maxima) pectin: Effects of extraction and its properties. Food Hydrocoll. 2013, 30, 1–9. [Google Scholar] [CrossRef]
- Khorasani, A.C.; Shojaosadati, S.A. Pectin-non-starch nanofibers biocomposites as novelgastrointestinal-resistant prebiotics. Int. J. Biol. Macromol. 2017, 94, 131–144. [Google Scholar] [CrossRef] [PubMed]


| Parameter | Determination | |
|---|---|---|
| Moisture content % | 12.12 ± 0.007 | |
| pH | 3.38 ± 0.000 | |
| Titratable acidity % (citric acid meq) | 7.43 ± 0.288 | |
| Color | Luminosity (L) | 62.63 ± 0.08 |
| Parameter a | 6.65 ± 0.04 | |
| Parameter b | 23.28 ± 0.070 | |
| Type of Analysis | Determination | mg/g of Waste Flour in Dry Basis |
|---|---|---|
| Spectrophotometer analysis | Total Polyphenol content | 3.92 ± 0.06 |
| Antioxidant activity (DPPH + Radical inhibition) | 73.2% ± 4.2% | |
| HPLC * analysis | Gallic acid content | 0.074 ± 0.003 |
| Caffeic acid content | 0.1560 ± 0.007 | |
| Ellagic acid content | 0.186 ± 0.0292 | |
| Naringin content | 0.003 ± 0.0001 | |
| Hesperidin content | 0.278 ± 0.011 | |
| Neohesperidin | 0.969 ± 0.099 | |
| Morin | 0.134 ± 0.004 | |
| Quercetin | 0.058 ± 0.0001 | |
| Genistein | 0.00045 ± 0.0001 | |
| Kaempferol | 0.015 ± 0.0001 |
| Physicochemical Characteristic | Pectin According to Recuperation Process | Commercial Pectin | ||
|---|---|---|---|---|
| A * | B * | C * | ||
| Yield (%) | 36.45 ± 0.27 a | 34.86 ± 0.21 a | 36.21 ± 1.4 a | - |
| Moisture (%) | 7.9 ± 0.01 a | 8.17 ± 0.16 a | 10.72 ± 0.27 b | 10.49 ± 0.04 b |
| FA (meq free carboxyl/g) | 3.01 ± 0.34 d | 2.04 ± 0.05 c | 1.73 ± 0.29 b | 0.733 ± 0.0 a |
| Equivalent weight (mg) | 400.37 ± 2.98 a | 622.25 ± 0.0 b | 706.74 ± 0.0 c | 1364.63 ± 0.0 d |
| Methoxy (%) | 10.12 ± 0.12 b | 11.29 ± 0.29 c | 9.00 ± 0.78 a | 10.56 ± 0.2 b |
| ED * (%) | 52.05 ± 0.59 a | 64.09 ± 0.1 b | 62.41 ± 1.52 b | 82.29 ± 0.16 c |
| UA * (%) | DD * | DD * | 81.59 ± 5.04 a | 72.87 ± 0.16 b |
| Test | Laboratory Pectin | Commercial Pectin | ||
|---|---|---|---|---|
| Description | Result | Description | Result | |
| Pectin solution + ethanol | Yellow gelatinous pp | + | Sandy color gelatinous pp * | + |
| Pectin solution + NaOH 2N | Yellow gel | + | Sandy color gel | + |
| Precipitated gel + HCl 3N | Colorless gelatinous pp | + | Colorless gelatinous pp * | + |
| Treatments | Water Content (%) | AW | Physical Characterization | Hardness (N) | ||
|---|---|---|---|---|---|---|
| Diameter (mm) | Thickness (mm) | Spread Ratio | ||||
| Control | 5.39 ± 0.3 a | 0.44 ± 0.02 a | 50.12 ± 0.15 b | 10.45 ± 0.15 c | 4.80 | 19.9 ± 3.3 a |
| 2.5% of PS * | 5.42 ± 0.5 a | 0.45 ± 0.01 a | 50.05 ± 0.12 b | 10.35 ± 0.17 c | 4.83 | 20.6 ± 2.1 a |
| 7% of PS | 8.23 ± 0.4 b | 0.49 ± 0.02 b | 47.50 ± 0.1 a | 9.92 ± 0.11 b | 4.78 | 18.3 ± 3.2 a |
| 10% of PS | 7.65 ± 0.1 b | 0.48 ± 0.01 b | 48.3 ± 0.11 a | 9.68 ± 0.02 a | 4.99 | 18.9 ± 3.2 a |
© 2017 by the authors. Licensee MDPI, Basel, Switzerland. This article is an open access article distributed under the terms and conditions of the Creative Commons Attribution (CC BY) license ( http://creativecommons.org/licenses/by/4.0/).
Share and Cite
Ayora-Talavera, T.D.R.; Ramos-Chan, C.A.; Covarrubias-Cárdenas, A.G.; Sánchez-Contreras, A.; García-Cruz, U.; Pacheco L., N.A. Evaluation of Pectin Extraction Conditions and Polyphenol Profile from Citrus x lantifolia Waste: Potential Application as Functional Ingredients. Agriculture 2017, 7, 28. https://doi.org/10.3390/agriculture7030028
Ayora-Talavera TDR, Ramos-Chan CA, Covarrubias-Cárdenas AG, Sánchez-Contreras A, García-Cruz U, Pacheco L. NA. Evaluation of Pectin Extraction Conditions and Polyphenol Profile from Citrus x lantifolia Waste: Potential Application as Functional Ingredients. Agriculture. 2017; 7(3):28. https://doi.org/10.3390/agriculture7030028
Chicago/Turabian StyleAyora-Talavera, Teresa Del Rosario, Cristina A. Ramos-Chan, Ana G. Covarrubias-Cárdenas, Angeles Sánchez-Contreras, Ulises García-Cruz, and Neith A. Pacheco L. 2017. "Evaluation of Pectin Extraction Conditions and Polyphenol Profile from Citrus x lantifolia Waste: Potential Application as Functional Ingredients" Agriculture 7, no. 3: 28. https://doi.org/10.3390/agriculture7030028
APA StyleAyora-Talavera, T. D. R., Ramos-Chan, C. A., Covarrubias-Cárdenas, A. G., Sánchez-Contreras, A., García-Cruz, U., & Pacheco L., N. A. (2017). Evaluation of Pectin Extraction Conditions and Polyphenol Profile from Citrus x lantifolia Waste: Potential Application as Functional Ingredients. Agriculture, 7(3), 28. https://doi.org/10.3390/agriculture7030028

