Impacts of Agro-Ecological Practices on Soil Losses and Cash Crop Yield
Abstract
1. Introduction
2. Materials and Methods
2.1. Study Site and Experimental Device
2.2. Experimental Setup, Treatments and Measurements
2.3. Topographic Surveys
2.4. Data Analysis
3. Results and Discussion
3.1. Weather Conditions
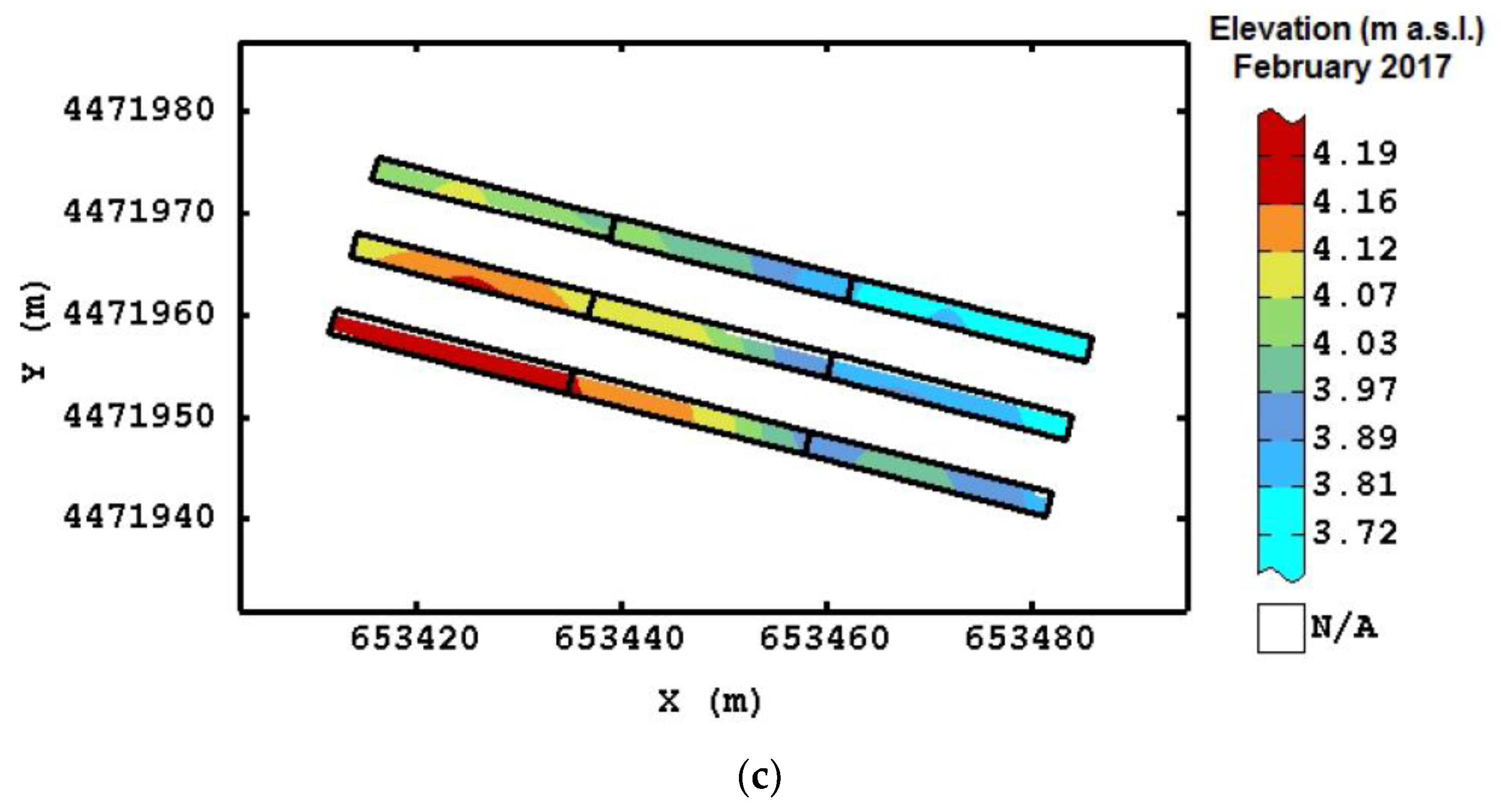
3.2. Topographic Data in the Ridges
3.3. Spatial Variability in the Ridges
3.4. Topographic Data in the Flat Strips
3.5. Spatial Variability in the Flat Strips
3.6. Soil Losses and Yield
4. Conclusions
Acknowledgments
Author Contributions
Conflicts of Interest
References
- Bellard, C.; Bertelsmeier, C.; Leadley, P.; Thuiller, W.; Courchamp, F. Impacts of climate change on the future of biodiversity. Ecol. Lett. 2012, 15, 365–377. [Google Scholar] [CrossRef] [PubMed]
- García-Ruiz, J.M.; Nadal-Romero, E.; Lana-Renault, N.; Beguería, S. Erosion in Mediterranean landscapes: Changes and future challenges. Geomorphology 2013, 198, 20–36. [Google Scholar] [CrossRef]
- Rodrigo-Comino, J.; Senciales González, J.M.; Ramos, M.C.; Martínez-Casasnovas, J.A.; Lasanta Martínez, T.; Brevik, E.C.; Ries, J.B.; Ruiz-Sinoga, J.D. Understanding soil erosion processes in Mediterranean sloping vineyards (Montes de Málaga, Spain). Geoderma 2017, 296, 47–59. [Google Scholar] [CrossRef]
- Martínez-Casasnovas, J.A.; Ramos, M.C.; Ribes-Dasi, M. Soil erosion caused by extreme rainfall events: Mapping and quantification in agricultural plots from very detailed digital elevation models. Geoderma 2002, 105, 125–140. [Google Scholar] [CrossRef]
- Boardman, J.; Poesen, J.; Evans, R. Socio-economic factors in soil erosion and conservation. Environ. Sci. Policy 2003, 6, 1–6. [Google Scholar] [CrossRef]
- Food and Agriculture Organization of the United Nations (FAO). Agroecology to Reverse Soil Degradation and Achieve Food Security. 2015. Available online: http://www.fao.org/soils-2015/news/news-detail/en/c/317402/ (accessed on 24 July 2017).
- Tilman, D.; Cassman, K.G.; Matson, P.A.; Naylor, R.; Polasky, S. Agricultural sustainability and intensive production practices. Nature 2002, 418, 671–677. [Google Scholar] [CrossRef] [PubMed]
- Ismail, I.; Blevins, R.L.; Frye, W.W. Long-term no-tillage effects on soil properties and continuous corn yields. Soil Sci. Soc. Am. J. 1994, 58, 193–198. [Google Scholar] [CrossRef]
- Montemurro, F.; Ciaccia, C.; Leogrande, R.; Ceglie, F.; Diacono, M. Suitability of different organic amendments from agro-industrial wastes in organic lettuce crops. Nutr. Cycl. Agroecosyst. 2015, 102, 243–252. [Google Scholar] [CrossRef]
- Diacono, M.; Montemurro, F. Long-term effects of organic amendments on soil fertility. A review. Agron. Sustain. Dev. 2010, 30, 401–422. [Google Scholar] [CrossRef]
- Mijatović, D.; Van Oudenhoven, F.; Eyzaguirre, P.; Hodgkin, T. The role of agricultural biodiversity in strengthening resilience to climate change: Towards an analytical framework. Int. J. Agric. Sustain. 2013, 11, 95–107. [Google Scholar] [CrossRef]
- Cerdà, A.; Rodrigo-Comino, J.; Giménez Morera, A.; Keesstra, S.D. An economic, perception and biophysical approach to the use of oat straw as mulch in Mediterranean rainfed agriculture land. Ecol. Eng. 2017, 108, 162–171. [Google Scholar] [CrossRef]
- Meynard, J.M.; Messéan, A.; Charlier, A.; Charrier, F.; Fares, M.; Le Bail, M.; Magrini, M.B.; Savini, I. Brakes and levers to diversification of cultures in France: Study of agricultural farms and chains. OCL Oilseeds Fats Crop. Lipids 2013, 20, D403. [Google Scholar] [CrossRef]
- Montemurro, F.; Diacono, M.; Ciaccia, C.; Campanelli, G.; Tittarelli, F.; Leteo, F.; Canali, F. Effectiveness of living mulch strategies for winter organic cauliflower (Brassica oleracea L. var. botrytis) production in Central and Southern Italy. Renew. Agric. Food Syst. 2017, 32, 263–272. [Google Scholar] [CrossRef]
- Canali, S.; Campanelli, G.; Ciaccia, C.; Leteo, F.; Testani, E.; Montemurro, F. Conservation tillage strategy based on the roller crimper technology for weed control in Mediterranean vegetable organic cropping systems. Eur. J. Agron. 2013, 50, 11–18. [Google Scholar] [CrossRef]
- Yang, C.; Peterson, C.L.; Shropshire, G.J.; Otawa, T. Spatial variability of field topography and wheat yield in the Palouse Region of the Pacific Northwest. Trans. Am. Soc. Agric. Eng. 1998, 41, 17–27. [Google Scholar] [CrossRef]
- Marques da Silva, J.R.; Alexandre, C. Spatial variability of irrigated corn yield in relation to field topography and soil chemical characteristics. Precis. Agric. 2005, 6, 453–466. [Google Scholar] [CrossRef]
- Rodrigo-Comino, J.; Cerdà, A. Improving stock unearthing method to measure soil erosion rates in vineyards. Ecol. Indic. 2018, 85, 509–517. [Google Scholar] [CrossRef]
- Dosskey, M.G.; Eisenhauer, D.E.; Helmers, M.J. Establishing conservation buffers using precision information. J. Soil Water Conserv. 2005, 60, 349–354. [Google Scholar]
- Renschler, C.S.; Flanagan, D.C. Site-specific decision-making based on RTK GPS survey and six alternative elevation data sources: Soil erosion predictions. Trans. Am. Soc. Agric. Biol. Eng. 2008, 51, 413–424. [Google Scholar] [CrossRef]
- Westphalen, M.L.; Steward, B.S.; Han, S. Topographic mapping through measurement of vehicle attitude and elevation. Trans. Am. Soc. Agric. Eng. 2004, 47, 1841–1849. [Google Scholar] [CrossRef]
- Diacono, M.; Persiani, A.; Fiore, A.; Montemurro, F.; Canali, S. Agro-ecology for potential adaptation of horticultural systems to climate change: Agronomic and energetic performance evaluation. Agronomy 2017, 7, 35. [Google Scholar] [CrossRef]
- Soil Survey Staff. Soil taxonomy. In Agriculture Handbook 436; USDA-NRCS: Washington, DC, USA, 1999. [Google Scholar]
- Unesco-FAO. Etude Écologique de la Zone Méditerranéenne. Carte Bioclimatique de la Zone Méditerranéenne (Ecological Study of the Mediterranean Area: Bioclimatic Map of the Mediterranean Sea). Paris-Rome. 1963. Available online: http://unesdoc.unesco.org/images/0013/001372/137255fo.pdf (accessed on 19 October 2017).
- Diacono, M.; Fiore, A.; Farina, R.; Canali, S.; Di Bene, C.; Testani, E.; Montemurro, F. Combined agro-ecological strategies for adaptation of organic horticultural systems to climate change in Mediterranean environment. Ital. J. Agron. 2016, 11, 85–91. [Google Scholar] [CrossRef]
- Decree, L. Riordino e Revisione della Disciplina in Materia di Fertilizzanti, a Norma Dell’articolo 13 della Legge 7 Luglio 2009, n. 88; Gazzetta Ufficiale n. 121 26/05/2010, 26 May 2010; Istituto Poligrafico e Zecca dello Stato: Rome, Italia, 2010. (In Italian) [Google Scholar]
- Chiles, J.P.; Delfiner, P. Geostatistics: Modeling Spatial Uncertainty; Wiley & Sons: New York, NY, USA, 1999; 695p, ISBN 978-0470183151. [Google Scholar]
- Wackernagel, H. Multivariate Geostatistics: An Introduction with Applications, 3rd ed.; Springer: Berlin, Germany, 2003; 388p, ISBN 3540441425. [Google Scholar]
- Goovaerts, P. Geostatistics for Natural Resources Evaluation; Oxford University Press: New York, NY, USA, 1997; ISBN 0-19-511538-4. [Google Scholar]
- Geovariances. Isatis Technical Ref. Ver. 2013.1; Geovariances & Ecole Des Mines De Paris: Avon Cedex, France, 2015. [Google Scholar]
- Wechsler, S.P. Uncertainties associated with digital elevation models for hydrologic applications: A review. Hydrol. Earth Syst. Sci. 2007, 11, 1481–1500. [Google Scholar] [CrossRef]
- Sojika, R.E.; Langdale, G.W.; Karlen, D.L. Vegetative techniques for reducing water erosion of cropland in the southeastern United States. Adv. Agron. 1984, 37, 155–181. [Google Scholar] [CrossRef]
- Dabney, S.M.; Delgado, J.A.; Reeves, D.W. Using winter cover crops to improve soil and water quality. Commun. Soil Sci. Plant Anal. 2001, 32, 1221–1250. [Google Scholar] [CrossRef]
- Leary, J.; DeFrank, J. Living mulches for organic farming systems. HortTechnology 2000, 10, 692–698. [Google Scholar]
- Kaspar, T.C.; Radke, J.K.; Laflen, J.M. Small grain cover crops and wheel traffic effects on infiltration, runoff, and erosion. J. Soil Water Conserv. 2001, 56, 160–164. [Google Scholar]
- Ramos, M.C.; Martínez-Casasnovas, J.A. Erosion rates and nutrient losses affected by composted cattle manure application in vineyard soils of NE Spain. CATENA 2006, 68, 177–185. [Google Scholar] [CrossRef]
- Jacinthe, P.A.; Lal, R.; Kimble, J.M. Carbon dioxide evolution in runoff from simulated rainfall on long-term no-till and plowed soils in southwestern Ohio. Soil Tillage Res. 2001, 66, 23–33. [Google Scholar] [CrossRef]
- De Benedetto, D.; Montemurro, F.; Diacono, M. Geophysical Sensors to Characterise an Agricultural Experimental Device and to Improve Soil Water Content Estimation. NJAS Wagening. J. Life Sci. 2017. under review. [Google Scholar]
- Tropeano, D. Rate of soil erosion processes on vineyards in central Piedmont (NW Italy). Earth Surf. Process. Landf. 1984, 9, 253–266. [Google Scholar] [CrossRef]
- Corti, G.; Cavallo, E.; Cocco, S.; Biddoccu, M.; Brecciaroli, G.; Agnelli, A. Evaluation of Erosion Intensity and Some of Its Consequences in Vineyards from Two Hilly Environments under a Mediterranean Type of Climate, Italy. In Soil Erosion Issues in Agriculture; Godone, D., Stanchi, S., Eds.; InTech: London, UK, 2011; 346p, ISBN 978-953-307-435-1. [Google Scholar]
- Vahabi, J.; Nikkami, D. Assessing dominant factors affecting soil erosion using a portable rainfall simulator. Int. J. Sediment Res. 2008, 23, 376–386. [Google Scholar] [CrossRef]
- Bakker, M.M.; Govers, G.; Jones, R.A.; Rounsevell, M.D. The Effect of Soil Erosion on Europe’s Crop Yields. Ecosystems 2007, 10, 1209–1219. [Google Scholar] [CrossRef]
- Montemurro, F.; Fiore, A.; Campanelli, G.; Tittarelli, F.; Ledda, L.; Canali, S. Organic fertilization, green manure, and vetch mulch to improve organic zucchini yield and quality. HortScience 2013, 48, 1027–1033. [Google Scholar]
- Rao, R.; Li, Y. Management of flooding effects on growth of vegetable and selected field crops. HortTechnology 2003, 13, 610–616. [Google Scholar]













| (a) | |||||||
| Date of Survey | Observation | Ridge 1 | |||||
| Min | Max | Mean | Skewness | Kurtosis | Pr < W † | ||
| May 2016 | 38 | 4.570 | 4.990 | 4.846 | −0.469 | 2.159 | 0.001 |
| September 2016 | 38 | 4.462 | 4.987 | 4.802 | −0.569 | 2.818 | 0.006 |
| February 2017 | 38 | 3.774 | 4.225 | 4.059 | −0.357 | 2.012 | 0.003 |
| (b) | |||||||
| Date of Survey | Observation | Ridge 2 | |||||
| Min | Max | Mean | Skewness | Kurtosis | Pr < W † | ||
| May 2016 | 38 | 4.600 | 4.950 | 4.786 | −0.184 | 1.402 | <0.0001 |
| September 2016 | 38 | 4.349 | 4.942 | 4.746 | −0.868 | 2.951 | 0.003 |
| February 2017 | 38 | 3.726 | 4.189 | 3.994 | −0.285 | 1.652 | 0.004 |
| (c) | |||||||
| Date of Survey | Observation | Ridge 3 | |||||
| Min | Max | Mean | Skewness | Kurtosis | Pr < W † | ||
| May 2016 | 42 | 4.520 | 4.860 | 4.711 | −0.159 | 1.406 | <0.0001 |
| September 2016 | 42 | 4.497 | 4.856 | 4.690 | −0.120 | 1.558 | 0.002 |
| February 2017 | 42 | 3.693 | 4.097 | 3.925 | −0.144 | 1.478 | 0.001 |
| (d) | |||||||
| Date of Survey | Average Differences (m) | ||||||
| Ridge 1 | Ridge 2 | Ridge 3 | |||||
| May 2016–September 2016 | 0.044 * | 0.040 ns | 0.021 ns | ||||
| September 2016–February 2017 | 0.743 ** | 0.753 * | 0.765 * | ||||
| Ridge | Treatments | Average Differences (m) | |
|---|---|---|---|
| May 2016–September 2016 | September 2016–February 2017 | ||
| Ridge 1 | NFC | 0.049 ns | 0.745 * |
| AD | 0.038 * | 0.744 * | |
| OF | 0.044 * | 0.739 * | |
| Ridge 2 | NFC | 0.022 ns | 0.757 * |
| AD | 0.065 ns | 0.744 * | |
| OF | 0.026 ns | 0.757 * | |
| Ridge 3 | NFC | 0.018 ns | 0.776 * |
| AD | 0.020 ns | 0.766 * | |
| OF | 0.021 ns | 0.751* | |
| (a) | |||||||
| Date of Survey | Observation | Flat Strip 1 | |||||
| Min | Max | Mean | Skewness | Kurtosis | Pr < W † | ||
| April 2016 | 59 | 4.550 | 4.920 | 4.768 | −0.175 | 1.634 | 0.0002 |
| July 2016 | 59 | 4.489 | 4.938 | 4.758 | −0.668 | 3.193 | 0.022 |
| October 2016 | 59 | 4.537 | 4.913 | 4.746 | −0.222 | 2.354 | 0.229 |
| March 2017 | 59 | 5.368 | 5.721 | 5.559 | −0.091 | 1.60 | 0.002 |
| (b) | |||||||
| Date of Survey | Observation | Flat Strip 2 | |||||
| Min | Max | Mean | Skewness | Kurtosis | Pr < W † | ||
| April 2016 | 54 | 4.520 | 4.820 | 4.681 | −0.103 | 1.388 | <0.0001 |
| July 2016 | 54 | 4.387 | 4.811 | 4.660 | 2.031 | 4.659 | 0.0002 |
| October 2016 | 54 | 4.422 | 4.815 | 4.667 | 2.004 | 4.666 | 0.001 |
| March 2017 | 54 | 5.292 | 5.629 | 5.479 | 1.475 | 5.478 | 0.0001 |
| (c) | |||||||
| Date of Survey | Observation | Flat Strip 3 | |||||
| Min | Max | Mean | Skewness | Kurtosis | Pr < W † | ||
| April 2016 | 49 | 4.440 | 4.740 | 4.611 | −0.394 | 1.459 | <0.0001 |
| July 2016 | 49 | 4.382 | 4.714 | 4.586 | −0.310 | 1.614 | 0.0002 |
| October 2016 | 49 | 4.405 | 4.714 | 4.596 | −0.411 | 1.524 | <0.0001 |
| March 2017 | 49 | 5.252 | 5.546 | 5.417 | −0.241 | 1.377 | <0.0001 |
| (d) | |||||||
| Date of Survey | Observation | Flat Strip 4 | |||||
| Min | Max | Mean | Skewness | Kurtosis | Pr < W † | ||
| April 2016 | 51 | 4.410 | 4.690 | 4.557 | −0.095 | 1.354 | <0.0001 |
| July 2016 | 51 | 4.400 | 4.676 | 4.546 | −0.189 | 1.384 | <0.0001 |
| October 2016 | 51 | 4.392 | 4.663 | 4.536 | −0.178 | 1.323 | <0.0001 |
| March 2017 | 51 | 5.220 | 5.506 | 5.375 | −0.249 | 1.287 | <0.0001 |
| (e) | |||||||
| Date of Survey | Average Differences (m) | ||||||
| 1st Flat Strip | 2nd Flat Strip | 3rd Flat Strip | 4th Flat Strip | ||||
| April 2016–July 2016 | 0.0086 ns | 0.020 ns | 0.025 ns | 0.009 ns | |||
| July 2016–October 2016 | 0.020 ns | −0.061 ns | −0.011 ns | 0.010 ns | |||
| October 2016–March 2017 | −0.813 * | −0.812 * | −0.821 * | −0.839 * | |||
© 2017 by the authors. Licensee MDPI, Basel, Switzerland. This article is an open access article distributed under the terms and conditions of the Creative Commons Attribution (CC BY) license (http://creativecommons.org/licenses/by/4.0/).
Share and Cite
De Benedetto, D.; Montemurro, F.; Diacono, M. Impacts of Agro-Ecological Practices on Soil Losses and Cash Crop Yield. Agriculture 2017, 7, 103. https://doi.org/10.3390/agriculture7120103
De Benedetto D, Montemurro F, Diacono M. Impacts of Agro-Ecological Practices on Soil Losses and Cash Crop Yield. Agriculture. 2017; 7(12):103. https://doi.org/10.3390/agriculture7120103
Chicago/Turabian StyleDe Benedetto, Daniela, Francesco Montemurro, and Mariangela Diacono. 2017. "Impacts of Agro-Ecological Practices on Soil Losses and Cash Crop Yield" Agriculture 7, no. 12: 103. https://doi.org/10.3390/agriculture7120103
APA StyleDe Benedetto, D., Montemurro, F., & Diacono, M. (2017). Impacts of Agro-Ecological Practices on Soil Losses and Cash Crop Yield. Agriculture, 7(12), 103. https://doi.org/10.3390/agriculture7120103

