Next Article in Journal
Target Recognition Model for Seedling Sugar Beets from UAV Aerial Imagery
Previous Article in Journal
From Biomass to Functional Biochar: Modification Approaches to Targeted Environmental Pollution Remediation Applications
Previous Article in Special Issue
Growth-Promoting Effects of VOCs Produced by Trametes hirsuta and Talaromyces pinophilus on Rice
 
 
Font Type:
Arial Georgia Verdana
Font Size:
Aa Aa Aa
Line Spacing:
Column Width:
Background:
Article

Parasitism by Monochasma savatieri Promotes Blueberry Growth and Development via Modulation of the Rhizosphere Micro-Environment

Institute of Chinese Medicinal Materials, Nanjing Agricultural University, Nanjing 210095, China
*
Author to whom correspondence should be addressed.
These authors contributed equally to this work.
Agriculture 2026, 16(7), 735; https://doi.org/10.3390/agriculture16070735
Submission received: 3 February 2026 / Revised: 20 March 2026 / Accepted: 23 March 2026 / Published: 26 March 2026

Abstract

The rhizosphere is a critical interface linking plants and soil; however, the mechanisms by which parasitic plants affect host growth through rhizosphere microecological changes remain unclear. This study systematically elucidates how Monochasma savatieri, a hemiparasitic plant, promotes blueberry growth by reshaping rhizosphere microecology. Pot experiments showed that parasitism significantly enhanced urease, sucrase, and soil nitrate reductase activities, improving organic matter decomposition and nutrient transformation efficiency. Concurrently, soil total nitrogen (TN), total phosphorus (TP), and total potassium (TK), along with alkali-hydrolyzable nitrogen (AN) and available potassium (AK), decreased, suggesting enhanced nutrient absorption by roots. At the microbial level, parasitism altered community composition and diversity, enriching functional taxa such as Nitrosomonas, OLB5, and Serendipita. Functionally, pathways related to stress resistance (necroptosis and glutamatergic synapses) were activated, whereas those linked to pathogen colonization (Pseudomonas aeruginosa biofilm formation and tryptophan metabolism) were suppressed. These modifications reduced harmful microbial competition, optimized nutrient cycling and signaling networks, and established a favorable rhizosphere microenvironment for root health. By integrating soil enzyme activity, nutrient dynamics, and microbial functions, M. savatieri systemically improves the rhizosphere microenvironment, ultimately enhancing blueberry growth. This study provides theoretical support for intercropping and management of parasitic plants with blueberries.

1. Introduction

Monochasma savatieri Franch. ex Maxim, is a hemiparasitic herb belonging to the genus Monochasma of the Scrophulariaceae family. Its dried whole plant is used as the traditional Chinese medicine “Lurongcao”, which has the functions of clearing heat and detoxifying, cooling blood and stopping bleeding, dispelling wind and relieving pain [1,2]. It also possesses various pharmacological activities such as antioxidation, anti-inflammation, and improvement of neuronal damage, and is a major raw material for many Chinese patent medicines [3,4]. Due to its hemiparasitic nature and excessive collection, the wild resources have sharply declined, with demand far exceeding supply. There is an urgent need for artificial cultivation.
Blueberries (Vaccinium spp.) are plants belonging to the genus Vaccinium of the Ericaceae family. Their fruits are rich in anthocyanins, polyphenols, vitamins and other compounds as well as trace elements such as zinc (Zn), iron (Fe) and manganese (Mn). They can prevent and improve various diseases and have high nutritional and medicinal value [5]. Previous studies have found that M. savatieri can successfully establish a parasitic relationship with blueberry, with the hemiparasite exhibiting vigorous growth performance under these conditions. The combination of M. savatieri and blueberries may become an important model for the large-scale production of M. savatieri. Nevertheless, parasitic relationships are often accompanied by resource competition and physiological interference. A large number of studies have shown that parasitic plants can affect the growth and development of host plants in many ways, such as by absorbing nutrients and reducing photosynthetic rate, and in severe cases, it can even cause economic losses [6,7,8]. However, some studies have shown that parasitic plants can stimulate the host to grow faster to resist parasitic stress [9,10,11]. Therefore, under the current situation where blueberry has a relatively high economic value, the impact of M. savatieri parasitism on blueberry growth is still unclear, which undoubtedly raises concerns among blueberry growers about the stability of blueberry yield and quality in this cultivation model.
In the symbiotic system of hemiparasitic plants and host plants, the root systems of both are partially intertwined through haustorial structures, which may drive the exchange of chemical signals, changes in the composition of root exudates, and the reconfiguration of the soil microbial interaction system [12,13,14], thereby regulating the physiological responses of the host plants. The interactions between plants are largely mediated by the rhizosphere soil micro-ecosystem, which is formed by the interaction of soil, plant roots, and soil microorganisms [15,16,17]. Rhizosphere soil microorganisms are mainly influenced by root exudates of plants, which provide carbon and nitrogen sources for soil microorganisms and regulate the structure and function of soil microbial communities [18,19], and the type of plant and the presence or absence of parasitic plants are the key factors leading to differences in soil microorganisms [20]. For example, the Cuscuta heliotropica parasitism leads to a significant enrichment of the potential pathogen Plectosphaerella in the rhizosphere of sunflowers, while also causing restricted growth of the host sunflower’s root system, reduced photosynthetic rate and decreased dry matter accumulation, ultimately affecting its yield [21,22]. Xi et al. [23] found that as the degree of C. heliotropica infection intensifies, Lysobacter, Variovorax, and Pseudomonas are significantly enriched, and they speculated that these microorganisms are related to the germination and parasitism of C. heliotropica. Additionally, soil enzyme activity, as a key indicator of soil microbial metabolism and soil nutrient cycling, which is closely related to the dynamics of the microbial community and soil physical and chemical properties, and collectively affects plant growth and quality [24,25]. At present, although a limited number of studies have examined the rhizosphere soil microbiota of M. savatieri itself [26,27], how its parasitic behavior affects the rhizosphere soil microecology of its host, blueberry, remains to be systematically explained.
Thus, this study takes the parasitic system of M. savatieri and blueberry as the research object, to explore the effects of M. savatieri parasitism on the growth of blueberry and the physical and chemical properties of rhizosphere soil, soil enzyme activity and soil microbial community structure. By comparing the differences in rhizosphere soil microecology under M. savatieri parasitism and non-parasitism conditions, the potential regulatory mechanism of rhizosphere soil microecology on the growth and development of blueberry plants is revealed, with the aim of providing a scientific basis for high-yield and high-quality cultivation management in the M. savatieri—blueberry inter-cropping system.

2. Materials and Methods

2.1. Experimental Site

The experiment was conducted continuously from October 2023 to May 2025 in a greenhouse at the Guo Jia Blueberry Planting Base in Ganzhou City, Jiangxi Province, China (25°47′ N; 114°50′ E). The experimental period covered late autumn, the entire winter and spring, basically encompassing the flowering and fruiting periods of the blueberry plants. During the experiment, the temperature in the greenhouse ranged from 4 °C to 35 °C, and the relative humidity was between 60% and 95%.

2.2. Experimental Design

In October 2023, blueberry plants (cultivar ‘Spanish 45’, provided by the Guojia Blueberry Planting Base) were planted in 20 L black plastic containers, with one plant per pot. The cultivation substrate was a mixture of peat, coconut coir, perlite, and clay pellet (5:3:1:1 v/v), each pot was filled with the substrate up to the rim level, totaling 30 pots. The basic physicochemical properties of the substrate were as follows: pH 4.22, electrical conductivity 4.07 mS cm−1, organic matter 424.44 g kg−1, total nitrogen 5.63 g kg−1, available potassium 16.82 g kg−1, available phosphorus 1.17 g kg−1, and alkali-hydrolyzable nitrogen 1.36 g kg−1.
In the month of October 2024, the blueberry plants were divided into two groups: with M. savatieri (supplied by Huizhou Jiuhui Pharmaceutical Co., Ltd., Huizhou, China) parasitism (P) and without M. savatieri parasitism (NP), with 15 pots per group. In the parasitism treatment group, two M. savatieri seedlings were transplanted approximately 10 cm away from both sides of the blueberry plant’s main root per pot (after stabilization, only the best-growing seedling was retained). The non-parasitism treatment group received no M. savatieri seedlings (Figure 1). During the experimental period, all plants were subjected to uniform integrated water and fertilizer management, and weeds were regularly removed. In May 2025, sample collection was conducted, and nine pots with consistent growth status from each group were selected for subsequent experimental analysis, including both M. savatieri and blueberry plants. Given the occasional mortality and growth heterogeneity observed in M. savatieri during the experimental period, the sampling criteria established in this study were as follows: healthy potted plants exhibiting normal tillering, relatively uniform growth status, and no obvious symptoms of root rot at the base. To minimize individual variability, a mixed sampling method was adopted, wherein every three plants (averaged) constituted one independent biological replicate, with three biological replicates set per group. All statistical and correlation analyses in this study were based on a sample size of n = 3.

2.3. Soil Samples Collection

Rhizosphere soil samples were collected using the shaking-off method [28]. Surface litter and debris were gently removed, and for the P group, the entire M. savatieri plant was carefully excavated. The interwoven root systems of M. savatieri and blueberry were collected, and soil adhering to the root surfaces (approximately 2 mm in thickness) was gently brushed off with a sterile brush as the rhizosphere soil of the P group. For the NP group, collect the root systems of blueberry plants and employ the same method to gather approximately 2 mm of soil from the surface of the blueberry roots as the rhizosphere soil for the NP group. Following thorough mixing of respective rhizosphere soil from both P and NP groups, each soil sample was divided into two portions. One portion was sieved through a 10-mesh (2 mm) sieve, aliquoted into 5 mL cryogenic tubes, and stored at −80 °C for soil microbial analysis. The other portion was air-dried naturally before sieving through a 100-mesh (0.15 mm) sieve for soil enzyme activity and soil physicochemical property determinations.

2.4. Measurement Parameters and Methods

2.4.1. Determination of Soil Physicochemical Properties and Enzyme Activities

Soil pH and electrical conductivity (EC) were measured using electrode methods (soil-water ratio 1:5 (w/v)) [29] (Shanghai Yidian Scientific Instrument Co., Ltd., Shanghai, China). Soil organic carbon (SOC) and total nitrogen (TN) were determined using a carbon-nitrogen analyzer (Analytik Jena AG, Jena, Germany) [30], soil organic matter (SOM) content was calculated by multiplying the organic carbon content by 1.724. Total phosphorus (TP) and total potassium (TK) were determined using inductively coupled plasma optical emission spectrometry (ICP-OES; Analytik Jena AG, Jena, Germany) following microwave digestion [31]. Alkali-hydrolysable nitrogen (AN) was determined by the alkali-hydrolysis diffusion method. Available phosphorus [32] (AP) was extracted using ammonium fluoride-hydrochloric acid, followed by the molybdenum-antimony colourimetric method [33]. Available potassium (AK) was extracted with neutral ammonium acetate solution and analyzed by flame photometry [34] (Shanghai Yuefeng Instrument & Meter Co., Ltd., Shanghai, China). All soil analyses were performed according to Chinese national standards and the Soil and Agricultural Chemistry Analysis [35]. Soil enzyme activities were determined using a kit method (Solaibao Technology Co., Ltd., Beijing, China) for soil urease (S-UE), soil sucrase (S-SC), soil acid phosphatase (S-ACP), and soil nitrate reductase (S-NR). The assay procedure followed the operational instructions provided in the kit manual, with absorbance measurements conducted using a microplate reader (BioTek Instruments, Inc., Winooski, VT, USA) at the wavelengths specified for each enzyme [36].

2.4.2. Measurement of Blueberry Growth Parameters

Measure the plant height and average crown diameter (average crown diameter in both east–west and north–south directions), stem diameter (approximately 10 cm above ground level), and ground stem diameter (at ground level) of blueberry plants; determine the individual fruit weight, fruit transverse diameter and longitudinal diameter. Fruit firmness was measured using a GY-4 hardness tester (Zhejiang Topyun Agricultural Technology Co., Ltd., Hangzhou, China) with a probe diameter of 3.6 mm. Fruit shape index was calculated as the ratio of fruit longitudinal diameter to transverse diameter.

2.4.3. DNA Extraction and Metagenomic Sequencing

Total DNA was extracted from soil samples using the E.Z.N.A.® Soil DNA Kit (Omega Bio-tek, Norcross, GA, USA) according to manufacturer’s protocols. High-quality DNA sample (OD260/280 = 1.8~2.2, OD260/230 ≥ 2.0) was used to construct sequencing library.
Metagenomic libraries for each sample were prepared following standard genomic DNA library preparation procedures, and the concentration of each library was determined using a High Sensitivity Double Stranded DNA kit on a Qubit Fluorometer (Thermo Fisher Scientific, Wilmington, DE, USA). The libraries were subsequently sequenced on a next-generation sequencing platform Illumina NovaSeq 6000 (Illumina, San Diego, CA, USA) in PE150 mode according to standard protocols. These metagenomic shotgun sequencing libraries were constructed and sequenced at Shanghai Biozeron Biological Technology Co., Ltd., Shanghai, China.
Raw sequence reads underwent quality trimming using Trimmomatic (https://github.com/usadellab/Trimmomatic [accessed on 6 June 2025]) to remove adapter contaminants and low-quality reads. Reads passing quality control were then mapped against the reference genome (NCBI) using the BWA-MEM algorithm (parameters: -M -k 32 -t 16). After removing host-genome contamination and low-quality data, the remaining reads were designated as clean reads and used for further analysis.

2.5. Statistical Analysis

Data analysis was conducted using SPSS 22.0 (IBM Corporation, Armonk, NY, USA). First, normality and homogeneity of variance tests were performed on the data. For data that conformed to a normal distribution and had homogeneity of variance, independent sample t-tests were used for inter-group comparisons. If the variances were not homogeneous, Welch’s t-test was used. If the data did not follow a normal distribution, non-parametric tests were adopted. p < 0.05 was considered statistically significant. Bar graphs were generated using Origin 2021 software (OriginLab Corporation, Northampton, MA, USA). Analysis of alpha diversity (Chao 1 and Shannon indices) and principal coordinate analysis (PCoA) were conducted using the MetWare Cloud Platform (https://www.metware.cn/ [accessed on 15 December 2025]). Redundancy analysis (RDA) was conducted using Canoco 5 software (Microcomputer Power, Ithaca, NY, USA). LEfSe analysis and correlation heatmaps were performed on the Wekemo Cloud Platform (https://www.bioincloud.tech [accessed on 18 December 2025]). Differential analysis based on the KEGG database was carried out using STAMP 2.1.3 software. Pearson correlation analysis and Mantel tests were conducted using the online tool ChiPlot (https://www.chiplot.online [accessed on 25 December 2025]).

3. Results

3.1. Effects of M. savatieri Parasitism on the Growth and Development of Host Blueberry

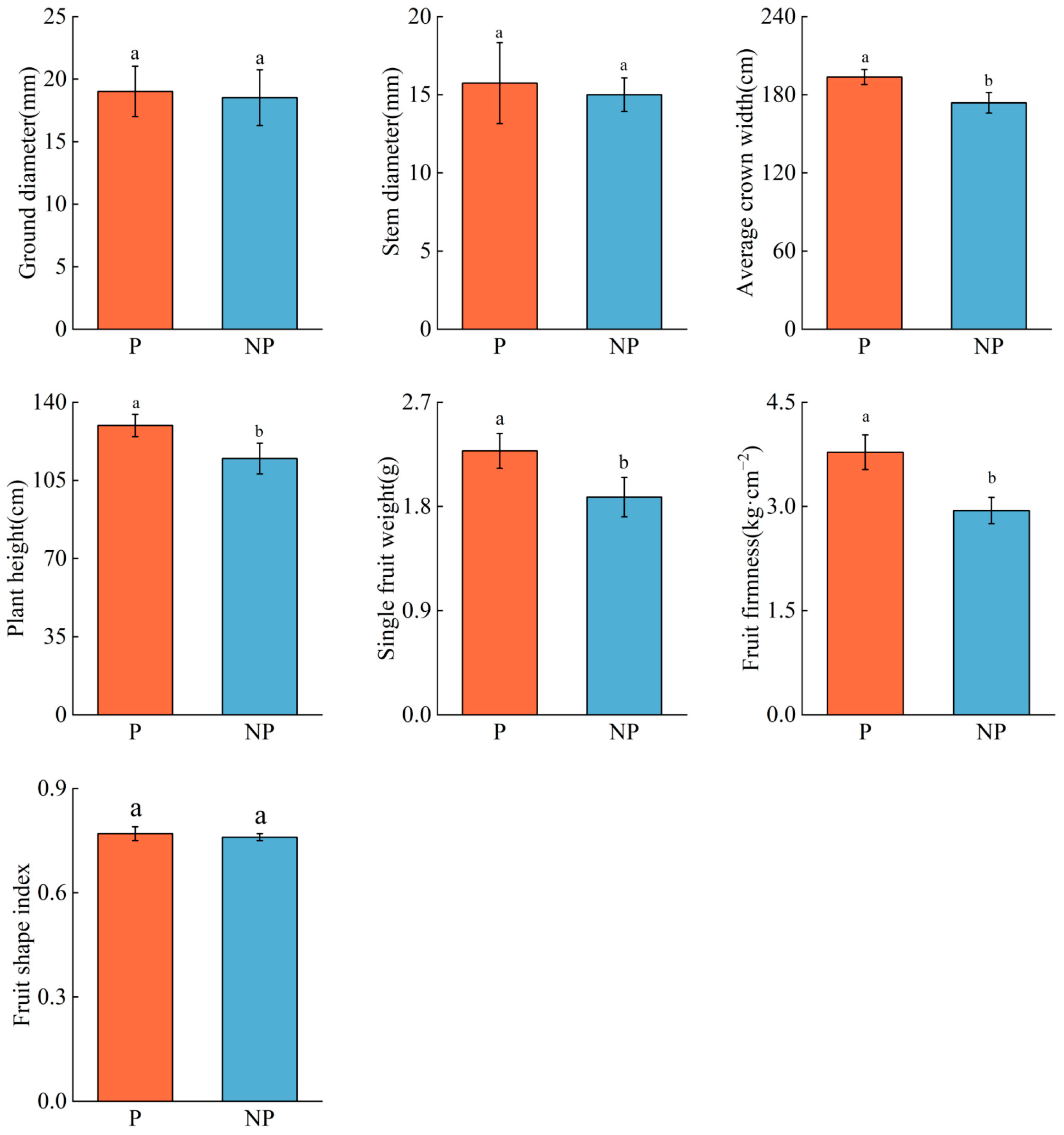
Parasitism by M. savatieri did not significantly affect the ground diameter, stem diameter, or fruit shape index of blueberry plants (p > 0.05). However, it exerted significant effects on plant height, average crown width, single fruit weight, and fruit firmness (p < 0.05, Figure 2). Specifically, compared with the non-parasitized (NP) group, plants in the parasitized (P) group showed increases of 12.89% in plant height, 11.39% in crown diameter, and 53.19% and 28.57% in individual fruit weight and firmness, respectively. These results indicate that parasitism by M. savatieri positively influences plant height, average crown width, single fruit weight, and fruit firmness in blueberry plants.

3.2. Effects of M. savatieri Parasitism on Soil Physicochemical Properties and Enzyme Activities in the Rhizosphere of Host Blueberry

M. savatieri parasitism exerted a significant influence on the physicochemical properties of the rhizosphere soil of its host blueberry plants (Figure 3). Among the nine measured soil physicochemical parameters, only soil organic matter (SOM) content showed no significant difference between the parasitised (P) and non-parasitised (NP) groups (p > 0.05). All other parameters exhibited significant differences (p < 0.05). Parasitism by M. savatieri significantly reduced soil pH and electrical conductivity (EC), with values of 4.19 and 2.40 mS cm−1 respectively in the parasitised group (P), significantly lower than the 4.43 and 3.55 mS cm−1 recorded in the non-parasitised group (NP). Compared to the non-parasitised treatment (NP), parasitism by M. savatieri reduced the contents of total nitrogen (TN), total phosphorus (TP), and total potassium (TK) in the blueberry rhizosphere by 9.46%, 22.11%, and 20.35%, respectively. Similarly, alkali-hydrolyzable nitrogen (AN) and available potassium (AK) concentrations dropped significantly by 42.48% and 23.71%, respectively. Notably, in contrast to the general decline observed in most soil nutrients, available phosphorus (AP) content increased by 14.78% in the parasitized group, with the difference between treatments reaching statistical significance.
Parasitism by M. savatieri significantly affected the activities of four soil enzymes in the blueberry rhizosphere (p < 0.05, Figure 4). Specifically, compared to the non-parasitized (NP) group, the parasitized (P) group showed a 2.00-fold increase in soil urease (S-UE) activity and a 2.40-fold increase in soil nitrate reductase (S-NR) activity, while soil sucrase (S-SC) activity increased by 45.70%. In contrast, soil acid phosphatase (S-ACP) activity in the parasitized group was reduced by 10.90% compared to the non-parasitized group, with the difference between treatments reaching statistical significance.

3.3. Effects of M. savatieri Parasitism on the Rhizosphere Soil Microbial Community of Host Blueberry

3.3.1. Analysis of Alpha Diversity in Rhizosphere Microbial Communities

Significant differences were observed in the Chao1 index and Shannon index of rhizosphere bacteria between the P and NP groups (p < 0.01, Figure 5a,b). The Chao1 index in the P group was significantly lower than that in the NP group, whereas the Shannon index was significantly higher. These results indicate that parasitism by M. savatieri reduced the richness of rhizosphere bacteria but increased their species diversity. Significant differences were observed in the Shannon index of blueberry rhizosphere fungi between the P and NP groups (p < 0.05), whereas no significant difference was found in the Chao1 index (p > 0.05, Figure 5c,d). It is demonstrated that the parasitism of M. savatieri increases the diversity of the rhizosphere fungal community of the host blueberry. Comprehensive analysis reveals that the parasitism of M. savatieri to varying degrees increases the species diversity of rhizosphere bacteria and fungi of the host blueberry, and the effect on bacteria is more significant.

3.3.2. Beta Diversity Analysis of Rhizosphere Microbial Communities

Principal coordinate analysis (PCoA) based on Bray–Curtis distance combined with permutational multivariate analysis of variance (PERMANOVA/Adonis) revealed the impact of the presence or absence of M. savatieri parasitism on the microbial community structure in the rhizosphere soil of blueberries. For bacteria, the first principal coordinate axis (PCoA1) and the second principal coordinate axis (PCoA2) explained 94.55% and 2.32% of the variance among sample groups, respectively, with a total explanatory rate of 96.87% (Figure 5e). The PCoA1 axis completely separated the M. savatieri parasitism group (P) from the non-parasitism group (NP), and samples within each group were highly clustered. Although the sample size was limited (n = 3), the Adonis test was only marginally significant (p = 0.1), the high effect size (R2 = 0.945) indicated that M. savatieri parasitism was the main factor causing the differences in the bacterial community structure of the host. For fungi, the contribution of the first principal coordinate axis (PCoA1) to the inter-group differences was 82.08%, and that of the second principal coordinate axis (PCoA2) was 7.15%. The cumulative variance contribution rate of the two principal components reached 89.23% (Figure 5f). The P group and the NP group were well separated on the PCoA1 axis. The Adonis test results were similar to those of bacteria (R2 = 0.819, p = 0.1), indicating a clear separation in the fungal community structure between the two groups.

3.3.3. Analysis of Rhizosphere Microbial Community Composition at the Phylum and Genus Levels

In the Parasitism (P) and Non-parasitism (NP) groups of the M. savatieri, there were six dominant bacterial phyla with a relative abundance greater than 1% in the blueberry rhizosphere soil (Figure S1a). Pseudomonadota was the most dominant bacterial phylum in both the P group (38.71%) and the NP group (39.96%). In the rhizosphere soil of the P group, the other dominant bacterial phyla and their relative abundances were Actinomycetota (18.73%), Acidobacteriota (17.50%), Verrucomicrobiota (10.56%), Bacteroidota (7.16%), and Patescibacteria (1.68%), in order. In the rhizosphere soil of the NP group, the other dominant bacterial phyla and their relative abundances were Actinomycetota (19.58%), Acidobacteriota (14.17%), Verrucomicrobiota (12.17%), Bacteroidota (7.33%), and Patescibacteria (1.94%), in order. Although the community composition at the phylum level was identical between the P and NP groups, variations in the relative abundances of dominant phyla were observed. Notably, the differences in Verrucomicrobiota and Patescibacteria between groups reached statistical significance.
At the bacterial genus level, UBA11358 was the most abundant in both the P (4.76%) and NP (5.98%) groups. Among the top ten dominant bacterial genera, the relative abundances of Terracidiphilus, Rhizomicrobium (p < 0.01), Pseudolabrys and Palsa-465 (p < 0.01) was significantly higher in the P group than in the NP group, while the relative abundance of UBA11358, 13-2-20CM-66-19 (p < 0.01), Rhodanobacter (p < 0.01), 66-474 (p < 0.01), and UBA7542 (p < 0.01) was significantly higher in the NP group than in the P group (Figure S1b). The composition of dominant bacterial genera was the same in both the P and NP groups, but the relative abundance of most genera showed extremely significant differences.
At the level of the fungal phylum, Ascomycota was the most dominant in both the P group (62.81%) and NP group (59.30%). Other dominant fungal phyla with relative abundances exceeding 1%, listed in descending order, were Basidiomycota, Mucoromycota, Chytridiomycota, and Zoopagomycota (Figure S1c). The community composition at the phylum level was the same in the P group and the NP group. However, there were significant differences in the Ascomycota and Basidiomycota phyla between the groups.
At the level of fungal genus, Fusarium (5.60%) and Leucocoprinus (9.75%) were the most abundant in the P and NP groups, respectively. The relative abundances of the other dominant fungal genera were mostly significantly different between the two groups. Specifically, the relative abundance of Serendipita in the P group was significantly higher than that in the NP group; while Knufia (p < 0.01), Aureobasidium, Leucoagaricus (p < 0.01), and Agaricus were significantly more abundant in the NP group than in the P group. Among them, the largest difference in relative abundance between the groups was Leucocoprinus (p < 0.01) (Figure S1d).

3.4. Correlation Analysis of Blueberry Growth Indicators, Rhizosphere Microorganisms, and Soil Environmental Factors

The correlation between blueberry growth indicators and soil environmental factors was analyzed using Pearson’s correlation coefficient (Table S1). Plant height of blueberry was significantly negatively correlated with soil pH, total nitrogen (TN), total phosphorus (TP), total potassium (TK), alkali-hydrolyzable nitrogen (AN), and available potassium (AK), while it was significantly positively correlated with soil urease (S-UE) activity. Average crown width showed an extremely significant negative correlation with TN, and significant negative correlations with soil pH, electrical conductivity (EC), TP, TK, AN, available phosphorus (AP), AK, and soil acid phosphatase (S-ACP) activity, whereas it exhibited a significant positive correlation with soil sucrase (S-SC) activity. Single fruit weight of blueberry was significantly negatively correlated with soil pH, TN, TP, TK, AN, and AK, and significantly positively correlated with S-UE activity. Fruit firmness was extremely significantly negatively correlated with soil pH, TP, TK, AN, and AK; significantly negatively correlated with EC and TN; and significantly positively correlated with AP, S-SC activity, and soil nitrate reductase (S-NR) activity. Comprehensive analysis revealed that ground diameter, stem diameter, and fruit shape index of blueberry exhibited weak correlations with soil environmental factors, while the remaining growth indicators were significantly negatively correlated with soil pH, EC, and most soil nutrient contents, and significantly positively correlated with S-UE, S-SC, and S-NR activities.
Redundancy analysis (RDA) was performed to examine the relationship between the rhizosphere microbial community structure of blueberry and soil environmental factors. For the bacterial community, the first two ordination axes, RDA1 and RDA2, respectively explained 89.52% and 6.31% of the variation in the bacterial community structure composition. Permutation tests indicated that AP, S-UE and AN were the main influencing factors, among which AP (p = 0.010) and S-UE (p = 0.014) were significant, while AN showed a marginal effect (p = 0.094) (Figure 6a). The correlations between soil factors and the relative abundances of the top ten bacterial genera were analyzed using Spearman’s correlation coefficient (uncorrected FDR) and visualized in a heatmap (Figure 6c). Rhodanobacter, 66-474, 13-2-20CM-66-19, UBA11358, and UBA7542 showed positive correlations with soil TP, TK, AN, AK, EC, S-ACP, pH, TN, but negative correlations S-SC, S-UE, AP, and S-NR activities. Specifically, Rhodanobacter was significantly positively correlated with TP, AN, and AK, and extremely significantly negatively correlated with S-UE activity; 66-474 was significantly positively correlated with TP, and significantly negatively correlated with AP and S-NR activities; 13-2-20CM-66-19 was extremely significantly positively correlated with EC, and significantly negatively correlated with AP and S-NR activities; UBA11358 and UBA7542 were extremely significantly and significantly positively correlated with EC, S-ACP, pH, TN, AN, and AK, and extremely significantly negatively correlated with S-SC activity. In contrast, Rhizomicrobium, Pseudolabrys, Terracidiphilus, and Palsa-465 exhibited negative correlations with TP, TK, AN, AK, EC, S-ACP, pH, and TN, but positive correlations with S-SC, S-UE, AP, and S-NR activities. Specifically, Rhizomicrobium and Pseudolabrys were extremely significantly negatively correlated with EC, and significantly positively correlated with AP and S-NR activities; Terracidiphilus was extremely significantly and significantly negatively correlated with TP, AN, AK, TK, and S-ACP activity, and extremely significantly positively correlated with S-SC activity; Palsa-465 was significantly negatively correlated with TP, AN, and AK, and extremely significantly positively correlated with S-UE activity.
Thus, the rhizosphere bacterial communities of blueberry can be categorized into two distinct groups, which exhibit opposite correlation patterns with soil environmental factors. Among them, the bacterial community such as Rhodanobacter is positively correlated with pH, EC and most soil nutrient contents, and negatively correlated with most soil enzyme activities such as S-UE and S-NR; the bacterial community such as Rhizomicrobium shows the opposite correlation trend, and each bacterial community has its extremely significant or significant specific related factors. In addition, Trinickia has no obvious or significant correlation with soil environmental factors.
In the fungal community, the first two ordination axes, RDA1 and RDA2, respectively explained 89.48% and 6.77% of the variation in the composition of the fungal community structure. Permutation tests indicated that pH (p = 0.010), AK (p = 0.032), and TK (p = 0.032) were the main influencing factors affecting the differences in the composition of the fungal community (Figure 6b). The relationship between soil factors and the top ten genera with the highest relative abundance in the fungal community was analyzed using the Spearman coefficient (uncorrected FDR) and presented in the form of a heatmap (Figure 6d). Fusarium and Serendipita were negatively correlated with TP, AN, AK, pH, TN, TK, EC, and S-ACP activity, while showing positive correlations with S-NR, S-UE, AP, and S-SC activities. Specifically, Fusarium exhibited significant negative correlations with TP, AN, and AK (p < 0.05) and an extremely significant positive correlation with S-UE activity (p < 0.01). Serendipita was extremely significantly and significantly negatively associated with AN, AK, and EC. In contrast, Knufia, Aureobasidium, Rhizopus, Leucoagaricus, Leucocoprinus, and Agaricus displayed the opposite trend, correlating positively with the primary soil nutrients and S-ACP activity, but negatively with S-NR, S-UE, AP, and S-SC activities. Specifically, Knufia was significantly positively correlated with TK (p < 0.05), while showing extremely significant negative associations with S-NR and AP (p < 0.01). Aureobasidium exhibited extremely significant and significant positive correlations with TN, TP, AN, AK, and pH, but was extremely significantly negatively associated with S-UE activity. For Rhizopus, extremely significant and significant positive correlations with pH, TN, EC, S-ACP, AN, and AK, whereas a extremely significant negative correlation was found with S-SC activity. Similarly, the genera Leucoagaricus, Leucocoprinus, and Agaricus displayed extremely significant and significant positive correlations with TN, pH, TK, EC, and S-ACP activity, alongside significant negative correlations with S-UE and S-SC activities.
These results indicate that Fusarium and Serendipita represent one group of fungi, which is negatively correlated with most soil physicochemical factors (e.g., AN and AK) but positively correlated with most soil enzyme activities (e.g., S-UE and S-NR). The other group, represented by genera such as Knufia, exhibited opposite correlation trends. Each fungal group showed specific factors that were extremely significantly or significantly correlated with its abundance. In addition, Sarocladium and Colletotrichum displayed no obvious or significant correlations with soil environmental factors.

3.5. Analysis of Compositional Differences in Rhizosphere Microbial Communities

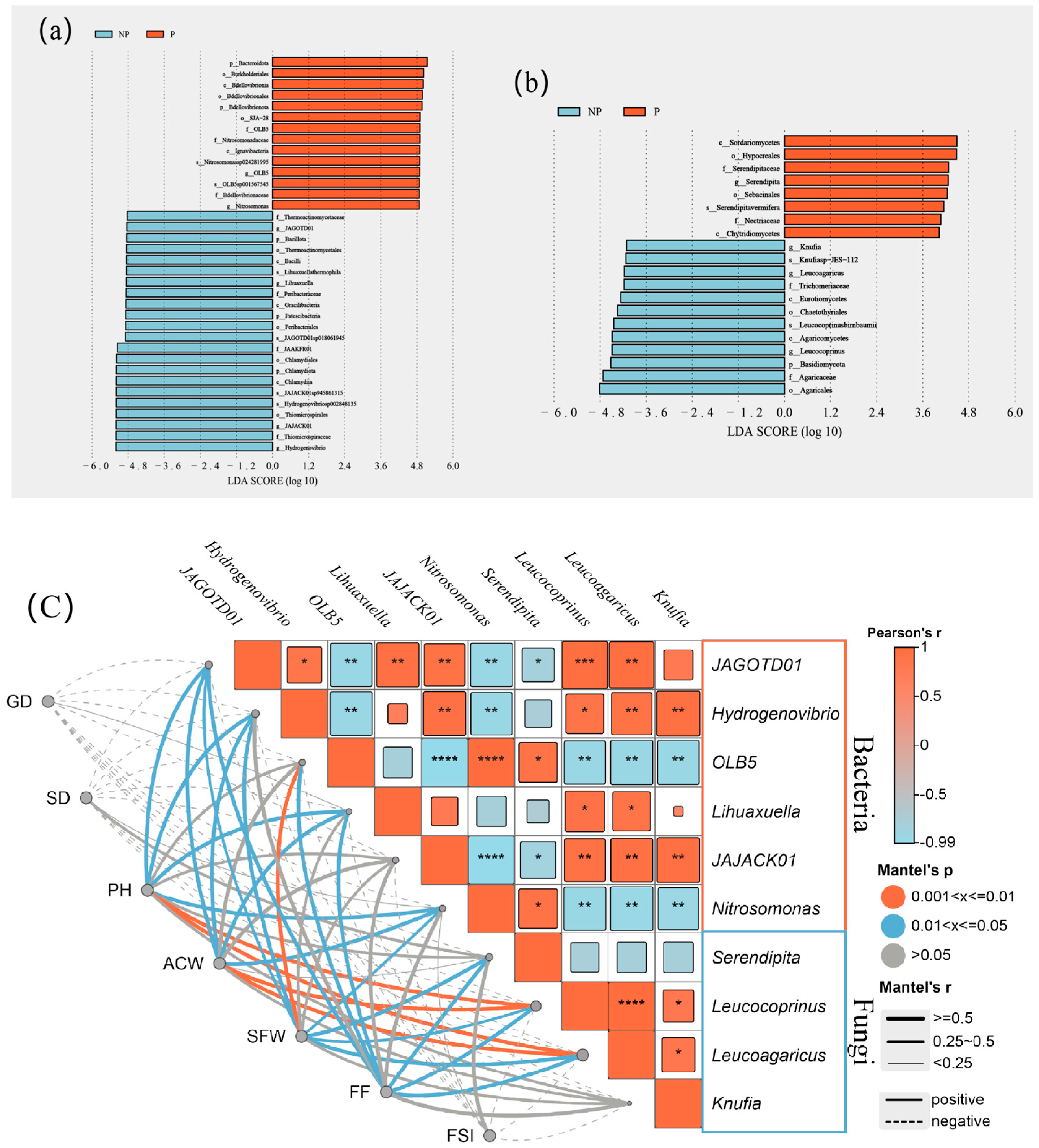
Based on Linear Discriminant Analysis Effect Size (LEfSe) analysis, a total of 36 significantly different bacterial taxa were identified in the rhizosphere soil of blueberry between the parasitized (P) and non-parasitized (NP) groups (LDA threshold > 4.8; Figure 7a). In the P group, taxa such as Bacteroidota, Bdellovibrionota, Bdellovibrionia, Ignavibacteria, Burkholderiales, Bdellovibrionales, and Nitrosomonadaceae were significantly enriched. In the NP group, significant enrichment was observed for Bacillota, Patescibacteria, Chlamydiota, Bacilli, Gracilibacteria, Chlamydiia, Thermoactinomycetales, and Thiomicrospirales, among others.
For fungi, 20 significantly different fungal taxa were identified between the P and NP groups (LDA threshold > 4; Figure 7b). In the P group, Sordariomycetes, Chytridiomycetes, Hypocreales, Sebacinales, Nectriaceae, Serendipitaceae, and Serendipita were significantly enriched. In the NP group, significant enrichment was observed for Basidiomycota, Eurotiomycetes, Agaricomycetes, Chaetothyriales, Agaricales, Agaricaceae, Leucoagaricus, and Leucocoprinus, among others.
Correlation analysis was conducted between differential microorganisms at the genus level and blueberry growth indicators (Figure 7c). Plant height and average crown width of blueberry exhibited extremely significant positive correlations (p < 0.01) with the fungal genera Leucocoprinus and Leucoagaricus, and significant positive correlations (p < 0.05) with the bacterial genera JAGOTD01, Hydrogenovibrio, Lihuaxuella, and Nitrosomonas. Single fruit weight showed an extremely significant positive correlation with the bacterial genus OLB5, and significant positive correlations with the bacterial genus Hydrogenovibrio and the fungal genera Serendipita and Leucoagaricus. Fruit firmness was significantly positively correlated with the bacterial genera JAGOTD01, OLB5, and Lihuaxuella, as well as the fungal genera Serendipita, Leucocoprinus, and Leucoagaricus. Negative correlations were observed between blueberry ground diameter, stem diameter, fruit shape index, and rhizosphere microorganisms, though these did not reach statistical significance (p > 0.05).

3.6. Functional Composition and Differential Analysis of the Blueberry Rhizosphere Microbial Community

Functional annotation based on the KEGG database and STAMP differential analysis (statistical method: Welch’s t-test, Benjamini–Hochberg FDR correction, q < 0.05) indicated that there were significant differences in the functional composition of rhizosphere microbiota between the P group and the NP group. At the secondary functional level (Figure 8a), compared with the NP group, the P group exhibited significant enrichment in four pathways (q < 0.05), including Nervous system, Transcription, Signaling molecules and interaction, and Cellular community—eukaryotes. Conversely, the relative abundances of four pathways were significantly reduced in the P group (q < 0.05), namely Amino acid metabolism, Folding, sorting and degradation, Cell growth and death, and Aging.
At the tertiary functional level (Figure 8b), the top 25 pathways showing the most significant differences between the P and NP groups are displayed. Compared with the NP group, the P group showed significant enrichment in 10 pathways (p < 0.05), including Necroptosis, Glutamatergic synapse, Xylene degradation, Renin secretion, and mRNA surveillance pathway. In contrast, the relative abundances of 15 pathways were significantly reduced in the P group (p < 0.05), such as Biofilm formation—Pseudomonas aeruginosa, Biofilm formation—Vibrio cholerae, Tryptophan metabolism, Fatty acid degradation, and Lysine degradation.

4. Discussion

Parasitism by M. savatieri exerted positive effects on the growth and development of the host blueberry. The results of this study demonstrated that plant height, average crown width, single fruit weight, and fruit firmness of blueberry were significantly higher in the parasitized group than in the non-parasitized group. This finding contrasts with several previous reports on parasitic plants typically suppress the growth of their hosts. For instance, parasitism by Cistanche tubulosa and Cistanche deserticola on Tamarix chinensis and Haloxylon ammodendron respectively, growth parameters such as plant height, stem diameter, ground diameter, and crown width were all suppressed in the host plants T. chinensis and H. ammodendron [37,38]. Similarly, research by Alcántara et al. [39] also demonstrated that parasitism by O. cernua inhibits the growth and development of sunflowers to varying degrees, which contradicts the findings of this study. It is speculated that this is related to the supply conditions of nutrients and water for the two plants during the experiment period, and as well as the unique nutrient transport mechanism between them. However, the number of samples in this study is limited and the experimental conditions are relatively simple. The universality of the conclusion needs to be further verified by expanding the sample size under more blueberry varieties and different cultivation conditions.
The rhizosphere, as the most active interface for material exchange between plants and soil, is the core area for plants to obtain nutrients and water. Its nutrient level largely depends on the intensity of plants’ utilization of soil resources [40,41]. This study shows that the parasitism of M. savatieri significantly reduced the contents of total nitrogen (TN), total phosphorus (TP), total potassium (TK), alkali-hydrolyzable nitrogen (AN) and available potassium (AK) in the rhizosphere soil of blueberry. This finding is aligns with the results that Cuscuta campestris parasitizing Mikania micrantha [42] and Cuscuta chinensis parasitizing Glycine max [43] both led to a decrease in soil nutrient content in the host root zone. The reason for this is that M. savatieri, as a nutrient sink, may drive the host blueberry to produce compensatory nutrient absorption to make up for the resource loss caused by parasitism, thereby significantly reducing the nutrient content in the rhizosphere soil [44].
On the contrary, the parasitism of M. savatieri significantly increased the content of available phosphoru (AP)s in the rhizosphere soil of the host blueberry. This might be due to the fact that the parasitism of M. savatieri changed the root exudates of the host blueberry, among which organic acids could activate insoluble phosphorus compounds into available phosphorus that could be absorbed by plants through acid dissolution and complexation mechanisms [45,46,47]. Additionally, soil enzymes play a crucial role in nutrient cycling and plant growth. In this study, the parasitism of M. savatieri enhanced the activities of soil urease (S-UE), sucrase (S-SC), and nitrate reductase (S-NR), which is inconsistent with the effect of C. campestris parasitism on the soil enzyme activities of M. micrantha [42]. The increase in soil enzyme activities might be an adaptive response of the host to resist parasitic stress. Notably, the activity of soil acid phosphatase (S-ACP) showed an opposite trend, which is consistent with the conclusion of increased available phosphorus content in this study. It indicates that when the available phosphorus content in the soil is sufficient, the host blueberry may not need to secrete a large amount of acid phosphatase to decompose phosphorus nutrients.
The parasitism of M. savatieri significantly affected the diversity of the rhizosphere soil microbial community of the host blueberry, which is similar to the previous studies on C. DeserticolaH. ammodendron [48] and Cuscuta australisAlternanthera philoxeroides [49]. In this study, the parasitism of M. savatieri significantly reduced the Chao1 index of the rhizosphere bacterial community of the host blueberry, but significantly increased the Shannon index of both the bacterial and fungal communities. This indicates that although the parasitism of M. savatieri reduced the species richness of the bacterial community, it significantly enhanced the diversity and evenness of the rhizosphere microbial community. This phenomenon suggests that the parasitism of M. savatieri drives the reorganization of the rhizosphere microbial community structure, and the mechanism may be related to the changes in the composition and secretion pattern of root exudates of the host blueberry under parasitic stress [50,51]. From the perspective of species taxonomy, the composition of dominant microbial species in the rhizosphere of blueberry in the M. savatieri parasitism group and the non-parasitism group was highly similar, but their relative abundances were different.
At the phylum level, Pseudomonadota, Actinomycetota, and Acidobacteriota constituted the predominant bacterial taxa in the blueberry rhizosphere, while Ascomycota and Basidiomycota dominated the fungal community, irrespective of M. savatieri parasitism. This is in line with the general existence pattern of soil microbial communities [52,53]. At the genus level of bacteria, the relative abundance of Terracidiphilus, Rhizomicrobium, Pseudolabrys and Palsa-465 was significantly higher in the parasitic group of M. savatieri than in the non-parasitic group. Moreover, these bacterial genera were significantly positively correlated with soil sucrase (S-SC), urease (S-UE), nitrate reductase (S-NR) and available phosphorus (AP) content, indicating that this type of bacterial community is closely related to soil nitrogen fixation, phosphorus solubilization and other carbon, nitrogen and phosphorus cycling processes.
At the genus level of fungi, the relative abundance of Fusarium, Serendipita, Colletotrichum, and Rhizopus were higher in the parasitic group of M. savatieri than in the non-parasitic group. Among them, Fusarium and Colletotrichum are typical plant pathogenic fungi in nature [54,55]. The high proportion of Fusarium in the parasitic group may be related to its role as a pathogen causing root rot in M. savatieri [56]. This study found that Fusarium was significantly positively correlated with soil urease (S-UE) and soil nitrate reductase (S-NR), suggesting that it might indirectly affect nitrogen transformation efficiency by regulating the expression of nitrogen metabolism-related genes [57]. Rhizopus was significantly positively correlated with pH, electrical conductivity (EC), acid phosphatase (S-ACP), total nitrogen (TN) and available potassium (AK) content. This conclusion is consistent with the results of Ren et al. [58] on the correlation between soil fungi and physical and chemical properties.
Correlation analysis between the differential microbial communities at the genus level and the growth indicators of blueberry showed that the bacterial genera Nitrosomonas, OLB5, JAGOTD01, Hydrogenovibrio, and Lihuaxuella and the fungal genera Serendipita, Leucocoprinus, and Leucoagaricus were positively correlated with the plant height, average crown width, single fruit weight and fruit firmness of blueberry to varying degrees. Among them, the relative abundance of Nitrosomonas, OLB5, and Serendipita were higher in the parasitic group of M. savatieri than in the non-parasitic group. Combined with the KEGG database analysis, it was found that Nitrosomonas enriched the Calvin cycle marker gene K01601 (rbcL, cbbL), which encodes ribulose-1,5-bisphosphate carboxylase/oxygenase, a rate-limiting enzyme in the Calvin cycle for carbon fixation. This enzyme can catalyze the combination of CO2 with a five-carbon sugar phosphate to form a six-carbon compound, generating two molecules of 3-phosphoglyceric acid for subsequent reactions in the Calvin cycle, indicating that this genus has the potential for carbon fixation [59,60]. OLB5 enriched the key gene K00600 (glyA), which encodes serine/glycine hydroxymethyltransferase capable of catalyzing the reversible conversion between serine and glycine, and also provides one-carbon units for DNA replication, protein synthesis and methylation regulation in cellular metabolism [61]. The genus Serendipita enriched the gene K02971 (rps21), which encodes ribosomal small subunit protein S21. As a core component of the ribosome, it is closely related to protein synthesis and cell growth [62]. In summary, the better growth and development of blueberry in the parasitic group of M. savatieri may be related to the synergistic effect of Nitrosomonas, OLB5, and Serendipita. These functional microbial communities enhance the carbon and nitrogen cycling functions in the rhizosphere soil, providing sufficient nutrients and metabolic precursors for plant growth and development.
KEGG secondary pathway annotation results indicated that the transcription, signaling molecules and interaction, and cellular community—eukaryotes of the blueberry rhizosphere microbiota in the parasitic group of M. savatieri were significantly enriched, suggesting that the rhizosphere microbiota and blueberry frequently conducted cross-kingdom signal interactions. This complex molecular dialogue is the core for establishing a stable symbiotic relationship [63]. From the perspective of the third-level functional level of KEGG, the parasitism of M. savatieri significantly inhibited pathways such as “Pseudomonas aeruginosa biofilm formation”, indicating a reduction in the ability of harmful microorganisms to form protective biofilms and over-colonize in the rhizosphere, which helps to alleviate the potential pathogenic pressure on the host blueberry root system and improve rhizosphere health [64,65,66]. The inhibition of pathways such as “tryptophan metabolism” may affect certain nitrogen metabolism pathways, corresponding to the observed changes in rhizosphere soil nitrogen content in the study, which might be part of the parasitic plant’s strategy to regulate the host’s nutrient supply, guiding blueberry to utilize limited nutrients more effectively [67]. At the same time, the parasitism of M. savatieri significantly enriched some pathways related to stress resistance. “Necroptosis” is a regulated form of cell death often associated with plant defense responses [68], and its enrichment might imply that the microbial community assisted blueberries in activating some disease resistance or stress response mechanisms. The glutamate pathway may be involved in chemical signal communication between microorganisms and plants or among microorganisms (such as glutamate as a signaling molecule), which helps to coordinate the interactions among rhizosphere organisms [69,70]. The changes in these functional pathways directly reflect the reshaping of the rhizosphere microbial community structure (such as the enrichment of functional microorganisms like Nitrosomonas) in the aforementioned studies. Their core role is to inhibit the functions of potential harmful microorganisms, reducing their competition for space and resources in the blueberry rhizosphere; the optimized microbial functional network can jointly create a micro-ecological environment that is more conducive to the health of blueberry roots, reduces soil-borne diseases, and may promote the production of growth-regulating substances by plants.
In summary, the M. savatieri modifies the functional blueprint of the blueberry rhizosphere microbiota, selectively enhancing beneficial functions (such as signal transduction and stress response) while weakening detrimental ones (such as pathogen biofilm formation). This functional approach, “leverages strengths while mitigating limitations”, optimizes the service efficiency of the rhizosphere micro-ecosystem, representing one of the significant microbiological mechanisms by which it promotes blueberry growth. It explains from a functional perspective why parasitism can lead to an improvement in the growth indicators of the host.

5. Conclusions

The parasitism of M. savatieri on blueberry has a positive regulatory effect on the growth and development of blueberry. The parasitic effect significantly increased the activities of urease, sucrase and nitrate reductase in the rhizosphere soil of the host blueberry, thereby accelerating the conversion rate of soil nutrients. At the same time, the parasitic effect may have changed the rhizosphere microbiome by increasing the diversity of the rhizosphere microbial community and selectively enriching the functional bacterial groups Nitrosomonas, OLB5, and Serendipita. In terms of function, pathways related to stress resistance (necroptosis and glutamatergic synapses) were activated, while those related to pathogen colonization (Pseudomonas aeruginosa biofilm formation and tryptophan metabolism) were inhibited. It is speculated that these regulations further optimize the rhizosphere microecology of the host blueberry. Despite limitations in pot experiments, sample size, blueberry variety diversity, and endpoint sampling that prevented full revelation of the dynamic processes of the rhizosphere microenvironment, this study systematically elucidates the dual regulatory effects of M. savatieri parasitism on both biotic and abiotic components of the blueberry rhizosphere environment. These findings can provide a basis for cultivation management of this parasitic system.

Supplementary Materials

The following supporting information can be downloaded at https://www.mdpi.com/article/10.3390/agriculture16070735/s1, Figure S1: Microbial composition of blueberry rhizosphere. (a): Bacterial community composition at phylum level; (b): Bacterial community composition at genus level; (c): Fungal community composition at phylum level; (d): Fungal community composition at genus level. P: Parasitised by M. savatieri; NP: Not parasitised by M. savatieri; Table S1: Correlation Analysis of Blueberry Indicators with Soil Environmental Factors. GD: stem diameter at ground level, SD: stem thickness, PH: plant height, ACW: average canopy width, SFW: single fruit weight, FF: fruit firmness, FSI: fruit shape index.

Author Contributions

Software, C.C. and Y.L.; investigation, Y.Z. and X.S.; data curation, Y.P. and L.L.; writing—original draft preparation, Y.P. and L.L.; writing—review and editing, Z.Z.; visualization, L.L.; supervision, Z.Z.; funding acquisition Z.Z. All authors have read and agreed to the published version of the manuscript.

Funding

This research was funded by National Key R&D Program of China (2024YFC3506400).

Institutional Review Board Statement

Not applicable.

Data Availability Statement

The data presented in this study are available upon request from the corresponding author.

Conflicts of Interest

The authors declare no conflicts of interest.

References

  1. Zhang, M.H.; Chen, Y.L.; Ouyang, Y.; Huang, Z.G.; Teixeira Da Silva, J.A.; Ma, G.H. The Biology and Haustorial Anatomy of Semi-Parasitic Monochasma savatieri Franch. Ex Maxim. Plant Growth Regul. 2015, 75, 473–481. [Google Scholar] [CrossRef]
  2. Chen, L.L.; Zhu, Z.B.; Guo, Q.S.; Guo, J.; Huang, Z.G.; Zhang, H. The Changes of Morphological and Physiological Characteristics in Hemiparasitic Monochasma savatieri before and after Attachment to the Host Plant. PeerJ 2020, 8, e9780. [Google Scholar] [CrossRef]
  3. Liu, Y.L.; He, W.J.; Mo, L.; Shi, M.F.; Zhu, Y.Y.; Pan, S.; Li, X.R.; Xu, Q.M.; Yang, S.L. Antimicrobial, Anti-Inflammatory Activities and Toxicology of Phenylethanoid Glycosides from Monochasma savatieri Franch. Ex Maxim. J. Ethnopharmacol. 2013, 149, 431–437. [Google Scholar] [CrossRef]
  4. Shi, M.F.; He, W.J.; Liu, Y.L.; Li, X.R.; Yang, S.L.; Xu, Q.M. Protective Effect of Total Phenylethanoid Glycosides from Monochasma savatieri Franch on Myocardial Ischemia Injury. Phytomedicine 2013, 20, 1251–1255. [Google Scholar] [CrossRef]
  5. Arshad, M.T.; Maqsood, S.; Ikram, A.; Xu, B.J. Preventive Effects of Bioactive Compounds in Blueberries (Vaccinium spp.) against Chronic Diseases and Their Molecular Mechanisms. J. Future Foods 2025, in press. [Google Scholar] [CrossRef]
  6. Cameron, D.D.; Geniez, J.M.; Seel, W.E.; Irving, L.J. Suppression of Host Photosynthesis by the Parasitic Plant Rhinanthus minor. Ann. Bot. 2008, 101, 573–578. [Google Scholar] [CrossRef]
  7. Těšitel, J.; Plavcová, L.; Cameron, D.D. Interactions between Hemiparasitic Plants and Their Hosts: The Importance of Organic Carbon Transfer. Plant Signal. Behav. 2010, 5, 1072–1076. [Google Scholar] [CrossRef]
  8. Li, J.M.; Yang, B.F.; Yan, Q.D.; Zhang, J.; Yan, M.; Li, M. Effects of a Native Parasitic Plant on an Exotic Invader Decrease with Increasing Host Age. AoB Plants 2015, 7, plv031. [Google Scholar] [CrossRef] [PubMed]
  9. Ossa, C.G.; Aros-Mualin, D.; Mujica, M.I.; Pérez, F. The Physiological Effect of a Holoparasite over a Cactus Along an Environmental Gradient. Front. Plant Sci. 2021, 12, 763446. [Google Scholar] [CrossRef] [PubMed]
  10. Shen, H.; Xu, S.J.; Hong, L.; Wang, Z.M.; Ye, W.H. Growth but Not Photosynthesis Response of a Host Plant to Infection by a Holoparasitic Plant Depends on Nitrogen Supply. PLoS ONE 2013, 8, e75555. [Google Scholar] [CrossRef] [PubMed]
  11. Matthies, D. Interactions between a Root Hemiparasite and 27 Different Hosts: Growth, Biomass Allocation and Plant Architecture. Perspect. Plant Ecol. Evol. Syst. 2017, 24, 118–137. [Google Scholar] [CrossRef]
  12. Montes-Hernández, E.; Sandoval-Zapotitla, E.; Bermúdez-Torres, K.; Trejo-Espino, J.L.; Trejo-Tapia, G. Hemiparasitic Interaction between Castilleja tenuiflora (Orobanchaceae) and Baccharis conferta (Asteraceae): Haustorium Anatomy and C- and N-Fluxes. Bot. Sci. 2019, 97, 192–201. [Google Scholar] [CrossRef]
  13. Miao, Y.J.; Zhang, X.K.; Zhang, G.S.; Feng, Z.; Pei, J.; Liu, C.; Huang, L.F. From Guest to Host: Parasite Cistanche deserticola Shapes and Dominates Bacterial and Fungal Community Structure and Network Complexity. Environ. Microbiome 2023, 18, 11. [Google Scholar] [CrossRef]
  14. Ishida, J.K.; Costa, E.C. What We Know so Far and What We Can Expect next: A Molecular Investigation of Plant Parasitism. Genet. Mol. Biol. 2024, 47, e20240051. [Google Scholar] [CrossRef] [PubMed]
  15. Enagbonma, B.J.; Fadiji, A.E.; Ayangbenro, A.S.; Babalola, O.O. Communication between Plants and Rhizosphere Microbiome: Exploring the Root Microbiome for Sustainable Agriculture. Microorganisms 2023, 11, 2003. [Google Scholar] [CrossRef] [PubMed]
  16. Handakumbura, P.P.; Rivas Ubach, A.; Battu, A.K. Visualizing the Hidden Half: Plant-Microbe Interactions in the Rhizosphere. MSystems 2021, 6, e00765-21. [Google Scholar] [CrossRef]
  17. Haldar, S.; Sengupta, S. Plant-Microbe Cross-Talk in the Rhizosphere: Insight and Biotechnological Potential. Open Microbiol. J. 2015, 9, 1–7. [Google Scholar] [CrossRef]
  18. Li, J.J.; Fan, M.C.; Shangguan, Z.P. Research Advances in the Main Ecological Functions of Root Exudates. Chin. Bull. Bot. 2020, 55, 788–796. [Google Scholar]
  19. Wu, L.K.; Lin, X.M.; Lin, W.X. Advances and Perspective in Research on Plant-Soil-Microbe Interactions Mediated by Root Exudates. Chin. J. Plant Ecol. 2014, 38, 298–310. [Google Scholar]
  20. Agarwal, P.; Barney, J.; Strahm, B.S.; Brown, B.L.; Badgley, B.D. Assessing the Effects of Plant Species, Functional Traits and Groups on Soil Microbial Diversity. Appl. Soil Ecol. 2025, 214, 106392. [Google Scholar] [CrossRef]
  21. Jiang, Z.Q.; Zhao, Q.Q.; Bai, R.N.; Yu, R.; Diao, P.F.; Yan, T.; Duan, H.M.; Ma, X.S.; Zhou, Z.K.; Fan, Y.Y.; et al. Host Sunflower-Induced Silencing of Parasitism-Related Genes Confers Resistance to Invading Orobanche cumana. Plant Physiol. 2021, 185, 424–440. [Google Scholar] [CrossRef]
  22. Pincovici, S. Source-Sink Relations of Sunflower Plants as Affected by a Parasite Modifies Carbon Allocations and Leaf Traits. Plant Sci. 2018, 271, 100–107. [Google Scholar] [CrossRef]
  23. Xi, J.; Lei, B.L.; Liu, Y.X.; Ding, Z.B.; Liu, J.X.; Xu, T.Q.; Hou, L.J.; Han, S.Q.; Qian, X.; Ma, Y.Q.; et al. Microbial Community Roles and Chemical Mechanisms in the Parasitic Development of Orobanche cumana. IMeta 2022, 1, e31. [Google Scholar] [CrossRef]
  24. Ullah, S.; Raza, M.M.; Abbas, T.; Guan, X.; Zhou, W.; He, P. Responses of Soil Microbial Communities and Enzyme Activities under Nitrogen Addition in Fluvo-Aquic and Black Soil of North China. Front. Microbiol. 2023, 14, 1249471. [Google Scholar] [CrossRef] [PubMed]
  25. Burns, R.G.; DeForest, J.L.; Marxsen, J.; Sinsabaugh, R.L.; Stromberger, M.E.; Wallenstein, M.D.; Weintraub, M.N.; Zoppini, A. Soil Enzymes in a Changing Environment: Current Knowledge and Future Directions. Soil Biol. Biochem. 2013, 58, 216–234. [Google Scholar] [CrossRef]
  26. Luo, G.S.; Liu, S.Z.; Li, F.Q.; Zeng, M.S.; Zou, Y.L.; Zhu, X.M.; Zhou, X.H.; Zhu, K.F. Comparison of fungal community diversity in rhizosphere soil of Monochasma savatieri in wild and cultivated habitats. J. Beijing For. Univ. 2024, 46, 53–62. [Google Scholar]
  27. Li, F.Q.; Liu, S.Z.; Luo, G.S.; Zou, Y.L. Analysis of bacterial community structure and diversity in rhizosphere soil of Monochasma savatieri in different habitats. Sci. Silv. Sin. 2025, 61, 47–56. [Google Scholar]
  28. Chi, G.Y.; Fang, Y.T.; Zhu, B.; Guo, N.; Chen, X. Intercropping with Brassica juncea L. Enhances Maize Yield and Promotes Phytoremediation of Cadmium-Contaminated Soil by Changing Rhizosphere Properties. J. Hazard. Mater. 2024, 461, 132727. [Google Scholar] [CrossRef]
  29. Guan, B.; Lu, G.R.; Hou, A.; Lyu, X.F.; Wang, Z.K.; Yang, J.S.; Yu, J. Variations in Soil Fungal Community Composition Along A Salinity Gradient in Yellow River Delta, China. Chin. Geogr. Sci. 2025, 35, 1473–1486. [Google Scholar] [CrossRef]
  30. Sukitprapanon, T.S.; Jantamenchai, M.; Tulaphitak, D.; Vityakon, P. Nutrient Composition of Diverse Organic Residues and Their Long-Term Effects on Available Nutrients in a Tropical Sandy Soil. Heliyon 2020, 6, e05601. [Google Scholar] [CrossRef]
  31. Wang, C.L.; Guo, Q.S.; Chen, B.X. Analysis on character of mineral elements in Changium smyrnioides and rhizosphere soil. China J. Chin. Mater. Medica 2018, 43, 1579–1587. [Google Scholar]
  32. Song, X.L.; Wang, Z.J.; Yin, X.W.; Sun, Y.L.; Jang, D.J.; Hong, S.K. The impact of nitrogen deposition on nitrogen metabolism in ryegrass lawn with different soil nutrient levels. Sci. Rep. 2025, 15, 16755. [Google Scholar] [CrossRef]
  33. Koralage, I.S.A.; Silva, N.R.N.; De Silva, C.S. The determination of available phosphorus in soil: A quick and simple method. OUSL J. 2015, 8, 1–17. [Google Scholar] [CrossRef]
  34. Grewal, K.S.; Kumar, S.; Bhat, M.A.; Tomar, D. Comparison of chemical extractants for determination of available potassium. Int. J. Chem. Stud. 2017, 5, 417–423. [Google Scholar]
  35. Bao, S.D. Agrochemical Analysis of Soils, 3rd ed.; China Agriculture Press: Beijing, China, 2000. [Google Scholar]
  36. Saiya-Cork, K.R.; Sinsabaugh, R.L.; Zak, D.R. The Effects of Long Term Nitrogen Deposition on Extracellular Enzyme Activity in an Acer Saccharum Forest Soil. Soil Biol. Biochem. 2002, 34, 1309–1315. [Google Scholar] [CrossRef]
  37. Guo, F.D.; Pan, J.W.; Liu, J.N.; Yin, X.; Hou, L.; Wang, S.; Kang, C.Z.; Guan, R.W.; Zhang, C.C.; Lin, H.B.; et al. Integrated Hormone and Transcriptome Analyses Reveal the Mechanisms Underlying Growth and Development Changes of Tamarix chinensis Parasitized by Cistanche tubulosa. Ind. Crop. Prod. 2025, 230, 121109. [Google Scholar] [CrossRef]
  38. Bai, D.Y.; Zhang, H.H. A Parasitic Model between Haloxylon ammodendron and Cistanche deserticola under Harvesting Pressure. Chaos Solitons Fractals 2025, 191, 115892. [Google Scholar] [CrossRef]
  39. Alcántara, E.; Morales-García, M.; Díaz-Sánchez, J. Effects of Broomrape Parasitism on Sunflower Plants: Growth, Development, and Mineral Nutrition. J. Plant Nutr. 2006, 29, 1199–1206. [Google Scholar] [CrossRef]
  40. Holz, M.; Zarebanadkouki, M.; Benard, P.; Hoffmann, M.; Dubbert, M. Root and Rhizosphere Traits for Enhanced Water and Nutrients Uptake Efficiency in Dynamic Environments. Front. Plant Sci. 2024, 15, 1383373. [Google Scholar] [CrossRef]
  41. Liu, S.B.; He, F.K.; Kuzyakov, Y.; Xiao, H.X.; Hoang, D.T.T.; Pu, S.Y.; Razavi, B.S. Nutrients in the Rhizosphere: A Meta-Analysis of Content, Availability, and Influencing Factors. Sci. Total Environ. 2022, 826, 153908. [Google Scholar] [CrossRef] [PubMed]
  42. Li, J.M.; Zhong, Z.C.; Dong, M. Change of soil microbial biomass and enzyme activities in the community invaded by Mikania micrantha, due to Cuscuta campestris parasitizing the invader. Acta Ecol. Sin. 2008, 28, 868–876. [Google Scholar]
  43. Luo, W.; Li, Y.L.; Jia, Y.D.; Chen, Y.F.; Li, D.; Luo, R.P.; Wei, G.H.; Chou, M.X.; Chen, W.M. Positive Response of Host Root-Associated Bacterial Community and Soil Nutrients to Inhibitory Parasitism of Dodder. Plant Soil 2023, 488, 273–290. [Google Scholar] [CrossRef]
  44. Hibberd, J.M.; Quick, W.P.; Press, M.C.; Scholes, J.D. Can Source–Sink Relations Explain Responses of Tobacco to Infection by the Root Holoparasitic Angiosperm Orobanche cernua? Plant Cell Environ. 1998, 21, 333–340. [Google Scholar] [CrossRef]
  45. Jones, D.L. Organic Acids in the Rhizosphere—A Critical Review. Plant Soil 1998, 205, 25–44. [Google Scholar] [CrossRef]
  46. Liang, J.L.; Liu, J.; Jia, P.; Yang, T.T.; Zeng, Q.W.; Zhang, S.C.; Liao, B.; Shu, W.S.; Li, J.T. Novel Phosphate-Solubilizing Bacteria Enhance Soil Phosphorus Cycling Following Ecological Restoration of Land Degraded by Mining. ISME J. 2020, 14, 1600–1613. [Google Scholar] [CrossRef] [PubMed]
  47. Randall, P.J.; Hayes, J.E.; Hocking, P.J.; Richardson, A.E. Root Exudates in Phosphorus Acquisition by Plants. In Plant Nutrient Acquisition: New Perspectives; Ae, N., Arihara, J., Eds.; Springer: Tokyo, Japan, 2001; pp. 71–100. [Google Scholar]
  48. Miao, Y.J.; Zhang, X.K.; Pei, J.; Liu, C.; Huang, L.F. Adaptive Bacterial and Fungal Matching between a Parasitic Plant and Its Host: A Case of Cistanche deserticola and Haloxylon ammodendron. Ind. Crop. Prod. 2023, 191, 115932. [Google Scholar] [CrossRef]
  49. Wang, R.K.; Guan, M.; Li, Y.H.; Yang, B.F. Effect of the parasitic Cuscuta australis on the community diversity and the growth of Alternanthera philoxeroides. Acta Ecol. Sin. 2012, 32, 1917–1923. [Google Scholar] [CrossRef]
  50. Xie, X.N.; Yoneyama, K.; Yoneyama, K. The Strigolactone Story. Annu. Rev. Phytopathol. 2010, 48, 93–117. [Google Scholar] [CrossRef]
  51. Trivedi, P.; Leach, J.E.; Tringe, S.G.; Sa, T.; Singh, B.K. Plant–Microbiome Interactions: From Community Assembly to Plant Health. Nat. Rev. Microbiol. 2020, 18, 607–621. [Google Scholar] [CrossRef]
  52. Xie, P.; Huang, K.R.; Deng, A.; Mo, P.; Xiao, F.; Wu, F.; Xiao, D.W.; Wang, Y. The Diversity and Abundance of Bacterial and Fungal Communities in the Rhizosphere of Cathaya argyrophylla Are Affected by Soil Physicochemical Properties. Front. Microbiol. 2023, 14, 1111087. [Google Scholar] [CrossRef]
  53. Xie, W.W.; Tang, Y.; Li, H.M.; Dang, M.Y.; Ci, J.N.; Zheng, M.; Zhang, E.; Wang, Z.B. Physicochemical Properties and Microbial Community Structure of the Rhizosphere Soil of Cymbidium tracyanum. Front. Microbiol. 2025, 16, 1519614. [Google Scholar] [CrossRef]
  54. Bugingo, C.; Infantino, A.; Okello, P.; Perez-Hernandez, O.; Petrović, K.; Turatsinze, A.N.; Moparthi, S. From Morphology to Multi-Omics: A New Age of Fusarium Research. Pathogens 2025, 14, 762. [Google Scholar] [CrossRef]
  55. Grano-Maldonado, M.I.; Ramos-Payan, R.; Rivera-Chaparro, F.; Aguilar-Medina, M.; Romero-Quintana, J.G.; Rodríguez-Santiago, A.; Nieves-Soto, M. First Molecular Characterization of Colletotrichum sp. and Fusarium sp. Isolated from Mangrove in Mexico and the Antagonist Effect of Trichoderma harzianum as an Effective Biocontrol Agent. Plant Pathol. J. 2021, 37, 465–475. [Google Scholar] [CrossRef] [PubMed]
  56. Zhang, Y.Y. Identification of Pathogenic Fungi Causing Root Rot Disease in Monochasma savatieri and Screening for Disease-Resistant Germplasm. Master’s Thesis, Chinese Academy of Agricultural Sciences, Beijing, China, 2025. [Google Scholar]
  57. Scholz, S.S.; Barth, E.; Clément, G.; Marmagne, A.; Ludwig-Müller, J.; Sakakibara, H.; Kiba, T.; Vicente-Carbajosa, J.; Pollmann, S.; Krapp, A.; et al. The Root-Colonizing Endophyte Piriformospora indica Supports Nitrogen-Starved Arabidopsis thaliana Seedlings with Nitrogen Metabolites. Int. J. Mol. Sci. 2023, 24, 15372. [Google Scholar] [CrossRef]
  58. Ren, Y.L.; Fan, F.X.; Peng, S.X.; Lu, M. Relationship between soil fungal community structure and physical and chemical properties of different seasons swamp meadow in Napahai wetland. Chin. Agric. Sci. Bull. 2018, 34, 69–75. [Google Scholar]
  59. Wang, X.Y.; Li, W.; Xiao, Y.T.; Cheng, A.; Shen, T.M.; Zhu, M.; Yu, L.J. Abundance and Diversity of Carbon-Fixing Bacterial Communities in Karst Wetland Soil Ecosystems. CATENA 2021, 204, 105418. [Google Scholar] [CrossRef]
  60. Prywes, N.; Phillips, N.R.; Tuck, O.T.; Valentin-Alvarado, L.E.; Savage, D.F. Rubisco Function, Evolution, and Engineering. Annu. Rev. Biochem. 2023, 92, 385–410. [Google Scholar] [CrossRef]
  61. Sodolescu, A.; Dian, C.; Terradot, L.; Bouzhir-Sima, L.; Lestini, R.; Myllykallio, H.; Skouloubris, S.; Liebl, U. Structural and Functional Insight into Serine Hydroxymethyltransferase from Helicobacter Pylori. PLoS ONE 2018, 13, e0208850. [Google Scholar] [CrossRef]
  62. Tabb-Massey, A.; Caffrey, J.M.; Logsden, P.; Taylor, S. Ribosomal Proteins Rps0 and Rps21 of Saccharomyces cerevisiae Have Overlapping Functions in the Maturation of the 3’ End of 18S rRNA. Nucleic Acids Res. 2003, 31, 6798–6805. [Google Scholar] [CrossRef] [PubMed]
  63. Venturi, V.; Keel, C. Signaling in the Rhizosphere. Trends Plant Sci. 2016, 21, 187–198. [Google Scholar] [CrossRef] [PubMed]
  64. Bhattacharyya, A.; Mavrodi, O.; Bhowmik, N.; Weller, D.; Thomashow, L.; Mavrodi, D. Bacterial Biofilms as an Essential Component of Rhizosphere Plant-Microbe Interactions. Methods Microbiol. 2023, 53, 3–48. [Google Scholar] [PubMed]
  65. Yang, L.N.; Qian, X.; Zhao, Z.Y.; Wang, Y.Y.; Ding, G.; Xing, X.K. Mechanisms of Rhizosphere Plant-Microbe Interactions: Molecular Insights into Microbial Colonization. Front. Plant Sci. 2024, 15, 1491495. [Google Scholar] [CrossRef] [PubMed]
  66. Rudrappa, T.; Biedrzycki, M.L.; Bais, H.P. Causes and Consequences of Plant-Associated Biofilms: Causes and Consequences of Plant-Associated Biofilms. FEMS Microbiol. Ecol. 2008, 64, 153–166. [Google Scholar] [CrossRef]
  67. Jiang, M.; Ye, F.; Liu, F.L.; Brestic, M.; Li, X.N. Rhizosphere Melatonin Application Reprograms Nitrogen-Cycling Related Microorganisms to Modulate Low Temperature Response in Barley. Front. Plant Sci. 2022, 13, 998861. [Google Scholar] [CrossRef]
  68. Salguero-Linares, J.; Coll, N.S. Cell Death as a Defense Strategy against Pathogens in Plants and Animals. PLoS Pathog. 2023, 19, e1011253. [Google Scholar] [CrossRef]
  69. Qiu, X.M.; Sun, Y.Y.; Ye, X.Y.; Li, Z.G. Signaling Role of Glutamate in Plants. Front. Plant Sci. 2020, 10, 1743. [Google Scholar] [CrossRef] [PubMed]
  70. Yu, B.; Liu, N.; Tang, S.Q.; Qin, T.; Huang, J.L. Roles of Glutamate Receptor-Like Channels (GLRs) in Plant Growth and Response to Environmental Stimuli. Plants 2022, 11, 3450. [Google Scholar] [CrossRef]
Figure 1. Schematic Diagram of Experimental Design. (30): A total of 30 blueberry seedlings; (15): 15 pots per treatment group.
Figure 1. Schematic Diagram of Experimental Design. (30): A total of 30 blueberry seedlings; (15): 15 pots per treatment group.
Agriculture 16 00735 g001
Figure 2. Growth indicators of blueberries with and without parasitism by M. savatieri. P: with M. savatieri parasitism; NP: without M. savatieri parasitism. Lowercase letters denoting significant differences between groups (p < 0.05).
Figure 2. Growth indicators of blueberries with and without parasitism by M. savatieri. P: with M. savatieri parasitism; NP: without M. savatieri parasitism. Lowercase letters denoting significant differences between groups (p < 0.05).
Agriculture 16 00735 g002
Figure 3. Physicochemical properties of rhizosphere soil in blueberry plants with and without parasitism by M. savatieri. P: with M. savatieri parasitism; NP: without M. savatieri parasitism. Lowercase letters denoting significant differences between groups (p < 0.05).
Figure 3. Physicochemical properties of rhizosphere soil in blueberry plants with and without parasitism by M. savatieri. P: with M. savatieri parasitism; NP: without M. savatieri parasitism. Lowercase letters denoting significant differences between groups (p < 0.05).
Agriculture 16 00735 g003
Figure 4. Soil enzyme activity in the rhizosphere of blueberries with and without parasitism by M. savatieri. P: with M. savatieri parasitism; NP: without M. savatieri parasitism. S-UE: soil urease; S-SC: soil sucrase; S-ACP: soil acid phosphatase; S-NR: soil nitrate reductase. Lowercase letters denoting significant differences between groups (p < 0.05).
Figure 4. Soil enzyme activity in the rhizosphere of blueberries with and without parasitism by M. savatieri. P: with M. savatieri parasitism; NP: without M. savatieri parasitism. S-UE: soil urease; S-SC: soil sucrase; S-ACP: soil acid phosphatase; S-NR: soil nitrate reductase. Lowercase letters denoting significant differences between groups (p < 0.05).
Agriculture 16 00735 g004
Figure 5. Structure of the rhizosphere microbial communities of blueberries with and without M. savatieri parasitism. (a) Chao1 index for bacteria; (b) Shannon index for bacteria; (c) Chao1 index for fungi; (d) Shannon index for fungi; (e) principal coordinate analysis (PCoA) for bacterial communities; (f) principal coordinate analysis (PCoA) for fungal communities. P: parasitised by M. savatieri, NP: not parasitised by M. savatieri. The shaded ellipses represent 95% confidence intervals. * indicates p < 0.05, ** indicates p < 0.01.
Figure 5. Structure of the rhizosphere microbial communities of blueberries with and without M. savatieri parasitism. (a) Chao1 index for bacteria; (b) Shannon index for bacteria; (c) Chao1 index for fungi; (d) Shannon index for fungi; (e) principal coordinate analysis (PCoA) for bacterial communities; (f) principal coordinate analysis (PCoA) for fungal communities. P: parasitised by M. savatieri, NP: not parasitised by M. savatieri. The shaded ellipses represent 95% confidence intervals. * indicates p < 0.05, ** indicates p < 0.01.
Agriculture 16 00735 g005
Figure 6. Analysis of Microbial Redundancy in the Blueberry Rhizosphere and Its Correlation with Soil Environmental Factors. (a) RDA analysis of bacteria and soil environmental factors; (b) RDA of fungi and soil environmental factors; The solid purple arrows represent microorganisms, the hollow red arrows represent soil factors, and the dots are sample points. (c) displays a heatmap of bacterial correlations with soil environmental factors. (d) heatmap of fungal correlations with soil environmental factors. * indicates p < 0.05, ** indicates p < 0.01, *** indicates p < 0.001.
Figure 6. Analysis of Microbial Redundancy in the Blueberry Rhizosphere and Its Correlation with Soil Environmental Factors. (a) RDA analysis of bacteria and soil environmental factors; (b) RDA of fungi and soil environmental factors; The solid purple arrows represent microorganisms, the hollow red arrows represent soil factors, and the dots are sample points. (c) displays a heatmap of bacterial correlations with soil environmental factors. (d) heatmap of fungal correlations with soil environmental factors. * indicates p < 0.05, ** indicates p < 0.01, *** indicates p < 0.001.
Agriculture 16 00735 g006
Figure 7. LEfSe analysis of differential microorganisms and correlation analysis with blueberry growth indicators. (a) Linear discriminant analysis (LEfSe) of blueberry rhizosphere bacterial communities; (b) Linear discriminant analysis (LEfSe) of blueberry rhizosphere fungal communities; (c) Correlation analysis between genus-level differential microorganisms and blueberry growth indicators. P: with M. savatieri parasitism, NP: without M. savatieri parasitism. GD: ground diameter, SD: stem diameter, PH: plant height, ACW: average crown width, SFW: single fruit weight, FF: fruit firmness, FSI: fruit shape index. * indicates p < 0.05, ** indicates p < 0.01, *** indicates p < 0.001, **** indicates p < 0.0001.
Figure 7. LEfSe analysis of differential microorganisms and correlation analysis with blueberry growth indicators. (a) Linear discriminant analysis (LEfSe) of blueberry rhizosphere bacterial communities; (b) Linear discriminant analysis (LEfSe) of blueberry rhizosphere fungal communities; (c) Correlation analysis between genus-level differential microorganisms and blueberry growth indicators. P: with M. savatieri parasitism, NP: without M. savatieri parasitism. GD: ground diameter, SD: stem diameter, PH: plant height, ACW: average crown width, SFW: single fruit weight, FF: fruit firmness, FSI: fruit shape index. * indicates p < 0.05, ** indicates p < 0.01, *** indicates p < 0.001, **** indicates p < 0.0001.
Agriculture 16 00735 g007
Figure 8. Potential Functional Analysis of Blueberry Rhizosphere Microorganisms Using STAMP. (a) KEGG secondary functional annotation; (b) KEGG tertiary functional annotation. P: with M. savatieri parasitism; NP: without M. savatieri parasitism.
Figure 8. Potential Functional Analysis of Blueberry Rhizosphere Microorganisms Using STAMP. (a) KEGG secondary functional annotation; (b) KEGG tertiary functional annotation. P: with M. savatieri parasitism; NP: without M. savatieri parasitism.
Agriculture 16 00735 g008
Disclaimer/Publisher’s Note: The statements, opinions and data contained in all publications are solely those of the individual author(s) and contributor(s) and not of MDPI and/or the editor(s). MDPI and/or the editor(s) disclaim responsibility for any injury to people or property resulting from any ideas, methods, instructions or products referred to in the content.

Share and Cite

MDPI and ACS Style

Pu, Y.; Liu, L.; Chen, C.; Li, Y.; Zhao, Y.; Shen, X.; Zhu, Z. Parasitism by Monochasma savatieri Promotes Blueberry Growth and Development via Modulation of the Rhizosphere Micro-Environment. Agriculture 2026, 16, 735. https://doi.org/10.3390/agriculture16070735

AMA Style

Pu Y, Liu L, Chen C, Li Y, Zhao Y, Shen X, Zhu Z. Parasitism by Monochasma savatieri Promotes Blueberry Growth and Development via Modulation of the Rhizosphere Micro-Environment. Agriculture. 2026; 16(7):735. https://doi.org/10.3390/agriculture16070735

Chicago/Turabian Style

Pu, Yuping, Li Liu, Ci Chen, Yanfang Li, Yihan Zhao, Xueqing Shen, and Zaibiao Zhu. 2026. "Parasitism by Monochasma savatieri Promotes Blueberry Growth and Development via Modulation of the Rhizosphere Micro-Environment" Agriculture 16, no. 7: 735. https://doi.org/10.3390/agriculture16070735

APA Style

Pu, Y., Liu, L., Chen, C., Li, Y., Zhao, Y., Shen, X., & Zhu, Z. (2026). Parasitism by Monochasma savatieri Promotes Blueberry Growth and Development via Modulation of the Rhizosphere Micro-Environment. Agriculture, 16(7), 735. https://doi.org/10.3390/agriculture16070735

Note that from the first issue of 2016, this journal uses article numbers instead of page numbers. See further details here.

Article Metrics

Back to TopTop