Maize Straw Strip Mulching Mediated Transformation of Soil Organic Nitrogen Across Soil Depths in Wheat and Potato Cultivation
Abstract
1. Introduction
2. Materials and Methods
2.1. Experimental Site
2.2. Experimental Design
2.3. Collection of Soil Samples
2.4. Determination of Urease and Nitrite Reductase Activities
2.5. Determination of Nitrogen Fractions
2.6. Determination of Acid-Hydrolyzed Organic Nitrogen Fractions
2.7. Statistical Analysis
3. Results
3.1. Effect of Straw Strip Mulching on Enzyme Activities
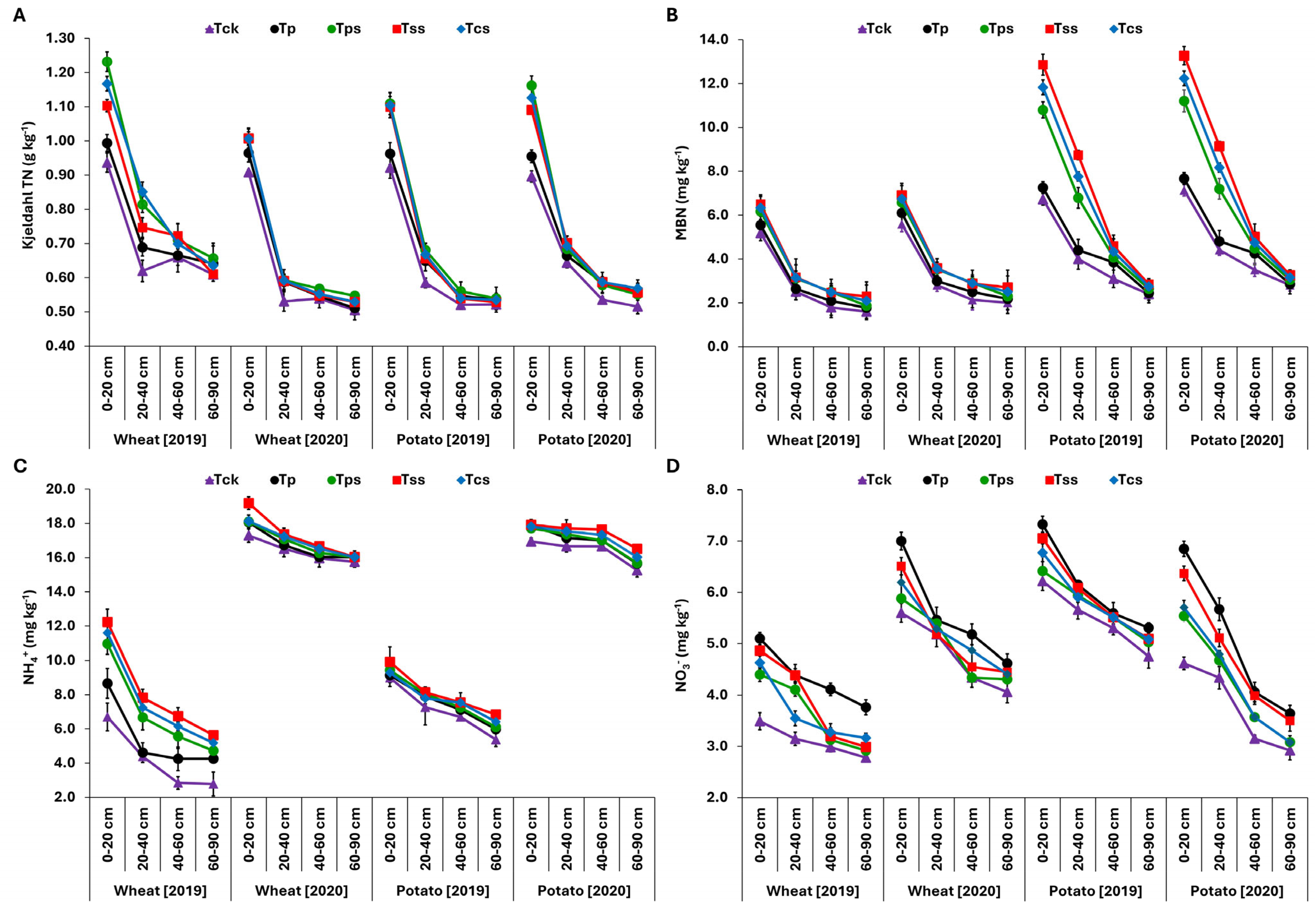
3.2. Effect of Straw Strip Mulching on Soil Nitrogen Pools
3.3. Effect of Straw Strip Mulching on Acid-Hydrolyzed Organic Nitrogen Fractions
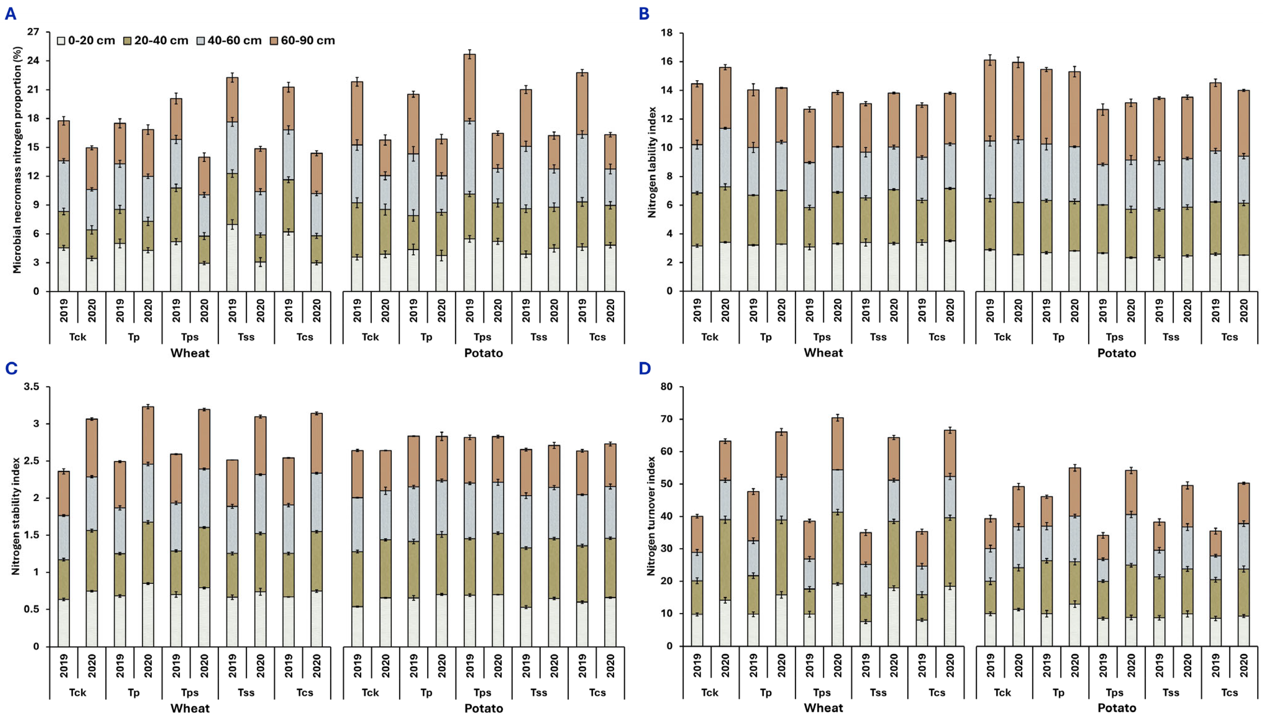
3.4. Effect of Straw Strip Mulching on Nitrogen Functional Indices
3.5. Mechanistic Relationships Between Mulching Treatments, Soil Depth, and Observed Traits Under Wheat–Potato Cultivation
4. Discussion
5. Conclusions
Supplementary Materials
Author Contributions
Funding
Data Availability Statement
Acknowledgments
Conflicts of Interest
References
- Spiertz, J.H.J. Nitrogen, sustainable agriculture and food security. A review. Agron. Sustain. Dev. 2010, 30, 43–55. [Google Scholar] [CrossRef]
- Wang, Z.; Liu, Z.T.; Hu, W.; Bai, H.; Ma, L.J.; Lv, X.B.; Zhou, Z.G.; Meng, Y.L. Crop residue return improved soil nitrogen availability by increasing amino acid and mineralization under appropriate N fertilization. Land Degrad. Dev. 2022, 33, 2197–2207. [Google Scholar] [CrossRef]
- Chen, S.; Elrys, A.S.; Yang, W.; Du, S.; He, M.; Cai, Z.; Zhang, J.; Müller, C. Soil recalcitrant but not labile organic nitrogen mineralization contributes to microbial nitrogen immobilization and plant nitrogen uptake. Glob. Change Biol. 2025, 30, e17290. [Google Scholar] [CrossRef] [PubMed]
- Pathak, P.; Reddy, A.S. Vertical distribution analysis of soil organic carbon and total nitrogen in different land use patterns of an agro-organic farm. Trop. Ecol. 2021, 62, 386–397. [Google Scholar] [CrossRef]
- Liang, M.D.; Chen, L.; Chen, G.Q.; Zhao, Y.R.; Liu, G.X.; Sun, E.H.; Yong, C.; Huang, H.Y.; Li, F.Y.; Qu, P. Protective effects of straw mulching on soil health and function: A review. Environ. Pollut. Bioavailab. 2025, 37, 2533900. [Google Scholar] [CrossRef]
- Yang, Y.H.; Liu, H.; Wu, J.C.; Zhang, S.S.; Gao, C.M.; Zhang, S.Q.; Tang, D.W.S. Soil enzyme activities, soil physical properties, photosynthetic physical characteristics and water use of winter wheat after long-term straw mulch and organic fertilizer application. Front. Plant Sci. 2023, 14, 1186376. [Google Scholar] [CrossRef]
- Wozniak, A.; Kuligowski, K.; Swierczek, L.; Cenian, A. Review of Lignocellulosic Biomass Pretreatment Using Physical, Thermal and Chemical Methods for Higher Yields in Bioethanol Production. Sustainability 2025, 17, 287. [Google Scholar] [CrossRef]
- Wu, G.; Ling, J.; Zhao, D.Q.; Xu, Y.P.; Liu, Z.X.; Wen, Y.; Zhou, S.L. Deep-injected straw incorporation improves subsoil fertility and crop productivity in a wheat-maize rotation system in the North China Plain. Field Crops Res. 2022, 286, 108612. [Google Scholar] [CrossRef]
- Yin, W.; Chen, G.P.; Feng, F.X.; Guo, Y.; Hu, F.L.; Chen, G.D.; Zhao, C.; Yu, A.Z.; Chai, Q. Straw retention combined with plastic mulching improves compensation of intercropped maize in arid environment. Field Crops Res. 2017, 204, 42–51. [Google Scholar] [CrossRef]
- Lan, X.M.; Chai, S.X.; Coulter, J.A.; Cheng, H.B.; Chang, L.; Huang, C.X.; Li, R.; Chai, Y.W.; Li, Y.W.; Ma, J.T.; et al. Maize Straw Strip Mulching as a Replacement for Plastic Film Mulching in Maize Production in a Semiarid Region. Sustainability 2020, 12, 6273. [Google Scholar] [CrossRef]
- Ninkuu, V.; Liu, Z.; Qin, A.; Xie, Y.; Song, X.; Sun, X. Impact of straw returning on soil ecology and crop yield: A review. Heliyon 2025, 11, e41651. [Google Scholar] [CrossRef] [PubMed]
- Shen, Y.F.; Chen, Y.Y.; Li, S.Q. Microbial Functional Diversity, Biomass and Activity as Affected by Soil Surface Mulching in a Semiarid Farmland. PLoS ONE 2016, 11, e0159144. [Google Scholar] [CrossRef] [PubMed]
- Akhtar, K.; Wang, W.Y.; Khan, A.; Ren, G.X.; Zaheer, S.; Sial, T.A.; Feng, Y.Z.; Yang, G.H. Straw mulching with fertilizer nitrogen: An approach for improving crop yield, soil nutrients and enzyme activities. Soil Use Manag. 2019, 35, 526–535. [Google Scholar] [CrossRef]
- Liao, Y.; Cao, H.X.; Liu, X.; Li, H.T.; Hu, Q.Y.; Xue, W.K. By increasing infiltration and reducing evaporation, mulching can improve the soil water environment and apple yield of orchards in semiarid areas. Agric. Water Manag. 2021, 253, 106936. [Google Scholar] [CrossRef]
- Luo, L.; Meng, H.; Gu, J.D. Microbial extracellular enzymes in biogeochemical cycling of ecosystems. J. Environ. Manag. 2017, 197, 539–549. [Google Scholar] [CrossRef]
- Cabello, P. Nitrate reduction and the nitrogen cycle in archaea. Microbiology 2004, 150, 3527–3546. [Google Scholar] [CrossRef]
- Hayatsu, M.; Tago, K.; Saito, M. Various players in the nitrogen cycle: Diversity and functions of the microorganisms involved in nitrification and denitrification. Soil Sci. Plant Nutr. 2008, 54, 33–45. [Google Scholar] [CrossRef]
- Ouyang, Y.; Reeve, J.R.; Norton, J.M. Soil enzyme activities and abundance of microbial functional genes involved in nitrogen transformations in an organic farming system. Biol. Fertil. Soils Coop. J. Int. Soc. Soil Sci. 2018, 54, 437–450. [Google Scholar] [CrossRef]
- Bowles, T.M.; Acosta-Martínez, V.; Calderón, F.; Jackson, L.E. Soil enzyme activities, microbial communities, and carbon and nitrogen availability in organic agroecosystems across an intensively-managed agricultural landscape. Soil Biol. Biochem. 2014, 68, 252–262. [Google Scholar] [CrossRef]
- Sun, X.D.; Ye, Y.Q.; Ma, Q.X.; Guan, Q.W.; Jones, D.L. Variation in enzyme activities involved in carbon and nitrogen cycling in rhizosphere and bulk soil after organic mulching. Rhizosphere 2021, 19, 100376. [Google Scholar] [CrossRef]
- Tian, L.; Dell, E.; Shi, W. Chemical composition of dissolved organic matter in agroecosystems: Correlations with soil enzyme activity and carbon and nitrogen mineralization. Appl. Soil Ecol. 2010, 46, 426–435. [Google Scholar] [CrossRef]
- Almagro, M.; Ruiz-Navarro, A.; Díaz-Pereira, E.; Albaladejo, J.; Martínez-Mena, M. Plant residue chemical quality modulates the soil microbial response related to decomposition and soil organic carbon and nitrogen stabilization in a rainfed Mediterranean agroecosystem. Soil Biol. Biochem. 2021, 156, 108198. [Google Scholar] [CrossRef]
- Bai, T.Q.; Ran, C.; Ma, Q.Y.; Miao, Y.; Li, S.Z.; Lan, H.; Li, X.R.; Chen, Q.L.; Zhang, Q.; Shao, X.W. The Application of Straw Return with Nitrogen Fertilizer Increases Rice Yield in Saline-Sodic Soils by Regulating Rice Organ Ion Concentrations and Soil Leaching Parameters. Agronomy 2024, 14, 2807. [Google Scholar] [CrossRef]
- Cui, J.W.; Zhu, R.L.; Wang, X.Y.; Xu, X.P.; Ai, C.; He, P.; Liang, G.Q.; Zhou, W.; Zhu, P. Effect of high soil C/N ratio and nitrogen limitation caused by the long-term combined organic-inorganic fertilization on the soil microbial community structure and its dominated SOC decomposition. J. Environ. Manag. 2022, 303, 114155. [Google Scholar] [CrossRef]
- Chen, X.; Tang, Z.W.; Weng, Y.; Cai, H.M.; Wu, Y.; Zheng, B.Q.; Li, J.C. Effects of 15-year straw incorporation on soil carbon composition and microbial community under wheat-maize rotation system in the Huang-Huai-Hai Plain. BMC Plant Biol. 2025, 25, 522. [Google Scholar] [CrossRef] [PubMed]
- Duanyuan, H.; Zhou, T.; He, Z.; Peng, Y.Y.; Lei, J.J.; Dong, J.Y.; Wu, X.H.; Wang, J.; Yan, W.D. Effects of Straw Mulching on Soil Properties and Enzyme Activities of Camellia oleifera-Cassia Intercropping Agroforestry Systems. Plants 2023, 12, 3046. [Google Scholar] [CrossRef]
- Liu, B.Y.; Dai, Y.S.; Cheng, X.; He, X.; Bei, Q.C.; Wang, Y.F.; Zhou, Y.L.; Zhu, B.; Zhang, K.P.; Tian, X.Q.; et al. Straw mulch improves soil carbon and nitrogen cycle by mediating microbial community structure and function in the maize field. Front. Microbiol. 2023, 14, 1217966. [Google Scholar] [CrossRef]
- Schad, P. World Reference Base for Soil Resources—Its fourth edition and its history. J. Plant Nutr. Soil Sci. 2023, 186, 151–163. [Google Scholar] [CrossRef]
- Guan, S.Y. Soil Enzyme and Its Research Methods; Agriculture Press: Beijing, China, 1986. [Google Scholar]
- Douglas, B.F.; Magdoff, F.R. An evaluation of nitrogen mineralization indices for organic residues. J. Environ. Qual. 1991, 20, 368–372. [Google Scholar] [CrossRef]
- Bao, S.D. Soil and Agro-Chemistry Analytical Methods, 3rd ed.; China Agriculture: Beijing, China, 2016. [Google Scholar]
- Bremner, J.T. Organic forms of nitrogen. In Methods of Soil Analysis: Part 2 Chemical and Microbiological Properties; American Society of Agronomy: Madison, WI, USA, 1965; Volum 9, pp. 1238–1255. [Google Scholar]
- Liu, B.; Xia, H.; Jiang, C.C.; Riaz, M.; Yang, L.; Chen, Y.F.; Fan, X.P.; Xia, X.E. 14 year applications of chemical fertilizers and crop straw effects on soil labile organic carbon fractions, enzyme activities and microbial community in rice-wheat rotation of middle China. Sci. Total Environ. 2022, 841, 156608. [Google Scholar] [CrossRef]
- Zhang, X.Y.; Ren, X.Y.; Cai, L.Q. Effects of Different Straw Incorporation Amounts on Soil Organic Carbon, Microbial Biomass, and Enzyme Activities in Dry-Crop Farmland. Sustainability 2024, 16, 10588. [Google Scholar] [CrossRef]
- Jiang, D.Q.; Jiang, N.; Jiang, H.; Chen, L.J. Urease inhibitors increased soil ureC gene abundance and intracellular urease activity when extracellular urease activity was inhibited. Geoderma 2023, 430, 116295. [Google Scholar] [CrossRef]
- Li, Z.G.; Yang, Y.C.; Wang, X.R.; Qi, Y.B.; Yang, X.Y. Linking N2O emissions and nosZ gene abundance: A meta-analysis of organic carbon amendments in agricultural soils. Plant Soil 2025, 515, 613–627. [Google Scholar] [CrossRef]
- Iqbal, A.; Khan, A.; Green, S.J.; Ali, I.; He, L.; Zeeshan, M.; Luo, Y.; Wu, X.; Wei, S.; Jiang, L. Long-term straw mulching in a no-till field improves soil functionality and rice yield by increasing soil enzymatic activity and chemical properties in paddy soils. J. Plant Nutr. Soil Sci. 2021, 184, 622–634. [Google Scholar] [CrossRef]
- Dou, Y.; Wen, M.M.; Yang, C.D.; Zhao, F.Z.; Ren, C.J.; Zhang, N.N.; Liang, Y.Y.; Wang, J. Effects of straw and plastic film mulching on microbial functional genes involved in soil nitrogen cycling. Front. Microbiol. 2023, 14, 1205088. [Google Scholar] [CrossRef]
- Zhang, K.H.; Peng, H.B.; Xu, B.; Sha, Z.P. Responses of soil reactive nitrogen losses and nitrogen pools to straw mulching. Soil Tillage Res. 2025, 250, 106499. [Google Scholar] [CrossRef]
- Piotrowska-Dlugosz, A.; Dlugosz, J.; Gryta, A.; Frac, M. Responses of N-Cycling Enzyme Activities and Functional Diversity of Soil Microorganisms to Soil Depth, Pedogenic Processes and Cultivated Plants. Agronomy 2022, 12, 264. [Google Scholar] [CrossRef]
- Chang, W.H.; Ma, W.W.; Song, L.C.; Tang, Y.M.; Long, Y.C.; Xu, G.R.; Yuan, J.Y. Responses of soil N-cycle enzyme activities to vegetation degradation in a wet meadow on the Qinghai-Tibet Plateau. Front. Ecol. Evol. 2023, 11, 1210643. [Google Scholar] [CrossRef]
- Wang, Y.; Shi, M.F.; Zhang, R.Y.; Zhang, W.N.; Liu, Y.H.; Sun, D.X.; Wang, X.X.; Qin, S.H.; Kang, Y.C. Legume-potato rotation affects soil physicochemical properties, enzyme activity, and rhizosphere metabolism in continuous potato cropping. Chem. Biol. Technol. Agric. 2023, 10, 132. [Google Scholar] [CrossRef]
- Qian, Z.Z.; Zhuang, S.Y.; Gao, J.S.; Tang, L.Z.; Harindintwali, J.D.; Wang, F. Aeration increases soil bacterial diversity and nutrient transformation under mulching-induced hypoxic conditions. Sci. Total Environ. 2022, 817, 153017. [Google Scholar] [CrossRef]
- Volkogon, V.V.; Dimova, S.B.; Volkogon, K.I.; Sidorenko, V.P.; Volkogon, M.V. Biological Nitrogen Fixation and Denitrification in Rhizosphere of Potato Plants in Response to the Fertilization and Inoculation. Front. Sustain. Food Syst. 2021, 5, 606379. [Google Scholar] [CrossRef]
- Currey, P.M.; Johnson, D.; Sheppard, L.J.; Leith, I.D.; Toberman, H.; van der Wal, R.; Dawson, L.A.; Artz, R.R.E. Turnover of labile and recalcitrant soil carbon differ in response to nitrate and ammonium deposition in an ombrotrophic peatland. Glob. Change Biol. 2010, 16, 2307–2321. [Google Scholar] [CrossRef]
- Li, H.T.; Wang, L.; Peng, Y.; Zhang, S.W.; Lv, S.Q.; Li, J.; Abdo, A.; Zhou, C.J.; Wang, L.Q. Film mulching, residue retention and N fertilization affect ammonia volatilization through soil labile N and C pools. Agric. Ecosyst. Environ. 2021, 308, 107272. [Google Scholar] [CrossRef]
- Graf, M.; Greenfield, L.M.; Reay, M.K.; Bargiela, R.; Golyshin, P.N.; Evershed, R.P.; Lloyd, C.E.M.; Williams, G.B.; Chadwick, D.R.; Jones, D.L. Field-based assessment of the effect of conventional and biodegradable plastic mulch film on nitrogen partitioning, soil microbial diversity, and maize biomass. Appl. Soil Ecol. 2024, 202, 105595. [Google Scholar] [CrossRef]
- Paliaga, S.; Badalucco, L.; Ciaramitaro, V.C.; Martino, D.F.C.; Gelsomino, A.; Kandeler, E.; Marhan, S.; Laudicina, V.A. Fertilizer enriched bio-based mulch films increase nitrogen and phosphorus availability and stimulate soil microbial biomass and activity. Appl. Soil Ecol. 2025, 211, 106159. [Google Scholar] [CrossRef]
- Machado, D.; Sarmiento, L.; Gonzalez-Prieto, S. The use of organic substrates with contrasting C/N ratio in the regulation of nitrogen use efficiency and losses in a potato agroecosystem. Nutr. Cycl. Agroecosyst 2010, 88, 411–427. [Google Scholar] [CrossRef]
- Anning, D.K.; Qiu, H.Z.; Zhang, C.H.; Ghanney, P.; Zhang, Y.J.; Guo, Y.J. Maize Straw Return and Nitrogen Rate Effects on Potato (Solanum tuberosum L.) Performance and Soil Physicochemical Characteristics in Northwest China. Sustainability 2021, 13, 5508. [Google Scholar] [CrossRef]
- Sarangi, S.K.; Maji, B.; Sharma, P.C.; Digar, S.; Mahanta, K.K.; Burman, D.; Mandal, U.K.; Mandal, S.; Mainuddin, M. Potato (Solanum tuberosum L.) Cultivation by Zero Tillage and Paddy Straw Mulching in the Saline Soils of the Ganges Delta. Potato Res. 2021, 64, 277–305. [Google Scholar] [CrossRef]
- Yagi, R.; Dobrychtop, E.C.; Bittencourt, H.V.H.; Andrade, D.S.; Kawakami, J.; Soratto, R.P. Soil Tillage, Straw Mulching, and Microalgae Biofertilization in Potato Production in Conventional and Organic Systems. Potato Res. 2025, 68, 877–896. [Google Scholar] [CrossRef]
- Ahmad, R.; Si, C.C.; Fahad, S.; Khattak, W.A.; Zakir, M. Balancing Nitrogen Application to Enhance Soil Health and Mitigate Heavy Metal Contamination Risks in Sweet Potato Cultivation. J. Soil Sci. Plant Nutr. 2025, 25, 6361–6380. [Google Scholar] [CrossRef]
- Ding, Y.; Huang, X.; Li, Y.; Liu, H.Y.; Zhang, Q.C.; Liu, X.M.; Xu, J.M.; Di, H.J. Nitrate leaching losses mitigated with intercropping of deep-rooted and shallow-rooted plants. J. Soils Sediments 2021, 21, 364–375. [Google Scholar] [CrossRef]
- Cotrufo, M.F.; Haddix, M.L.; Kroeger, M.E.; Stewart, C.E. The role of plant input physical-chemical properties, and microbial and soil chemical diversity on the formation of particulate and mineral-associated organic matter. Soil Biol. Biochem. 2022, 168, 108648. [Google Scholar] [CrossRef]
- Chen, Q.Y.; Liu, Z.J.; Zhou, J.B.; Xu, X.P.; Zhu, Y.J. Long-term straw mulching with nitrogen fertilization increases nutrient and microbial determinants of soil quality in a maize-wheat rotation on China’s Loess Plateau. Sci. Total Environ. 2021, 775, 145930. [Google Scholar] [CrossRef]
- Cheng, W.; Ma, X.C.; Wu, J.G.; Gu, Y.; Duo, X. Returning Different Organic Materials to the Field: Effects on Labile Soil Nitrogen Pool under Drip Irrigation with Film Mulching in a Semi-Arid Soil. Appl. Sci. 2024, 14, 2818. [Google Scholar] [CrossRef]
- Su, H.Z.; Zhang, Y.L.; Wu, G.H.; Chen, Z.H.; Jiang, N.; Qiu, W.W.; Chen, L.J. Effects of different maize residue managements on soil organic nitrogen cycling in different soil layers in northeast China. Glob. Change Biol. Bioenergy 2024, 16, e13123. [Google Scholar] [CrossRef]
- Dong, S.H.; Deng, F.B.; Zhou, F.; Ma, S.C.; Wang, Z.Y.; Wang, W.Q.; Zhang, W.; He, H.B.; Zhang, X.D. Internal transformation of fertilizer-derived organic nitrogen fractions in an arable soil and the regulation of maize residue mulching. Geoderma 2025, 459, 117385. [Google Scholar] [CrossRef]
- Hou, H.; Liu, X.; Zhou, W.; Ji, J.; Lan, X.; Lv, Z.; Liu, Y.; Zhang, J.; Müeller, C. N transformation mechanisms and N dynamics of organic fertilisers as partial substitutes for chemical fertilisers in paddy soils. J. Soils Sediments 2022, 22, 2516–2529. [Google Scholar] [CrossRef]
- Mohamed, T.A.; Wei, Z.M.; Mohaseb, M.; Wu, J.Q.; El Maghraby, T.; Chen, X.M.; Abdellah, Y.A.Y.; Mu, D.C.; El Kholy, M.; Pan, C.A.; et al. Performance of microbial inoculation and tricalcium phosphate on nitrogen retention and conversion: Core microorganisms and enzyme activity during kitchen waste composting. J. Environ. Manag. 2024, 356, 120601. [Google Scholar] [CrossRef]
- Shi, Y.L.; Li, T.T.; Zheng, L.; Jing, X.K.; Hussain, H.A.; Zhang, Q.W. Enhancing soil multifunctionality through restoring erosion environment and microbial functions combined with organic manure and straw mulching. Agric. Ecosyst. Environ. 2025, 383, 109515. [Google Scholar] [CrossRef]
- Yuan, L.; Liu, Y.; He, H.B.; Zhu, T.B.; Chen, X.; Zhang, X.D.; Liang, C.; Xie, H.T.; Zhang, J.B.; Müller, C.; et al. Effects of long-term no-tillage and maize straw mulching on gross nitrogen transformations in Mollisols of Northeast China. Geoderma 2022, 428, 116194. [Google Scholar] [CrossRef]
- Wang, X.K.; Wang, G.; Guo, T.; Xing, Y.Y.; Mo, F.; Wang, H.D.; Fan, J.L.; Zhang, F.C. Effects of plastic mulch and nitrogen fertilizer on the soil microbial community, enzymatic activity and yield performance in a dryland maize cropping system. Eur. J. Soil Sci. 2021, 72, 400–412. [Google Scholar] [CrossRef]
- Fahad, S.; Ali, I.; Hussain, I.; Ahmad, D.; Saud, S.; Dawar, K.; Danish, S.; Datta, R.; Hassan, S.; Liu, H.T.; et al. Modulation of maize growth, yield and soil enzymes activities by introducing wheat straw mulching and tillage practices. Plant Soil 2024, 496, 699–719. [Google Scholar] [CrossRef]
- Fu, Y.Y.; Sun, H.; Luo, Y.; Zhang, W.J.; Cai, Z.J.; Li, Y.C.; Luan, L.; Ning, Q.; Shi, Q.E.; Liang, Y.T.; et al. Deciphering Biotic and Abiotic Mechanisms Underlying Straw Decomposition and Soil Organic Carbon Priming in Agriculture Soils Receiving Long-Term Fertilizers. J. Agric. Food Chem. 2023, 71, 20549–20562. [Google Scholar] [CrossRef]
- Rovira, P.; Vallejo, V.R. Labile and recalcitrant pools of carbon and nitrogen in organic matter decomposing at different depths in soil: An acid hydrolysis approach. Geoderma 2002, 107, 109–141. [Google Scholar] [CrossRef]








| Mulching | Wheat | Potato |
|---|---|---|
| Without mulching (Tck) |
|
|
| Black plastic film mulching (Tp) |
|
|
| Mulched straw strip (Tss) |
|
|
| Plant strip without mulch (Tps) |
|
|
| Composite straw strip mulch & plant strip without mulch (Tcs) |
|
|
Disclaimer/Publisher’s Note: The statements, opinions and data contained in all publications are solely those of the individual author(s) and contributor(s) and not of MDPI and/or the editor(s). MDPI and/or the editor(s) disclaim responsibility for any injury to people or property resulting from any ideas, methods, instructions or products referred to in the content. |
© 2026 by the authors. Licensee MDPI, Basel, Switzerland. This article is an open access article distributed under the terms and conditions of the Creative Commons Attribution (CC BY) license.
Share and Cite
Pang, L.; Xia, B.; Girmanee, T.G.; Mumtaz, M.Z.; Hu, N.; Wang, X.; Wang, X.; Zheng, H.; Lu, J. Maize Straw Strip Mulching Mediated Transformation of Soil Organic Nitrogen Across Soil Depths in Wheat and Potato Cultivation. Agriculture 2026, 16, 674. https://doi.org/10.3390/agriculture16060674
Pang L, Xia B, Girmanee TG, Mumtaz MZ, Hu N, Wang X, Wang X, Zheng H, Lu J. Maize Straw Strip Mulching Mediated Transformation of Soil Organic Nitrogen Across Soil Depths in Wheat and Potato Cultivation. Agriculture. 2026; 16(6):674. https://doi.org/10.3390/agriculture16060674
Chicago/Turabian StylePang, Lei, Bowen Xia, Taylor Galimah Girmanee, Muhammad Zahid Mumtaz, Nannan Hu, Xiaoyan Wang, Xiaohua Wang, Haofei Zheng, and Jianlong Lu. 2026. "Maize Straw Strip Mulching Mediated Transformation of Soil Organic Nitrogen Across Soil Depths in Wheat and Potato Cultivation" Agriculture 16, no. 6: 674. https://doi.org/10.3390/agriculture16060674
APA StylePang, L., Xia, B., Girmanee, T. G., Mumtaz, M. Z., Hu, N., Wang, X., Wang, X., Zheng, H., & Lu, J. (2026). Maize Straw Strip Mulching Mediated Transformation of Soil Organic Nitrogen Across Soil Depths in Wheat and Potato Cultivation. Agriculture, 16(6), 674. https://doi.org/10.3390/agriculture16060674

