Role of Nitrogen Fertilization in Mitigating Drought-Induced Physiological Stress in Wheat Seedlings
Abstract
1. Introduction
2. Materials and Methods
2.1. Pot Experiment Setup
2.2. Evaluation of Plant Physiological Parameters
2.2.1. Relative Chlorophyll Content
2.2.2. Chlorophyll Fluorescence
2.2.3. Gas Exchange
2.3. Statistical Analysis
3. Results
3.1. Relative Chlorophyll Content
3.2. Chlorophyll Fluorescence
3.2.1. Maximum Quantum Efficiency of PSII Photochemistry (Fv/Fm)
3.2.2. Ratio of Variable to Minimal Fluorescence (Fv/Fo)
3.2.3. Performance Index (PI)
3.3. Gas Exchange
3.3.1. Net Photosynthetic Rate (Pn)
3.3.2. Stomatal Conductance (gs)
3.3.3. Intercellular CO2 Concentration (Ci)
3.3.4. Transpiration Rate (E)
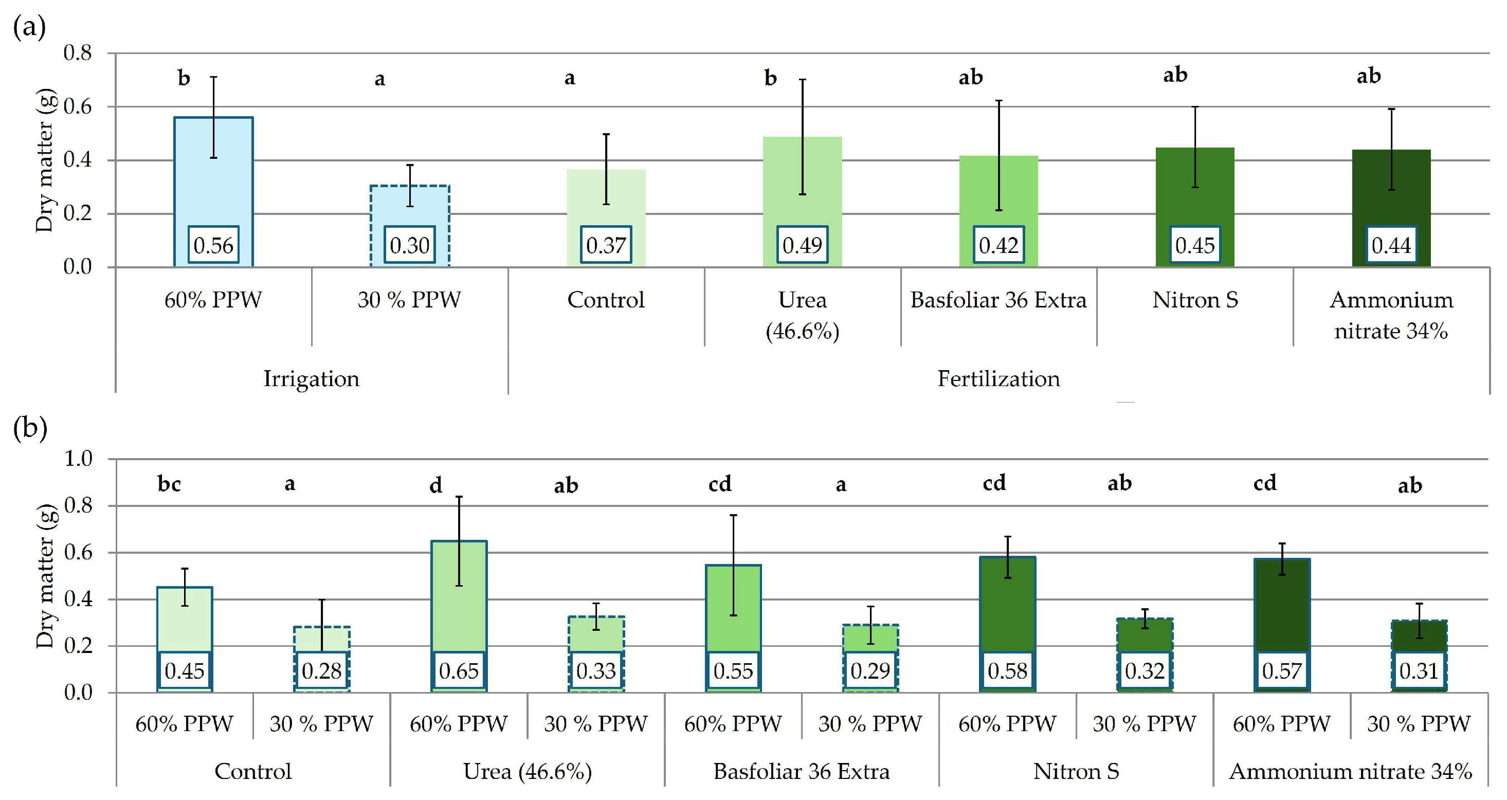
3.4. Aboveground Dry Biomass
4. Discussion
4.1. Effects of Drought Stress on Wheat Physiological Performance
4.2. Role of Nitrogen Fertilization in Mitigating Drought Stress
5. Conclusions
Supplementary Materials
Author Contributions
Funding
Institutional Review Board Statement
Data Availability Statement
Conflicts of Interest
References
- Shewry, P.R. Wheat. J. Exp. Bot. 2009, 60, 1537–1553. [Google Scholar] [CrossRef]
- FAOSTAT. Available online: http://www.fao.org/faostat/en/#data/QC (accessed on 26 October 2025).
- Borisjuk, N.; Kishchenko, O.; Eliby, S.; Schramm, C.; Anderson, P.; Jatayev, S.; Shavrukov, Y. Genetic modification for wheat improvement: From transgenesis to genome editing. BioMed Res. 2019, 2019, 6216304. [Google Scholar] [CrossRef] [PubMed]
- Aurangzaib, M.; Ahmad, Z.; Jalil, M.I.; Nawaz, F.; Shaheen, M.R.; Ahmad, M.; Hussain, A.; Ejaz, M.K.; Tabassum, M.A. Foliar spray of silicon confers drought tolerance in wheat (Triticum aestivum L.) by enhancing morphophysiological and antioxidant potential. Silicon 2022, 14, 4793–4807. [Google Scholar] [CrossRef]
- Mansour, H.A.; El, S.; Mohamed, S.; Lightfoot, D.A. Molecular studies for drought tolerance in some Egyptian wheat genotypes under different irrigation systems. Open Agric. 2020, 5, 280–290. [Google Scholar] [CrossRef]
- Ahmad, S.; Muhammad, I.; Wang, G.Y.; Zeeshan, M.; Yang, L.; Ali, I.; Zhou, X.B. Ameliorative effect of melatonin improves drought tolerance by regulating growth, photosynthetic traits and leaf ultrastructure of maize seedlings. BMC Plant Biol. 2021, 21, 368. [Google Scholar] [CrossRef] [PubMed]
- Chen, X.; Zhu, Y.; Ding, Y.; Pan, R.; Shen, W.; Yu, X.; Xiong, F. The relationship between characteristics of root morphology and grain filling in wheat under drought stress. PeerJ 2021, 9, e12015. [Google Scholar] [CrossRef]
- Thapa, S.; Xue, Q.; Jessup, K.E.; Rudd, J.C.; Liu, S.; Devkota, R.N.; Baker, J.A. Soil water extraction and use by winter wheat cultivars under limited irrigation in a semi-arid environment. J. Arid. Environ. 2020, 174, 104046. [Google Scholar] [CrossRef]
- Jamali, A.; Sohrabi, Y.; Mardeh, A.S.; Hoseinpanahi, F. Morphological and yield responses of 20 genotypes of bread wheat to drought stress. Arch. Biol. Sci. 2020, 72, 71–79. [Google Scholar] [CrossRef]
- Farooq, M.; Wahid, A.; Kobayashi, N.; Fujita, D.; Basra, S.M.A. Plant drought stress: Effects, mechanisms and management. Agron. Sustain. Dev. 2009, 29, 185–212. [Google Scholar] [CrossRef]
- Liu, H.; Sultanm, M.A.; Liu, X.L.; Zhang, J.; Yu, F.; Zhao, H.X. Physiological and comparative proteomic analysis reveals different drought responses in roots and leaves of drought-tolerant wild wheat (Triticum boeoticum). PLoS ONE 2015, 10, e0121852. [Google Scholar] [CrossRef]
- Nardino, M.; Perin, E.C.; Aranha, B.C.; Carpes, S.T.; Fontoura, B.H.; de Sousa, D.J.P.; de Freitas, D.S. Understanding drought response mechanisms in wheat and multi-trait selection. PLoS ONE 2022, 17, e0266368. [Google Scholar] [CrossRef]
- Zivcak, M.; Brestic, M.; Balatova, Z.; Drevenakova, P.; Olsovska, K.; Kalaji, H.M.; Yang, X.; Allakhverdiev, S.I. Photosynthetic electron transport and specific photoprotective responses in wheat leaves under drought stress. Photosynth. Res. 2013, 117, 529–546. [Google Scholar] [CrossRef]
- Sharifi, P.; Mohammadkhani, N. Effects of drought stress on photosynthesis factors in wheat genotypes during anthesis. Cereal Res. Commun. 2016, 44, 229–239. [Google Scholar] [CrossRef]
- Zahra, N.; Hafeez, M.B.; Kausar, A.; Al Zeidi, M.; Asekova, S.; Siddique, K.H.M.; Farooq, M. Plant photosynthetic responses under drought stress: Effects and management. J. Agron. Crop. Sci. 2023, 209, 651–672. [Google Scholar] [CrossRef]
- Gupta, A.; Rico-Medina, A.; Caño-Delgado, A.I. The physiology of plant responses to drought. Science 2020, 368, 266–269. [Google Scholar] [CrossRef]
- Bashir, S.S.; Hussain, A.; Hussain, S.J.; Wani, O.A.; Zahdi Nabi, S.; Dar, N.A.; Baloch, F.S.; Mansoor, S. Plant drought stress tolerance: Understanding its physiological, biochemical and molecular mechanisms. Biotechnol. Biotechnol. Equip. 2021, 35, 1912–1925. [Google Scholar] [CrossRef]
- Chowdhury, M.K.; Hasan, M.A.; Bahadur, M.M.; Islam, M.R.; Hakim, M.A.; Iqbal, M.A.; Javed, T.; Raza, A.; Shabbir, R.; Sorour, S.; et al. Evaluation of drought tolerance of some wheat (Triticum). Agronomy 2021, 11, 1792. [Google Scholar] [CrossRef]
- Muhammad, I.; Yang, L.; Ahmad, S.; Farooq, S.; Al-Ghamdi, A.A.; Khan, A.; Zeeshan, M.; Elshikh, M.S.; Abbasi, A.M.; Zhou, X.-B. Nitrogen Fertilizer Modulates Plant Growth, Chlorophyll Pigments and Enzymatic Activities under Different Irrigation Regimes. Agronomy 2022, 12, 845. [Google Scholar] [CrossRef]
- Khan, A.; Zahir Afridi, M.; Airf, M.; Ali, S.; Muhammad, I.A. Sustainable approach toward maize production: Effectiveness of farm yard manure urea. N. Ann. Biol. Sci. 2017, 5, 7–13. [Google Scholar] [CrossRef]
- Ata-Ul-Karim, S.T.; Liu, X.; Lu, Z.; Yuan, Z.; Zhu, Y.; Cao, W. Inseason estimation of rice grain yield using critical nitrogen dilution curve. Field Crops Res. 2016, 195, 1–8. [Google Scholar] [CrossRef]
- Plett, D.C.; Ranathunge, K.; Melino, V.J.; Kuya, N.; Uga, Y.; Kronzucker, H.J. The intersection of nitrogen nutrition and water use in plants: New paths toward improved crop productivity. J. Exp. Bot. 2020, 71, 4452–4468. [Google Scholar] [CrossRef] [PubMed]
- Li, Z.; Cui, S.; Zhang, Q.; Xu, G.; Feng, Q.; Chen, C.; Li, Y. Optimizing Wheat Yield, Water, and Nitrogen Use Efficiency With Water and Nitrogen Inputs in China: A Synthesis and Life Cycle Assessment. Front. Plant Sci. 2022, 13, 930484. [Google Scholar] [CrossRef]
- Xing, H.; Zhou, W.; Wang, C.; Li, L.; Li, X.; Cui, X.; Hao, W.; Liu, F.; Wang, Y. Excessive nitrogen application under moderate soil water deficit decreases photosynthesis, respiration, carbon gain and water use efficiency of maize. Plant Physiol. Biochem. 2021, 166, 1065–1075. [Google Scholar] [CrossRef]
- Song, Y.S.; Li, J.L.; Liu, M.L.; Meng, Z. Nitrogen increases drought tolerance in maize seedlings. Funct. Plant Biol. 2019, 46, 350. [Google Scholar] [CrossRef]
- Li, L.; Ma, H.Y.; Xing, J.Y.; Liu, F.L.; Wang, Y.S. Effects of water deficit and nitrogen application on leaf gas exchange, phytohormone signaling, biomass and water use efficiency of oat plants. J. Plant Nutr. Soil Sci. 2020, 183, 695–704. [Google Scholar] [CrossRef]
- Abid, M.; Tian, Z.; Ata-Ul-Karim, S.T.; Cui, Y.; Liu, Y.; Zahoor, R.; Jiang, D.; Dai, T. Nitrogen nutrition improves the potential of wheat (Triticum aestivum L.) to alleviate the effects of drought stress during vegetative growth periods. Front. Plant Sci. 2016, 7, 981. [Google Scholar] [CrossRef]
- Shabbir, R.N.; Waraich, E.A.; Ali, H.; Nawaz, F.; Ashraf, M.Y.; Ahmad, R.; Awan, M.I.; Hussain, S.; Irfan, M.; Ahmad, Z. Supplemental exogenous NPK application alters biochemical processes to improve yield and drought tolerance in wheat (Triticum aestivum L.). Environ. Sci. Pollut. Res. Int. 2016, 23, 2651–2662. [Google Scholar] [CrossRef]
- Pandey, J.; Devadasu, E.; Saini, D.; Dhokne, K.; Marriboina, S.; Agepati, R.S.; Subramanyam, R. Reversible changes in structure andfunction of photosynthetic apparatus of pea (Pisum sativum) leaves under drought stress. Plant J. 2022, 113, 60–74. [Google Scholar] [CrossRef]
- Mack, U.D.; Feger, K.H.; Gong, Y.; Stahr, K. Soil water balance and nitrate leaching in winter wheat–summer maize doublecropping systems with different irrigation and N fertilization in the North China Plain. J. Plant Nutr. Soil Sci. 2005, 168, 454–460. [Google Scholar] [CrossRef]
- Hou, P.; Gao, Q.; Xie, R.; Li, S.; Meng, Q.; Kirkby, E.A.; Römheld, V.; Müller, T.; Zhang, F.; Cui, Z. Grain yields in relation to N requirement: Optimizing nitrogen management for spring maize grown in China. Field Crop. Res. 2012, 129, 1–6. [Google Scholar] [CrossRef]
- Jańczak-Pieniążek, M.; Pikuła, W.; Pawlak, R.; Drygaś, B.; Szpunar-Krok, E. Physiological Response of Miscanthus sinensis (Anderss.) to Biostimulants. Agriculture 2024, 14, 33. [Google Scholar] [CrossRef]
- Maxwell, K.; Johnson, G.N. Chlorophyll fluorescence—A practical guide. J. Exp. Bot. 2000, 51, 659–668. [Google Scholar] [CrossRef] [PubMed]
- Abid, M.; Ali, S.; Qi, L.K.; Zahoor, R.; Tian, Z.; Jiang, D.; Snicer, J.L.; Dai, T. Physiological and biochemical changes during drought and recovery periods at tillering and jointing stages in wheat (Triticum aestivum L.). Sci. Rep. 2018, 8, 4615. [Google Scholar] [CrossRef]
- Piao, S.; Ciais, P.; Friedlingstein, P.; Peylin, P.; Reichstein, M.; Luyssaert, S.; Margolis, H.; Fang, J.; Barr, A.; Chen, A.; et al. Net carbon dioxide losses of northern ecosystems in response to autumn warming. Nature 2008, 451, 49–52. [Google Scholar] [CrossRef] [PubMed]
- Quemada, C.; Perez-Esqudero, J.M.; Gonzalo, R.; Gonzalo, R.; Ederra, I.; Santesteban, L.G.; Torres, N.; Iriarte, J.C. Remote sensing of plant water content monitoring: A Review. Remote. Sens. 2021, 13, 2088. [Google Scholar] [CrossRef]
- Kapoor, D.; Bhardwaj, S.; Landi, M.; Sharma, A.; Ramakrishnan, M.; Sharma, A. The Impact of Drought in Plant Metabolism: How to Exploit Tolerance Mechanisms to Increase Crop Production. Appl. Sci. 2020, 10, 5692. [Google Scholar] [CrossRef]
- Chen, F.; Zhang, K.; Yan, S.; Li, X.; Wang, J. Response of photosynthesis to light and CO2 concentration in spring wheat under progressive drought stress. BMC Plant Biol. 2025, 25, 324. [Google Scholar] [CrossRef]
- Anosheh, H.P.; Moucheshi, A.S.; Pakniyat, H.; Pessarakli, M. Stomatal responses to drought stress. In Water Stress and Crop Plants, 1st ed; Parvaiz, A., Ed.; John Wiley & Sons Ltd.: Hoboken, NJ, USA, 2016; Volume 1, pp. 24–40. [Google Scholar] [CrossRef]
- Schroeder, J.I.; Kwak, J.M.; Allen, G.J. Guard cell abscisic acid signalling and engineering drought hardiness in plants. Nature 2001, 410, 327–330. [Google Scholar] [CrossRef]
- Driesen, E.; Van Den Ende, W.; De Proft, M.; Saeys, W. Influence of environmental factors light, CO2, temperature and relative humidity on stomatal opening and development: A Review. Agronomy 2020, 10, 1975. [Google Scholar] [CrossRef]
- Wasaya, A.; Manzoor, S.; Yasir, T.A.; Sarwar, N.; Mubeen, K.; Ismail, I.A.; Raza, A.; Rehman, A.; Hossain, A.; EL Sabagh, A. Evaluation of Fourteen Bread Wheat (Triticum aestivum L.) Genotypes by Observing Gas Exchange Parameters, Relative Water and Chlorophyll Content, and Yield Attributes under Drought Stress. Sustainability 2021, 13, 4799. [Google Scholar] [CrossRef]
- Wang, Y.; Wang, Y.; Tang, Y.; Zhu, X.G. Stomata conductance as a goalkeeper for increased photosynthetic efficiency. Curr. Opin. Plant Biol. 2022, 70, 102310. [Google Scholar] [CrossRef]
- Olsovská, K.; Kovář, M.; Breštič, M.; Živčák, M.; Slamka, P.; Shao, H.B. Genotypically Identifying Wheat Mesophyll Conductance Regulation under Progressive Drought Stress. Front. Plant Sci. 2016, 7, 1111. [Google Scholar] [CrossRef]
- Centritto, M.; Lauteri, M.; Monteverdi, M.C.; Serraj, R. Leaf gas exchange, carbon isotope discrimination, and grain yield in contrasting rice genotypes subjected to water deficits during the reproductive stage. J. Exp. Bot. 2009, 60, 2325–2339. [Google Scholar] [CrossRef] [PubMed]
- Rastogi, A.; Kovar, M.; He, X.; Zivcak, M.; Kataria, S.; Kalaji, H.M.; Skalicky, M.; Ibrahimova, U.F.; Hussain, S.; Mbarki, S.; et al. JIP-test as a tool to identify salinity tolerance in sweet sorghum genotypes. Phostosynthetica 2020, 58, 518–520. [Google Scholar] [CrossRef]
- Woo, N.S.; Badger, M.R.; Pogson, B.J. A rapid, non-invasive procedure for quantitative assessment of drought survival using chlorophyll fluorescence. Plant Methods 2008, 4, 27. [Google Scholar] [CrossRef]
- Zhuang, J.; Wang, Y.; Chi, Y.; Zhou, L.; Chen, J.; Zhou, W.; Song, J.; Zhao, N.; Ding, J. Drought stress strengthens the link between chlorophyll fluorescence parameters and photosynthetic traits. PeerJ 2020, 8, e10046. [Google Scholar] [CrossRef]
- Shin, Y.K.; Bhandari, S.R.; Jo, J.S.; Song, J.W.; Lee, J.G. Effect of Drought Stress on Chlorophyll Fluorescence Parameters, Phytochemical Contents, and Antioxidant Activities in Lettuce Seedlings. Horticulturae 2021, 7, 238. [Google Scholar] [CrossRef]
- Sherstneva, O.; Khlopkov, A.; Gromova, E.; Yudina, L.; Vetrova, Y.; Pecherina, A.; Kuznetsova, D.; Krutova, E.; Sukhov, V.; Vodeneev, V. Analysis of chlorophyll fluorescence parameters as predictors of biomass accumulation and tolerance to heat and drought stress of wheat (Triticum aestivum) plants. Funct. Plant Biol. 2022, 49, 155–169. [Google Scholar] [CrossRef] [PubMed]
- Larouk, C.; Gabon, F.; Kehel, Z.; Djekoun, A.; Nachit, M.; Amri, A. Chlorophyll Fluorescence and Drought Tolerance in a Mapping Population of Durum Wheat. Contemp. Agric. 2021, 70, 123–134. [Google Scholar] [CrossRef]
- Husen, A. Growth characteristics, physiological and metabolic responses of teak (Tectona grandis Linn. F.) clones differing in rejuvenation capacity subjected to drought stress. Silvae Genet. 2010, 59, 124–136. [Google Scholar] [CrossRef]
- Johnson, S.M.; Lim, F.-L.; Finkler, A.; Fromm, H.; Slabas, A.R.; Knight, M.R. Transcriptomic analysis of Sorghum bicolor responding to combined heat and drought stress. BMC Genom. 2014, 15, 456. [Google Scholar] [CrossRef]
- Nosalewicz, A.; Okoń, K.; Skorupka, M. Non-Photochemical Quenching under Drought and Fluctuating Light. Int. J. Mol. Sci. 2022, 23, 5182. [Google Scholar] [CrossRef]
- Zada, A.; Ali, A.; Binjawhar, D.N.; Abdel-Hameed, U.K.; Shah, A.H.; Gill, S.M.; Hussain, I.; Abbas, Z.; Ullah, Z.; Sher, H.; et al. Molecular and Physiological Evaluation of Bread Wheat (Triticum aestivum L.) Genotypes for Stay Green under Drought Stress. Genes 2022, 13, 2261. [Google Scholar] [CrossRef]
- Arjenaki, F.G.; Morshedi, A.; Jabbari, A.R. Evaluation of drought stress on relative water content, chlorophyll content and mineral elements of wheat (Triticum aestivum L.) Varieties. Agric. Food Sci. 2012, 4, 726–729. [Google Scholar]
- Javed, A.; Ahmad, N.; Ahmed, J.; Hameed, A.; Ashraf, M.A.; Zafar, S.A.; Maqbool, A.; Al-Amrah, H.; Alatawi, H.A.; Al-Harbi, M.S.; et al. Grain yeld, chlorophyland protein contentsof elitewheat genotypesunder drought stress. J. King Saud Univ. Sci. 2022, 34, 102279. [Google Scholar] [CrossRef]
- Khalilzadeh, R.; Seyed Sharifi, R.; Jalilian, J. Antioxidant status and physiological responses of wheat (Triticum aestivum L.) to cycocel application and bio fertilizers under water limitation condition. J. Plant Interact. 2016, 11, 130–137. [Google Scholar] [CrossRef]
- Djanaguiraman, M.; Prasad, P.V.; Seppanen, M. Selenium protects sorghum leaves from oxidative damage under high temperature stress by enhancing antioxidant defense system. Plant Physiol. Biochem. 2010, 48, 999–1007. [Google Scholar] [CrossRef]
- Hassanzadeh, M.; Ebadi, A.; Panahyan-Kivi, M.; Eshghi, A.G.; Jamaati-E-Somarin, S.; Saeidi, M.; Zabihi-E-Mahmoodabad, R. Evaluation of drought stress on relative water content and chlorophyll content of sesame (Sesamum indicum L.) genotypes at early flowering stage. Res. J. Environ. Sci. 2009, 3, 345–350. [Google Scholar] [CrossRef]
- Yasir, T.A.; Min, D.; Chen, X.; Condon, A.G.; Hu, Y.G. The association of carbon isotope discrimination (D) with gas exchange parameters and yield traits in Chinese bread wheat cultivars under two water regimes. Agric. Water Manag. 2013, 119, 111–120. [Google Scholar] [CrossRef]
- Jumrani, K.; Bhatia, V.S.; Kataria, S.; Rastogi, A. The interactive effect of high temperature and water deficit stress on nitrogen fixation, photosynthesis, chlorophyll fluorescence, seed yield and quality in soybean (Glycine max). Plant Physiol. Rep. 2024, 29, 125–140. [Google Scholar] [CrossRef]
- Anjum, S.A.; Xie, X.Y.; Wang, L.C.; Saleem, M.F.; Man, C.; Lei, W. Morphological, Physiological and Biochemical Responses of Plants to Drought Stress. Afr. J. Agric. Res. 2011, 6, 2026–2032. [Google Scholar]
- Zhu, J.; Cai, Y.; Li, X.; Yang, L.; Zhang, Y. High-nitrogen fertilizer alleviated adverse effects of drought stress on the growth and photosynthetic characteristics of Hosta ‘Guacamole’. BMC Plant Biol. 2024, 24, 299. [Google Scholar] [CrossRef]
- Aguilar, J.V.; Lapaz, A.d.M.; Bomfim, N.C.P.; Mendes, T.F.S.; Souza, L.A.; Furlani Júnior, E.; Camargos, L.S. Photosynthetic Performance and Urea Metabolism After Foliar Fertilization with Nickel and Urea in Cotton Plants. Agriculture 2025, 15, 699. [Google Scholar] [CrossRef]
- Lian, H.; Qin, C.; Shen, J.; Ahanger, M.A. Alleviation of Adverse Effects of Drought Stress on Growth and Nitrogen Metabolism in Mungbean (Vigna radiata) by Sulphur and Nitric Oxide Involves Up-Regulation of Antioxidant and Osmolyte Metabolism and Gene Expression. Plants 2023, 12, 3082. [Google Scholar] [CrossRef] [PubMed]
- Ashraf, A.M.; Archana, H.A.; Naveen Kumar, M.R.; Muhammed Iqshanullah, A.; Rajasekaran, R.; Dhinesh, K.S.; Naziya Begam, S. Potential Foliar Chemicals for Enhancing Yield and Drought Tolerance in Leguminous Crops: A Review. Legume Res. 2023, 47, 1251–1257. [Google Scholar] [CrossRef]
- Wei, X.; Han, L.; Xu, N.; Sun, M.; Yang, X. Nitrate nitrogen enhances the efficiency of photoprotection in Leymus chinensis under drought stress. Front. Plant Sci. 2024, 15, 1348925. [Google Scholar] [CrossRef]
- Khamis, G.; Alsherif, E.A.; Korany, S.M.; Aldailami, D.A.; Aloufi, A.S.; Khalaf, M.H.; Hamed, S.M.; Maridueña-Zavala, M.G.; Al Jaouni, S.K.; Selim, S. Drought stress differentially influences growth, physiology, and metabolite accumulation in Triticum aestivum (C3) and Amaranthus caudatus (C4) plants. BMC Plant Biol. 2025, 25, 1199. [Google Scholar] [CrossRef] [PubMed]
- Zhao, W.; Liu, L.; Shen, Q.; Yang, J.; Han, X.; Tian, F.; Wu, J. Effects of Water Stress on Photosynthesis, Yield, and Water Use Efficiency in Winter Wheat. Water 2020, 12, 2127. [Google Scholar] [CrossRef]
- Pour-Aboughadareh, A.; Omidi, M.; Naghavi, M.R.; Etminan, A.; Mehrabi, A.A.; Poczai, P.; Bayat, H. Effect of Water Deficit Stress on Seedling Biomass and Physio-Chemical Characteristics in Different Species of Wheat Possessing the D Genome. Agronomy 2019, 9, 522. [Google Scholar] [CrossRef]
- Falcioni, R.; de Oliveira, C.A.; Vedana, N.G.; Mendonça, W.A.; Gonçalves, J.V.F.; da Silva Haubert, D.d.F.; de Matos, D.H.S.; Reis, A.S.; Antunes, W.C.; Crusiol, L.G.T.; et al. Progressive Water Deficit Impairs Soybean Growth, Alters Metabolic Profiles, and Decreases Photosynthetic Efficiency. Plants 2025, 14, 2615. [Google Scholar] [CrossRef]
- Shao, H.B.; Chu, L.Y.; Jaleel, C.A.; Zhao, C.X. Water-deficit stress-induced anatomical changes in higher plants. C. R. Biol. 2008, 331, 215–225. [Google Scholar] [CrossRef] [PubMed]
- Ru, C.; Hu, X.; Wang, W.; Yan, H. Impact of nitrogen on photosynthesis, remobilization, yield, and efficiency in winter wheat under heat and drought stress. Agric. Water Manag. 2024, 302, 109013. [Google Scholar] [CrossRef]
- Wang, X.; Zhang, C.; Zhao, N.; Sun, X.; Hou, S.; Wang, P. Physiological Nitrogen Uptake and Utilisation Responses in Two Native Plants from the Qinghai-Tibet Plateau under Different Water and Fertiliser Conditions. Agronomy 2024, 14, 440. [Google Scholar] [CrossRef]
- Bektas, H.; Hohn, C.E.; Lukaszewski, A.J.; Waines, J.G. On the Possible Trade-Off between Shoot and Root Biomass in Wheat. Plants 2023, 12, 2513. [Google Scholar] [CrossRef]
- Bacher, H.; Sharaby, Y.; Walia, H.; Peleg, Z. Modifying root-to-shoot ratio improves root water influxes in wheat under drought stress. J. Exp. Bot. 2021, 73, 1643–1654. [Google Scholar] [CrossRef]
- Zhuang, T.; Ata-Ul-Karim, S.T.; Zhao, B.; Liu, X.; Tian, Y.; Zhu, Y.; Cao, W.; Cao, Q. Investigating the impacts of different degrees of deficit irrigation and nitrogen interactions on assimilate translocation, yield, and resource use efficiencies in winter wheat. Agric. Water Manag. 2024, 304, 109089. [Google Scholar] [CrossRef]
- Jia, X.; Shao, L.; Liu, P.; Zhao, B.; Gu, L.; Dong, S.; Bing, S.H.; Zhang, J.; Zhao, B. Effect of different nitrogen and irrigation treatments on yield and nitrate leaching of summer maize (Zea mays L.) under lysimeter conditions. Agric. Water Manag. 2014, 137, 92–103. [Google Scholar] [CrossRef]
- Zenda, T.; Liu, S.; Dong, A.; Duan, H. Revisiting Sulphur—The Once Neglected Nutrient: It’s Roles in Plant Growth, Metabolism, Stress Tolerance and Crop Production. Agriculture 2021, 11, 626. [Google Scholar] [CrossRef]
- Qaderi, M.M.; Evans, C.C.; Spicer, M.D. Plant Nitrogen Assimilation: A Climate Change Perspective. Plants 2025, 14, 1025. [Google Scholar] [CrossRef]









| Factor I Soil Moisture Level | Factor II Nitrogen Fertilizers | |
|---|---|---|
| 1. 60% WHC 2. 30% WHC | 1. Control | No nitrogen fertilization |
| 2. Urea | Urea (46.64% N) | |
| 3. Basfoliar 36 Extra | Basfoliar 36 Extra (Total N—36.2%; 6.3% N-NO3; 4.7% N-NH4; 25.2% N-NH2; 4.3% MgO; 0.027% B; 0.27% Cu; 0.027% Fe; 1.34% Mn; 0.007% Mo; 0.013% Zn) | |
| 4. Nitron S | Nitron S (308 g N, 56 g SO3) | |
| 5. Ammonium nitrate | Ammonium nitrate (34% N) | |
Disclaimer/Publisher’s Note: The statements, opinions and data contained in all publications are solely those of the individual author(s) and contributor(s) and not of MDPI and/or the editor(s). MDPI and/or the editor(s) disclaim responsibility for any injury to people or property resulting from any ideas, methods, instructions or products referred to in the content. |
© 2026 by the authors. Licensee MDPI, Basel, Switzerland. This article is an open access article distributed under the terms and conditions of the Creative Commons Attribution (CC BY) license.
Share and Cite
Pikuła, W.; Jańczak-Pieniążek, M.; Szpunar-Krok, E. Role of Nitrogen Fertilization in Mitigating Drought-Induced Physiological Stress in Wheat Seedlings. Agriculture 2026, 16, 337. https://doi.org/10.3390/agriculture16030337
Pikuła W, Jańczak-Pieniążek M, Szpunar-Krok E. Role of Nitrogen Fertilization in Mitigating Drought-Induced Physiological Stress in Wheat Seedlings. Agriculture. 2026; 16(3):337. https://doi.org/10.3390/agriculture16030337
Chicago/Turabian StylePikuła, Wojciech, Marta Jańczak-Pieniążek, and Ewa Szpunar-Krok. 2026. "Role of Nitrogen Fertilization in Mitigating Drought-Induced Physiological Stress in Wheat Seedlings" Agriculture 16, no. 3: 337. https://doi.org/10.3390/agriculture16030337
APA StylePikuła, W., Jańczak-Pieniążek, M., & Szpunar-Krok, E. (2026). Role of Nitrogen Fertilization in Mitigating Drought-Induced Physiological Stress in Wheat Seedlings. Agriculture, 16(3), 337. https://doi.org/10.3390/agriculture16030337

