Identification and Characterization of the CRY Gene Family Involved in Safflower Flavonoid Biosynthesis
Abstract
1. Introduction
2. Materials and Methods
2.1. Plant Material
2.2. Flower Color Measurement and Classification
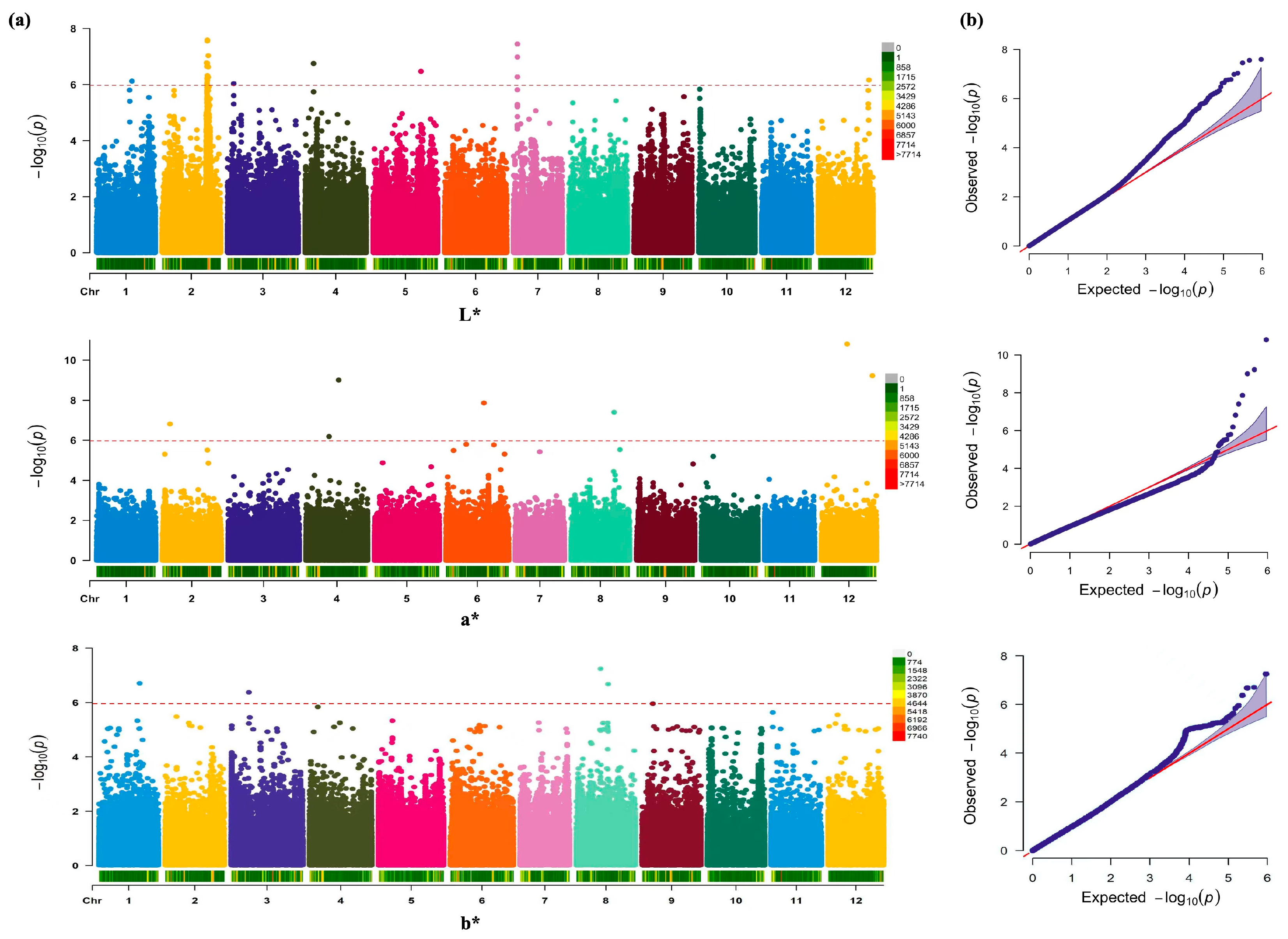
2.3. Genome-Wide Association Study (GWAS)
2.4. Gene Family Identification, Physicochemical and Cis-Acting Element Analysis
2.5. Phylogenetic, Conserved Motif, and Gene Structure Analysis
2.6. Gene Cloning and Transformation
2.7. Flavonoid Extraction
2.8. Gene Expression Analysis by qRT-PCR
2.9. Statistical Analysis
3. Results
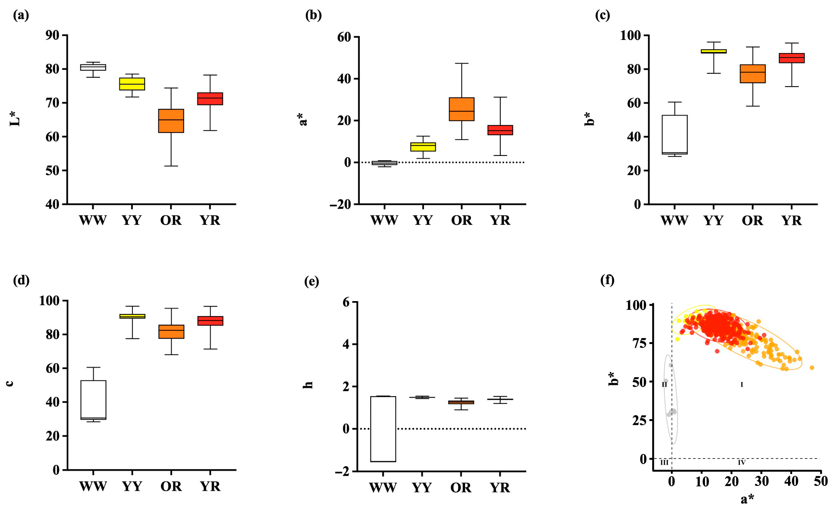
3.1. Classification Based on CIELAB Color Space System
3.2. Variation in Flower Color Traits
3.3. Three-Dimensional and Correlation Analysis
3.4. Association Analysis and Identification of Candidate Gene
3.5. Identification and Physicochemical Properties of CRY Gene Family
3.6. Conserved Motif, Gene Structure, and Phylogenetic Analysis
3.7. Cis-Acting Element Analysis
3.8. Morphology and Flavonoid Quantification Analysis in Overexpression Lines
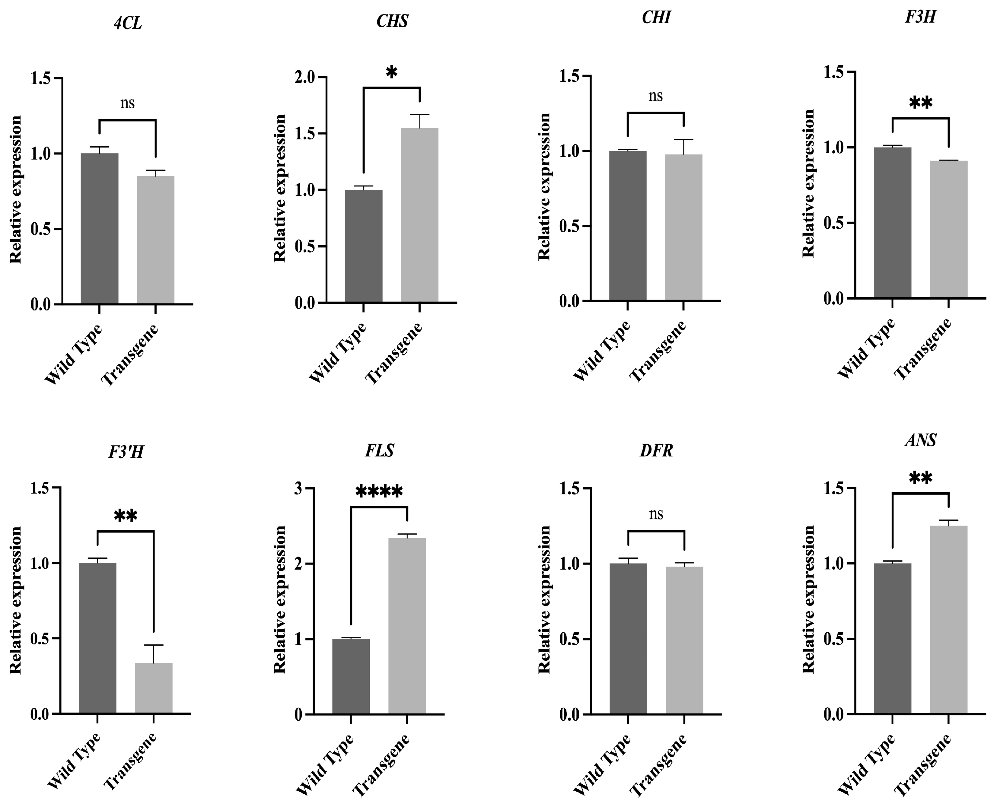
3.9. Expression Pattern of Flavonoid Biosynthesis Pathway Genes
4. Discussion
5. Conclusions
Author Contributions
Funding
Institutional Review Board Statement
Data Availability Statement
Conflicts of Interest
References
- Bujak, T.; Zagórska-Dziok, M.; Ziemlewska, A.; Nizioł-Łukaszewska, Z.; Wasilewski, T.; Hordyjewicz-Baran, Z. Antioxidant and Cytoprotective Properties of Plant Extract from Dry Flowers as Functional Dyes for Cosmetic Products. Molecules 2021, 26, 2809. [Google Scholar] [CrossRef]
- Erbaş, S.; Mutlucan, M. Investigation of Flower Yield and Quality in Different Color Safflower Genotypes. Agronomy 2023, 13, 956. [Google Scholar] [CrossRef]
- Wang, C.-C.; Choy, C.-S.; Liu, Y.-H.; Cheah, K.-P.; Li, J.-S.; Wang, J.T.-J.; Yu, W.-Y.; Lin, C.-W.; Cheng, H.-W.; Hu, C.-M. Protective Effect of Dried Safflower Petal Aqueous Extract and Its Main Constituent, Carthamus Yellow, against Lipopolysaccharide-Induced Inflammation in RAW264.7 Macrophages. J. Sci. Food Agric. 2011, 91, 218–225. [Google Scholar] [CrossRef]
- Fan, K.; Qin, Y.; Hu, X.; Xu, J.; Ye, Q.; Zhang, C.; Ding, Y.; Li, G.; Chen, Y.; Liu, J.; et al. Identification of Genes Associated with Fatty Acid Biosynthesis Based on 214 Safflower Core Germplasm. BMC Genom. 2023, 24, 763. [Google Scholar] [CrossRef]
- Arshad, R.; Wan, J.; Ai, T.; Yin, C.; Qin, Y.; Qin, R.; Liu, J.; Liu, H. A Targeted Reformulation of Safflower Oil: Enhancing Anti-Inflammatory Potential and Market Competitiveness through Ω3 Enrichment. Food Res. Int. 2025, 203, 115793. [Google Scholar] [CrossRef]
- Ciumărnean, L.; Milaciu, M.V.; Runcan, O.; Vesa, Ș.C.; Răchișan, A.L.; Negrean, V.; Perné, M.-G.; Donca, V.I.; Alexescu, T.-G.; Para, I.; et al. The Effects of Flavonoids in Cardiovascular Diseases. Molecules 2020, 25, 4320. [Google Scholar] [CrossRef]
- Chen, L.; Xiang, Y.; Kong, L.; Zhang, X.; Sun, B.; Wei, X.; Liu, H. Hydroxysafflor Yellow A Protects Against Cerebral Ischemia–Reperfusion Injury by Anti-Apoptotic Effect Through PI3K/Akt/GSK3β Pathway in Rat. Neurochem. Res. 2013, 38, 2268–2275. [Google Scholar] [CrossRef]
- Yan, Z.; Alimu, R.; Wan, J.; Liao, X.; Lin, S.; Dai, S.; Chen, F.; Zhang, S.; Tong, Y.; Liu, H.; et al. Composition of Major Quinochalcone Hydroxysafflor Yellow A and Anhydrosafflor Yellow B Is Associated with Colour of Safflower (Carthamus tinctorius) during Colour-Transition but Not with Overall Antioxidant Capacity: A Study on 144 Cultivars. Food Res. Int. 2022, 162, 112098. [Google Scholar] [CrossRef] [PubMed]
- Xu, X.; Hu, X.; Zhou, S.; Liu, J.; Su, Z.; Zheng, Z.; Luo, D. Hydroxyl Safflower Yellow A Regulates Bone-Fat Balance in Osteoporosis by SphK1/S1P/S1PR Signaling Pathway. Biochem. Pharmacol. 2025, 242, 117258. [Google Scholar] [CrossRef] [PubMed]
- Yin, C.; Fang, R.; Xu, Y.; Li, K.; Ai, T.; Wan, J.; Qin, Y.; Lyu, X.; Liu, H.; Qin, R.; et al. Safflower Petal Water-Extract Consumption Reduces Blood Glucose via Modulating Hepatic Gluconeogenesis and Gut Microbiota. J. Funct. Foods 2024, 123, 106615. [Google Scholar] [CrossRef]
- Orgah, J.O.; He, S.; Wang, Y.; Jiang, M.; Wang, Y.; Orgah, E.A.; Duan, Y.; Zhao, B.; Zhang, B.; Han, J.; et al. Pharmacological Potential of the Combination of Salvia miltiorrhiza (Danshen) and Carthamus tinctorius (Honghua) for Diabetes Mellitus and Its Cardiovascular Complications. Pharmacol. Res. 2020, 153, 104654. [Google Scholar] [CrossRef]
- Feng, X.; Li, Y.; Wang, Y.; Li, L.; Little, P.J.; Xu, S.; Liu, S. Danhong Injection in Cardiovascular and Cerebrovascular Diseases: Pharmacological Actions, Molecular Mechanisms, and Therapeutic Potential. Pharmacol. Res. 2019, 139, 62–75. [Google Scholar] [CrossRef]
- Park, C.; Chae, S.; Park, S.-Y.; Kim, J.; Kim, Y.; Chung, S.; Arasu, M.; Al-Dhabi, N.; Park, S. Anthocyanin and Carotenoid Contents in Different Cultivars of Chrysanthemum (Dendranthema grandiflorum Ramat.) Flower. Molecules 2015, 20, 11090–11102. [Google Scholar] [CrossRef]
- Tanaka, Y.; Sasaki, N.; Ohmiya, A. Biosynthesis of Plant Pigments: Anthocyanins, Betalains and Carotenoids. Plant J. 2008, 54, 733–749. [Google Scholar] [CrossRef]
- Qin, Y.; Fan, K.; Yimamu, A.; Zhan, P.; Lv, L.; Li, G.; Liu, J.; Hu, Z.; Yan, X.; Hu, X.; et al. Integrated Genetic Diversity and Multi-Omics Analysis of Colour Formation in Safflower. Int. J. Mol. Sci. 2025, 26, 647. [Google Scholar] [CrossRef] [PubMed]
- Davies, K.M.; Andre, C.M.; Kulshrestha, S.; Zhou, Y.; Schwinn, K.E.; Albert, N.W.; Chagné, D.; Van Klink, J.W.; Landi, M.; Bowman, J.L. The Evolution of Flavonoid Biosynthesis. Philos. Trans. R. Soc. B Biol. Sci. 2024, 379, 20230361. [Google Scholar] [CrossRef] [PubMed]
- Jiang, W.; Yin, Q.; Wu, R.; Zheng, G.; Liu, J.; Dixon, R.A.; Pang, Y. Role of a Chalcone Isomerase-like Protein in Flavonoid Biosynthesis in Arabidopsis Thaliana. J. Exp. Bot. 2015, 66, 7165–7179. [Google Scholar] [CrossRef]
- Liu, W.; Feng, Y.; Yu, S.; Fan, Z.; Li, X.; Li, J.; Yin, H. The Flavonoid Biosynthesis Network in Plants. Int. J. Mol. Sci. 2021, 22, 12824. [Google Scholar] [CrossRef] [PubMed]
- Ozturk, N. Phylogenetic and Functional Classification of the Photolyase/Cryptochrome Family. Photochem. Photobiol. 2017, 93, 104–111. [Google Scholar] [CrossRef]
- Sancar, A. Structure and Function of DNA Photolyase and Cryptochrome Blue-Light Photoreceptors. Chem. Rev. 2003, 103, 2203–2238. [Google Scholar] [CrossRef]
- Cashmore, A.R. Cryptochromes. Cell 2003, 114, 537–543. [Google Scholar] [CrossRef]
- Wang, H.; Ma, L.-G.; Li, J.-M.; Zhao, H.-Y.; Deng, X.W. Direct Interaction of Arabidopsis Cryptochromes with COP1 in Light Control Development. Science 2001, 294, 154–158. [Google Scholar] [CrossRef]
- Lin, C. Blue Light Receptors and Signal Transduction. Plant Cell 2002, 14, S207–S225. [Google Scholar] [CrossRef]
- Liu, H.; Liu, B.; Zhao, C.; Pepper, M.; Lin, C. The Action Mechanisms of Plant Cryptochromes. Trends Plant Sci. 2011, 16, 684–691. [Google Scholar] [CrossRef] [PubMed]
- Jia, Q.; Yin, Y.; Gai, S.; Tian, L.; Zhu, Z.; Qin, L.; Wang, Y. Onion Cryptochrome 1 (AcCRY1) Regulates Photomorphogenesis and Photoperiod Flowering in Arabidopsis and Exploration of Its Functional Mechanisms under Blue Light. Plant Physiol. Biochem. 2024, 206, 108300. [Google Scholar] [CrossRef]
- Sharma, P.; Chatterjee, M.; Burman, N.; Khurana, J.P. Cryptochrome 1 Regulates Growth and Development in B Rassica through Alteration in the Expression of Genes Involved in Light, Phytohormone and Stress Signalling. Plant Cell Environ. 2014, 37, 961–977. [Google Scholar] [CrossRef]
- Chen, X.; Fan, Y.; Guo, Y.; Li, S.; Zhang, B.; Li, H.; Liu, L. Blue Light Photoreceptor Cryptochrome 1 Promotes Wood Formation and Anthocyanin Biosynthesis in Populus. Plant Cell Environ. 2024, 47, 2044–2057. [Google Scholar] [CrossRef] [PubMed]
- Lu, C.; Li, Y.; Wang, J.; Qu, J.; Chen, Y.; Chen, X.; Huang, H.; Dai, S. Flower Color Classification and Correlation between Color Space Values with Pigments in Potted Multiflora Chrysanthemum. Sci. Hortic. 2021, 283, 110082. [Google Scholar] [CrossRef]
- Yang, Y.; Li, B.; Feng, C.; Wu, Q.; Wang, Q.; Li, S.; Yu, X.; Wang, L. Chemical Mechanism of Flower Color Microvariation in Paeonia with Yellow Flowers. Hortic. Plant J. 2020, 6, 179–190. [Google Scholar] [CrossRef]
- Lee, Y.-K. Comparison of CIELAB ΔE* and CIEDE2000 Color-Differences after Polymerization and Thermocycling of Resin Composites. Dent. Mater. 2005, 21, 678–682. [Google Scholar] [CrossRef]
- Hammer, Ø.; Harper, D.A.T.; Ryan, P.D. PAST: Paleontological Statistics Software Package for Education and Data Analysis. Palaeontol. Electron. 2001, 4, 1. [Google Scholar]
- Xie, J.; Chen, Y.; Cai, G.; Cai, R.; Hu, Z.; Wang, H. Tree Visualization By One Table (tvBOT): A Web Application for Visualizing, Modifying and Annotating Phylogenetic Trees. Nucleic Acids Res. 2023, 51, W587–W592. [Google Scholar] [CrossRef]
- Revelle, W. Psych: Procedures for Psychological, Psychometric, and Personality Research. Version2.5.6. 2007. Available online: https://personality-project.org/r/psych/ (accessed on 18 January 2026).
- Wan, W.; Jia, F.; Liu, Z.; Sun, W.; Zhang, X.; Su, J.; Guan, Z.; Chen, F.; Zhang, F.; Fang, W. Quantitative Evaluation and Genome-Wide Association Studies of Chrysanthemum Flower Color. Sci. Hortic. 2024, 338, 113561. [Google Scholar] [CrossRef]
- Kusmec, A.; Schnable, P.S. Farm CPU Pp: Efficient Large-scale Genomewide Association Studies. Plant Direct 2018, 2, e00053. [Google Scholar] [CrossRef]
- Altmann, A.; Weber, P.; Bader, D.; Preuß, M.; Binder, E.B.; Müller-Myhsok, B. A Beginners Guide to SNP Calling from High-Throughput DNA-Sequencing Data. Hum. Genet. 2012, 131, 1541–1554. [Google Scholar] [CrossRef]
- Martin, E.R.; Chung, R. Linkage Disequilibrium and Association Analysis. In Genetic Analysis of Complex Diseases; Scott, W.K., Ritchie, M.D., Eds.; Wiley: Hoboken, NJ, USA, 2021; pp. 182–204. ISBN 978-1-118-12391-1. [Google Scholar]
- Wu, Z.; Liu, H.; Zhan, W.; Yu, Z.; Qin, E.; Liu, S.; Yang, T.; Xiang, N.; Kudrna, D.; Chen, Y.; et al. The Chromosome-scale Reference Genome of Safflower (Carthamus tinctorius) Provides Insights into Linoleic Acid and Flavonoid Biosynthesis. Plant Biotechnol. J. 2021, 19, 1725–1742. [Google Scholar] [CrossRef]
- Tan, Z.; Lu, D.; Li, L.; Su, X.; Sun, Y.; Wang, L.; Yu, Y.; Wan, X.; Xu, L.; Li, C.; et al. Comprehensive Analysis of Safflower R2R3-MYBs Reveals the Regulation Mechanism of CtMYB76 on Flavonol Biosynthesis. Ind. Crops Prod. 2025, 227, 120795. [Google Scholar] [CrossRef]
- Artimo, P.; Jonnalagedda, M.; Arnold, K.; Baratin, D.; Csardi, G.; De Castro, E.; Duvaud, S.; Flegel, V.; Fortier, A.; Gasteiger, E.; et al. ExPASy: SIB Bioinformatics Resource Portal. Nucleic Acids Res. 2012, 40, W597–W603. [Google Scholar] [CrossRef]
- Horton, P.; Park, K.-J.; Obayashi, T.; Fujita, N.; Harada, H.; Adams-Collier, C.J.; Nakai, K. WoLF PSORT: Protein Localization Predictor. Nucleic Acids Res. 2007, 35, W585–W587. [Google Scholar] [CrossRef]
- Knudsen, S. Promoter2.0: For the Recognition of PolII Promoter Sequences. Bioinformatics 1999, 15, 356–361. [Google Scholar] [CrossRef]
- Lescot, M.; Déhais, P.; Thijs, G.; Marchal, K.; Moreau, Y.; Van de Peer, Y.; Rouzé, P.; Rombauts, S. PlantCARE, a Database of Plant Cis-Acting Regulatory Elements and a Portal to Tools for in Silico Analysis of Promoter Sequences. Nucleic Acids Res. 2002, 30, 325–327. [Google Scholar] [CrossRef]
- Chen, C.; Wu, Y.; Li, J.; Wang, X.; Zeng, Z.; Xu, J.; Liu, Y.; Feng, J.; Chen, H.; He, Y.; et al. TBtools-II: A “One for All, All for One” Bioinformatics Platform for Biological Big-Data Mining. Mol. Plant 2023, 16, 1733–1742. [Google Scholar] [CrossRef]
- Bolser, D.; Staines, D.M.; Pritchard, E.; Kersey, P. Ensembl Plants: Integrating Tools for Visualizing, Mining, and Analyzing Plant Genomics Data. In Plant Bioinformatics; Edwards, D., Ed.; Methods in Molecular Biology; Springer: New York, NY, USA, 2016; Volume 1374, pp. 115–140. ISBN 978-1-4939-3166-8. [Google Scholar]
- Chen, H.; Wang, T.; He, X.; Cai, X.; Lin, R.; Liang, J.; Wu, J.; King, G.; Wang, X. BRAD V3.0: An Upgraded Brassicaceae Database. Nucleic Acids Res. 2022, 50, D1432–D1441. [Google Scholar] [CrossRef]
- Geer, L.Y.; Marchler-Bauer, A.; Geer, R.C.; Han, L.; He, J.; He, S.; Liu, C.; Shi, W.; Bryant, S.H. The NCBI BioSystems Database. Nucleic Acids Res. 2010, 38, D492–D496. [Google Scholar] [CrossRef]
- Kumar, S.; Stecher, G.; Suleski, M.; Sanderford, M.; Sharma, S.; Tamura, K. MEGA12: Molecular Evolutionary Genetic Analysis Version 12 for Adaptive and Green Computing. Mol. Biol. Evol. 2024, 41, msae263. [Google Scholar] [CrossRef]
- Bailey, T.L.; Boden, M.; Buske, F.A.; Frith, M.; Grant, C.E.; Clementi, L.; Ren, J.; Li, W.W.; Noble, W.S. MEME SUITE: Tools for Motif Discovery and Searching. Nucleic Acids Res. 2009, 37, W202–W208. [Google Scholar] [CrossRef]
- Hu, B.; Jin, J.; Guo, A.-Y.; Zhang, H.; Luo, J.; Gao, G. GSDS 2.0: An Upgraded Gene Feature Visualization Server. Bioinformatics 2015, 31, 1296–1297. [Google Scholar] [CrossRef]
- Inouye, M. The First Determination of DNA Sequence of a Specific Gene. Gene 2016, 582, 94–95. [Google Scholar] [CrossRef]
- Davis, A.M.; Hall, A.; Millar, A.J.; Darrah, C.; Davis, S.J. Protocol: Streamlined Sub-Protocols for Floral-Dip Transformation and Selection of Transformants in Arabidopsis Thaliana. Plant Methods 2009, 5, 3. [Google Scholar] [CrossRef]
- Zhang, J.; Huang, D.; Zhao, X.; Zhang, M.; Wang, Q.; Hou, X.; Di, D.; Su, B.; Wang, S.; Sun, P. Drought-Responsive WRKY Transcription Factor Genes IgWRKY50 and IgWRKY32 from Iris Germanica Enhance Drought Resistance in Transgenic Arabidopsis. Front. Plant Sci. 2022, 13, 983600. [Google Scholar] [CrossRef]
- Wang, Z.; Yang, S.; Gao, Y.; Huang, J. Extraction and Purification of Antioxidative Flavonoids from Chionanthus Retusa Leaf. Front. Bioeng. Biotechnol. 2022, 10, 1085562. [Google Scholar] [CrossRef] [PubMed]
- Ji, Y.; Guo, S.; Wang, B.; Yu, M. Extraction and Determination of Flavonoids in Carthamus tinctorius. Open Chem. 2018, 16, 1129–1133. [Google Scholar] [CrossRef]
- Li, X.-W.; Li, J.-W.; Zhai, Y.; Zhao, Y.; Zhao, X.; Zhang, H.-J.; Su, L.-T.; Wang, Y.; Wang, Q.-Y. A R2R3-MYB Transcription Factor, GmMYB12B2, Affects the Expression Levels of Flavonoid Biosynthesis Genes Encoding Key Enzymes in Transgenic Arabidopsis Plants. Gene 2013, 532, 72–79. [Google Scholar] [CrossRef]
- Lu, D.; Wang, L.; Yu, Y.; Li, L.; Su, X.; Sun, Y.; Yang, H.; Wan, X.; Li, C.; Xu, L.; et al. Genome-Wide Identification and Functional Analyses of the TCP Gene Family in Carthamus tinctorius L. Sci. Rep. 2025, 15, 12970. [Google Scholar] [CrossRef]
- Livak, K.J.; Schmittgen, T.D. Analysis of Relative Gene Expression Data Using Real-Time Quantitative PCR and the 2−ΔΔCT Method. Methods 2001, 25, 402–408. [Google Scholar] [CrossRef]
- Kim, H.-Y. Analysis of Variance (ANOVA) Comparing Means of More than Two Groups. Restor. Dent. Endod. 2014, 39, 74. [Google Scholar] [CrossRef]
- Swift, M.L. GraphPad Prism, Data Analysis, and Scientific Graphing. J. Chem. Inf. Comput. Sci. 1997, 37, 411–412. [Google Scholar] [CrossRef]
- Afonso, T.; Moresco, R.; Uarrota, V.G.; Navarro, B.B.; Nunes, E.D.C.; Maraschin, M.; Rocha, M. UV-Vis and CIELAB Based Chemometric Characterization of Manihot Esculenta Carotenoid Contents. J. Integr. Bioinform. 2017, 14, 20170056. [Google Scholar] [CrossRef]
- Wang, L.-S.; Shiraishi, A.; Hashimoto, F.; Aoki, N.; Shimizu, K.; Sakata, Y. Analysis of Petal Anthocyanins to Investigate Flower Coloration of Zhongyuan (Chinese) and Daikon Island (Japanese) Tree Peony Cultivars. J. Plant Res. 2001, 114, 33–43. [Google Scholar] [CrossRef]
- Zhou, Y.; Yin, M.; Abbas, F.; Sun, Y.; Gao, T.; Yan, F.; Li, X.; Yu, Y.; Yue, Y.; Yu, R.; et al. Classification and Association Analysis of Gerbera (Gerbera hybrida) Flower Color Traits. Front. Plant Sci. 2022, 12, 779288. [Google Scholar] [CrossRef] [PubMed]
- Wang, L.; Tu, W.; Jin, P.; Liu, Y.; Du, J.; Zheng, J.; Wang, Y.-H.; Li, J. Genome-Wide Association Study of Plant Color in Sorghum Bicolor. Front. Plant Sci. 2024, 15, 1320844. [Google Scholar] [CrossRef]
- Schulz, D.F.; Schott, R.T.; Voorrips, R.E.; Smulders, M.J.M.; Linde, M.; Debener, T. Genome-Wide Association Analysis of the Anthocyanin and Carotenoid Contents of Rose Petals. Front. Plant Sci. 2016, 7, 1798. [Google Scholar] [CrossRef]
- Cericola, F.; Portis, E.; Lanteri, S.; Toppino, L.; Barchi, L.; Acciarri, N.; Pulcini, L.; Sala, T.; Rotino, G.L. Linkage Disequilibrium and Genome-Wide Association Analysis for Anthocyanin Pigmentation and Fruit Color in Eggplant. BMC Genom. 2014, 15, 896. [Google Scholar] [CrossRef]
- Zhang, Q.; Zhang, H.; Sun, L.; Fan, G.; Ye, M.; Jiang, L.; Liu, X.; Ma, K.; Shi, C.; Bao, F.; et al. The Genetic Architecture of Floral Traits in the Woody Plant Prunus Mume. Nat. Commun. 2018, 9, 1702. [Google Scholar] [CrossRef]
- Ashikhmin, A.; Pashkovskiy, P.; Kosobryukhov, A.; Khudyakova, A.; Abramova, A.; Vereshchagin, M.; Bolshakov, M.; Kreslavski, V. The Role of Pigments and Cryptochrome 1 in the Adaptation of Solanum Lycopersicum Photosynthetic Apparatus to High-Intensity Blue Light. Antioxidants 2024, 13, 605. [Google Scholar] [CrossRef]
- Ahmad, M.; Jarillo, J.A.; Smirnova, O.; Cashmore, A.R. Cryptochrome Blue-Light Photoreceptors of Arabidopsis Implicated in Phototropism. Nature 1998, 392, 720–723. [Google Scholar] [CrossRef]
- Yang, L.-W.; Wen, X.-H.; Fu, J.-X.; Dai, S.-L. ClCRY2 Facilitates Floral Transition in Chrysanthemum Lavandulifolium by Affecting the Transcription of Circadian Clock-Related Genes under Short-Day Photoperiods. Hortic. Res. 2018, 5, 58. [Google Scholar] [CrossRef]
- Hughes, R.M.; Vrana, J.D.; Song, J.; Tucker, C.L. Light-Dependent, Dark-Promoted Interaction between Arabidopsis Cryptochrome 1 and Phytochrome B Proteins. J. Biol. Chem. 2012, 287, 22165–22172. [Google Scholar] [CrossRef] [PubMed]
- Chang, Y.; Shi, M.; Wang, X.; Cheng, H.; Zhang, J.; Liu, H.; Wu, H.; Ou, X.; Yu, K.; Zhang, X.; et al. A CRY1–HY5–MYB Signaling Cascade Fine-Tunes Guard Cell Reactive Oxygen Species Levels and Triggers Stomatal Opening. Plant Cell 2025, 37, koaf064. [Google Scholar] [CrossRef] [PubMed]
- Mao, Z.; Wei, X.; Li, L.; Xu, P.; Zhang, J.; Wang, W.; Guo, T.; Kou, S.; Wang, W.; Miao, L.; et al. Arabidopsis Cryptochrome 1 Controls Photomorphogenesis through Regulation of H2A.Z Deposition. Plant Cell 2021, 33, 1961–1979. [Google Scholar] [CrossRef] [PubMed]
- Bhatia, C.; Gaddam, S.R.; Pandey, A.; Trivedi, P.K. COP1 Mediates Light-Dependent Regulation of Flavonol Biosynthesis through HY5 in Arabidopsis. Plant Sci. 2021, 303, 110760. [Google Scholar] [CrossRef] [PubMed]
- Wade, H.K.; Bibikova, T.N.; Valentine, W.J.; Jenkins, G.I. Interactions within a Network of Phytochrome, Cryptochrome and UV-B Phototransduction Pathways Regulate Chalcone Synthase Gene Expression in Arabidopsis Leaf Tissue. Plant J. 2001, 25, 675–685. [Google Scholar] [CrossRef] [PubMed]
- Mao, Y.; Luo, J.; Cai, Z. Biosynthesis and Regulatory Mechanisms of Plant Flavonoids: A Review. Plants 2025, 14, 1847. [Google Scholar] [CrossRef]
- Lei, T.; Huang, J.; Ruan, H.; Qian, W.; Fang, Z.; Gu, C.; Zhang, N.; Liang, Y.; Wang, Z.; Gao, L.; et al. Competition between FLS and DFR Regulates the Distribution of Flavonols and Proanthocyanidins in Rubus Chingii Hu. Front. Plant Sci. 2023, 14, 1134993. [Google Scholar] [CrossRef] [PubMed]








| Color Groups | Genotype Classification | L* Value | a* Value | b* Value |
|---|---|---|---|---|
| WW | 6 | >70 | <5 | 30 < b* < 40 |
| YY | 25 | >70 | <15 | >70 |
| OR | 144 | <70 | 10 < a* < 60 | 40 < a* < 70 |
| YR | 310 | >70 | 5 < a* < 20 | 50 < b* < 97 |
| Color Groups | CIELAB Color Space Coordinate | |||||
|---|---|---|---|---|---|---|
| L* | a* | b* | c | h° | Quadrant | |
| WW | 77.58~82.01 | −2.03~0.86 | 28.34~60.55 | 28.35~60.55 | −1.56~1.54 | −89.68~88.77 |
| YY | 71.74~78.51 | 1.90~12.58 | 77.51~96.06 | 77.53~96.70 | 1.43~1.546 | 82.09~88.59 |
| OR | 51.33~74.40 | 10.96~47.39 | 58.09~93.12 | 68.03~95.44 | 0.89~1.44 | 51.19~83.00 |
| YR | 61.80~78.23 | 3.34~31.2 | 69.68~95.48 | 71.34~96.64 | 1.19~1.53 | 68.74~87.66 |
| Trait | SNP | Chr | p Value | REF | ALT |
|---|---|---|---|---|---|
| L* | L02_5598845 | Chr8 | 9.76 × 10−7 | C | T |
| L* | L04_12620716 | Chr4 | 1.75 × 10−7 | C | A |
| L* | L07_33293348 | Chr7 | 7.55× 10−8 | C | T |
| L* | L01_49513621 | Chr1 | 4.74 × 10−7 | T | C |
| L* | L02_68350067 | Chr2 | 6.09 × 10−7 | G | C |
| L* | L02_69610220 | Chr2 | 6.71 × 10−7 | G | A |
| L* | L02_71859962 | Chr2 | 4.60 × 10−7 | A | G |
| L* | L02_71938743 | Chr2 | 1.42 × 10−8 | C | T |
| a* | A04_12620674 | Chr4 | 1.50 × 10−7 | A | G |
| a* | A04_12620716 | Chr4 | 6.38 × 10−8 | C | A |
| a* | A07_33293348 | Chr7 | 2.67 × 10−8 | C | T |
| a* | A07_33293355 | Chr7 | 4.98 × 10−7 | A | T |
| a* | A01_49513621 | Chr1 | 3.74 × 10−7 | T | C |
| a* | A01_49854429 | Chr1 | 2.65 × 10−7 | T | C |
| a* | A02_67561355 | Chr2 | 4.64 × 10−7 | T | C |
| a* | A02_67561360 | Chr2 | 6.27 × 10−7 | T | G |
| a* | A02_67622615 | Chr2 | 8.74 × 10−7 | A | G |
| a* | A02_67754900 | Chr2 | 5.49 × 10−7 | T | G |
| a* | A02_69608467 | Chr2 | 6.93 × 10−7 | T | C |
| a* | A02_71938743 | Chr2 | 9.10 × 10−7 | C | T |
| a* | A01_72395625 | Chr1 | 5.76 × 10−7 | T | G |
| b* | B03_26249492 | Chr3 | 4.23 × 10−7 | G | A |
| b* | B08_35986861 | Chr8 | 5.73 × 10−8 | A | G |
| b* | B08_47202978 | Chr8 | 2.11 × 10−7 | G | A |
| b* | B01_60336426 | Chr1 | 1.97 × 10−7 | G | A |
| Gene Name | Location Start–End | CDS bp | Protein Length (A.A.) | MW (Kda) | pI | GRAVY | Intron/ Exon | Sub-Cellular Localization |
|---|---|---|---|---|---|---|---|---|
| CRY1.1 | 80353868–80360974 | 1920 | 639 | 72.6 | 5.19 | −0.515 | 3/4 | Nucleus |
| CRY1.2 | 79508515–79516710 | 2004 | 668 | 75.6 | 5.13 | −0.479 | 1/2 | Cytoplasm |
| CRY2 | 79509600–79516710 | 1853 | 617 | 69.5 | 6.13 | −0.361 | 4/5 | Cytoplasm |
Disclaimer/Publisher’s Note: The statements, opinions and data contained in all publications are solely those of the individual author(s) and contributor(s) and not of MDPI and/or the editor(s). MDPI and/or the editor(s) disclaim responsibility for any injury to people or property resulting from any ideas, methods, instructions or products referred to in the content. |
© 2026 by the authors. Licensee MDPI, Basel, Switzerland. This article is an open access article distributed under the terms and conditions of the Creative Commons Attribution (CC BY) license.
Share and Cite
Zia, M.L.; Wang, D.; Lin, Z.; Arshad, R.; Wang, X.; Liu, J.; Wei, J.; Qin, R.; Liu, H. Identification and Characterization of the CRY Gene Family Involved in Safflower Flavonoid Biosynthesis. Agriculture 2026, 16, 260. https://doi.org/10.3390/agriculture16020260
Zia ML, Wang D, Lin Z, Arshad R, Wang X, Liu J, Wei J, Qin R, Liu H. Identification and Characterization of the CRY Gene Family Involved in Safflower Flavonoid Biosynthesis. Agriculture. 2026; 16(2):260. https://doi.org/10.3390/agriculture16020260
Chicago/Turabian StyleZia, Mamar Laeeq, Debin Wang, Zixi Lin, Rubab Arshad, Xiaoyan Wang, Jiao Liu, Jianjiang Wei, Rui Qin, and Hong Liu. 2026. "Identification and Characterization of the CRY Gene Family Involved in Safflower Flavonoid Biosynthesis" Agriculture 16, no. 2: 260. https://doi.org/10.3390/agriculture16020260
APA StyleZia, M. L., Wang, D., Lin, Z., Arshad, R., Wang, X., Liu, J., Wei, J., Qin, R., & Liu, H. (2026). Identification and Characterization of the CRY Gene Family Involved in Safflower Flavonoid Biosynthesis. Agriculture, 16(2), 260. https://doi.org/10.3390/agriculture16020260

