The Relationship Between Organic Carbon and Ca in the Profile of Luvisols: A Case Study of a Long-Term Experiment in Pulawy, Poland
Abstract
1. Introduction
2. Materials and Methods
Statistical Analysis
3. Results
3.1. Changes in Soil pH, Calcium, and Soil Organic Carbon
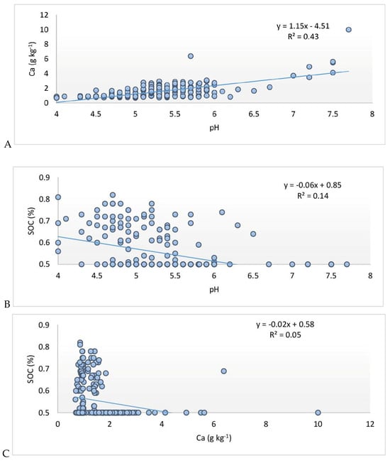
3.2. Relationships Between Soil Properties in Luvisols
4. Discussion
4.1. Changes in Soil pH, Calcium, and Soil Organic Carbon in Soil Profiles of Luvisols
4.2. Relationships Between Soil Properties in Luvisols
5. Conclusions
Author Contributions
Funding
Institutional Review Board Statement
Data Availability Statement
Conflicts of Interest
References
- IUSS Working Group WRB. World Reference Base for Soil Resources. In International Soil Classification System for Naming Soils and Creating Legends for Soil Maps, 4th ed.; International Union of Soil Sciences (IUSS): Vienna, Austria, 2022; Available online: https://wrb.isric.org/files/WRB_fourth_edition_2022-12-18_errata_correction_2024-09-24.pdf (accessed on 31 October 2024).
- Systematics of soils of Poland. Publishing House of the Wrocław University of Environmental and Life Sciences, Polish Soil Science Society; Systematyka Gleb Polski: Warsaw, Poland, 2019. (In Polish) [Google Scholar]
- Konecka-Betley, K. Systematics and Cartography of Soils K; SGGW Publishing House: Warsaw, Poland, 1995; p. 150. [Google Scholar]
- Kabała, C. Luvisols and related clay-illuvial soils (gleby płowe)—Soils of the year 2023. Current view of their origin, classifi cation and services in Poland. Soil Sci. Annu. 2023, 74, 177034. [Google Scholar] [CrossRef]
- Directive 91/676/EEC of the European Parliament and of the Council of 12 December 1991 Concerning the Protection of Waters Against Pollution Caused by Nitrates from Agricultural Sources. (Dz.U. UE L 31 December 1991). Available online: https://eur-lex.europa.eu/eli/dir/1991/676/oj/eng (accessed on 31 October 2024).
- Grzebisz, W.; Szczepaniak, W.; Diatta, J.B. Environmental effects of soil acidification cultivated soils. Stud. Rep. IUNG PIB 2013, 34, 19–26. (In Polish) [Google Scholar]
- Filipek, T.; Fotyma, M.; Lipińsk, I.W. Condition, causes and effects of soil acidification in Poland. Fertil. Fertil. 2006, 2, 7–38. (In Polish) [Google Scholar]
- Rowley, C.M.; Nico, P.S.; Bone, S.E.; Marcus, M.A.; Pegoraro, E.F.; Castanha, C.; Kang, K.; Bhattacharyya, A.; Torn, M.S.; Peñ, J. Association between soil organic carbon and calcium in acidic grassland soils from Point Reyes National Seashore, CA. Biogeochemistry 2023, 165, 91–111. [Google Scholar] [CrossRef] [PubMed]
- Mercik, S.; Łabętowicz, J.; Stępień, W.; Rutkowska, B.; Szulc, W.; Sosulski, T.; Szara, E.; Korc, M. Agricultural Chemistry. In Theoretical and Practical Bases; SGGW Publishing House: Warsaw, Poland, 2004; p. 287. [Google Scholar]
- Jadczyszyn, T.; Ochal, P. Soil acidification and liming needs. Stud. Rep. IUNG PIB 2013, 34, 9–18. [Google Scholar]
- Spychaj-Fabisiak, E.; Murawska, B.; Janowiak, J. Studies on the leaching of calcium and magnesium from soils washed with simulated acid rain in laboratory conditions. Probl. Noteb. Adv. Agric. Sci. 1999, 467, 547–553. [Google Scholar]
- Martyniuk, S.; Pikuła, D.; Kozieł, M. Soil properties and productivity in two long-term crop rotations differing with respect to organic matter management on an Albic Luvisol. Sci. Rep. 2019, 9, 1878. [Google Scholar] [CrossRef]
- Römkens, P.F.; Bril, J.; Salomons, W. Interaction between Ca2+ and dissolved organic carbon: Implications for metal mobilization. Appl. Geochem. 1996, 11, 109–115. [Google Scholar] [CrossRef]
- Medaj, A.; Piechura, K.; Skrobot, K.; Sokulski, S. Determination of assimilable calcium for plants in the soil of the Kluczwoda Valley by atomic absorption spectrometry. Analit 2017, 3, 50–55. (In Polish) [Google Scholar]
- Stępień, W.; Kobiałka, M. Effect of long-term organic and mineral fertilisation on selected physico-chemical soil properties in rye monoculture and five-year crop rotation. Soil Sci. Annu. 2019, 70, 34–38. [Google Scholar] [CrossRef]
- Mercik, S.; Stępień, W.; Pietrzak, S. The suitability of manure for the regeneration of soils very acidic, humus-poor and nutrient-depleted soils. nutrients. Probl. Noteb. Adv. Agric. Sci. 2004, 499, 253–260. [Google Scholar]
- Pollakova, N.; Simansky, V. Selected soil chemical properties in the campus of Slovak University of Agriculture in Nitra, October 2015. Acta Fytotech. Et Zootech. 2015, 18, 66–70. [Google Scholar] [CrossRef][Green Version]
- Szombathová, N. Chemical and Physicochemical Properties of Soil Humus Substances as An Indicator of Anthropogenic Changes in Ecosystems (Báb a Dolná Malanta Localities); Slovak University of Agriculture: Nitra, Slovakia, 2010. (In Slovak) [Google Scholar]
- Rasmussen, C.; Heckman, K.; Wieder, W.R.; Keiluweit, M.; Lawrence, K.R.; Berhe, A.A.; Blankinship, J.C.; Crow, S.E.; Druhan, J.L.; Caitlin, E.; et al. Beyond clay: Towards an improved set of variables for predicting soil organic matter content. Biogeochemistry 2018, 137, 297–306. [Google Scholar] [CrossRef]
- Solly, E.F.; Weber, V. A Critical Evaluation of the Relationship Between the Effective Cation Exchange Capacity and Soil Organic Carbon Content in Swiss Forest Soils. Front. For. Glob. 2020, 3, 98. [Google Scholar] [CrossRef]
- Zhu, Q.; de Vries, W.; Liu, X.; Hao, T.; Zeng, M.; Shen, J.; Zhang, F. Enhanced acidification in Chinese croplands as derived from element budgets in the period 1980–2010. Sci. Total Environ. 2018, 618, 1497–1505. [Google Scholar] [CrossRef]
- Zhang, X.; Guo, J.; Vogt, R.D.; Mulder, J.; Wang, Y.; Qian, C.; Wang, J.; Zhang, X. Soil acidification as an additional driver to organic carbon accumulation in major Chinese croplands. Geoderma 2020, 366, 114234. [Google Scholar] [CrossRef]
- Meier, I.C.; Finzi, A.C.; Phillips, R.P. Root exudates increase N availability by stimulating microbial turnover of fast-cycling N pools. Soil Biol. Biochem. 2017, 106, 119–128, ISSN 0038-0717. [Google Scholar] [CrossRef]
- Hanes, J. Analyzes of Sorptive Characteristics; SSCRI: Bratislava, Slovakia, 1999. (In Slovak) [Google Scholar]
- Marín-Spiotta, E.; Gruley, K.E.; Crawford, J.; Atkinson, E.E.; Miesel, J.R.; Greene, S.; Cardona-Correa, C.; Spencer, R.G.M. Paradigm shifts in soil organic matter research affect interpretations of aquatic carbon cycling: Transcending disciplinary and ecosystem boundaries. Biogeochemistry 2014, 117, 279–297. [Google Scholar] [CrossRef]
- Simansky, V.; Tobiasowa, E. Effect of Different Doses of Nutrients on Changes of Soil Organic Matter in Rendzic Leptosol. Agriculture (Pol’nohospodárstvo). J. Natl. Agric. Food Cent. Agric. 2012, 58, 131–137. [Google Scholar] [CrossRef]
- Kováčik, P.; Ryant, P. Agrochemistry, Principles and Practice; SPU: Nitra, Slovakia, 2024; p. 385. (In Slovak) [Google Scholar]
- O’Kennedy, S. Soil pH and its impact on nutrient availability and crop growth. Int. J. Geogr. Geol. Environ. 2022, 4, 236–238. [Google Scholar]
- Fierer, N.; Bradford, M.A.; Jackson, R.B. Toward an ecological classification of soil bacteria. Ecol. Lett. 2009, 12, 385–395. [Google Scholar] [CrossRef] [PubMed]
- Rowley, M.C.; Grand, S.; Spangenberg, J.E.; Verrecchia, E.P. Evidence linking calcium to increased organo-mineral association in soils. Biogeochemistry 2021, 153, 223–241. [Google Scholar] [CrossRef] [PubMed]
- Gerke, J. The Central Role of Soil Organic Matter in Soil Fertility and Carbon Storage. Soil Syst. 2022, 6, 33. [Google Scholar] [CrossRef]
- Wiesmeier, M.; Urbanski, L.; Hobley, E.; Lang, B.; Lützow, M.; Marin-Spiotta, E.; Wesemael, B.; Rabo, E.; Ließ, M.; Garcia-Franco, N.; et al. Soil organic carbon storage as a key function of soils—A review of drivers and indicators at various scales. Geoderma 2019, 333, 149–162. [Google Scholar] [CrossRef]
- Shabtai, I.A.; Wilhelm, R.C.; Schweizer, S.A.; Höschen, C.; Buckley, D.H.; Lehmann, J. Calcium promotes persistent soil organic matter by altering microbial transformation of plant litter. Nat. Commun. 2023, 14, 6609. [Google Scholar] [CrossRef]




| Soil Depth (cm) | |||||||||
|---|---|---|---|---|---|---|---|---|---|
| A (0–30) | B (30–60) | C (60–90) | |||||||
| pH | Ca | SOC | pH | Ca | Corg | pH | Ca | SOC | |
| Crop rotation | <0.001 | 0.006 | <0.001 | <0.001 | ns | ns | ns | ns | ns |
| N fertisation | <0.001 | 0.016 | ns | <0.001 | ns | ns | ns | 0.006 | ns |
| Farmayrd manure | <0.001 | 0.013 | 0.001 | <0.001 | 0.047 | ns | ns | ns | ns |
| N fertilisation x farmayrd manure | ns | ns | ns | ns | ns | ns | ns | ns | ns |
| Crop Rotation | Soil Horizons | Soil Layer | pH | Ca | SOC | |
|---|---|---|---|---|---|---|
| pH | A | A | 0–30 | 1.00 | 0.40 | 0.06 |
| Ca | 0.40 | 1.00 | 0.23 | |||
| SOC | 0.06 | 0.23 | 1.00 | |||
| pH | B | 30–60 | 1.00 | −0.06 | −0.04 | |
| Ca | −0.06 | 1.00 | 0.21 | |||
| SOC | −0.04 | 0.21 | 1.00 | |||
| pH | C | 60–90 | 1.00 | 0.74 | ||
| Ca | 0.74 | 1.00 | ||||
| SOC | 1.00 | |||||
| pH | B | A | 0–30 | 1.00 | 0.79 | 0.29 |
| Ca | 0.79 | 1.00 | 0.52 | |||
| SOC | 0.29 | 0.52 | 1.00 | |||
| pH | B | 30–60 | 1.00 | 0.06 | −0.02 | |
| Ca | 0.06 | 1.00 | −0.07 | |||
| SOC | −0.02 | −0.07 | 1.00 | |||
| pH | C | 60–90 | 1.00 | 0.75 | ||
| Ca | 0.75 | 1.00 | ||||
| SOC | 1.00 |
Disclaimer/Publisher’s Note: The statements, opinions and data contained in all publications are solely those of the individual author(s) and contributor(s) and not of MDPI and/or the editor(s). MDPI and/or the editor(s) disclaim responsibility for any injury to people or property resulting from any ideas, methods, instructions or products referred to in the content. |
© 2025 by the authors. Licensee MDPI, Basel, Switzerland. This article is an open access article distributed under the terms and conditions of the Creative Commons Attribution (CC BY) license (https://creativecommons.org/licenses/by/4.0/).
Share and Cite
Pikuła, D.; Pauková, Ž.; Wójcik-Gront, E.; Šimanský, V. The Relationship Between Organic Carbon and Ca in the Profile of Luvisols: A Case Study of a Long-Term Experiment in Pulawy, Poland. Agriculture 2025, 15, 598. https://doi.org/10.3390/agriculture15060598
Pikuła D, Pauková Ž, Wójcik-Gront E, Šimanský V. The Relationship Between Organic Carbon and Ca in the Profile of Luvisols: A Case Study of a Long-Term Experiment in Pulawy, Poland. Agriculture. 2025; 15(6):598. https://doi.org/10.3390/agriculture15060598
Chicago/Turabian StylePikuła, Dorota, Žaneta Pauková, Elżbieta Wójcik-Gront, and Vladimír Šimanský. 2025. "The Relationship Between Organic Carbon and Ca in the Profile of Luvisols: A Case Study of a Long-Term Experiment in Pulawy, Poland" Agriculture 15, no. 6: 598. https://doi.org/10.3390/agriculture15060598
APA StylePikuła, D., Pauková, Ž., Wójcik-Gront, E., & Šimanský, V. (2025). The Relationship Between Organic Carbon and Ca in the Profile of Luvisols: A Case Study of a Long-Term Experiment in Pulawy, Poland. Agriculture, 15(6), 598. https://doi.org/10.3390/agriculture15060598

