A Monitoring Method for Agricultural Soil Moisture Using Wireless Sensors and the Biswas Model
Abstract
1. Introduction
- (1)
- Can surface soil moisture data, collected using low-cost wireless sensors, accurately predict deeper soil moisture dynamics across different growth stages?
- (2)
- How does the developed region-specific model perform under varying soil and environmental conditions compared to traditional methods?
2. Materials and Methods
2.1. Experimental Site Overview
2.2. Soil Sampling and Measurement Methods
2.3. Deployment of Wireless Sensors and Continuous Surface Moisture Monitoring
2.3.1. Sensor Model and Deployment
- (1)
- Measurement range: 0–100% (volumetric water content);
- (2)
- Accuracy: ±2% in 0–50% range, ±3% in 50–100% range;
- (3)
- Operating temperature range: −20 °C to 60 °C;
- (4)
- RS485 digital output.
2.3.2. LoRa Communication System Configuration
- (1)
- Frequency: 868 MHz;
- (2)
- Max range: 10 km (line-of-sight);
- (3)
- Data rate: 0.3–19.2 kbps;
- (4)
- Voltage: 3.3–5.5 V;
- (5)
- Output power: 30 dBm.
- (1)
- Frequency: 868 MHz;
- (2)
- Supports up to 500 LoRa nodes;
- (3)
- Data interfaces: Ethernet/Wi-Fi/4G LTE;
- (4)
- Operating temperature: −40 °C to 85 °C.
2.3.3. Data Collection and Transmission Workflow
2.3.4. Calibration and Quality Control
2.4. Parameterization and Evaluation of the Surface and Deep Soil Moisture Model
2.5. Estimation of Crop Evapotranspiration and Daily Water Requirement
3. Results and Analysis
3.1. Correlation Analysis of Surface and Deep Soil Water Storage
3.2. Selection of the Optimal Prediction Model
3.2.1. Classification of Soil Sampling Points
3.2.2. Fitting and Comparative Analysis of Biswas Model Parameters Across Dataset Categories
- (1)
- Minimizing measurement errors: Retaining significantly deviating data may severely distort the model fitting process, leading to inaccurate parameter estimation.
- (2)
- Improving model robustness: The removal of extreme deviations allows the Biswas model to better capture the true relationship between surface and deep soil water storage.
- (3)
- Consistency with field conditions: Deviations exceeding 15 mm typically arise from sensor malfunctions or data anomalies rather than actual environmental changes.
3.3. Prediction of Daily Soil Water Storage, Variables, and Crop Evapotranspiration Changes
3.3.1. Dynamic Relationship Between Rainfall and Soil Water Storage
3.3.2. Evaluation of Evapotranspiration and Model Accuracy
3.3.3. Soil Moisture Dynamics Across Different Depths
4. Discussion
4.1. Discussion of Surface and Deep Soil Water Storage
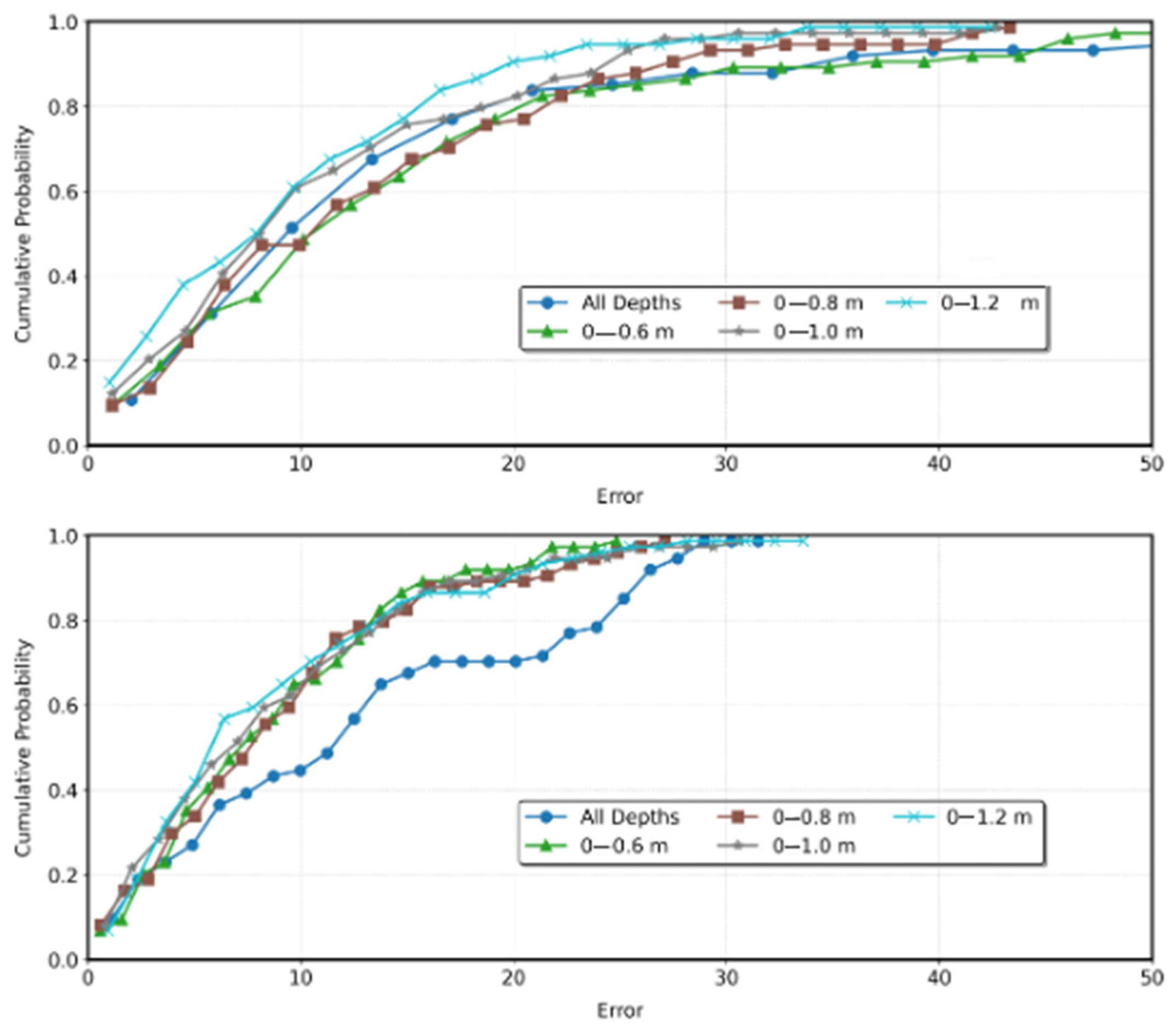
4.2. Comparative Analysis of Dataset Classification
4.3. Application of the RANSAC Algorithm and Model Accuracy Enhancement
4.4. Analysis of Rainfall and Soil Moisture Dynamics
4.5. Advantages and Practical Applications of the Proposed Method
5. Conclusions and Limitations
5.1. Conclusions
- (1)
- Correlation Between Surface and Deep Soil Moisture
- (2)
- Effectiveness of Dataset Classification
- (3)
- Application of the RANSAC Algorithm
- (4)
- Dominant Role of Rainfall
5.2. Limitations and Future Prospects
- (1)
- Monitoring Frequency
- (2)
- Crop Applicability
- (3)
- Spatial Scale Limitations
- (4)
- Technological Integration
Author Contributions
Funding
Institutional Review Board Statement
Data Availability Statement
Conflicts of Interest
References
- Srivastav, A.L.; Dhyani, R.; Ranjan, M.; Madhav, S.; Sillanpää, M. Climate-resilient strategies for sustainable management of water resources and agriculture. Environ. Sci. Pollut. Res. 2021, 28, 41576–41595. [Google Scholar] [CrossRef]
- Nikolaou, G.; Neocleous, D.; Christou, A.; Kitta, E.; Katsoulas, N. Implementing sustainable irrigation in water-scarce regions under the impact of climate change. Agronomy 2020, 10, 1120. [Google Scholar] [CrossRef]
- Chen, L.; Chang, J.; Wang, Y.; Guo, A.; Liu, Y.; Wang, Q.; Zhu, Y.; Zhang, Y.; Xie, Z. Disclosing the future food security risk of China based on crop production and water scarcity under diverse socioeconomic and climate scenarios. Sci. Total Environ. 2021, 790, 148110. [Google Scholar] [CrossRef]
- Liu, X.; Liu, W.; Tang, Q.; Liu, B.; Wada, Y.; Yang, H. Global agricultural water scarcity assessment incorporating blue and green water availability under future climate change. Earth’s Future 2022, 10, e2021EF002567. [Google Scholar] [CrossRef]
- de Jong, S.M.; Heijenk, R.A.; Nijland, W.; van Der Meijde, M. Monitoring soil moisture dynamics using electrical resistivity tomography under homogeneous field conditions. Sensors 2020, 20, 5313. [Google Scholar] [CrossRef]
- Qin, A.; Ning, D.; Liu, Z.; Duan, A. Analysis of the accuracy of an FDR sensor in soil moisture measurement under laboratory and field conditions. J. Sens. 2021, 2021, 6665829. [Google Scholar] [CrossRef]
- Fang, B.; Kansara, P.; Dandridge, C.; Lakshmi, V. Drought monitoring using high spatial resolution soil moisture data over Australia in 2015–2019. J. Hydrol. 2021, 594, 125960. [Google Scholar] [CrossRef]
- Khellouk, R.; Barakat, A.; Boudhar, A.; Hadria, R.; Lionboui, H.; El Jazouli, A.; Rais, J.; El Baghdadi, M.; Benabdelouahab, T. Spatiotemporal monitoring of surface soil moisture using optical remote sensing data: A case study in a semi-arid area. J. Spat. Sci. 2020, 65, 481–499. [Google Scholar] [CrossRef]
- Zhang, Z.; Zhu, L. A review on unmanned aerial vehicle remote sensing: Platforms, sensors, data processing methods, and applications. Drones 2023, 7, 398. [Google Scholar] [CrossRef]
- Asadzadeh, S.; de Oliveira, W.J.; de Souza Filho, C.R. UAV-based remote sensing for the petroleum industry and environmental monitoring: State-of-the-art and perspectives. J. Pet. Sci. Eng. 2022, 208, 109633. [Google Scholar] [CrossRef]
- Mukhlisin, M.; Astuti, H.W.; Wardihani, E.D.; Matlan, S.J. Techniques for ground-based soil moisture measurement: A detailed overview. Arab. J. Geosci. 2021, 14, 1–34. [Google Scholar]
- Jabro, J.D.; Stevens, W.B.; Iversen, W.M. Comparing two methods for measuring soil bulk density and moisture content. Open J. Soil Sci. 2020, 10, 233–243. [Google Scholar] [CrossRef]
- Singh, A.; Gaurav, K.; Sonkar, G.K.; Lee, C.C. Strategies to measure soil moisture using traditional methods, automated sensors, remote sensing, and machine learning techniques: Review, bibliometric analysis, applications, research findings, and future directions. IEEE Access 2023, 11, 13605–13635. [Google Scholar] [CrossRef]
- Li, Z.L.; Leng, P.; Zhou, C.; Chen, K.S.; Zhou, F.C.; Shang, G.F. Soil moisture retrieval from remote sensing measurements: Current knowledge and directions for the future. Earth-Sci. Rev. 2021, 218, 103673. [Google Scholar]
- Jeong, J.; Lee, S.; Cho, S.; Kim, K.; Choi, M. Multi-scale assessment of a cosmic-ray neutron probe observation of soil moisture for surface layer applications in a mountainous forest environment. Agric. For. Meteorol. 2024, 356, 110155. [Google Scholar] [CrossRef]
- Rasheed, M.W.; Tang, J.; Sarwar, A.; Shah, S.; Saddique, N.; Khan, M.U.; Sultan, M. Soil moisture measuring techniques and factors affecting the moisture dynamics: A comprehensive review. Sustainability 2022, 14, 11538. [Google Scholar] [CrossRef]
- Li, J.; Pei, Y.; Zhao, S.; ao, R.; Sang, X.; Zhang, C. A review of remote sensing for environmental monitoring in China. Remote Sens. 2020, 12, 1130. [Google Scholar] [CrossRef]
- Brocca, L.; Gaona, J.; Bavera, D.; Fioravanti, G.; Puca, S.; Ciabatta, L.; Filippucci, P.; Mosaffa, H.; Esposito, G.; Roberto, N.; et al. Exploring the actual spatial resolution of 1 km satellite soil moisture products. Sci. Total Environ. 2024, 945, 174087. [Google Scholar] [CrossRef]
- Dari, J.; Quintana-Seguí, P.; Escorihuela, M.J.; Stefan, V.; Brocca, L.; Morbidelli, R. Detecting and mapping irrigated areas in a Mediterranean environment by using remote sensing soil moisture and a land surface model. J. Hydrol. 2021, 596, 126129. [Google Scholar] [CrossRef]
- Jiao, W.; Wang, L.; McCabe, M.F. Multi-sensor remote sensing for drought characterization: Current status, opportunities, and a roadmap for the future. Remote Sens. Environ. 2021, 256, 112313. [Google Scholar]
- Chen, J.; Chen, S.; Fu, R.; Li, D.; Jiang, H.; Wang, C.; Peng, Y.; Jia, K.; Hicks, B.J. Remote sensing big data for water environment monitoring: Current status, challenges, and future prospects. Earth’s Future 2022, 10, e2021EF002289. [Google Scholar]
- Acharya, B.S.; Bhandari, M.; Bandini, F.; Pizarro, A.; Perks, M.; Joshi, D.R.; Wang, S.; Dogwiler, T.; Ray, R.L.; Kharel, G.; et al. Unmanned aerial vehicles in hydrology and water management: Applications, challenges, and perspectives. Water Resour. Res. 2021, 57, e2021WR029925. [Google Scholar]
- Sanjeevi, P.; Prasanna, S.; Siva Kumar, B.; Gunasekaran, G.; Alagiri, I.; Vijay Anand, R. Precision agriculture and farming using Internet of Things based on wireless sensor network. Trans. Emerg. Telecommun. Technol. 2020, 31, e3978. [Google Scholar] [CrossRef]
- Lloret, J.; Sendra, S.; Garcia, L.; Jimenez, J.M. A wireless sensor network deployment for soil moisture monitoring in precision agriculture. Sensors 2021, 21, 7243. [Google Scholar] [CrossRef]
- Gsangaya, K.R.; Hajjaj, S.S.H.; Sultan, M.T.H.; Hua, L.S. Portable, wireless, and effective Internet of Things-based sensors for precision agriculture. Int. J. Environ. Sci. Technol. 2020, 17, 3901–3916. [Google Scholar]
- Yu, L.; Tao, S.; Ren, Y.; Gao, W.; Liu, X.; Hu, Y.; Shamshiri, R.R. Comprehensive evaluation of soil moisture sensing technology applications based on analytic hierarchy process and Delphi. Agriculture 2021, 11, 1116. [Google Scholar] [CrossRef]
- Placidi, P.; Morbidelli, R.; Fortunati, D.; Papini, N.; Gobbi, F.; Scorzoni, A. Monitoring soil and ambient parameters in the IoT precision agriculture scenario: An original modeling approach dedicated to low-cost soil water content sensors. Sensors 2021, 21, 5110. [Google Scholar] [CrossRef]
- Li, W.; Awais, M.; Ru, W.; Shi, W.; Ajmal, M.; Uddin, S.; Liu, C. Review of sensor network-based irrigation systems using IoT and remote sensing. Adv. Meteorol. 2020, 2020, 8396164. [Google Scholar]
- Levintal, E.; Ganot, Y.; Taylor, G.; Freer-Smith, P.; Suvocarev, K.; Dahlke, H.E. An underground, wireless, open-source, low-cost system for monitoring oxygen, temperature, and soil moisture. SOIL Discuss. 2021, 2021, 1–22. [Google Scholar]
- Qu, T.; Li, Y.; Zhao, Q.; Yin, Y.; Wang, Y.; Li, F.; Zhang, W. Drone-based multispectral remote sensing inversion for typical crop soil moisture under dry farming conditions. Agriculture 2024, 14, 484. [Google Scholar] [CrossRef]
- Si, S.; Li, D. Study on the inversion model of deep soil moisture content in the Lower Yellow River Diversion Irrigation Area. People’s Yellow River 2023, 45, 124–127+142. [Google Scholar]
- Wu, D.; Wang, T.; Di, C.; Wang, L.; Chen, X. Investigation of controls on the regional soil moisture spatiotemporal patterns across different climate zones. Sci. Total Environ. 2020, 726, 138214. [Google Scholar]
- de Queiroz, M.G.; da Silva, T.G.F.; Zolnier, S.; Jardim, A.M.D.R.F.; de Souza, C.A.A.; Júnior, G.D.N.A.; de Souza, L.S.B. Spatial and temporal dynamics of soil moisture for surfaces with a change in land use in the semi-arid region of Brazil. Catena 2020, 188, 104457. [Google Scholar]
- McColl, K.A. Practical and theoretical benefits of an alternative to the Penman-Monteith evapotranspiration equation. Water Resour. Res. 2020, 56, e2020WR027106. [Google Scholar]
- Li, Y.; Qin, Y.; Rong, P. Evolution of potential evapotranspiration and its sensitivity to climate change based on the Thornthwaite, Hargreaves, and Penman–Monteith equation in environmentally sensitive areas of China. Atmos. Res. 2022, 273, 106178. [Google Scholar]
- Dingre, S.K.; Gorantiwar, S.D. Determination of the water requirement and crop coefficient values of sugarcane by field water balance method in semiarid region. Agric. Water Manag. 2020, 232, 106042. [Google Scholar]
- Guo, H.; Li, S.; Kang, S.; Du, T.; Tong, L.; Hao, X.; Ding, R. Crop coefficient for spring maize under plastic mulch based on 12-year eddy covariance observation in the arid region of Northwest China. J. Hydrol. 2020, 588, 125108. [Google Scholar]
- Marwa, M.A.; El-Shafie, A.F.; Dewedar, O.M.; Molina-Martinez, J.M.; Ragab, R. Predicting the water requirement, soil moisture distribution, yield, and water productivity of peas and the impact of climate change using the SALTMED model. Plant Arch. 2020, 20, 3673–3689. [Google Scholar]
- Pereira, L.S.; Paredes, P.; López-Urrea, R.; Hunsaker, D.J.; Mota, M.; Shad, Z.M. Standard single and basal crop coefficients for vegetable crops: An update of the FAO56 crop water requirements approach. Agric. Water Manag. 2021, 243, 106196. [Google Scholar]
- Pereira, L.S.; Paredes, P.; Hunsaker, D.J.; López-Urrea, R.; Shad, Z.M. Standard single and basal crop coefficients for field crops: Updates and advances to the FAO56 crop water requirements method. Agric. Water Manag. 2021, 243, 106466. [Google Scholar]
- Xu, L.; Chen, N.; Zhang, X.; Moradkhani, H.; Zhang, C.; Hu, C. In-situ and triple-collocation-based evaluations of eight global root zone soil moisture products. Remote Sens. Environ. 2021, 254, 112248. [Google Scholar]
- Pereira, L.S.; Paredes, P.; Jovanovic, N. Soil water balance models for determining crop water and irrigation requirements and irrigation scheduling focusing on the FAO56 method and the dual Kc approach. Agric. Water Manag. 2020, 241, 106357. [Google Scholar]
- Jaramillo, S.; Graterol, E.; Pulver, E. Sustainable transformation of rainfed to irrigated agriculture through water harvesting and smart crop management practices. Front. Sustain. Food Syst. 2020, 4, 437086. [Google Scholar]
- Wang, L.; He, Z.; Zhao, W.; Wang, C.; Ma, D. Fine soil texture is conducive to crop productivity and nitrogen retention in irrigated cropland in a desert-oasis ecotone, Northwest China. Agronomy 2022, 12, 1509. [Google Scholar] [CrossRef]
- Kang, M.W.; Yibeltal, M.; Kim, Y.H.; Oh, S.J.; Lee, J.C.; Kwon, E.E.; Lee, S.S. Enhancement of soil physical properties and soil water retention with biochar-based soil amendments. Sci. Total Environ. 2022, 836, 155746. [Google Scholar]
- Zhang, Q.; Lv, X.; Yu, X.; Ni, Y.; Ma, L.; Liu, Z. Species and spatial differences in vegetation rainfall interception capacity: A synthesis and meta-analysis in China. Catena 2022, 213, 106223. [Google Scholar]
- Grunicke, S.; Queck, R.; Bernhofer, C. Long-term investigation of forest canopy rainfall interception for a spruce stand. Agric. For. Meteorol. 2020, 292, 108125. [Google Scholar]
- Kumar, P.; Udayakumar, A.; Anbarasa Kumar, A.; Senthamarai Kannan, K.; Krishnan, N. Multiparameter optimization system with DCNN in precision agriculture for advanced irrigation planning and scheduling based on soil moisture estimation. Environ. Monit. Assess. 2023, 195, 13. [Google Scholar]
- Gebre, M.G.; Earl, H.J. Soil water deficit and fertilizer placement effects on root biomass distribution, soil water extraction, water use, yield, and yield components of soybean [Glycine max (L.) Merr.] grown in 1-m rooting columns. Front. Plant Sci. 2021, 12, 581127. [Google Scholar] [CrossRef] [PubMed]
- Ahmed, S.S.; Bali, R.; Khan, H.; Mohamed, H.I.; Sharma, S.K. Improved water resource management framework for water sustainability and security. Environ. Res. 2021, 201, 111527. [Google Scholar]
- Gupta, A.D.; Pandey, P.; Feijóo, A.; Yaseen, Z.M.; Bokde, N.D. Smart water technology for efficient water resource management: A review. Energies 2020, 13, 6268. [Google Scholar] [CrossRef]
- Bwambale, E.; Abagale, F.K.; Anornu, G.K. Smart irrigation monitoring and control strategies for improving water use efficiency in precision agriculture: A review. Agric. Water Manag. 2022, 260, 107324. [Google Scholar]
- Bwambale, E.; Abagale, F.K.; Anornu, G.K. Data-driven model predictive control for precision irrigation management. Smart Agric. Technol. 2023, 3, 100074. [Google Scholar] [CrossRef]
- Mardani Korani, Z.; Moin, A.; Rodrigues da Silva, A.; Ferreira, J.C. Model-driven engineering techniques and tools for machine learning-enabled IoT applications: A scoping review. Sensors 2023, 23, 1458. [Google Scholar] [CrossRef] [PubMed]
- Liu, L.; Lu, Y.; Fu, Y.; Horton, R.; Ren, T. Estimating soil water suction from texture, bulk density and electrical resistivity. Geoderma 2022, 409, 115630. [Google Scholar]
- Ma, T.; Zeng, W.; Lei, G.; Wu, J.; Huang, J. Predicting the rooting depth, dynamic root distribution and the yield of sunflower under different soil salinity and nitrogen applications. Ind. Crops Prod. 2021, 170, 113749. [Google Scholar]
- Nguyen, T.T.; Ngo, H.H.; Guo, W.; Chang, S.W.; Nguyen, D.D.; Nguyen, C.T.; Hoang, N.B. A low-cost approach for soil moisture prediction using multi-sensor data and machine learning algorithm. Sci. Total Environ. 2022, 833, 155066. [Google Scholar] [PubMed]
- Lopez-Jimenez, J.; Vande Wouwer, A.; Quijano, N. Dynamic modeling of crop–soil systems to design monitoring and automatic irrigation processes: A review with worked examples. Water 2022, 14, 889. [Google Scholar] [CrossRef]
- Salehi, B.; Jarahizadeh, S.; Sarafraz, A. An improved RANSAC outlier rejection method for UAV-derived point cloud. Remote Sens. 2022, 14, 4917. [Google Scholar] [CrossRef]
- Yang, J.; Huang, Z.; Quan, S.; Zhang, Q.; Zhang, Y.; Cao, Z. Toward efficient and robust metrics for RANSAC hypotheses and 3D rigid registration. IEEE Trans. Circuits Syst. Video Technol. 2021, 32, 893–906. [Google Scholar]
- Nigatu, Z.M.; Fan, D.; You, W.; Melesse, A.M.; Pu, L.; Yang, X.; Jiang, Z. Crop production response to soil moisture and groundwater depletion in the Nile Basin based on multi-source data. Sci. Total Environ. 2022, 825, 154007. [Google Scholar] [CrossRef] [PubMed]
- Yi, J.; Li, H.; Zhao, Y.; Zhang, H.; Liu, M. Assessing soil water balance to optimize irrigation schedules of flood-irrigated maize fields with different cultivation histories in the arid region. Agric. Water Manag. 2022, 265, 107543. [Google Scholar] [CrossRef]






| Sampling Method | Sampling Time | Number of Sampling Points and Soil Layers |
|---|---|---|
| Sensor measurement | 5.14, 7.14, 7.18, 7.21, 7.25, 7.27, 7.31, 8.2, 8.11, 8.15, 8.20, 8.24, 8.29, 9.4, 9.16, 9.20, 9.30, 10.5 | Random selection of 9 points, 0–0.1 m, 0.1–0.2 m |
| Manual measurement | 5.14, 7.21, 8.11, 8.29, 9.16, 9.28, 10.6 | Random selection of 3 points, 0–0.1 m, 0.1–0.2 m, 0.2–0.4 m, 0.4–0.6 m, 0.6–0.8 m, 0.8–1.0 m, 1.0–1.2 m, 1.2–1.4 m, 1.4–1.6 m, 1.6–1.8 cm, 1.8–2.0 m |
| Soil Depth/m | 0–0.4 | 0–0.6 | 0–0.8 | 0–1.0 | 0–1.2 | 0–1.4 | 0–1.6 | 0–1.8 | 0–2.0 |
|---|---|---|---|---|---|---|---|---|---|
| 0–0.2 | 0.89 ** | 0.83 ** | 0.73 ** | 0.73 ** | 0.70 ** | 0.71 ** | 0.73 ** | 0.60 ** | 0.56 ** |
| 0–0.4 | 1.00 ** | 0.90 ** | 0.85 ** | 0.85 ** | 0.81 ** | 0.83 ** | 0.85 ** | 0.71 ** | 0.68 ** |
| Dataset Category | A | B | Sc | R2 | |
|---|---|---|---|---|---|
| Category 1 | Parameter Value | 132.784 | 0.0 | −15.768 | 0.984 |
| Significance Level | p < 0.01 | - | p < 0.01 | p < 0.01 | |
| Category 2 | Parameter Value | 104.478 | 0.760 | 10.831 | 0.983 |
| Significance Level | p < 0.01 | p < 0.01 | p < 0.01 | p < 0.01 | |
| Category 3 | Parameter Value | 88.069 | 0.578 | 19.121 | 0.979 |
| Significance Level | p < 0.01 | p < 0.01 | p < 0.01 | p < 0.01 | |
| Category 4 | Parameter Value | 119.776 | 0.387 | 0.828 | 0.977 |
| Significance Level | p < 0.01 | p < 0.01 | p < 0.01 | p < 0.01 |
Disclaimer/Publisher’s Note: The statements, opinions and data contained in all publications are solely those of the individual author(s) and contributor(s) and not of MDPI and/or the editor(s). MDPI and/or the editor(s) disclaim responsibility for any injury to people or property resulting from any ideas, methods, instructions or products referred to in the content. |
© 2025 by the authors. Licensee MDPI, Basel, Switzerland. This article is an open access article distributed under the terms and conditions of the Creative Commons Attribution (CC BY) license (https://creativecommons.org/licenses/by/4.0/).
Share and Cite
Zhang, Y.; Wang, G.; Li, L.; Huang, M. A Monitoring Method for Agricultural Soil Moisture Using Wireless Sensors and the Biswas Model. Agriculture 2025, 15, 344. https://doi.org/10.3390/agriculture15030344
Zhang Y, Wang G, Li L, Huang M. A Monitoring Method for Agricultural Soil Moisture Using Wireless Sensors and the Biswas Model. Agriculture. 2025; 15(3):344. https://doi.org/10.3390/agriculture15030344
Chicago/Turabian StyleZhang, Yuanzhen, Guofang Wang, Lingzhi Li, and Mingjing Huang. 2025. "A Monitoring Method for Agricultural Soil Moisture Using Wireless Sensors and the Biswas Model" Agriculture 15, no. 3: 344. https://doi.org/10.3390/agriculture15030344
APA StyleZhang, Y., Wang, G., Li, L., & Huang, M. (2025). A Monitoring Method for Agricultural Soil Moisture Using Wireless Sensors and the Biswas Model. Agriculture, 15(3), 344. https://doi.org/10.3390/agriculture15030344
