Next Article in Journal
Mapping Soil Organic Matter in Black Soil Cropland Areas Using Remote Sensing and Environmental Covariates
Next Article in Special Issue
Effects of Different Excitation Parameters on Mechanized Harvesting Performance and Postharvest Quality of First-Crop Organic Goji Berries in Saline–Alkali Land
Previous Article in Journal
Analysis of Heat and Moisture Transfer and Fungi-Induced Hot Spots in Maize Bulk with Different Broken Kernel Contents
Previous Article in Special Issue
Stability Control of the Agricultural Tractor-Trailer System in Saline Alkali Land: A Collaborative Trajectory Planning Approach
 
 
Font Type:
Arial Georgia Verdana
Font Size:
Aa Aa Aa
Line Spacing:
Column Width:
Background:
Article

Analysis of Soil–Straw Movement Behavior in Saline–Alkali Soil Under Dual-Axis Rotary Tillage Based on EDEM

1
College of Mechanical and Electronic Engineering, Shandong Agricultural University, Taian 271018, China
2
Yellow River Delta Intelligent Agricultural Machinery Equipment Industry Research Academy, Dongying 257300, China
*
Authors to whom correspondence should be addressed.
Agriculture 2025, 15(3), 337; https://doi.org/10.3390/agriculture15030337
Submission received: 26 December 2024 / Revised: 28 January 2025 / Accepted: 30 January 2025 / Published: 4 February 2025
(This article belongs to the Special Issue Intelligent Agricultural Equipment in Saline Alkali Land)

Abstract

The layered soil crushing rotary tillage machine with L-shaped reclamation rotary blades and rotary-reclamation rotary blades combination was designed to deal with the problems of a low soil fragmentation rate, low straw mulching rate, and poor surface leveling after plowing in the traditional rotary tiller tillage mode in the coastal saline land of the Yellow River Delta. A dual active layered soil fragmentation tillage mode was proposed, and the key structural parameters, blade axis arrangement, and spatial layout of L-shaped reclamation rotary blades and rotary-reclamation rotary blades were determined based on the sliding cutting principle analysis. A discrete element model of soil straw tillage component aggregates suitable for coastal saline alkali land was constructed using EDEM, and the influence of L-shaped reclamation rotary blades and rotary-reclamation rotary blades on the soil tillage layer displacement performance and straw burial performance of saline alkali land was comprehensively analyzed from a microscopic perspective. Taking the rotation speed of the L-shaped reclamation rotary blades, the rotation speed of the rotary-reclamation rotary blades, and the forward speed as experimental factors, and using soil fragmentation rate and straw burial rate as evaluation indicators for experimental optimization analysis, the optimal parameters were obtained: the rotation speed of the L-shaped reclamation rotary blades was 295.04 r/min, the rotation speed of the rotary-reclamation rotary blades was 359.06 r/min, and the forward speed was 3.12 km/h. At this time, the theoretical soil fragmentation rate of saline alkali land was 94.67%, and the straw burial rate was 93.56%. Field experiments have shown that the average soil fragmentation rate of the L-shaped reclamation rotary blades and rotary-reclamation rotary blades combined layered soil crushing rotary tiller after cultivation is 94.37%, the straw burial rate is 95.68%, the surface flatness is 25.82 mm, and the stability of the tillage depth is 95.64%. The machine has shown increased performance in comparison to traditional single axis rotary tillers, meeting the needs of crop bed preparation in saline alkali land.

1. Introduction

At present, the area of saline alkali land in China is about 1500 square kilometers, of which about 110 square kilometers can be directly utilized, making it an important reserve arable land resource [1,2]. With the continuous development of agricultural mechanization, various agricultural equipment has been applied to various production processes of saline alkali land crops, mainly including tillage, sowing, field management, and harvesting, further improving the efficiency and quality of saline alkali land agricultural production [3,4]. Tillage and land preparation are the primary and crucial links in agricultural production on saline alkali land, playing an important role in improving crop germination rate and reducing pests and diseases, directly affecting the growth status and quality of crops on saline alkali land. Due to the tendency of soil compaction and hardness in the cultivated layer of saline alkali land, existing tillage and land preparation equipment has problems such as low soil fragmentation rate, poor straw coverage, and low operational efficiency during the operation process [5,6,7]. Therefore, the improvement of quality and efficiency of the tillage and land preparation process in saline alkali land is a focus in the field of agricultural machinery.
In the process of tillage and land preparation, tillage components usually come into direct contact with the soil, and existing experimental methods are difficult to detect the dynamic relationship between tillage components and soil. In recent years, the discrete element method has been widely used to analyze the movement trajectory and dynamic characteristics of tillage components and soil from a microscopic perspective [8,9,10,11].
The quality of preparation of saline alkali land planting beds mainly depends on the structural and operational parameters of tillage equipment, such as the structure of rotary tillage blades, blade shaft speed, forward speed, and tillage depth [12,13]. In recent years, scholars at home and abroad have conducted systematic research on the operational characteristics of tillage and land preparation equipment under different working conditions and types. Liu et al. [14] designed a rotary tiller vibration separation system to solve the problem of adhesion and entanglement between the rotary tiller, soil, and straw during the tillage process, and conducted field comparative experiments. The experimental results showed that the system can effectively improve operational efficiency and separation performance. Du et al. [15] analyzed the influence of different soil particle contact models on the experimental results to investigate the performance of rotary tillage blades and spiral horizontal blades. Combined with EDEM simulation experiments, they showed that the performance of spiral horizontal blades was better than that of ordinary rotary tillage blades. Lee et al. [16] investigated the influence of parameters such as rotary tiller blade type, blade shaft speed, and number of blades in the same section on tillage performance. The experimental results showed that the structural and working parameters of the rotary tiller affect soil crushing performance and blade shaft torque. Zhao et al. [17] designed a new type of rotary tillage device for traditional wheat seeders to address issues such as insufficient soil fragmentation and poor straw cleaning efficiency. By combining discrete element simulation experiments and orthogonal combinations, they investigated the factors affecting soil fragmentation rate and straw cleaning rate. The experiments showed that increasing the rotary tillage blade speed can effectively improve soil fragmentation and straw burial performance. Md. A. Matin et al. [18] analyzed the tillage performance of three types of C-type rotary tillage blades under moist clay conditions, and the results showed that the right-angle blade had the best performance at tillage depths of 75 mm and 100 mm. Wu et al. [19] established a corn residue disk soil discrete element model using EDEM to investigate the movement behavior of corn residue during tillage. The dynamic changes in residue under different disk tilt angles were systematically analyzed. The experimental results showed that with the increase in residue length, the cutting force and residue blending rate showed an upward trend. Prakhar Patidar et al. [20] established a soil rotary tiller discrete element model in combination with EDEM to investigate the dynamic characteristics of the vertical rotary tiller tillage process. They systematically analyzed the traction and torque changes in the rotary tiller at different tillage depths, indicating that EDEM can perform discrete element analysis under different soil conditions. Zheng et al. [21] established a flexible straw discrete element coupling model to solve the problem of straw adhesion during the cultivation process. Combined with the EDEM system, they analyzed the influence of blade shaft speed, guide plate radius, and stubble plate angle on experimental performance.
This article focuses on the problems of low soil fragmentation rate, low straw burial rate, and poor stability of tillage depth in the traditional tillage mode of coastal saline alkali land. A joint soil preparation machine based on dual axis layered soil fragmentation is developed. Combining the characteristics of soil compaction and soil hardness in saline alkali land, the dynamic characteristics of soil–straw–tillage components in saline alkali land are systematically explored. Discrete element simulation analysis is used to comprehensively analyze the influence of dual axis rotary tillage on the soil layer replacement performance and straw burial performance of saline alkali land under the action of dual axis rotary tillage from a micro perspective. The tillage performance of dual axis layered soil rotary tillage machine is verified through field experiments, in order to provide theoretical basis for optimizing and improving the structure of saline alkali land tillage equipment in the Yellow River Delta coastal saline alkali land.

2. Materials and Methods

2.1. Overall Structure and Working Principle

To deal with the problems of low soil fragmentation rate, low straw mulching rate and poor surface leveling after plowing in the traditional rotary tiller tillage mode in the coastal saline land of the Yellow River Delta, based on the characteristics of saline soil, the machine structure is required to realize the functions of saline soil–straw crushing and burying, suppression, etc., and finally determine the overall structure of the machine.
The dual axis layered soil consolidation machine for saline alkali land adopts a two-stage soil fragmentation and compaction method for soil preparation, mainly including a frame, three-point suspension device, transmission system, first stage positive rotation soil fragmentation device, second stage positive rotation soil fragmentation device, hydraulic system, and compaction roller, as shown in Figure 1. The first stage positive rotation soil crushing device mainly includes L-shaped reclamation rotary blades (LRRBs), knife disks, knife shafts, etc., to achieve the first stage crushing and transportation of saline alkali soil; the secondary rotary soil crushing device mainly includes rotary-reclamation rotary blades (RRRBs), knife disks, knife shafts, etc., which mainly realizes the secondary crushing of saline alkali soil. The main technical parameters are shown in Table 1.
When the dual axis layered soil consolidation machine for saline alkali land is in operation, it is powered by a tractor PTO. The gearbox simultaneously drives the first stage soil consolidation device and the second stage rotary soil consolidation device to carry out soil consolidation operations. The first stage soil consolidation device rotates clockwise to achieve preliminary fragmentation of shallow soil straw aggregates in saline alkali land, while the second stage rotary soil consolidation device rotates clockwise to perform secondary fragmentation of shallow soil straw aggregates and complete fragmentation of deep saline alkali soil. Under the action of the crushed soil cover plate, the efficiency of soil–straw aggregate fragmentation in saline alkali land was further improved. Finally, the compaction roller completed the compaction work of the seed bed, and the operating principle is shown in Figure 2.

2.2. Key Component Design and Analysis

2.2.1. Structural Design and Analysis of L-Shaped Reclamation Rotary Blades

In order to improve the quality and efficiency of cultivation in saline alkali land, this article designs an L-shaped reclamation rotary blades based on the characteristics of the soil tillage layer in coastal saline alkali land and the requirements for returning straw. At the same time, the dynamic characteristics of the reclamation knife under the operation of soil fragmentation and stubble removal in saline alkali land are systematically explored, as shown in Figure 3. v is the forward speed of machine, m/s; ω is the rotation speed of L-shaped reclamation rotary blades, r/min; R is the radius of gyration of L-shaped reclamation rotary blades, mm; f is the friction force during the process of rotary tillage and stubble removal with L-shaped reclamation rotary blades, N; φ is the friction angle between wheat straw and saline alkali soil, N; F is the applied force of wheat straw and saline alkali soil on the L-shaped reclamation rotary blades during the cultivation process, N; Fn is the normal force component of the total force of the L-shaped reclamation rotary blades, N; F τ is the tangential force component of the total force of the L-shaped reclamation rotary blades, N; α is the dynamic sliding angle of the L-shaped reclamation rotary blades, °; H is the working depth, mm.
To analyze the mechanical relationship of soil fragmentation and stubble removal during the cultivation process of the L-shaped reclamation rotary blades, the normal and tangential directions of the n-axis reclamation blade edge were decomposed to obtain the normal and tangential forces of the L-shaped reclamation rotary blades, as shown in Equation (1).
μ = tan φ F τ = F sin α F n = F cos α f = μ F n
where μ is the friction coefficient between L-shaped reclamation rotary blades and saline alkali soil, wheat straw, N.
To reduce the working resistance of the L-shaped reclamation rotary blades during the tillage process and enhance the soil crushing and stubble removal performance, it is necessary to reduce the normal force of the tillage blade edge, increase the tangential force of the blade edge, and enhance the sliding cutting performance of the tillage blade edge [22,23]. The following conditions need to be met, as shown in Equation (2).
f < F τ μ F n < F sin α tan φ F cos α < F sin α α > μ
Combining Equation (2), in order to achieve high-performance cultivation with L-shaped reclamation rotary blades, it is necessary to meet the requirement that the sliding cutting angle of the L-shaped reclamation rotary blades is greater than the friction angle of the saline alkali soil and wheat straw in contact with the tillage blade [24]. This article systematically measured the friction angle of saline alkali soil wheat straw aggregates at a depth of 0–200 mm. Each experiment was repeated five times, and the average of the experimental results is taken, as shown in Table 2.
Based on the measurement results of the friction angle between the L-shaped reclamation rotary blades and the soil–wheat straw in saline alkali land; in order to improve the efficiency of soil straw aggregate fragmentation and burial in saline alkali land, this paper designs the dynamic sliding cutting angle of the L-shaped reclamation rotary blades was set at 32°.
The L-shaped reclamation rotary blades performs a compound motion along the machine’s forward direction during cultivation, with a trajectory of trochoidal motion [25]. The cut saline alkali soil–straw particles are thrown backwards to the rotary-reclamation rotary blades operation area. To investigate the dynamic characteristics of soil straw throwing process, this paper takes the cutting of soil straw aggregates in saline alkali land by L-shaped reclamation rotary blades as the experimental object, and establishes a three-dimensional coordinate system for the throwing process of the L-shaped reclamation rotary blades and soil–straw aggregates in saline alkali land with the center of rotation of the knife axis as the origin, as shown in Figure 4. The calculation method is shown in Equation (3). In which vm is the forward speed of machine, m/s; L1 is the cutting starting point of straw aggregates in saline alkali soil; L2 is the cutting endpoint of straw aggregates in saline alkali soil; va is the resultant velocity of the L-shaped reclamation rotary blades, m/s; vb is the velocity component of the side cutting edge of the L-shaped reclamation rotary blades, m/s; vc is the velocity component in the tangential direction of the circular motion of the L-shaped reclamation rotary blades, m/s.
v x = R ω cos ω t v m v y = R ω sin ω t v 1 cos β v z = v b sin β
where vx is the velocity component of soil straw aggregates along the X-axis, m/s; vy is the velocity component of soil straw aggregates along the Y-axis, m/s; vz is the velocity component of soil straw aggregates along the Z-axis, m/s; vm is the machine forward speed, m/s; β is the angle between the front and side sections of the L-shaped reclamation rotary blades, °; t is the operation time, s.
As shown in Figure 4, the L-shaped reclamation rotary blades performs rotary tillage from point L1 to L2 in a counterclockwise manner. At point L2, the absolute velocity of the soil–straw aggregate detachment from the tillage blade can be decomposed into the tangential direction of the circular motion of the tillage blade and the velocity component of the side section of the tillage blade. After detachment, the soil straw aggregate detachment from the side section of the saline alkali land tillage blade is thrown backwards along the tangential direction of the blade tip. The calculation method is shown in Equation (4)
v a 2 = v b 2 + v c 2 v b = v c tan α v c = R ω
where α is the angle between va and vc, °.
From Equations (3) and (4), it can be concluded that the transport and desorption performance of soil–straw aggregates in saline alkali land is positively correlated with their Z-axis velocity component leaving the L-shaped reclamation rotary blades, and the following conditions need to be met.
v z = R ω tan α sin β
During the cultivation process, soil–straw aggregates are thrown backwards along the tangential direction of the compound movement of the tillage blade at an angle α, and the Z-axis velocity component is proportional to the rotation radius of the tillage blade, the angle between the normal and side sections of the tillage blade, and the rotation speed of the tillage blade shaft. In order to improve the efficiency of crushing and transporting saline alkali soil straw aggregates, the angle between the normal and side sections of the tillage blade was determined to be 95°.
As shown in Figure 5, the L-shaped reclamation rotary blades cuts wheat straw in a clockwise direction. To improve the efficiency of chopping wheat straw, the straw needs to satisfy the following mechanical relationships in both vertical and horizontal directions. F1 is the friction force of saline alkali soil on straw, N; F2 is the tangential force of L-shaped reclamation rotary blades on wheat straw, N; F3 is the normal force of L-shaped reclamation rotary blades on wheat straw, N; F4 is the supporting force of saline alkali soil on straw, N; φ 1 is the friction angle between saline alkali soil and wheat straw, °; φ 2 is the friction angle between L-shaped reclamation rotary blades and wheat straw, °; γ is the angle between F3 and the vertical line on the ground, °.
F 4 = F 3 cos γ + F 2 sin γ F 1 + F 2 cos γ > F 3 sin γ F 1 = F 4 tan φ 1 F 2 = F 3 tan φ 2
Combining Equation (6), the relationship model between the structural parameters of the L-shaped reclamation rotary blades and the mechanical properties of wheat straw is obtained, as shown in Equations (7) and (8).
F 4 tan φ 1 + F 3 tan φ 2 cos γ > F 3 sin γ ( F 3 cos γ + F 2 tan φ 2 sin γ ) tan φ 1 + F 3 tan φ 2 cos γ > F 3 sin γ
γ < φ 1 + φ 2 cos γ = R h R
By combining Equations (7) and (8), the following parameterized relationship is obtained
arccos R h R < φ 1 + φ 2
According to Equation (8), when the turning radius of the L-shaped reclamation rotary blades is constant, γ is positively correlated with the cutting depth of the reclamation blades. According to Equation (9), the smaller the value of γ, the higher the cutting efficiency of wheat straw during cultivation. Therefore, the smaller the cutting depth h of the reclamation blades, the better it can meet the cutting performance of wheat straw. This article combines the physical characteristics of wheat straw in coastal saline alkali land and determines that h is 100 mm. Therefore, increasing the turning radius R of the L-shaped reclamation rotary blades can help improve the cutting performance of straw. At the same time, the friction angle between saline alkali soil and wheat straw was measured using a sliding friction meter to be 28.4°, and the friction angle between the L-shaped reclamation knife and wheat straw was 25.2°. The calculated R was greater than 243.90 mm, and the turning radius R was determined to be 244 mm, with a working width b1 of 154 mm.

2.2.2. Design of Side Cutting Edge Curve of the L-Shaped Reclamation Rotary Blades

The side cutting edge curve of the L-shaped reclamation rotary blades adopts the Archimedes spiral, and the sliding cutting angle of this spiral can increase with the increase in the working radius, which can increase the tillage depth, improve the cutting ability of straw, and reduce the working resistance [26]. The equation for the side cutting edge curve is shown in Equation (10).
ρ = ρ 0 + i θ α
where ρ is the side cutting edge curve of the L-shaped reclamation rotary blades; ρ 0 is the cutting pitch of L-shaped reclamation knife, mm; i is the increment of polar diameter corresponding to an increase of 1 radian in the helix polar angle of the side cutting edge, mm; θ α is the any polar angle of the side cutting edge spiral at any point, °.
To avoid cutting soil straw aggregates in the bladeless part of the L-shaped reclamation rotary blades and reduce operational efficiency, the starting point diameter of the side cutting edge spiral ρ 0 should meet the following conditions, as shown in Equation (11).
ρ 0 = R 2 + S 2 2 S 2 R h h 2
where S is the spiral starting point diameter of the side cutting edge of the L-shaped reclamation rotary blades, mm.
The polar angle at the end point of the spiral of the side cutting edge of the L-shaped reclamation rotary blades satisfies the following relationship, as shown in Equation (12).
θ n = ( ρ n R 2 + S 2 2 S 2 R h h 2 ) tan τ n ρ n
where τ n is the spiral end sliding cutting angle of L-shaped reclamation rotary blades side cutting edge, °.

2.2.3. Design of Tangent Cutting-Edge Curve of the L-Shaped Reclamation Rotary Blades

The tangent curve of the L-shaped reclamation rotary blades is designed and analyzed using an eccentric circular curve, as shown in Equation (13). This curve can improve the impact force of the tillage components on saline alkali soil and increase the soil fragmentation rate.
r ρ = r 0 cos η + e 0 2 sin 2 η e 0 η = arcsin ( e 0 cos τ s ) 0 η π 2 π arcsin ( e 0 cos τ s ) π 2 η π
where r p is the radius of the eccentric circular curve, mm; e 0 is the eccentricity coefficient of the eccentric circular curve; τ s is the static sliding angle of the eccentric circular curve, °; η is the eccentric angle of the eccentric circular curve, °.

2.2.4. Arrangement of the L-Shaped Reclamation Rotary Blades

To enhance the soil fragmentation and stubble removal performance of the L-shaped reclamation rotary blades, six L-shaped reclamation rotary blades are installed on the blade head, with adjacent blades installed at an angle of 60°. The calculation method for the total number of reclamation blades installed on the blade shaft is shown in Equation (14).
Z 1 = 1100 Z a b 1 + Δ b 1
where Z1 is the total number of L-shaped reclamation rotary blades installed is taken as a multiple of 6; Za is the number of blades installed on the same cross-section of the blade shaft is 6 in this article; b1 is the working width of the L-shaped reclamation rotary blades, mm, and this article takes 154; Δ b 1 is the difference between the installation spacing of the blade holder and the working width of the L-shaped reclamation rotary blades, mm, is generally within the range of 15~20 mm, with 20 mm taken in this article.
According to the above calculation method, Z1 is determined to be 36, which means that 72 L-shaped reclamation rotary blades need to be installed on the left and right knife shafts.

2.2.5. Design of Side Cutting-Edge Curve of the Rotary-Reclamation Rotary Blades

The side cutting edge curve of the rotary-reclamation rotary blades is designed and analyzed using a sine index curve, which ensures that the static sliding cutting angle of the rotary-reclamation rotary blades edge curve is proportional to the polar angle, and can improve the secondary crushing and burial performance of the soil straw particles in saline alkali soil during the cultivation process of the rotary-reclamation rotary blades, preventing the occurrence of grass entanglement at the handle [27]. The curve is governed by Equation (15).
ρ l = ρ 0 sin τ 0 sin τ 0 K θ 1 1 K
where p 1 is the starting point extreme diameter of the side cutting edge curve of the rotary-reclamation rotary blades, mm; τ 0 is the static sliding angle of the side cutting edge curve of the rotary-reclamation rotary blades, °; K is the static sliding angle decreasing ratio of the side cutting edge curve of the rotary-reclamation rotary blades; θ 1 is the polar angle at any point on the side cutting edge curve of the rotary-reclamation rotary blades, rad.
The selection of different starting points for the side cutting edge curve of the rotary-reclamation rotary blades determines the performance of the rotary-reclamation rotary blades, as well as the ratio of the static sliding cutting angle to the decreasing static sliding cutting angle. To meet the requirements of soil–straw fragmentation and burial in saline alkali land, the rotary-reclamation rotary blade is designed with a tillage depth h1 of 175 mm, a turning radius R1 of 275 mm, an angle of 115° between the front and side sections of the rotary tillage blade, a working width b2 of 54 mm, and a starting radius of 180 mm for the side cutting edge curve. To ensure that the side cutting edge of the rotary-reclamation rotary blades does not get tangled with grass during operation, the sliding cutting angle of the blade edge at the handle of the rotary-reclamation rotary blades should be greater than the sliding cutting angle at the endpoint of the side cutting edge curve. If the sliding cutting angle of the rotary reclamation knife is too large, it will increase the working resistance of the rotary-reclamation rotary blades. At the same time, the sliding cutting angle is generally within the range of 35°~55°, and the static sliding cutting angle decreasing ratio of the curve is generally within the range of 0.06~0.11. In this paper, the static sliding cutting angle of the rotary-reclamation rotary blades is designed to be 55°, and the static sliding cutting angle decreasing ratio is 0.11.

2.2.6. Arrangement of the Rotary-Reclamation Rotary Blades

To reduce the soil clamping rate between blades and the phenomenon of blade axis entanglement in the same soil cutting area, two blades are installed on the same cross-section of the rotary-reclamation rotary blades axis, with an installation angle of 180° and adjacent installation angles of 48°; The rotary-reclamation rotary blades adopts a sliding cutting blade holder, which can enhance the sliding cutting performance of weeds during the cultivation process. The calculation method for the installation quantity is shown in Equation (16).
Z 2 = 1100 Z b b 2 + Δ b 2
where Z2 is the total number of rotary-reclamation rotary blades installed is taken as a multiple of 2; Zb is the number of blades installed on the same cross-section of the blade shaft is 2 in this article; b2 is the working width of the rotary-reclamation rotary blades, mm, and this article takes 54; Δ b 2 is the difference between the installation spacing of the blade holder and the working width of the L rotary-reclamation rotary blades, mm, is generally within the range of 15~20 mm, with 20 mm taken in this article.
According to the above calculation method, Z2 is determined to be 30, which means that 60 rotary-reclamation rotary blades need to be installed on the left and right knife shafts.

2.2.7. Determination of Relative Spatial Position Between Blade Axes

When cultivating saline alkali soil, if the horizontal distance L between the L-shaped reclamation rotary blades axis and the rotary-reclamation rotary blades axis is too small, it will cause soil blockage and increase operational power consumption; when the horizontal spacing L is too large, it will reduce the secondary crushing and burial performance of soil–straw particles in saline alkali land [28]. To determine the optimal layout parameters for the horizontal spacing of the blade axis, this paper establishes a schematic diagram of the relative spatial position layout of the blade axis, as shown in Figure 6.
In the horizontal direction, the rotary-reclamation rotary blades needs to satisfy the following parameterization relationship between the leftmost and rightmost sides, as shown in Equation (17).
L R + R 1 + R a L R R 1 L s
where Ra is the safe distance between L-shaped reclamation rotary blades and rotary-reclamation rotary blades, mm, and this article takes 30; Ls is the horizontal distance at the highest point of soil–straw aggregate throwing during the cultivation process, mm, based on reference [29], this article takes 190 mm.
According to the above calculation method, the range of horizontal spacing between the two axes is determined to be 549–709 mm. Considering practical processing problems, the horizontal spacing is taken as 600 mm.

2.2.8. Determination of the Rotation Speed of the Blade Axes

According to the characteristics of saline alkali soil, the forward speed of the rotary tiller is generally within the range of 2–6 km/h. At the same time, the rotation speed of the L-shaped reclamation blade shaft needs to meet the following conditions:
n k = 60 v m S k Z 1
where nk is the rotation speed of the L-shaped reclamation rotary blades shaft, r/min; sk is the soil cutting pitch of the L-shaped reclamation rotary blades, mm, 0.05 m in this paper.
Based on the equation, the rotation speed of the L-shaped reclamation rotary blades is determined to be 111.11~333.33 r/min. Based on actual bench tests, the rotational speed is further determined to be between 270 r/min~330 r/min.
By combining Equation (19), the rotational speed of A has been determined:
n x = 60 v m S x Z 2
where nx is the rotation speed of the rotary-reclamation rotary blades shaft, r/min; sk is the soil cutting pitch of the rotary-reclamation rotary blades, mm, 0.14 m in this paper.
Based on the equation, the rotation speed of the rotary-reclamation rotary blades shaft is determined to be 119.04~357.14 r/min. Based on actual bench tests, the rotational speed is further determined to be between 300~360 r/min.

3. Discrete Element Simulation Experiment of Soil Straw Aggregates in Saline Alkali Land

Based on reference literature and field experiments [30,31,32,33], the initial range of values for the rotation speed of the L-shaped reclamation rotary blades shaft is set at 270–330 r/min, the rotation speed range of the rotary-reclamation rotary blades shaft is set at 300–360 r/min, and the forward speed is set at 2–6 km/h. Subsequently, the rationality of the parameter range is verified through single factor experiments. To construct a simulation model of soil and tillage components in coastal saline alkali land and analyze the interaction mechanism between tillage components and soil–straw aggregates under different parameters, this paper establishes a discrete element model of soil straw aggregates in saline alkali land based on the characteristics of the soil tillage layer and EDEM. By analyzing the micro disturbance mechanism and macro disturbance state of L-shaped reclamation rotary blades and rotary-reclamation rotary blades on soil–straw aggregates in saline alkali land, the optimal structural parameters and working parameters of the whole machine are determined to achieve high-performance tillage operations in saline alkali land.

3.1. Discrete Element Modeling of Saline Soils

To ensure the scientificity and accuracy of the discrete element simulation experiment, the soil collection site of this article is the Saline alkali Land Agricultural Experimental Demonstration Base of The Agricultural High-tech Industrial Demonstration Area of the Yellow River Delta. The soil collection depth is 0–200 mm, of which 0–100 mm is the tillage layer, 100–150 mm is the plow layer, and 150–200 mm is the subsoil layer. The experimental parameters mainly include soil density, soil moisture content, and soil solidity, as shown in Table 3. To improve the accuracy of simulation experiments, this paper combines soil test parameters and establishes single particle soil discrete element models, double particle soil discrete element models, and block soil discrete element models based on 5 mm radius discrete element particles, as shown in Figure 7. Combined with the previous research foundation of the subject group, the main contact parameters and physical properties of soil particles are determined, as shown in Table 4.

3.2. Discrete Element Modeling of Wheat Straw

The main purpose of discrete element simulation experiments is to explore the fragmentation and transportation laws of wheat straw during the cultivation process. Soil straw aggregates are mainly composed of surface wheat straw and soil. To simulate the actual state of wheat straw, this paper adopts the equidistant sampling method, with experimental samples taken every 15 m, and each sampling area covers an area of 1 m × 1 m. The components of straw mainly include long straw, short straw, and surface residues, mainly distributed within the range of 0–160 mm. To improve the accuracy of the experiment, this study randomly selected five regions for the size distribution and mass proportion of wheat straw. The experimental results were averaged and shown in Table 5. The discrete element modeling of different forms of wheat straw was conducted based on experimental data, as shown in Figure 8. Combined with the previous research foundation of the subject group, the main contact parameters and physical properties of wheat straw are determined, as shown in Table 6.

3.3. Establishment of Discrete Element Model for Soil–Wheat Straw Aggregate

In order to simulate actual saline alkali land tillage operations and improve the accuracy of simulation experiments, as shown in Figure 9, this paper established a length × width × height (3000 mm × 3000 mm × 300 mm) experimental soil tank, with a soil particle number of 450,000, a wheat straw weight of 4.42 kg, the straw A mass of 311.45 g, the straw B mass of 656.43 g, the straw C mass of 1239.15 g, and the straw D mass of 2212.97 g. In order to explore the fragmentation of saline alkali soil and straw burial patterns in different regions, this paper established three experimental areas, Grid Bin 1, Grid Bin 2, and Grid Bin 3, with each experimental area measuring 1000 mm in length, 3000 mm in width, and 300 mm in height. The simulation experiment was conducted for a total duration of 6 s, with a test step size of 3 × 10−5 and grid cell size three times the radius of straw particles [34,35]. Set the speed of the L-shaped reclamation rotary blades shaft to 300 r/min, the speed of the rotary-reclamation rotary blades shaft to 330 r/min, and the machine’s forward speed to 1 m/s. Combined with the previous research foundation of the subject group, the main contact parameters and physical properties are determined, as shown in Table 7.

3.4. Dynamic Analysis of Tillage Components–Soil–Wheat Straw

3.4.1. The Investigation of Soil Fragmentation and Transport Patterns in Saline Soils

As shown in Figure 10, this article systematically explores the process of soil fragmentation and transport in saline alkali land at depths of 0–18 cm in Grid Bin 2 area at different simulation times from a microscopic perspective. As shown in Figure 10A, at time 2.8 s, the L-shaped reclamation rotary blades starts to break and transport soil straw aggregates in saline alkali land from bottom to top and from near to far under the action of composite motion. Firstly, the tangent edge of the L-shaped reclamation rotary blades cuts the soil–straw aggregates horizontally to achieve impact crushing of the soil aggregates. Then, the side cutting edge of the L-shaped reclamation rotary blades gradually cuts out the soil–straw aggregates. Under the action of inertia, the broken soil–straw is thrown backwards along the tangent direction of the L-shaped reclamation rotary blades motion trajectory, completing the first level crushing of soil–straw aggregates in saline alkali land; as the simulation experiment progresses, as shown in Figure 10B, at time 3.0 s, the rotary-reclamation rotary blades performs secondary crushing on the broken soil–straw aggregates. Under the action of composite motion, the side cutting edge of the rotary-reclamation rotary blades longitudinally cuts the soil–straw aggregates, and then the tangential edge laterally impacts and crushes the soil–straw aggregates from near to far, completing the secondary crushing of soil–straw aggregates in saline alkali soil. According to the simulation test results, the soil particle movement speed is mainly concentrated in the L-shaped reclamation rotary blades operation area Q1, the rotary-reclamation rotary blades operation area Q2, and the area Q3 between the two knife axes, which is consistent with the theoretical analysis results.
To investigate the particle distribution and transport of deep saline alkali soil before and after cultivation, this study takes the soil in Q4 area as the research object, and systematically explores the movement law of 10–18 cm deep soil during cultivation process, as shown in Figure 11A,B. Under the action of L-shaped reclamation rotary blades, the soil aggregates of saline alkali soil achieve first level fragmentation, and the fragmented soil aggregates of saline alkali soil are thrown along the tangent direction of L-shaped reclamation rotary blades towards the rotary-reclamation rotary blades operation area, which is consistent with the previous theoretical analysis results. As shown in Figure 11C,D, under the continuous throwing of the L-shaped reclamation rotary blades, the soil aggregates in the saline alkali land were subjected to secondary crushing and throwing under the action of the rotary-reclamation rotary blades.
The discrete element simulation experiment shows that under the combined action of L-shaped reclamation rotary blades and rotary-reclamation rotary blades, the soil aggregates in saline alkali land are orderly broken, and the fragmentation and replacement of saline alkali soil layers are achieved. At time 3.9 s, comparing the soil areas before and after cultivation in Q4 and Q5, the spatial distribution of saline alkali soil in Q5 area was effectively improved after biaxial rotary tillage, and the fragmentation efficiency of soil aggregates in saline alkali soil was also enhanced. Simulation experiments showed that biaxial rotary tillage can meet the requirements of high-quality seed bed preparation in saline alkali soil.
Figure 12 shows the movement and distribution patterns of saline alkali soil in the X and Y directions in the Q4 region before and after cultivation. As shown in Figure 12A, before the operation, the X-axis direction of soil aggregates in the Q4 area of saline alkali land was mainly distributed in the range of 2000 mm~3000 mm, and the Y-axis direction was mainly distributed in the range of −670 mm~−570 mm, which is consistent with the soil state of saline alkali land in Figure 11A. As shown in Figure 12B, with the progress of the discrete element simulation experiment, the soil aggregates of deep saline alkali land were effectively improved in the lateral movement (X-axis direction) under the joint operation of L-shaped reclamation rotary blades and rotary-reclamation rotary blades. The distribution range of the cultivated deep saline alkali soil was effectively enhanced in the X-axis direction, achieving the overall soil layer movement, mainly concentrated in the range of 1250 mm~2500 mm, which is consistent with the soil state in Figure 11D. In terms of vertical movement (Y-axis direction), under the combined movement of L-shaped reclamation rotary blades and rotary-reclamation rotary blades, deep saline alkali soil has achieved soil layer replacement in the Y-axis direction. The replaced deep saline alkali soil is mainly concentrated in the range of −650 mm~−450 mm in the Y-axis direction.
To characterize the soil fragmentation efficiency of saline alkali soil after cultivation with a dual axis rotary tiller, this study used the number of bonding bond breaks between soil particles as the evaluation index to explore the deep soil fragmentation of saline alkali soil in the Q4 region, as shown in Figure 13. As shown in Figure 13A, the system displays the process of bonding bond breaking in saline alkali soil in Q4 region. AB represents the formation stage of soil aggregates in the saline alkali soil in Q4 region, and the phenomenon of bonding bond breaking occurs during the soil falling process of particle factories. BC represents the individual operation stage of L-shaped reclamation rotary blades, CD represents the joint operation stage of L-shaped reclamation rotary blades and rotary-reclamation rotary blades, DE represents the joint operation stage of L-shaped reclamation rotary blades and rotary-reclamation rotary blades, and EF represents the post cultivation stage in Q4 region. Due to the secondary crushing of soil by the rotary-reclamation rotary blade, the number of bonding bond fractures in soil particles during the CD stage showed a periodic increase. As shown in Figure 13B, the system displays the process of Intact Bond changes in saline alkali soil in the Q4 region. The operation stages are the same as Figure 13B. In the EF stage, the number of Intact Bonds in saline alkali soil after cultivation by a biaxial rotary tiller is 0, indicating that biaxial rotary tillage can improve the soil fragmentation rate of saline alkali soil and meet the requirements for high-quality seed bed preparation in saline alkali soil.
Due to the difficulty of traditional experimental detection methods in effectively measuring the spatial distribution changes in saline alkali soil before and after cultivation, this paper conducted discrete element simulation experiments and selected soil aggregates (100 mm × 200 mm) in three regions L1, L2, and L3 of saline alkali soil. The deep soil in the Grid Bin 2 region was systematically analyzed by comparing the soil spatial distribution data before and after cultivation on the X-axis and Z-axis, as shown in Figure 14.
Figure 15 shows the movement and distribution patterns of saline alkali soil in the X and Z directions in the L1 area before and after cultivation. As shown in Figure 15A, before the operation, the X-axis direction of the salt alkali soil aggregates in L1 area was mainly distributed in the range of 3000 mm~3200 mm, and the Z-axis direction was mainly distributed in the range of 980 mm~1080 mm. As shown in Figure 15B, the soil aggregates in saline alkali land are transported laterally backwards through the combined operation of L-shaped reclamation rotary blades and rotary-reclamation rotary blades during the cultivation process. At the same time, the saline alkali soil undergoes bidirectional displacement along the Z-axis direction along the central direction before cultivation. After cultivation, the lateral movement area (X-axis direction) of scattered particles in saline alkali land is mainly distributed in the range of 1500 mm~3000 mm, and the longitudinal movement area (Z-axis direction) is mainly distributed in the range of 940 mm~1300 mm. At the same time, by comparing the soil bonding fracture before and after cultivation, the soil fragmentation rate of saline alkali land after cultivation is 95.53%. Simulation experiments show that the designed L-shaped reclamation rotary blades and rotary-reclamation rotary blades can effectively improve the lateral and longitudinal displacement of saline alkali soil during cultivation while ensuring soil fragmentation rate.
Figure 16 shows the soil transport and distribution patterns in the X and Z directions in the L2 region before and after cultivation of saline alkali land. As shown in Figure 16A, before the operation, the X-axis direction of the saline alkali soil aggregates in the L2 area is the same as that in the L1 area, and the Z-axis direction is mainly distributed in the range of 880 mm~980 mm. As shown in Figure 16B, the horizontal and vertical movement patterns of soil particles in the cultivated L2 soil area are similar to those in the L1 area. The horizontal movement area (X-axis direction) of soil particles in the cultivated saline alkali land is mainly distributed in 2200 mm~3000 mm, and the vertical movement area (Z-axis direction) is mainly distributed in 750 mm~1100 mm. At the same time, by comparing the breakage of soil bonding bonds before and after cultivation, the soil fragmentation rate of saline alkali land after cultivation is 94.42%. Simulation experiments show that biaxial rotary tillage can effectively achieve the fragmentation and movement of soil aggregates in saline alkali land.
Figure 17 shows the soil transport and distribution patterns in the X and Z directions in the L3 region before and after cultivation of saline alkali land. As shown in Figure 17A, before the operation, the X-axis direction of the saline alkali soil aggregates in L3 area is the same as that in L1 and L2 areas, and the Z-axis direction is mainly distributed in the range of 780 mm~880 mm. As shown in Figure 17B, after cultivation, the horizontal and vertical movement patterns of soil particles in the L3 soil area are similar to those in the L1 and L2 areas compared to before cultivation. The horizontal movement area (X-axis direction) of soil particles in the cultivated saline alkali land is mainly distributed in 2250 mm~3000 mm, and the vertical movement area (Z-axis direction) is mainly distributed in 650 mm~950 mm. At the same time, by comparing the breakage of soil bonding bonds before and after cultivation, the soil fragmentation rate of saline alkali land after cultivation is 95.15%.

3.4.2. The Investigation of Wheat Straw Fragmentation and Transport Patterns in Saline Soils

This article systematically explores the process of wheat straw fragmentation and burial at different simulation times from the perspectives of macroscopic burial and microscopic transport of wheat straw. As shown in Figure 18, the system displays the surface coverage of wheat straw before and after cultivation in saline alkali soil. From a macro perspective, as the simulation experiment progressed, wheat straw was crushed and buried in the Grid Bin 1, Grid Bin 2, and Grid Bin 3 areas under the combined action of L-shaped reclamation rotary blades and rotary-reclamation rotary blades. To further explore the transport law of wheat straw in the cultivation process, this article focuses on analyzing the distribution of wheat straw in the complex space of saline alkali soil under multiple time periods. As shown in Figure 19, at 1.5 s, wheat straw was orderly laid on the surface. With the simulation experiment, after the joint operation of L-shaped reclamation rotary blades and rotary-reclamation rotary blades, wheat straw continuously moved backward along the tangential direction of the circular motion of L-shaped reclamation rotary blades and rotary-reclamation rotary blades during the cultivation process. At the same time, the orderly burial of straw was achieved under the impact of saline alkali soil and fragmented soil cover plate. Figure 20 shows the spatial distribution of wheat straw in the scattered state of saline alkali soil after cultivation.
To further investigate the spatial distribution of wheat straw in soil after cultivation, this study used the burial rate of wheat straw as an evaluation index and systematically explored the spatial distribution of wheat straw in the Y-axis direction in Grid Bin 1, Grid Bin 2, and Grid Bin 3 areas. Due to the completion of straw burial operations in Grid Bin 1 and Grid Bin 2 areas by the rotary tiller at 4.8 s, the straw remained in a stable state in the soil. At 5.6 s, the straw burial operation in Grid Bin 3 area was completed. Therefore, this article focuses on exploring the spatial distribution pattern of wheat straw in the soil within this interval, as shown in Figure 21.
Due to the boundary of the particle factory, the wheat straw in Grid Bin 3 area cannot be fully filled. Therefore, this article focuses on analyzing the spatial distribution of wheat straw in saline alkali soil in Grid Bin 1 and Grid Bin 2 areas. Figure 21A shows the spatial distribution of wheat straw in the Y-axis direction in the Grid Bin 1 area. The overall distribution is between −450 mm and −650 mm but mainly concentrated in the −450 mm to −550 mm range. Among them, wheat straw accounts for 52.59% in the −450 mm to −500 mm soil space and 24.72% in the −500 mm to −550 mm soil space; Figure 21B shows the spatial distribution of wheat straw in the Y-axis direction in the Grid Bin 2 area. The spatial distribution pattern in the soil is similar to that in the Grid Bin 1 area, with an overall distribution between −450 mm and −650 mm, mainly concentrated between −450 mm and −550 mm. Among them, wheat straw accounts for 45.97% in the −450 mm to −500 mm soil space and 30.97% in the −500 mm to −550 mm soil space. Simulation experiments have shown that the designed L-shaped reclamation rotary blades and rotary-reclamation rotary blades can effectively improve the efficiency of wheat straw burials during the tillage process while ensuring soil fragmentation rate.

3.5. Single Factor Experimental Analysis

In order to analyze the influence of experimental factors such as the rotation speed of the L-shaped reclamation rotary blades, the rotation speed of the rotary-reclamation rotary blades, and the forward speed on the soil fragmentation and straw burial efficiency in saline alkali land during the discrete element simulation experiment, this paper conducted a single factor experiment. The range of values for the rotation speed of the L-shaped reclamation rotary blades was 270–330 r/min, the range of values for the rotation speed of the rotary-reclamation rotary blades was 300–360 r/min, and the range of values for the forward speed was 2–6 km/h. At the same time, to verify the performance of the dual axis rotary tiller, this paper conducted a comparative simulation test between the dual axis rotary tiller and the single axis rotary tiller using soil fragmentation rate and straw burial rate as evaluation indicators. The range of blade speed for the single axis rotary tiller was 270–360 r/min, equipped with IT245 rotary blades.
Set the forward speed of the L-shaped reclamation rotary blades and IT245 rotary tiller blade to 2 km/h, and the operating depth to 15 cm. As shown in Figure 22, the system investigated the influence of the rotation speed of the L-shaped reclamation rotary blades and IT245 rotary tillage blade on the soil fragmentation rate and straw cover rate in saline alkali land. As shown in Figure 22A, with the increase in blade shaft speed, the soil fragmentation rate of saline alkali land cultivated by L-shaped reclamation rotary blades and IT245 rotary tillage blades gradually increases, but the overall soil fragmentation performance of L-shaped reclamation rotary blades is better than that of IT245 rotary tillage blades. When the rotation speed of the blade shaft is 330 r/min, the coefficient of variation in soil fragmentation rate for L-shaped reclamation rotary blades and IT245 rotary tillage blades is the smallest. At this time, the corresponding soil fragmentation rates are 93.58% and 86.67%, respectively. The highest increase in soil fragmentation rate is 11.76% year-on-year. Discrete element comparison experiments show that the designed L-shaped reclamation rotary blades effectively improves the fragmentation efficiency of saline alkali soil. As shown in Figure 22B, with the increase in blade shaft speed, the straw burial rate of L-shaped reclamation rotary blades and IT245 rotary tillage blade after tillage showed a trend of first increasing and then decreasing. When the tillage blade speed was 300 r/min, the coefficient of variation in straw burial rate was the smallest, and the corresponding straw burial rates were 92.45% and 87.85%, respectively. The highest year-on-year increase in straw burial rate was 7.55%. Discrete element comparative experiments showed that L-shaped reclamation rotary blades can effectively improve the efficiency of straw crushing and burial in saline alkali land tillage.
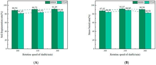
Set the forward speed of the rotary-reclamation rotary blades and IT245 rotary tiller blade to 2 km/h, and the operating depth to 15 cm. As shown in Figure 23, the system investigated the influence of the rotation speed of the rotary-reclamation rotary blades and IT245 rotary tillage blades on the soil fragmentation rate and straw cover rate in saline alkali land. As shown in Figure 23A, with the increase in blade shaft speed, the soil fragmentation rate after tillage by rotary-reclamation rotary blades and IT245 rotary tillage blades gradually increases. When the blade shaft speed is 330 r/min, the coefficient of variation in soil fragmentation rate after tillage by rotary-reclamation rotary blades is the smallest, corresponding to a soil fragmentation rate of 90.72%. When the blade shaft speed is 360 r/min, the coefficient of variation in soil fragmentation rate after tillage by IT245 rotary tillage blade is the smallest, corresponding to a soil fragmentation rate of 85.67%, and the highest year-on-year increase in soil fragmentation rate is 8.62%. As shown in Figure 23B, with the increase in blade shaft speed, the straw burial rate of rotary-reclamation rotary blades and IT245 rotary tillage blades after tillage showed a trend of first increasing and then decreasing. When the blade shaft speed was 330 r/min, the coefficient of variation in straw burial rate of rotary-reclamation rotary blades after tillage was the smallest, and the straw burial rate was 91.87%. When the blade shaft speed was 360 r/min, the coefficient of variation in straw the burial rate of IT245 rotary tillage blades after tillage was the smallest, and the straw burial rate was 82.82%. The highest year-on-year increase in straw burial rate was 9.74%. Discrete element comparison experiments showed that the straw crushing and burial performance of rotary-reclamation rotary blades in saline alkali land was better than that of IT245 rotary tillage blades.
For the double axis rotary tiller, set the rotation speed of the L-shaped reclamation rotary blades to 270 r/min and the operating depth to 15 cm, and the rotation speed of the rotary-reclamation rotary blades to 300 r/min and the operating depth to 18 cm; for the single axis rotary tiller, set the blade shaft speed to 270 r/min and the operating depth to 15 cm. As shown in Figure 24, the system investigated the influence of the forward speed of the rotary tiller on the soil fragmentation rate and straw burial rate in saline alkali soil. As shown in Figure 24A, with the increase in forward speed, the soil fragmentation rate of saline alkali land cultivated by dual axis rotary tiller and single axis rotary tiller gradually decreases. This is mainly due to the decrease in soil disturbance in the cultivated layer of saline alkali land caused by the increase in forward speed. When the forward speed is 2 km/h, the soil fragmentation rate of dual axis rotary tiller is the highest, with a value of 92.39%. When the forward speed is 4 km/h, the coefficient of variation in soil fragmentation rate of dual axis rotary tiller is the smallest, with a value of 90.72%. However, with the increase in forward speed, when the forward speed is 6 km/h, the soil fragmentation rate is 81.25%, with a maximum decrease of 12.06%. This is mainly due to severe soil compaction in saline alkali land, and the mismatch between forward speed and blade speed cannot be achieved in high-speed rotary tillage mode. Resulting in the complete fragmentation of saline alkali soil. When the forward speed is 2 km/h, the coefficient of variation in soil fragmentation rate of the single axis rotary tiller is the smallest, with a value of 88.36%. As the forward speed increases, when the forward speed is 6 km/h, the soil fragmentation rate is 78.68%. Simulation experiments show that in terms of soil fragmentation rate, with the increase in forward speed, the maximum increase in the double axis rotary tiller compared to the single axis rotary tiller is 6.14%, indicating that the double axis rotary tiller is more suitable for the preparation of saline alkali soil beds.
As shown in Figure 24B, with the increase in forward speed, the straw burial rate of saline alkali land cultivated by the dual axis rotary tiller shows a trend of first increasing and then decreasing. When the forward speed is 4 km/h, the coefficient of variation in straw burial rate is the smallest, and the straw burial rate is 91.53%. With the increase in forward speed, when the forward speed is 6 km/h, the straw burial rate is 80.15%. When the forward speed of the single axis rotary tiller is 4 km/h, the coefficient of variation in the straw burial rate is the smallest, and the straw burial rate is 83.57%. With the increase in the forward speed, when the forward speed is 6 km/h, the straw burial rate is 77.38%. Simulation experiments show that in terms of straw burial rate, the double axis rotary tiller increases by up to 9.52% compared to the single axis rotary tiller with the increase in the forward speed.

3.6. Optimization and Analysis of Multi Factor Experiments

Based on the analysis of single factor experiments, it was found that the rotation speed of the L-shaped reclamation rotary blades, the rotation speed of the rotary-reclamation rotary blades, and the forward speed of the dual axis rotary tiller seriously affect the soil fragmentation rate and straw burial rate of saline alkali land. As the tillage components and the dynamic model of saline alkali soil straw established in the previous section are not idealized models, the analyzed motion parameters of saline alkali soil and straw cannot fully reflect all the soil straw motion laws during the tillage process. Based on this, this paper takes the soil fragmentation rate Y1 and straw burial rate Y2 as experimental indicators, and conducts discrete element simulation experiments to optimize the operating parameters of the L-shaped reclamation rotary blades rotation speed X1, rotary-reclamation rotary blades rotation speed X2, and the forward speed X3 of the dual axis rotary tiller, in order to provide theoretical reference for parameter adjustment and index optimization in field tillage experiments. Due to the interactive effects of the rotation speed of the L-shaped reclamation rotary blades, the rotation speed of the rotary-reclamation rotary blades, and the forward speed during the tillage process, this paper adopts a three-factor three-level orthogonal combination experimental method to optimize and analyze the experimental indicators. The interaction between each experimental factor is systematically explored, and the experimental factor level coding table is shown in Table 8. Design experts are used to optimize and analyze the simulation test results, and the simulation test results are shown in Table 9.

3.6.1. Regression Model and Significance Test of Soil Fragmentation Rate

The variance analysis of soil fragmentation rate Y1 is shown in Table 10. For the soil fragmentation rate Y1 of saline alkali land, the order of the interaction effects between experimental factors and experimental factors is X3, X32, X2, X1, X12, X1X2, X22, X2X3, X1X3. Among them, the rotation speed of the L-shaped reclamation rotary blades X1, the rotation speed of the rotary-reclamation rotary blades X2, the forward speed X3, the quadratic term of the L-shaped reclamation rotary blades rotation speed X12, the quadratic term of the rotary-reclamation rotary blades rotation speed X22, the quadratic term of the forward speed X32, and the interaction term between the rotation speed of the L-shaped reclamation rotary blades and the rotation speed of the rotary-reclamation rotary blades X1X2 have a significant impact on soil fragmentation rate Y1 (p < 0.01). The interaction term between rotational speed and forward speed X2X3 have no significant effect on soil fragmentation rate Y1 (p > 0.1). In this study, the insignificant interaction term was removed and analyzed for variance. The regression equation of soil fragmentation rate Y1 was obtained, as shown in Equation (20).
Y 1 = 91.44 + 1.45 X 1 + 1.59 X 2 5.52 X 3 0.55 X 1 X 2 0.73 X 1 2 + 0.46 X 2 2 5.32 X 3 2
This article processed the experimental data using Design Expert 10 software and obtained the response surface analysis of the experimental factors of L-shaped reclamation rotary blades rotation speed X1, rotary-reclamation rotary blades rotation speed X2, and forward speed X3 on soil fragmentation rate Y1, as shown in Figure 25. When the forward speed of the dual axis rotary tiller is 4 km/h, the response surface of the interaction between the rotation speed of the L-shaped reclamation rotary blades and the rotation speed of the rotary tillage blade is shown in Figure 25A. When the rotation speed of the rotary-reclamation rotary blades is constant, the soil fragmentation rate of saline alkali land gradually increases with the increase in the rotation speed of the L-shaped reclamation rotary blades which is consistent with the results of single factor experiments. The optimal rotation speed of the L-shaped reclamation rotary blades is in the range of 270–330 r/min. The main reason is that when the rotation speed of the L-shaped tillage blade decreases, it cannot crush the soil straw aggregates in saline alkali land, directly leading to a downward trend in soil fragmentation rate. When the rotation speed of the L-shaped reclamation blade is constant, the soil fragmentation rate of saline alkali land gradually increases with the increase in the rotation speed of the rotary-reclamation rotary blades, which is consistent with the results of single factor experiments. The optimal rotation speed of the rotary-reclamation rotary blades is in the range of 300–360 r/min. The main reason is that with the increase in the rotation speed of the rotary-reclamation rotary blades, the disturbance intensity of the soil particles in saline alkali land is enhanced, and the secondary fragmentation ability of the soil is increased, thereby improving the soil fragmentation rate of saline alkali land. The main factor affecting the soil fragmentation rate of saline alkali land in the interaction between the rotation speed of the L-shaped reclamation rotary blades and the rotation speed of the rotary-reclamation rotary blades is the rotation speed of the rotary-reclamation rotary blades.
When the rotation speed of the rotary-reclamation rotary blades is 330 r/min, the response surface of the interaction between the rotation speed of the L-shaped reclamation rotary blades and the forward speed is shown in Figure 25B. When the forward speed is constant, the soil fragmentation rate of saline alkali land gradually increases with the increase in the rotation speed of the L-shaped reclamation rotary blades, which is consistent with the results of single factor experiments. The optimal rotation speed of the L-shaped reclamation rotary blades is in the range of 270–330 r/min. When the rotation speed of the L-shaped reclamation rotary blades is constant, the soil fragmentation rate of saline alkali land gradually decreases with the increase in forward speed, which is consistent with the results of single factor experiments. The optimal forward speed is within the range of 2–6 km/h. The main reason is that with the increase in forward speed, the operation time of the L-shaped reclamation rotary blades on the soil aggregates of saline alkali land is reduced, resulting in the inability of the soil aggregates of saline alkali land to achieve sufficient fragmentation, thereby reducing the soil fragmentation rate of saline alkali land. The main factor affecting the soil fragmentation rate of saline alkali land in the interaction between the rotation speed of the L-shaped reclamation rotary blades and forward speed is the forward speed.
When the rotation speed of the L-shaped reclamation rotary blades is 300 r/min, the response surface of the interaction between the rotation speed of the rotary-reclamation rotary blades and the forward speed is shown in Figure 25C. When the forward speed is constant, the soil fragmentation rate of saline alkali land gradually increases with the increase in the rotation speed of the rotary-reclamation rotary blades, which is consistent with the results of single factor experiments. The optimal rotation speed of the rotary-reclamation rotary blades is in the range of 300–360 r/min. When the rotation speed of the rotary-reclamation rotary blades is constant, the soil fragmentation rate of saline alkali land gradually decreases with the increase in forward speed, which is consistent with the results of single factor experiments. The optimal forward speed is within the range of 2–6 km/h. The main factor affecting the soil fragmentation rate of saline alkali land in the interaction between the rotation speed of the rotary-reclamation rotary blades and the forward speed is the forward speed.

3.6.2. Regression Model and Significance Test of Straw Burial Rate

The variance analysis of straw burial rate Y2 is shown in Table 11. For straw burial rate Y2, the order of the interaction effects between experimental factors is X3, X32, X1, X2, X12, X22, X1X2, X2X3, X1X3. Among them, the rotation speed of the L-shaped reclamation rotary blades X1, the rotation speed of the rotary-reclamation rotary blades X2, the forward speed X3, the quadratic term of the rotation speed of the L-shaped reclamation rotary blades X12, the quadratic term of the rotation speed of the rotary-reclamation rotary blades X22, and the quadratic term of the forward speed X32 have a significant impact on straw burial rate Y2 (p < 0.01). The interaction term X1X2 between the rotation speed of the L-shaped reclamation rotary blades and the rotation speed of the rotary-reclamation rotary blades has a significant impact on straw burial rate Y2 (0.01 < p<0.05). The interaction term X2X3 between the rotation speed of the rotary-reclamation rotary blades and the forward speed has a significant effect on the straw burial rate Y2 (0.05 < p<0.1), while the interaction term X1X3 between the speed of the rotation speed of the L-shaped reclamation rotary blades and the forward speed has no significant effect on the straw burial rate Y2 (p > 0.1), This article removes insignificant interaction terms and conducts variance analysis to obtain the regression equation of each experimental factor on the straw burial rate Y2, as shown in Equation (21).
Y 2 = 90.40 + 1.60 X 1 + 1.48 X 2 6.58 X 3 0.13 X 2 X 3 0.83 X 1 2 + 0.26 X 2 2 6.08 X 3 2
This article processed the experimental data using Design Expert 10 software and obtained the response surface analysis of the experimental factors of L-shaped reclamation rotary blades rotation speed X1, rotary-reclamation rotary blades rotation speed X2, and forward speed X3 on straw burial rate Y2, as shown in Figure 26. When the forward speed of the dual axis rotary tiller is 4 km/h, the response surface of the interaction between the rotation speed of the L-shaped reclamation rotary blades and the rotation speed of the rotary-reclamation rotary blades is shown in Figure 26A. When the rotation speed of the rotary-reclamation rotary blades is constant, the straw burial rate gradually increases with the increase in the rotation speed of the L-shaped reclamation rotary blades, which is consistent with the results of single factor experiments. The optimal speed is in the range of 270–330 r/min. The main reason is that when the rotation speed increases, the fragmentation rate of soil–straw aggregates in saline alkali land is improved, and straw burial is achieved under the action of the tangent and side cutting blades of the L-shaped reclamation rotary blades. When the rotation speed of the L-shaped reclamation rotary blades is constant, the straw burial rate gradually increases with the increase in the rotation speed of the rotary-reclamation rotary blades, which is consistent with the results of single factor experiments. The optimal speed is in the range of 300–360 r/min. The main reason is that with the increase in the rotation speed of the rotary-reclamation rotary blades, the residual wheat straw on the surface is crushed and buried again, further improving the straw burial rate. The main factor affecting the straw burial rate of saline alkali land in the interaction between the rotation speed of the L-shaped reclamation rotary blades and the rotation speed of the rotary-reclamation rotary blades is the speed of the rotary-reclamation rotary blades.
When the rotation speed of the rotary-reclamation rotary blades is 330 r/min, the response surface of the interaction between the rotation speed of the L-shaped reclamation rotary blades and the forward speed is shown in Figure 26B. When the forward speed is constant, the straw burial rate gradually increases with the increase in the rotation speed of the L-shaped reclamation rotary blades, which is consistent with the results of single factor experiments. The optimal speed is in the range of 270–330 r/min. When the rotation speed of the L-shaped reclamation rotary blades is constant, the straw burial rate gradually decreases with the increase in forward speed, which is consistent with the results of single factor experiments. The optimal forward speed is within the range of 2–6 km/h. The main reason is that with the increase in forward speed, the side cutting edge and tangent edge of the L-shaped reclamation rotary blades cannot fully break the saline alkali soil–straw aggregates, resulting in the inability of straw to enter the soil. The main factor affecting the straw burial rate of saline alkali land in the interaction between the rotation speed of the L-shaped reclamation rotary blades and forward speed is the forward speed.
When the rotation speed of the L-shaped reclamation rotary blades is 300 r/min, the response surface of the interaction between the rotation speed of the rotary-reclamation rotary blades and the forward speed is shown in Figure 26C. When the forward speed is constant, the straw burial rate gradually increases with the increase in the rotation speed of the rotary-reclamation rotary blades, which is consistent with the results of single factor experiments. The optimal speed is in the range of 300–360 r/min. When the rotation speed of the rotary-reclamation rotary blades is constant, the straw burial rate gradually decreases with the increase in the forward speed, which is consistent with the results of the single factor experiment. The optimal forward speed is within the range of 2–6 km/h. The main factor affecting the straw burial rate of saline alkali land in the interaction between the rotation speed of the rotary-reclamation rotary blades and the forward speed is the forward speed.

3.6.3. Parameter Optimization and Experimental Verification

In order to obtain the optimal parameter combination of each experimental factor, this paper aims to improve the soil fragmentation rate and straw burial rate during the cultivation process of saline alkali land. The boundary constraint functions, and parameterized models of each experimental factor were established, and the regression model of the experimental indicators was solved, analyzed and optimized using Design Expert 10 software, as shown in Equation (22).
max Y 1 ( X 1 , X 2 , X 3 ) max Y 2 ( X 1 , X 2 , X 3 ) 270 r / min X 1 330 r / min 300 r / min X 2 360 r / min 2 km / h X 3 6 km / h
By solving the regression model, the optimal working parameters of the dual axis rotary tiller were obtained as follows: the rotation speed of the L-shaped reclamation rotary blades was 295.04 r/min, the rotation speed of the rotary-reclamation rotary blades was 359.06 r/min, and the forward speed was 3.12 km/h. At this time, the theoretical soil fragmentation rate of saline alkali land was 94.67%, and the straw burial rate was 93.56%. To verify the accuracy of the model, this article imported the optimal working parameters of the dual axis rotary tiller into EDEM and conducted five repeated experiments under the same parameter settings. The average of the experimental results showed that the soil fragmentation rate of saline alkali land was 92.58%, and the straw burial rate was 94.75%. The soil fragmentation rate decreased by 2.21% compared to the theoretical value, and the straw burial rate increased by 1.27% compared to the theoretical value.

4. Field Experiment Verification and Analysis

4.1. Experimental Conditions and Equipment

The field performance test was conducted to verify the tillage performance of the dual axis rotary tiller. The field test was carried out on 15 July 2024 at the Saline alkali Land Agricultural Experimental Demonstration Base of The Agricultural High-Tech Industrial Demonstration Area of the Yellow River Delta. The test plot was a slightly viscous saline alkali soil with an average soil solidity of 1056.72 kPa, soil moisture content of 20.54%, wheat straw content of 523.56 g/m2, and an average stubble height of 95.63 mm. The experimental instruments mainly include Xuzhou Kaier 1804 wheeled tractor, saline alkali land dual axis rotary tiller, soil solidity detector (Zhejiang Topyun Agriculture Technology Co., Ltd., Hangzhou, China. accuracy ± 0.005% FS), meter ruler (specification: 10 m), depth caliper, soil sampling ring knife, etc.

4.2. Field Experimental Methods

The dual axis rotary tiller is connected to the Xuzhou Kail1804 wheeled tractor through a three-point suspension device. In order to ensure the accuracy of the test, the test stroke is divided, with each operation stroke length of 50 m, and the middle 30 m stroke is designated as the test area. To verify the tillage performance of the dual axis rotary tiller, this paper conducted field comparative experiments using a conventional rotary tiller (equipped with IT245 rotary tiller blade). According to NY/T499-2013 “Quality of Rotary Tillage Operation” [36] and GB/T5668-2017 “Test Methods for Rotary Tillage Machinery” [37], the focus was on testing the tillage depth, stability of tillage depth, soil fragmentation rate, straw coverage rate, and surface smoothness after operation of the dual axis rotary tiller and the single axis rotary tiller, as shown in Figure 27.
Take a test point every 2 m on the left and right sides along the direction of the rotary tiller, with a total of no less than 20 test points for each stroke. Calculate the average depth of the rotary tiller stroke using the equation.
a j = i = 1 n j a i j n j
where a j is the average depth of cultivation for the j working trip, mm; a i j is the cultivation depth at the i test point of the j working trip, mm; n j is the number of testing points for the j working trip.
Based on the calculation method of tillage depth, this article uses the stability coefficient of tillage depth of rotary tiller stroke to represent the stability of tillage depth. The calculation method is shown in Equation (24).
S j = i = 1 n j ( a i j a j ) 2 n j 1 U j = ( 1 S j a j )
where S j is the standard deviation of tillage depth for the j working trip, mm; U j is the stability of tillage depth for the j working trip, %.
After cultivation, randomly select 10 test areas of 0.5 m × 0.5 m, and divide them into three levels based on the size of the longest side of the soil block: the longest side is less than 4 cm, 4 cm~8 cm, and greater than 8 cm. In the test area, the soil fragmentation rate is calculated by the percentage of the mass of the longest side of the soil block less than 4 cm to the total mass of the soil block in the entire cultivated layer. The average value of the test results is taken, and the calculation method of soil fragmentation rate is shown in Equation (25).
E = m a m b × 100
where E is the soil fragmentation rate, %; m a is the longest edge of the soil block within the entire cultivated layer in the testing area is less than 4 cm in total weight, g; m b is the total mass of soil blocks in the entire cultivated layer within the testing area
Before cultivation, five test areas were selected using the five-point sampling method, each with an area of 1 m × 1 m. Surface vegetation was cut closely to the ground and weighed before and after cultivation with a rotary tiller. The average test result was taken, and the calculation method for straw burial rate is shown in Equation (26).
F b = W q W h W q × 100
where Fb is the straw burial rate, %; Wq is the average straw value within 1 m2 area before cultivation, g; Wh is the average straw value within 1 m2 area after cultivation, g.
Along the direction of the vertical rotary tiller, take a reference line parallel to the ground surface at the highest point in the cultivated area, measure a width of 5 m, and divide it into 10 equal parts on average. The distance from each equal point of the test reference line to the ground surface is calculated using Equation (27).
d j = i = 1 10 ( h i j h j ) 2 9
where dj is the flatness of the cultivated surface for the j working trip, mm; hj is the average length of the 10 equal perpendicular lines corresponding for the j working trip, mm; hij is the j working trip of rotary tiller corresponds to the length of the i-perpendicular line among the 10 equal perpendicular lines, mm.

4.3. Field Experiment Results

The results of the field performance comparison test are shown in Table 12. In terms of tillage depth, the average tillage depth of the double axis rotary tiller is 185.56 mm, and the average tillage depth of the single axis rotary tiller is 162.47 mm. In terms of plowing depth stability, the double axis rotary tiller has improved by 3.65% compared to the single axis rotary tiller. In terms of soil fragmentation rate, the double axis rotary tiller has increased by 10.68% compared to the single axis rotary tiller. In terms of straw burial rate, the double axis rotary tiller has increased by 18.83% compared to the single axis rotary tiller. In terms of surface smoothness, the double axis rotary tiller has improved by 50.67% compared to the single axis rotary tiller. Field experiments have shown that the developed dual axis layered soil breaking rotary tiller for saline alkali soil has better tillage performance than ordinary rotary tillers, meeting the requirements for preparing saline alkali soil beds.

5. Discussion

At present, measures for improving saline alkali land include agricultural technology measures, agricultural water conservancy measures, chemical improvement measures, and biological improvement measures. Physical improvement measures mainly improve soil structure, enhance soil permeability, reduce evaporation, and improve soil salt leaching efficiency through methods such as land leveling, surface coverage, and cultivation. The improvement measures for agricultural water conservancy are based on the basic principle of “salt comes with water, salt goes with water”, using freshwater leaching to remove soil salt, and then drainage measures to discharge the salt out of the soil and lower the groundwater level, reducing the accumulation of salt on the soil surface, in order to achieve the goal of improving saline alkali land. However, this method has a high cost. Chemical improvement measures can reduce or even eliminate these adverse effects and improve soil physical and chemical properties by using chemical amendments and organic fertilizers in the soil, but biological improvement measures improve soil physical and chemical properties and soil microclimate by introducing, screening, and planting salt tolerant plants, in order to reduce soil water evaporation and suppress soil salt return. However, this method has a long cycle and cannot quickly achieve the improvement of saline alkali land. This paper proposes a dual axis layered soil crushing and stubble removal machine, which can improve soil structure, enhance soil permeability, reduce evaporation, and improve soil salt leaching efficiency, improved the comprehensive management process of saline alkali land.
Field experiments have shown that the developed dual axis layered soil breaking rotary tiller for saline alkali soil has better tillage performance than ordinary rotary tillers, meeting the requirements for preparing saline alkali soil beds. In terms of tillage depth, the average tillage depth of the double axis rotary tiller is 185.56 mm, and the average tillage depth of the single axis rotary tiller is 162.47 mm. In terms of plowing depth stability, the double axis rotary tiller has improved by 3.65% compared to the single axis rotary tiller. In terms of soil fragmentation rate, the double axis rotary tiller has increased by 10.68% compared to the single axis rotary tiller. In terms of straw burial rate, the double axis rotary tiller has increased by 18.83% compared to the single axis rotary tiller. In terms of surface smoothness, the double axis rotary tiller has improved by 50.67% compared to the single axis rotary tiller. Field experiments have shown that the developed dual axis layered soil breaking rotary tiller for saline alkali soil has better tillage performance than ordinary rotary tillers, meeting the requirements for preparing saline alkali soil beds.
The results of the comparative analysis of economic and ecological benefits are shown in Table 13. For the production costs, the dual axis layered soil crushing and stubble removal machine saves 150 RMB in production costs compared to single axis rotary tiller. For the fuel consumption, the dual axis layered soil crushing and stubble removal machine saves 30 L in fuel consumption compared to single axis rotary tiller. For the maintenance costs, the dual axis layered soil crushing and stubble removal machine saves 30 RMB in maintenance costs compared to single axis rotary tiller.

6. Conclusions

The layered soil crushing rotary tillage machine with L-shaped reclamation rotary blades and rotary-reclamation rotary blades combination was designed to deal with the problems of low soil fragmentation rate, low straw mulching rate, and poor surface leveling after plowing in the traditional rotary tiller tillage mode in the coastal saline land of the Yellow River Delta, and dynamic analysis of tillage components and soil straw aggregates in saline alkali land was carried out. Based on the sliding cutting principle, the key structural parameters and spatial layout of L-shaped reclamation rotary blades and the rotary-reclamation rotary blades were determined. Combined with kinematic analysis, the rotation speed range of L-shaped reclamation rotary blades was determined to be 270–330 r/min, the rotation speed range of the rotary-reclamation rotary blades was determined to be 300–360 r/min, and the forward speed range was determined to be 2–6 km/h. The discrete element model of soil straw tillage component aggregates in saline alkali land was established. The soil layer displacement performance and straw burial performance of the dual axis layered soil breaking rotary tiller were verified through discrete element simulation experiments. Combined with experimental optimization analysis, the optimal working parameters were obtained as follows: the rotation speed of the L-shaped reclamation rotary blades was 295.04 r/min, the rotation speed of the rotary-reclamation rotary blades was 359.06 r/min, and the forward speed was 3.12 km/h. At this time, the theoretical soil fragmentation rate of saline alkali land was 94.67%, and the straw burial rate was 93.56%.
In order to verify the field performance of the dual axis rotary tiller, this paper conducted a field comparative experiment systematically. The field comparative experiments have shown that, the double axis rotary tiller has improved by 3.65% compared to the single axis rotary tiller for the plowing depth stability; the double axis rotary tiller has increased by 10.68% compared to the single axis rotary tiller for the soil fragmentation rate; the double axis rotary tiller has increased by 18.83% compared to the single axis rotary tiller for the straw burial rate; and the double axis rotary tiller has improved by 50.67% compared to the single axis rotary tiller for the surface smoothness.

Author Contributions

Conceptualization, Z.Z. and J.H.; methodology, Z.Z.; software, Z.Z.; validation, Z.Z., H.Y. and P.G.; formal analysis, Z.Z. and C.X.; investigation, Z.Z.; resources, Z.Z.; data curation, C.X.; writing—original draft preparation, Z.Z.; writing—review and editing, Z.Z. and J.H.; visualization, Z.Z.; supervision, Z.Z.; project administration, D.W.; funding acquisition, D.W. All authors have read and agreed to the published version of the manuscript.

Funding

This research was funded by the Key R&D Program of Shandong Province (Science and Technology Demonstration Project)—(Grant NO: 2024SFGC0405); the National Key Research and Development Program (Grant NO: 2022YFD2300101); the Shandong Province Key R&D Program (Major Science and Technology Innovation Project) Project (Grant NO: 2021CXGC010813) and saline land tillage mechanization equipment research and development, manufacturing, and popularization of application (Grant NO: NJYTHSD-202314).

Institutional Review Board Statement

Not applicable.

Data Availability Statement

The data presented in this study are available on request from the corresponding author.

Conflicts of Interest

The authors declare no conflicts of interest.

References

  1. Wang, B.; Dou, W.J.; Chen, J.; Chen, J.W.; Lai, J.B. Characteristics of Spatial-temporal Dynamics of Soil Salinity in the Yellow River Delta and Zoning and High Quality Utilization of Saline Soil. Hsien Tai Ti Chih. 2024, 70, 1000–8527. [Google Scholar]
  2. Zheng, S.; Lu, T.; Liu, J.; Tian, Y.; Han, M.; Tai, M.; Gao, S.; Liu, T.; Wang, D.; Zhao, Z. Discrete Element-Based Design of a High-Speed Rotary Tiller for Saline-Alkali Land and Verification of Optimal Tillage Parameters. Agriculture 2025, 15, 269. [Google Scholar] [CrossRef]
  3. Liu, J.; Lu, T.; Zheng, S.; Tian, Y.; Han, M.; Tai, M.; He, X.; Li, H.; Wang, D.; Zhao, Z. Parameter Calibration Method for Discrete Element Simulation of Soil–Wheat Crop Residues in Saline–Alkali Coastal Land. Agriculture 2025, 15, 129. [Google Scholar] [CrossRef]
  4. Zhu, W.; Gu, S.; Jiang, R.; Zhang, X.; Hatano, R. Saline–Alkali Soil Reclamation Contributes to Soil Health Improvement in China. Agriculture 2024, 14, 1210. [Google Scholar] [CrossRef]
  5. Du, Y.Q.; Liu, X.F.; Zhang, L.; Zhou, W. Drip irrigation in agricultural saline-alkali land controls soil salinity and improves crop yield: Evidence from a global meta-analysis. Sci. Total Environ. 2023, 880, 163226. [Google Scholar] [CrossRef] [PubMed]
  6. Zhang, Y.T.; Hou, K.; Qian, H.; Gao, Y.Y.; Xiao, S.; Tang, S.Q.; Zhang, Q.Y.; Qu, W.G.; Ren, W.H. Characterization of soil salinization and its driving factors in a typical irrigation area of Northwest China. Sci. Total Environ. 2022, 837, 155808. [Google Scholar] [CrossRef] [PubMed]
  7. Wang, D.W.; Lu, T.; Zhao, Z.; Shang, S.Q.; Zheng, S.; Liu, J. Calibration of Discrete Element Simulation Parameters for Cultivated Soil Layer in Coastal Saline Alkali Soil. Trans. Chin. Soc. Agric. Mach. 2024, 55, 240–249. [Google Scholar]
  8. Mustafa, U.; John, M.F.; Chris, S. 3D DEM tillage simulation: Validation of a hysteretic spring (plastic) contact model for a sweep tool operating in a cohesionless soil. Soil Tillage Res. 2014, 144, 220–227. [Google Scholar]
  9. Zhang, X.Y.; Yu, S.Y.; Hu, X.; Zhang, L.X. Study on rotary tillage cutting simulations and energy consumption predictions of sandy ground soil in a Xinjiang cotton field. Comput. Electron. Agric. 2024, 217, 108646. [Google Scholar] [CrossRef]
  10. Lin, J.X.; Liao, Q.X.; Wang, X.F.; Kang, Y.; Du, W.B.; Zhang, Q.S. Exploring straw movement through the simulation of shoveL-shaped seedbed preparation machine-straw-soil interaction using the DEM-MBD coupling method. Comput. Electron. Agric. 2024, 226, 109465. [Google Scholar] [CrossRef]
  11. Zhao, Z.; Wang, D.; Shang, S.; Hou, J.; He, X.; Gao, Z.; Xu, N.; Chang, Z.; Guo, P.; Zheng, X. Analysis of Cyperus esculentus–Soil Dynamic Behavior during Rotary Tillage Based on Discrete Element Method. Agriculture 2023, 13, 358. [Google Scholar] [CrossRef]
  12. Zhang, C.L.; Xia, J.F.; Zhang, J.M.; Zhou, H.; Zhu, Y.H.; Wang, J.W. Design and experiment of knife roller for six-head spiral straw returning cultivator. Trans. Chin. Soc. Agric. Mach. 2019, 50, 25–34. [Google Scholar]
  13. Zheng, K.; He, J.; Li, H.W.; Zhao, H.B.; Hu, H.N.; Liu, W.Z. Design and testing of a counter-rotating deep pine combine tiller. Trans. Chin. Soc. Agric. Mach. 2017, 48, 61–71. [Google Scholar]
  14. Liu, G.Y.; Zheng, K.; Xia, J.F.; Cheng, J.; Liu, Z.Y.; Wei, Y.S.; Zhang, B.H.; Zhang, P. Research on an intelligent vibration detachment system for rotary tiller based on soil surface roughness dynamic characteristics. Comput. Electron. Agric. 2024, 224, 109214. [Google Scholar] [CrossRef]
  15. Du, J.; Heng, Y.; Zheng, K.; Luo, C.; Zhu, Y.; Zhang, J.; Xia, J. Investigation of the burial and mixing performance of a rotary tiller using discrete element method. Soil Tillage Res. 2022, 220, 105349. [Google Scholar] [CrossRef]
  16. Lee, K.S.; Park, S.H.; Park, W.Y.; Lee, C.S. Strip tillage characteristics of rotary tiller blades for use in a dryland direct rice seeder. Soil Tillage Res. 2003, 71, 25–32. [Google Scholar] [CrossRef]
  17. Zhao, P.F.; Gao, X.J.; Ju, X.T.; Yang, P.K.; Song, Q.B.; Huang, Y.X.; Zheng, Z.Q. Optimization of the front-mounted fertilizer pipe strip rotary tillage device by modeling the wide-seedbed characteristics and power consumption. Comput. Electron. Agric. 2024, 227 Pt 2, 109624. [Google Scholar] [CrossRef]
  18. Matin, M.A.; Hossain, M.I.; Gathala, M.K.; Timsina, J.; Krupnik, T.J. Optimal design and setting of rotary strip-tiller blades to intensify dry season cropping in Asian wet clay soil conditions. Soil Tillage Res. 2021, 207, 104854. [Google Scholar] [CrossRef] [PubMed]
  19. Wu, P.; Chen, Y. Discrete element modelling of the effect of disc angle and tilt angle on residue incorporation resulting from a concave disc. Comput. Electron. Agric. 2024, 224, 109222. [Google Scholar] [CrossRef]
  20. Patidar, P.; Soni, P.; Jain, A.; Mahore, V. Modelling soil-rotor blade interaction of vertical axis rotary tiller using discrete element method (DEM). J. Terramech. 2024, 112, 59–68. [Google Scholar] [CrossRef]
  21. Zheng, Y.B.; Zhang, F.B.; Luo, Z.T.; Zheng, E.L.; Han, L.; Qian, J.; Yao, H.P.; Shi, Y.Y.; Wang, X.C. Design and optimization of volute directing plate and stubble board for enhancing liquidity and anticlogging of tillering straw in spreading operation. Powder Technol. 2024, 448, 120288. [Google Scholar] [CrossRef]
  22. Zhu, D.Q.; Shi, M.H.; Yu, C.Y.; Yu, Z.Y.; Kuang, F.M.; Xiong, W.; Xue, K. Tool-straw-paddy soil coupling model of mechanical rotary-tillage process based on DEM-FEM. Comput. Electron. Agric. 2023, 215, 108410. [Google Scholar] [CrossRef]
  23. Zhou, H.; Zhang, C.L.; Zhang, W.L.; Yang, Q.J.; Li, D.; Liu, Z.Y.; Xia, J.F. Evaluation of straw spatial distribution after straw incorporation into soil for different tillage tools. Soil Tillage Res. 2020, 196, 104440. [Google Scholar] [CrossRef]
  24. Xu, G.M.; Ding, Q.S.; Wang, X.C.; Liang, L.; He, R.Y.; Chen, X.X. Analysis of Straw Displacement and Burying Effect in Straw-Soil-Rotary Tiller Interaction. Trans. Chin. Soc. Agric. Mach. 2022, 53, 23–29. [Google Scholar]
  25. He, R.Y.; Duan, Q.F.; Chen, X.X.; Xu, G.M.; Ding, Q.S. DEM analysis of spatial distribution quality of rotary tillage straw returning. Trans. Chin. Soc. Agric. Mach. 2022, 53, 44–53. [Google Scholar]
  26. Liao, Q.X.; Xie, H.M.; Zhang, Q.S.; Zhang, J.Q.; Ao, Q.; Wang, L. Design and Experiment of Driven Disc Plow and Double Tillage Combined Tiller. Trans. Chin. Soc. Agric. Mach. 2023, 54, 99–110+195. [Google Scholar]
  27. Wang, J.W.; Wang, Q.; Tang, H.; Zhou, W.Q.; Duo, T.Y.; Zhao, Y. Design and Experiment of Rice Straw Deep Buried and Whole Straw Returning Device. Trans. Chin. Soc. Agric. Mach. 2015, 46, 112–117. [Google Scholar]
  28. Zhao, Z.; Wang, D.W.; Shang, S.Q.; Guo, P.; Gao, Z.H.; Xia, C.; Yan, H.P.; Hou, J.L. Design and test of a dual-axis layered rotary tillage stubble exterminator in saline-alkali land based on discrete elements. Int. J. Agric. Biol. Eng. 2024, 17, 163–175. [Google Scholar] [CrossRef]
  29. Guan, C.S. Basic Research on the Layered Tillage Technology by Biaxial Rotary Tillage Component for Vegetable Bed Former. Ph.D. Thesis, Jiangsu University, Zhenjiang, China, 2021. [Google Scholar]
  30. Guo, J.; Ji, C.Y.; Fang, H.M.; Zhang, Q.Y.; Hua, F.L.; Zhang, C. Experimental analysis of soil and straw displacement after forward and reverse rotational tillage. Trans. Chin. Soc. Agric. Mach. 2016, 47, 21–26. [Google Scholar]
  31. Fang, H.M. Study on the Mechanism of Straw-Soil-Rototiller Interaction Based on the Discrete Element Method. Ph.D. Thesis, Nanjing Agricultural University, Nanjing, China, 2016. [Google Scholar]
  32. Zhang, Y.; Liu, J.; Yuan, W.; Zhang, R.; Xi, X. Multiple Leveling for Paddy Field Preparation with Double Axis Rotary Tillage Accelerates Rice Growth and Economic Benefits. Agriculture 2021, 11, 1223. [Google Scholar] [CrossRef]
  33. Cheng, J.; Xia, J.F.; Zheng, K.; Liu, G.Y.; Wei, Y.S.; Liu, Z.Y.; Li, P.L.; Liu, H.P. Construction and analysis of a discrete element model for calculating friction resistance of the typical rotary blades. Comput. Electron. Agric. 2023, 214, 108303. [Google Scholar] [CrossRef]
  34. Jan, D.P.; Gemmina, D.E.; Daniel, V.F.R.; Adam, B.; Wim, M.C. Calibration of DEM material parameters to simulate stress-strain behavior of unsaturated soils during uniaxial compression. Soil Tillage Res. 2019, 194, 104303–104312. [Google Scholar]
  35. Zhang, J. Research on Energy-Saving Technology of Down-Cut Deep-Rotary-Tillage Rotary Tiller. Ph.D. Thesis, Nanjing Institute of Agricultural Mechanization, Ministry of Agriculture and Rural Affairs, Nanjing, China, 2021. [Google Scholar]
  36. NY/T499-2013; Quality of Rotary Tillage Operation. National Agricultural Machinery Standardization Technical Committee: Beijing, China, 2013.
  37. GB/T5668-2017; Test Methods for Rotary Tillage Machinery. National Agricultural Machinery Standardization Technical Committee: Beijing, China, 2017.
Figure 1. Dual axis layered soil crushing and stubble removal machine for saline alkali land.
Figure 1. Dual axis layered soil crushing and stubble removal machine for saline alkali land.
Agriculture 15 00337 g001
Figure 2. The working principle of the machine.
Figure 2. The working principle of the machine.
Agriculture 15 00337 g002
Figure 3. Analysis of the dynamic characteristics of L-shaped reclamation rotary blades.
Figure 3. Analysis of the dynamic characteristics of L-shaped reclamation rotary blades.
Agriculture 15 00337 g003
Figure 4. Analysis of the fragmentation process of soil–straw aggregates in saline alkali land.
Figure 4. Analysis of the fragmentation process of soil–straw aggregates in saline alkali land.
Agriculture 15 00337 g004
Figure 5. Dynamics analysis of wheat straw.
Figure 5. Dynamics analysis of wheat straw.
Agriculture 15 00337 g005
Figure 6. Schematic diagram of the relative spatial position of the cutter shaft where L is the Horizontal spacing between two blade axes, mm.
Figure 6. Schematic diagram of the relative spatial position of the cutter shaft where L is the Horizontal spacing between two blade axes, mm.
Agriculture 15 00337 g006
Figure 7. Discrete element model of saline alkali soil.
Figure 7. Discrete element model of saline alkali soil.
Agriculture 15 00337 g007
Figure 8. Discrete element model of wheat straw.
Figure 8. Discrete element model of wheat straw.
Agriculture 15 00337 g008
Figure 9. Discrete element model for soil–wheat straw aggregate.
Figure 9. Discrete element model for soil–wheat straw aggregate.
Agriculture 15 00337 g009
Figure 10. Discrete element simulation experiment on the fragmentation and transport law of saline alkali soil. (A) is the simulation test state at the moment of 2.8 s; (B) is the simulation test state at the moment of 3.0 s.
Figure 10. Discrete element simulation experiment on the fragmentation and transport law of saline alkali soil. (A) is the simulation test state at the moment of 2.8 s; (B) is the simulation test state at the moment of 3.0 s.
Agriculture 15 00337 g010
Figure 11. Discrete element simulation experiment on the Y-axis transport and distribution law of deep soil in saline alkali land. (A) is the simulation test state at the moment of 2.7 s; (B) is the simulation test state at the moment of 2.8 s; (C) is the simulation test state at the moment of 3.0 s; (D) is the simulation test state at the moment of 3.9 s.
Figure 11. Discrete element simulation experiment on the Y-axis transport and distribution law of deep soil in saline alkali land. (A) is the simulation test state at the moment of 2.7 s; (B) is the simulation test state at the moment of 2.8 s; (C) is the simulation test state at the moment of 3.0 s; (D) is the simulation test state at the moment of 3.9 s.
Agriculture 15 00337 g011
Figure 12. Comparative experiment on the migration and distribution patterns of soil in the X and Y directions in Q4 area. (A) is the distribution status of soil particles in Q4 area before cultivation; (B) is the distribution status of soil particles in Q4 area after cultivation.
Figure 12. Comparative experiment on the migration and distribution patterns of soil in the X and Y directions in Q4 area. (A) is the distribution status of soil particles in Q4 area before cultivation; (B) is the distribution status of soil particles in Q4 area after cultivation.
Agriculture 15 00337 g012
Figure 13. Dynamic process of soil fragmentation in the deep layers of saline alkali land in Q4 area during cultivation. (A) is the variation pattern of soil particle bond broken number; (B) is the variation pattern of soil particle bond intact number. A–B represents the formation stage of soil aggregates in the saline alkali soil in Q4 region; B–C represents the individual operation stage of L-shaped reclamation rotary blades; C–D represents the joint operation stage of L-shaped reclamation rotary blades and rotary-reclamation rotary blades; D–E represents the joint operation stage of L-shaped reclamation rotary blades and rotary-reclamation rotary blades; E–F represents the post cultivation stage in Q4 region.
Figure 13. Dynamic process of soil fragmentation in the deep layers of saline alkali land in Q4 area during cultivation. (A) is the variation pattern of soil particle bond broken number; (B) is the variation pattern of soil particle bond intact number. A–B represents the formation stage of soil aggregates in the saline alkali soil in Q4 region; B–C represents the individual operation stage of L-shaped reclamation rotary blades; C–D represents the joint operation stage of L-shaped reclamation rotary blades and rotary-reclamation rotary blades; D–E represents the joint operation stage of L-shaped reclamation rotary blades and rotary-reclamation rotary blades; E–F represents the post cultivation stage in Q4 region.
Agriculture 15 00337 g013
Figure 14. Discrete element simulation experiment on the X and Z axis transport and distribution laws of deep soil in saline alkali land.
Figure 14. Discrete element simulation experiment on the X and Z axis transport and distribution laws of deep soil in saline alkali land.
Agriculture 15 00337 g014
Figure 15. Comparative experiment on the migration and distribution patterns of soil in the X and Z directions in L1 area. (A) is the distribution status of soil particles in L1 area before cultivation; (B) is the distribution status of soil particles in L1 area after cultivation.
Figure 15. Comparative experiment on the migration and distribution patterns of soil in the X and Z directions in L1 area. (A) is the distribution status of soil particles in L1 area before cultivation; (B) is the distribution status of soil particles in L1 area after cultivation.
Agriculture 15 00337 g015
Figure 16. Comparative experiment on the migration and distribution patterns of soil in the X and Z directions in L2 area. (A) is the distribution status of soil particles in L2 area before cultivation; (B) is the distribution status of soil particles in L2 area after cultivation.
Figure 16. Comparative experiment on the migration and distribution patterns of soil in the X and Z directions in L2 area. (A) is the distribution status of soil particles in L2 area before cultivation; (B) is the distribution status of soil particles in L2 area after cultivation.
Agriculture 15 00337 g016
Figure 17. Comparative experiment on the migration and distribution patterns of soil in the X and Z directions in L3 area. (A) is the distribution status of soil particles in L3 area before cultivation; (B) is the distribution status of soil particles in L3 area after cultivation.
Figure 17. Comparative experiment on the migration and distribution patterns of soil in the X and Z directions in L3 area. (A) is the distribution status of soil particles in L3 area before cultivation; (B) is the distribution status of soil particles in L3 area after cultivation.
Agriculture 15 00337 g017
Figure 18. Comparative experiment of wheat straw burial under macroscopic conditions.
Figure 18. Comparative experiment of wheat straw burial under macroscopic conditions.
Agriculture 15 00337 g018
Figure 19. Spatial distribution status of wheat straw before discrete element simulation experiment.
Figure 19. Spatial distribution status of wheat straw before discrete element simulation experiment.
Agriculture 15 00337 g019
Figure 20. Spatial distribution status of wheat straw after discrete element simulation experiment.
Figure 20. Spatial distribution status of wheat straw after discrete element simulation experiment.
Agriculture 15 00337 g020
Figure 21. Distribution status of wheat straw in saline alkali soil space after cultivation. (A) is the distribution status of wheat straw in Grid Bin 1 area after cultivation; (B) is the distribution status of wheat straw in Grid Bin 2 area after cultivation.
Figure 21. Distribution status of wheat straw in saline alkali soil space after cultivation. (A) is the distribution status of wheat straw in Grid Bin 1 area after cultivation; (B) is the distribution status of wheat straw in Grid Bin 2 area after cultivation.
Agriculture 15 00337 g021
Figure 22. The influence of the rotation speed of LRRB and IT245 knife shaft on soil fragmentation rate and straw burial rate. (A) is the influence of the rotation speed of LRRB and IT245 knife shaft on soil fragmentation rate; (B) is the influence of the rotation speed of LRRB and IT245 knife shaft on straw burial rate.
Figure 22. The influence of the rotation speed of LRRB and IT245 knife shaft on soil fragmentation rate and straw burial rate. (A) is the influence of the rotation speed of LRRB and IT245 knife shaft on soil fragmentation rate; (B) is the influence of the rotation speed of LRRB and IT245 knife shaft on straw burial rate.
Agriculture 15 00337 g022
Figure 23. The influence of the rotation speed of RRRB and IT245 knife shaft on soil fragmentation rate and straw burial rate. (A) is the influence of the rotation speed of RRRB and IT245 knife shaft on soil fragmentation rate; (B) is the influence of the rotation speed of RRRB and IT245 knife shaft on straw burial rate.
Figure 23. The influence of the rotation speed of RRRB and IT245 knife shaft on soil fragmentation rate and straw burial rate. (A) is the influence of the rotation speed of RRRB and IT245 knife shaft on soil fragmentation rate; (B) is the influence of the rotation speed of RRRB and IT245 knife shaft on straw burial rate.
Agriculture 15 00337 g023
Figure 24. The influence of the forward speed of double axis layered rotary tiller and single axis rotary tiller on soil fragmentation rate and straw burial rate. (A) is the influence of the forward speed of double axis layered rotary tiller and single axis rotary tiller on soil fragmentation rate; (B) is the influence of the forward speed of double axis layered rotary tiller and single axis rotary tiller on straw burial rate.
Figure 24. The influence of the forward speed of double axis layered rotary tiller and single axis rotary tiller on soil fragmentation rate and straw burial rate. (A) is the influence of the forward speed of double axis layered rotary tiller and single axis rotary tiller on soil fragmentation rate; (B) is the influence of the forward speed of double axis layered rotary tiller and single axis rotary tiller on straw burial rate.
Agriculture 15 00337 g024
Figure 25. Response surface analysis of soil fragmentation rate to various experimental factors. (A) is the response surface analysis of soil fragmentation rate to the rotation speed of RRRB and rotation speed of LRRB; (B) is the response surface analysis of soil fragmentation rate to the rotation speed of LRRB and forward speed; (C) is the response surface analysis of soil fragmentation rate to the rotation speed of RRRB and forward speed.
Figure 25. Response surface analysis of soil fragmentation rate to various experimental factors. (A) is the response surface analysis of soil fragmentation rate to the rotation speed of RRRB and rotation speed of LRRB; (B) is the response surface analysis of soil fragmentation rate to the rotation speed of LRRB and forward speed; (C) is the response surface analysis of soil fragmentation rate to the rotation speed of RRRB and forward speed.
Agriculture 15 00337 g025
Figure 26. Response surface analysis of straw burial rate to various experimental factors. (A) is the response surface analysis of straw burial rate to the rotation speed of RRRB and rotation speed of LRRB; (B) is the response surface analysis of straw burial rate to the rotation speed of LRRB and forward speed; (C) is the response surface analysis of straw burial rate to the rotation speed of RRRB and forward speed.
Figure 26. Response surface analysis of straw burial rate to various experimental factors. (A) is the response surface analysis of straw burial rate to the rotation speed of RRRB and rotation speed of LRRB; (B) is the response surface analysis of straw burial rate to the rotation speed of LRRB and forward speed; (C) is the response surface analysis of straw burial rate to the rotation speed of RRRB and forward speed.
Agriculture 15 00337 g026
Figure 27. Field performance verification test where (A) is the dual axis layered soil crushing and stubble removal machine for saline alkali land and the red box shows the field trial area; (B) is the single axis rotary tiller and the red box shows the field trial area.
Figure 27. Field performance verification test where (A) is the dual axis layered soil crushing and stubble removal machine for saline alkali land and the red box shows the field trial area; (B) is the single axis rotary tiller and the red box shows the field trial area.
Agriculture 15 00337 g027
Table 1. The main technical parameters of the machine.
Table 1. The main technical parameters of the machine.
ParametersValues
Dimension (L × W × H)/(mm)2200 × 2600 × 1200
Working width/(mm)2500
Working depth/(mm)0~200
Forward speed/(km/h)2~6
The rotation speed of the L-shaped reclamation rotary blades/(r/min)270~330
The rotation speed of the rotary-reclamation rotary blades/(r/min)300~360
Tractor power/(kW)≥110
Table 2. Measurement results of sliding friction angle between saline alkali soil and wheat straw.
Table 2. Measurement results of sliding friction angle between saline alkali soil and wheat straw.
Test Depth/mmMaterial StatusMoisture Content of Wheat Straw/%Moisture Content of Soil/%Sliding Friction Angle/°
0~86straw8.52/27.62
−50~0straw + soil11.4718.6725.64
−100~−50straw + soil13.2320.4126.83
−150~−100soil/21.5329.65
−200~−150soil/22.7531.21
Table 3. Basic physical parameters of saline soils under different tillage layers.
Table 3. Basic physical parameters of saline soils under different tillage layers.
Soil Depth (mm)Soil Density (g/cm3)Soil Moisture Content (%)Soil Firmness (kPa)
0~1001.5617.27895.45
100~1501.7516.48925.37
150~2001.8118.251053.58
Table 4. Soil discrete element model parameters.
Table 4. Soil discrete element model parameters.
ParametersValues
Soil Poisson’s ratio0.41
Shear modulus of soil /Pa2.3 × 106
Coefficient of recovery of soil particles0.59
Coefficient of static friction of soil particles0.55
Coefficient of rolling friction of soil particles0.13
Soil particle bonding radius/mm5.2
Critical tangential stress of soil particles/Pa2.0 × 105
Critical normal stress of soil particles/Pa3.0 × 105
Soil particle tangential bond stiffness/N·m−13.5 × 106
Table 5. Size distribution and mass proportion of wheat straw within 1 m2.
Table 5. Size distribution and mass proportion of wheat straw within 1 m2.
Type of StrawRange of Straw Length (mm)Average Straw Length (mm)Long Axis Diameter (mm)Short Axis Diameter (mm)Straw Quality (g)
A150~200157.616.812.534.57
B100~150123.518.513.772.86
C50~10074.816.311.4137.54
D0~5048.56.54.2245.63
Table 6. Wheat straw discrete element model parameters.
Table 6. Wheat straw discrete element model parameters.
ParametersValues
Wheat straw density /kg·m−3235
Wheat straw Poisson’s ratio0.39
Shear modulus of wheat straw /Pa1.0 × 105
Coefficient of recovery of wheat straw0.43
Coefficient of static friction of wheat straw0.11
Coefficient of rolling friction of wheat straw0.05
Wheat straw particle bonding radius/mm3.5
Critical tangential stress of wheat straw /Pa6.0 × 105
Critical normal stress of wheat straw /Pa4.0 × 105
Wheat straw particle tangential bond stiffness/N·m−15.5 × 106
Wheat straw particle normal bond stiffness/N·m−14.3 × 106
Table 7. Rotary tillage knife–soil contact parameters.
Table 7. Rotary tillage knife–soil contact parameters.
ParametersValues
Rotary tillage knife density/kg·m−37801
Rotary tillage knife shear modulus /Pa7.97 × 1010
Poisson’s ratio of the rotary tillage knife0.3
Rotary tillage knife–soil recovery coefficient0.64
Rotary tillage knife–soil static friction coefficient0.18
Rotary tillage knife–soil rolling friction coefficient0.57
Recovery coefficient of soil–straw0.13
Static friction coefficient of soil–straw0.46
Rolling friction of soil–straw0.01
Rotary tillage knife–straw recovery coefficient0.58
Rotary tillage knife–straw static friction factor0.37
Coefficient of rolling friction rotary tillage knife–rotary tillage knife0.02
Table 8. Coding and level of simulation test factors.
Table 8. Coding and level of simulation test factors.
Factor CodingX1X2X3
−12703002
03003304
13303606
Table 9. Results of simulation test.
Table 9. Results of simulation test.
No.Test FactorsEvaluation Indicator
X1X2X3Y1Y2
1270300487.5786.47
2330300491.4790.21
3270360491.9789.85
4330360493.6892.78
5270330289.3688.65
6330330292.2491.58
7270330678.4275.26
8330330681.5478.47
9300300290.5789.52
10300360293.8592.72
11300300679.5476.69
12300360682.3779.38
13300330491.2590.58
14300330491.8990.47
15300330491.1790.36
16300330491.3490.24
17300330491.5690.37
Table 10. Soil fragmentation rate analysis of variance.
Table 10. Soil fragmentation rate analysis of variance.
SourceSum of SquaresFreedomMean SquareFp-Value
Model405.59945.07656.17<0.0001 ***
X116.85116.85245.33<0.0001 ***
X220.22120.22294.48<0.0001 ***
X3243.651243.653547.69<0.0001 ***
X1X21.2011.2017.460.0041 **
X1X30.01410.0140.210.6609
X2X30.05110.0510.740.4190
X122.2512.2532.760.0007 ***
X220.9010.9013.060.0086 ***
X32119.211119.211735.79<0.0001 ***
Residual0.1430.0480.580.6612
Lack of Fit0.3440.084
Pure Error406.0716
Note: 0.01 < p < 0.05 (significant, **); p < 0.01 (highly significant, ***).
Table 11. Straw burial rate analysis of variance.
Table 11. Straw burial rate analysis of variance.
SourceSum of SquaresFreedomMean SquareFp-Value
Model546.47960.723712.27<0.0001 ***
X120.51120.511254.06<0.0001 ***
X217.52117.521071.33<0.0001 ***
X3346.771346.7721,200.60<0.0001 ***
X1X20.1610.1610.030.0158 **
X1X30.02010.0201.200.3099
X2X30.06510.0653.980.0864 *
X122.9112.91178.19<0.0001 ***
X220.2710.2716.800.0046 ***
X32155.751155.759522.28<0.0001 ***
Residual0.04930.0161.000.4777
Lack of Fit0.06540.016
Pure Error546.5916
Note: 0.05 < p < 0.1 (quite significant, *); 0.01 < p < 0.05 (significant, **); p < 0.01 (highly significant, ***).
Table 12. Field trial results.
Table 12. Field trial results.
Experimental IndicatorsDual Axis Layered Soil Crushing and Stubble Removal MachineSingle Axis Rotary Tiller
Average working depth/mm185.56162.47
Stability coefficient of tillage depth/%95.6492.27
Soil fragmentation rate/%94.3785.26
Straw burial rate/%95.6880.52
Flatness of the cultivated surface/mm25.8252.34
Table 13. Comparative analysis of economic and ecological benefits.
Table 13. Comparative analysis of economic and ecological benefits.
Experimental IndicatorsDual Axis Layered Soil Crushing and Stubble Removal MachineSingle Axis Rotary Tiller
Production costs/(RMB/hectare)800950
Fuel consumption/(L/hectare)120150
Maintenance/(RMB/hectare)70100
Disclaimer/Publisher’s Note: The statements, opinions and data contained in all publications are solely those of the individual author(s) and contributor(s) and not of MDPI and/or the editor(s). MDPI and/or the editor(s) disclaim responsibility for any injury to people or property resulting from any ideas, methods, instructions or products referred to in the content.

Share and Cite

MDPI and ACS Style

Zhao, Z.; Hou, J.; Guo, P.; Xia, C.; Yan, H.; Wang, D. Analysis of Soil–Straw Movement Behavior in Saline–Alkali Soil Under Dual-Axis Rotary Tillage Based on EDEM. Agriculture 2025, 15, 337. https://doi.org/10.3390/agriculture15030337

AMA Style

Zhao Z, Hou J, Guo P, Xia C, Yan H, Wang D. Analysis of Soil–Straw Movement Behavior in Saline–Alkali Soil Under Dual-Axis Rotary Tillage Based on EDEM. Agriculture. 2025; 15(3):337. https://doi.org/10.3390/agriculture15030337

Chicago/Turabian Style

Zhao, Zhuang, Jialin Hou, Peng Guo, Chao Xia, Haipeng Yan, and Dongwei Wang. 2025. "Analysis of Soil–Straw Movement Behavior in Saline–Alkali Soil Under Dual-Axis Rotary Tillage Based on EDEM" Agriculture 15, no. 3: 337. https://doi.org/10.3390/agriculture15030337

APA Style

Zhao, Z., Hou, J., Guo, P., Xia, C., Yan, H., & Wang, D. (2025). Analysis of Soil–Straw Movement Behavior in Saline–Alkali Soil Under Dual-Axis Rotary Tillage Based on EDEM. Agriculture, 15(3), 337. https://doi.org/10.3390/agriculture15030337

Note that from the first issue of 2016, this journal uses article numbers instead of page numbers. See further details here.

Article Metrics

Back to TopTop