Effects of Selenium Foliar Spraying on Seedling Growth and Stem Sheath Hardness in Fragrant Rice
Abstract
1. Introduction
2. Materials and Methods
2.1. Experimental Description and Treatment
2.2. Sampling and Measurements
2.2.1. Determination of Morphological Indices
2.2.2. Determination of Chlorophyll Content
2.2.3. Determination of Lignin and Cellulose Contents
2.2.4. Determination of Peroxidase (POD) Activity
2.2.5. Determination of the Stem Sheath Hardness
2.3. Data Analysis
3. Results
3.1. ANOVA Analysis
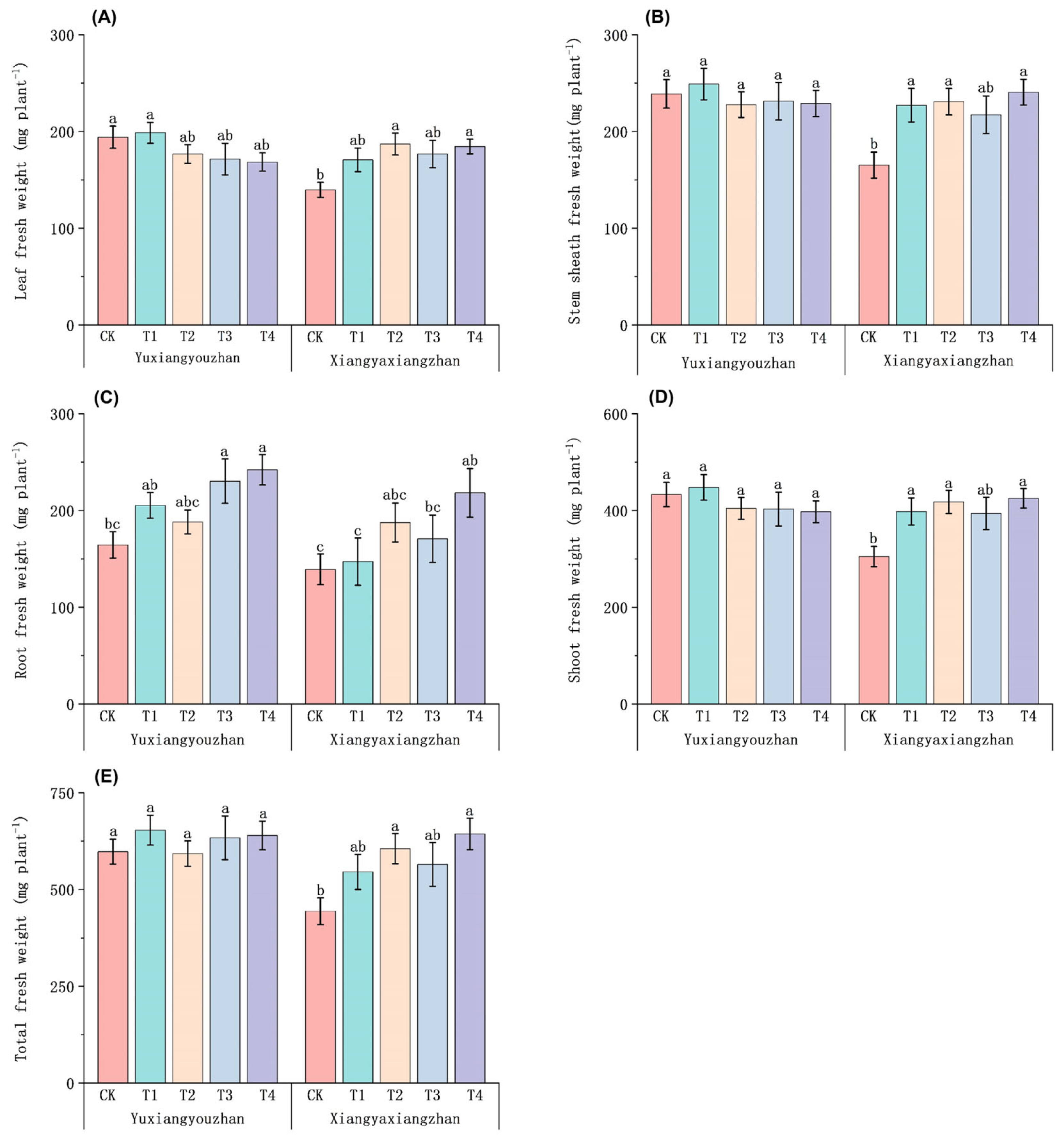
3.2. Fresh Weight
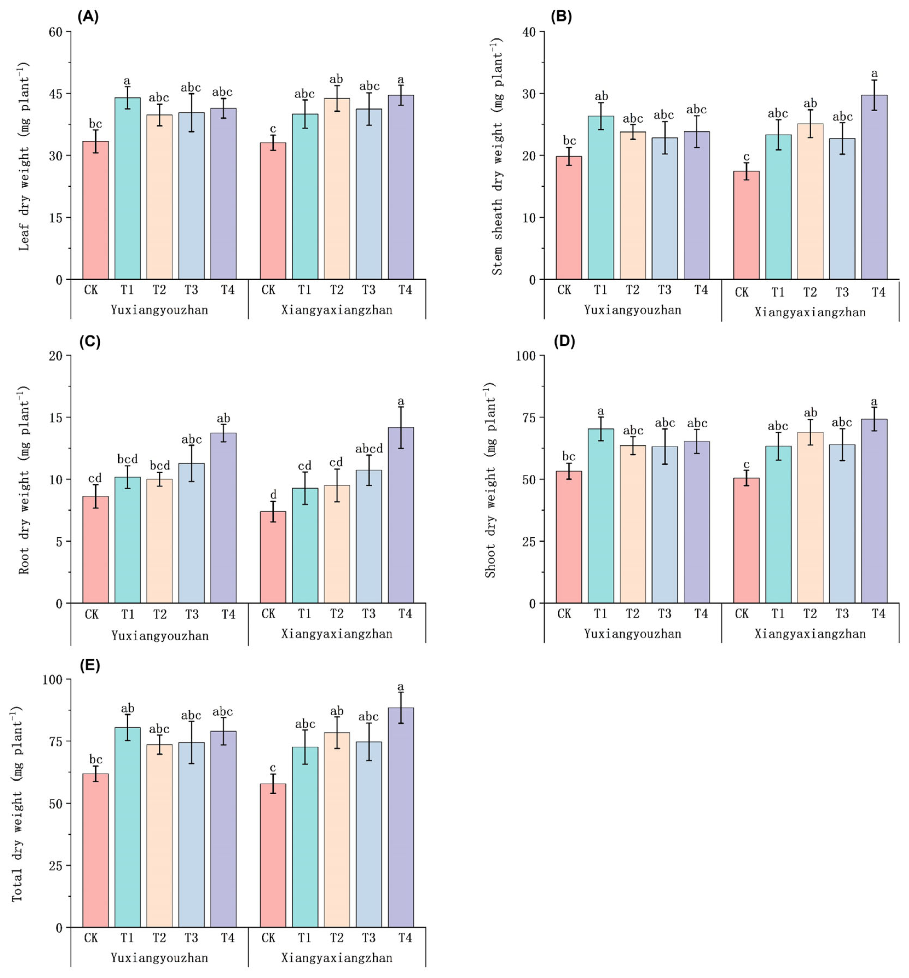
3.3. Dry Weight
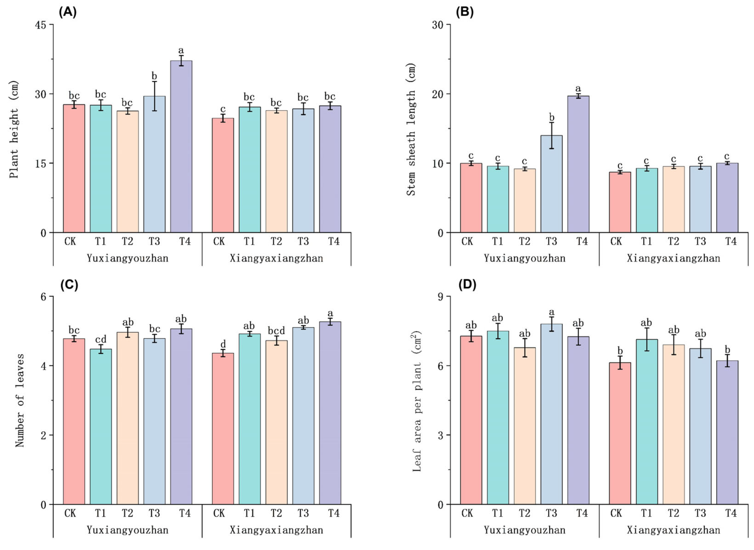
3.4. Plant Height, Stem Length, Leaf Age, and Leaf Area of Rice Seedlings
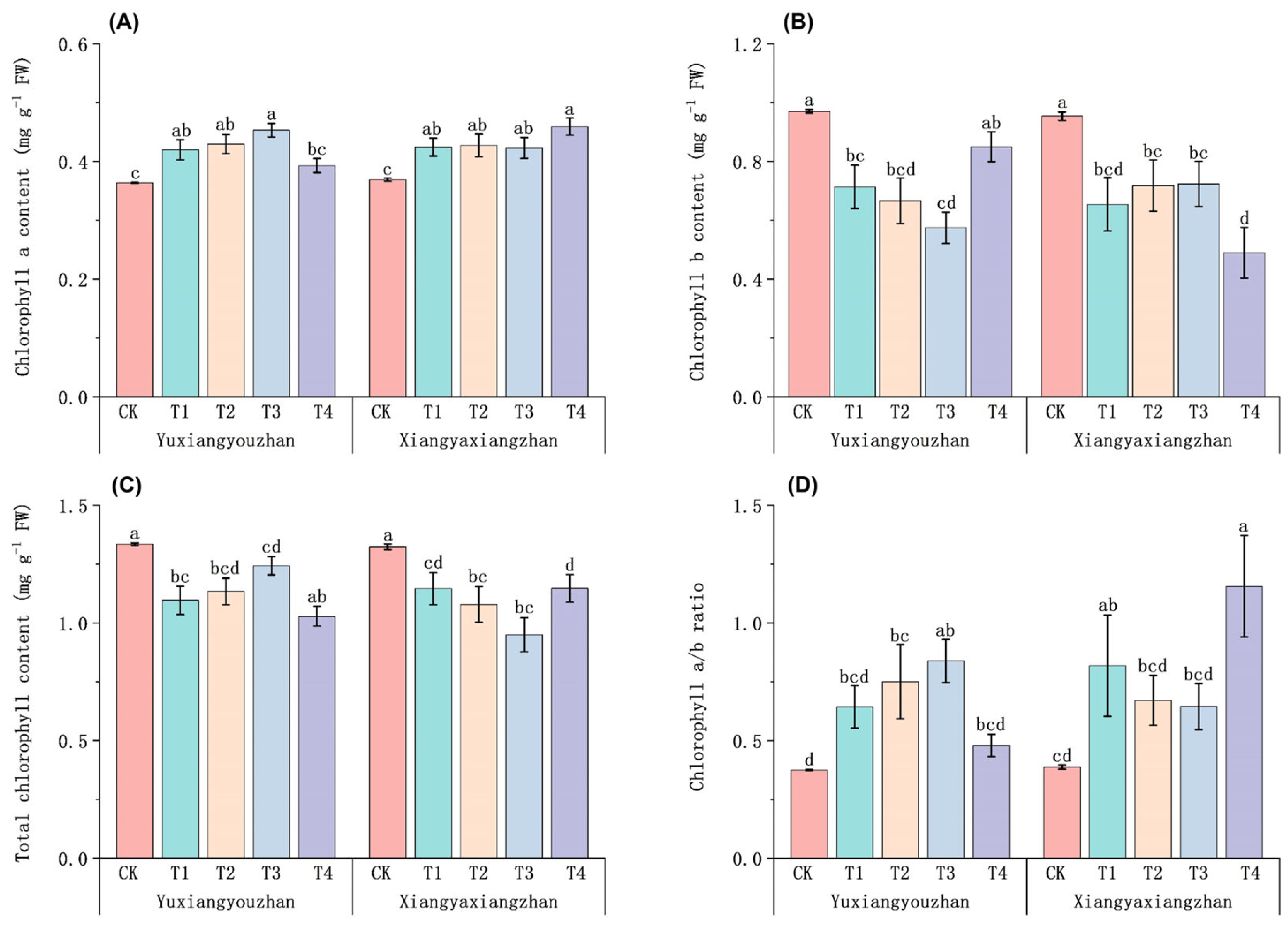
3.5. Chlorophyll Content in Rice Seedlings
3.6. Hardness of Rice Seedling Stem Sheaths
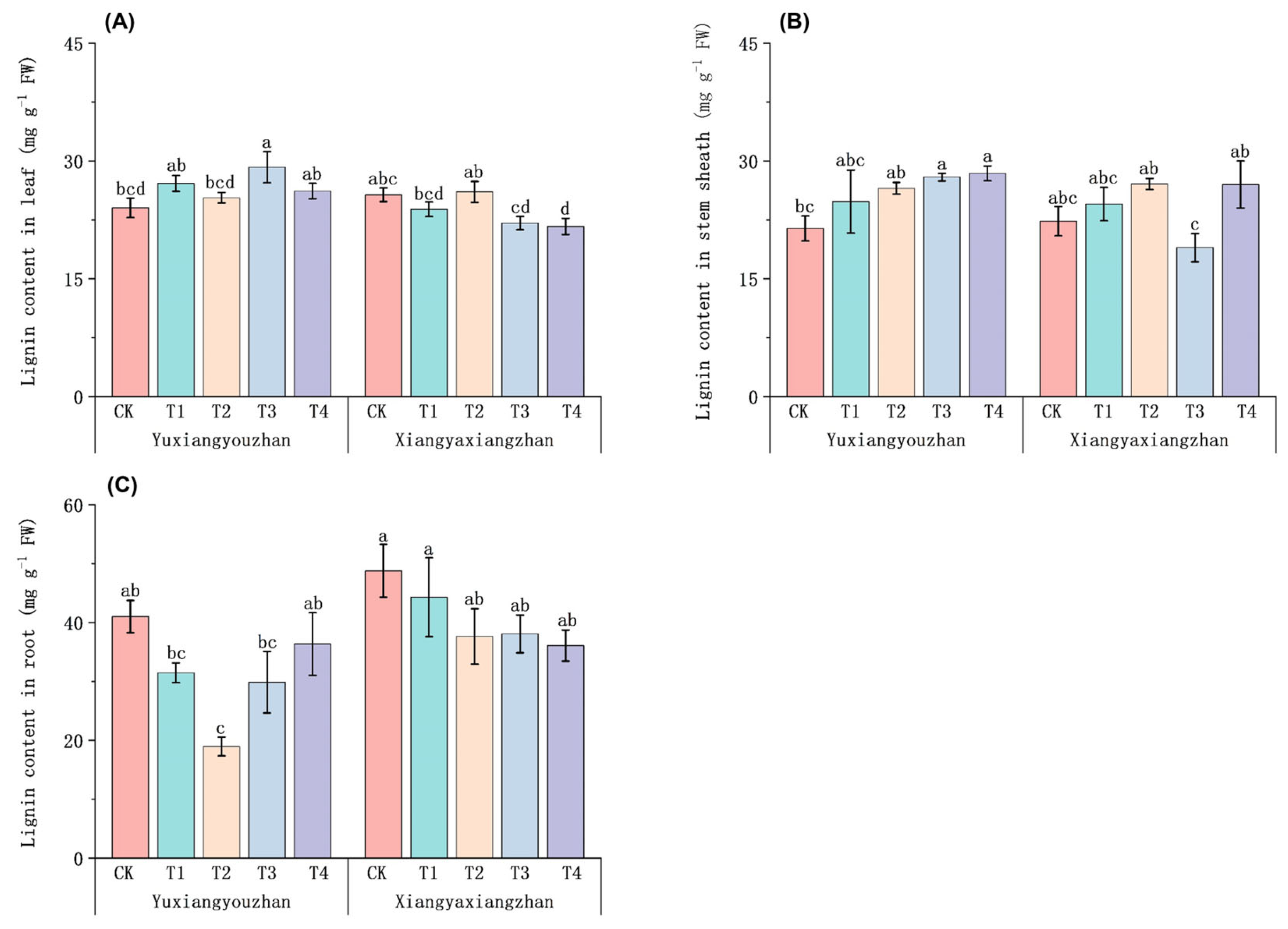
3.7. Lignin Content in Rice Seedlings
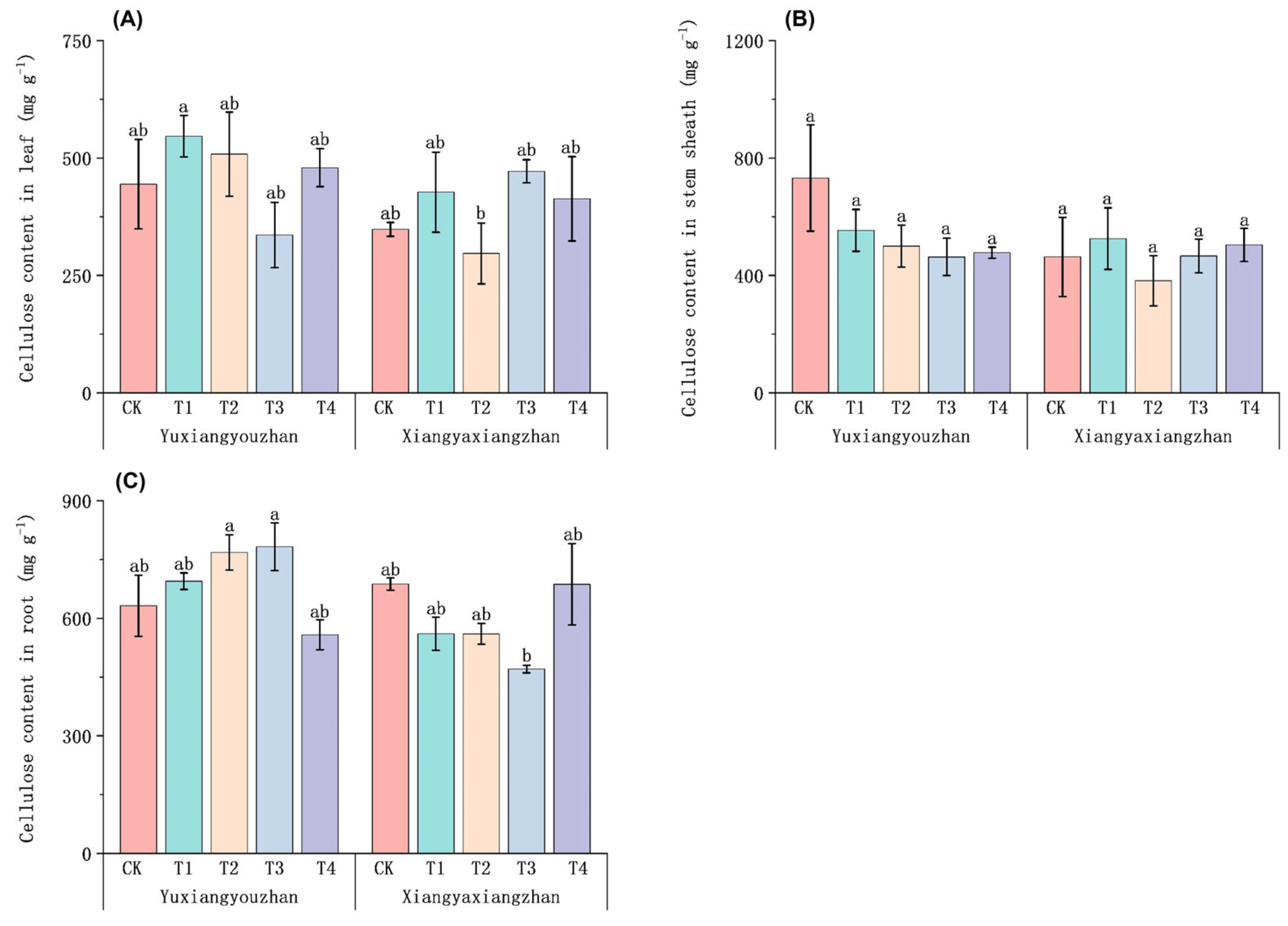
3.8. Cellulose Content in Rice Seedlings
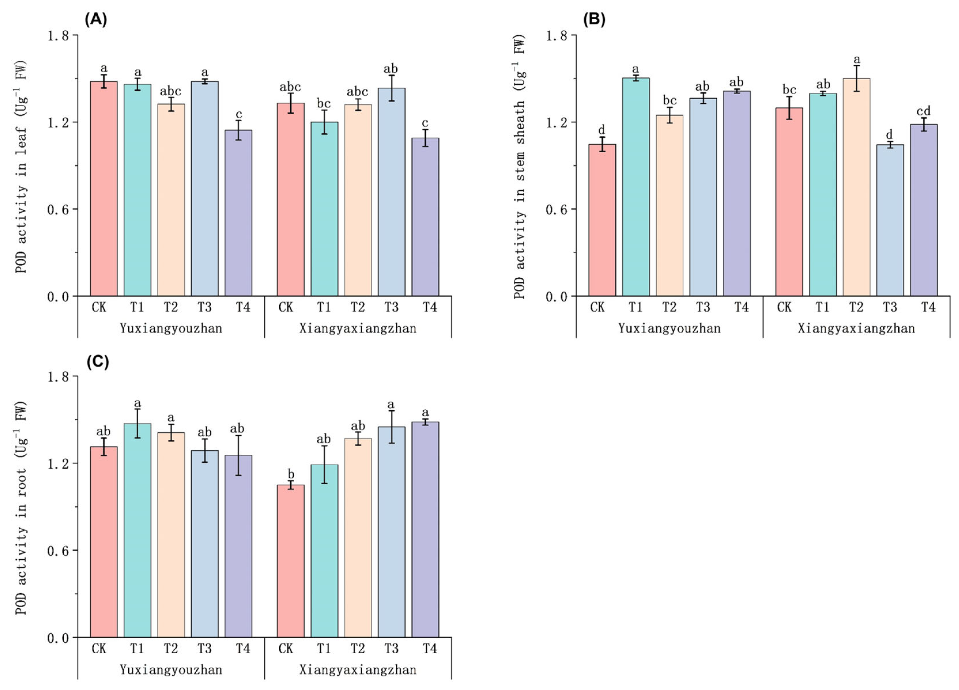
3.9. POD Activity in Rice Seedlings
3.10. Correlation Analysis
4. Discussion
5. Conclusions
Author Contributions
Funding
Institutional Review Board Statement
Data Availability Statement
Acknowledgments
Conflicts of Interest
References
- Shi, N. Analysis and development strategy on rice production & marketing trend in China. Chin. Rice 2015, 21, 1–5. [Google Scholar]
- You, Q.; Huang, T. Research and breeding utilization of rice aromas. Fujian Rice Wheat Sci. Technol. 2002, 20, 30–33. [Google Scholar]
- Zhang, Z. Causes and prevention strategies for rice lodging. New Agric. 2021, 21, 11. [Google Scholar]
- Zhou, P.; Zhou, K.; Liu, T.; Wu, W.; Sun, C. Progress in monitoring research on rice lodging. J. Chin. Agric. Mech. 2019, 40, 162–168. [Google Scholar]
- Zhao, X.; Shao, Z.; Wu, Y.; Zhao, Y.; Wang, Y.; Wang, Y.; Yang, L. Influence of artificial lodging at the grain-filling stage on plant growth, yield, and quality of super rice. Chin. J. Eco-Agric. 2018, 26, 980–989. [Google Scholar]
- Wang, X.; Lu, Z.; Liu, W.; Lu, D.; Wang, S.; Wu, H.; Fang, Z.; He, X. Advances in lodging resistance of rice since the “green revolution”. Guangdong Agric. Sci. 2022, 49, 1–13. [Google Scholar]
- Li, L.; Dong, J.; Li, L.; Wang, Z.; Cheng, S. Research progress of organic selenium-rich biological resources. Food Sci. Technol. 2021, 46, 61–66. [Google Scholar]
- Jin, X.; Zhu, X.; Huang, J.; Du, L.; Wang, L.; Chen, J. Effects of Selenium on Chloroplast and Photosynthesis. Mol. Plant Breed. 2019, 17, 288–294. [Google Scholar]
- Zhang, Y.; Wang, M.; Zhou, W.; Wang, D.; Yan, J. Improvement effect of different conditioners on acidic selenium-rich soil. Resour. Environ. Eng. 2024, 38, 34–39. [Google Scholar]
- Hasanuzzaman, M.; Bhuyan, M.H.M.B.; Raza, A.; Hawrylak-Nowak, B.; Matraszek-Gawron, R.; Mahmud, J.A.; Nahar, K.; Fujita, M. Selenium in plants: Boon or bane. Environ. Exp. Bot. 2020, 178, 104–170. [Google Scholar] [CrossRef]
- Rizwan, M.; Ali, S.; Rehman MZ, U.; Rinklebe, J.; Tsang DC, W.; Tack FM, G. Effects of selenium on the uptake of toxic trace elements by crop plants: A review. Crit. Rev. Environ. Sci. Technol. 2021, 51, 2531–2566. [Google Scholar] [CrossRef]
- Ebrahimi, N.; Stoddard, F.L.; Hartikainen, H.; Seppanen, M.M. Plant species and growing season weather influence the efficiency of selenium biofortification. Nutr. Cycl Agroecosyst. 2019, 114, 111–124. [Google Scholar] [CrossRef]
- Ros, G.H.; Rotterdam, A.V.; Bussink, D.; Bindraban, P.S. Selenium fertilization strategies for biofortification of food: An agro-ecosystem approach. Plant Soil 2016, 404, 99–112. [Google Scholar] [CrossRef]
- Deng, X.; Liu, K.; Li, M.; Zhang, W.; Zhao, X.; Zhao, Z.; Liu, X. Difference of selenium uptake and distribution in the plant and selenium form in the grains of rice with foliar spray of selenite or selenate at different stages. Field Crops Res. 2017, 211, 165–171. [Google Scholar] [CrossRef]
- Sun, X.; Zhang, X.; Luo, Y.; Ye, S.; Zhuang, W.; Zhou, X. Effects of Four Valence state of Selenium on Part of Root Physiological Characteristics of Plum Seedlings. North. Hortic. 2021, 3, 41–46. [Google Scholar]
- Xu, H.; Yan, J.; Qin, Y.; Xu, J.; Shohang MJ, I.; Wei, Y.; Gu, M. Effect of different forms of selenium on the physiological response and the cadmium uptake by rice under cadmium stress. Int. J. Environ. Res. Public Health 2020, 17, 6991. [Google Scholar] [CrossRef]
- Liu, Y.; Ma, J.; Li, F.; Zeng, X.; Wu, Z.; Huang, Y.; Xue, Y.; Wang, Y. High Concentrations of Se Inhibited the Growth of Rice Seedlings. Plant 2024, 12, 1580. [Google Scholar] [CrossRef]
- Cui, J.; Liu, T.; Li, Y.; Li, F. Selenium reduces cadmium uptake into rice suspension cells by regulating the expression of lignin synthesis and cadmium-related genes. Sci. Total Environ. 2018, 644, 602–610. [Google Scholar] [CrossRef]
- Liu, X.; Huang, Z.; Li, Y.; Xie, W.; Li, W.; Tang, X.; Ashraf, U.; Kong, L.; Wu, L.; Wang, S.; et al. Selenium-silicon (Se-Si) induced modulations in physio-biochemical responses, grain yield, quality, aroma formation and lodging in fragrant rice. Ecotoxicol. Environ. Saf. 2020, 196, 110525. [Google Scholar] [CrossRef]
- Liang, J.; Kong, L.; Hu, X.; Fu, C.; Bai, S. Chromosomal-level genome assembly of the high-quality Xian/Indica rice (Oryza sativa L.) Xiangyaxiangzhan. BMC Plant Biol. 2023, 23, 94. [Google Scholar] [CrossRef]
- Chen, W.; Liao, G.; Sun, F.; Ma, Y.; Chen, Z.; Chen, H.; Tang, X.; Mo, Z. Foliar spray of La2O3 nanoparticles regulates the growth, antioxidant parameters, and nitrogen metabolism of fragrant rice seedlings in wet and dry nurseries. Environ. Sci. Pollut. Res. 2023, 30, 80349–80363. [Google Scholar] [CrossRef] [PubMed]
- Li, Y.; Liang, L.; Li, W.; Ashraf, U.; Ma, L.; Tang, X.; Pan, S.; Tian, H.; Mo, Z. ZnO nanoparticle-based seed priming modulates early growth and enhances physio-biochemical and metabolic profiles of fragrant rice against cadmium toxicity. J. Nanobiotechnol. 2021, 19, 75. [Google Scholar] [CrossRef]
- Deng, H.; Li, Y.; Ashraf, U.; Gui, R.; Wang, Z.; Nawaz, H.; Tang, X.; Duan, M.; Mo, Z. The application of liquid fertilizer with reduced nitrogen rate improves the lodging resistance in fragrant rice. J. Soil Sci. Plant Nutr. 2023, 23, 6071–6087. [Google Scholar] [CrossRef]
- Lin, T.; Chen, X.; Ren, Y.; Qing, B.; Zhang, M.; Mo, Z.; Wang, S. Effect of iron oxide nanocoating on the seed germination, seedling growth, and antioxidant response of aromatic rice grown in the presence of different concentrations of rice straw extracts. J. Nanopart. Res. 2024, 26, 78. [Google Scholar] [CrossRef]
- Hong, W.; Chen, Y.; Huang, S.; Li, Y.; Wang, Z.; Tang, X.; Pan, S.; Tian, H.; Mo, Z. Optimization of nitrogen-silicon (N-Si) fertilization for grain yield and lodging resistance of early-season indica fragrant rice under different planting methods. Eur. J. Agron. 2022, 136, 126508. [Google Scholar] [CrossRef]
- Acreche, M.M.; Slafer, G.A. Lodging yield penalties as affected by breeding in Mediterranean wheats. Field Crops Res. 2011, 122, 40–48. [Google Scholar] [CrossRef]
- Liu, Q.; Ma, J.; Zhao, Q.; Zhou, X. Physical traits related to rice lodging resistance under different simplified- cultivation methods. Agron. J. 2018, 110, 127–132. [Google Scholar] [CrossRef]
- Jiang, M.; Yamamoto, E.; Yamamoto, T.; Matsubara, K.; Kato, H.; Adachi, S.; Nomura, T.; Kamahora, E.; Ma, J.; Ookawa, T. Mapping of QTLs associated with lodging resistance in rice (Oryza sativa L.) using the recombinant inbred lines derived from two high yielding cultrivars, Tachisugata and Hokuriku 193. Plant Growth Regul. 2019, 87, 267–276. [Google Scholar] [CrossRef]
- Tsugawa, S.; Shima, H.; Ishimoto, Y.; Ishikawa, K. Thickness-stiffness trade-off improves lodging resistance in rice. Sci. Rep. 2023, 13, 10828. [Google Scholar] [CrossRef]
- Yang, Y.; Zhu, Z.; Zhang, Y.; Chen, T.; Zhao, Q.; Zhou, L.; Yao, S.; Zhang, Y.; Dong, S.; Wang, C. Relationships between lodging resistance and stem morphological traits in different rice varieties (lines). Jiangsu Agric. Sci. 2011, 27, 231–235. [Google Scholar]
- Lai, S.; Chen, C.; Lai, S.; Wang, L.; Chen, W. Genotypic differences and correlations between rice main agronomic traits and lodging-resistance. J. Nucl. Agric. Sci. 2018, 32, 1256–1266. [Google Scholar]
- Zou, D.; Tang, Q.; Huang, Y.; Liu, L.; Fang, S.; Lv, G.; Kuang, N.; Luo, Y.; Mao, R.; Zhang, M. Effects of anti-pour agent on yield and lodging resistance of high-quality rice. Chin. Agric. Sci. Bull. 2023, 39, 8–13. [Google Scholar]
- Zhou, K. The Effects of Nanoselenium and Sodium Selenite on Rice Seed Germination and Seedling Growth. Master’s Thesis, Heilongjiang University, Heilongjiang, China, 2023. [Google Scholar]
- Li, D.; Zhou, C.; Ma, J.; Wu, Y.; Kang, L.; An, S.; Zhang, J.; Deng, K.; Li, J.; Pan, C. Nanoselenium transformation and inhibition of cadmium accumulation by regulating the lignin biosynthetic pathway and plant hormone signal transduction in pepper plants. J. Nanobiotechnol. 2021, 19, 316. [Google Scholar] [CrossRef] [PubMed]
- Liu, Y.; Lv, H.; Yang, N.; Li, Y.; Liu, B.; Rensing, C.; Dai, J.; Fekih, I.B.; Wang, L.; Mazhar, S.H.; et al. Roles of root cell wall components and root plaques in regulating elemental uptake in rice subjected to selenite and different speciation of antimony. Environ. Exp. Bot. 2019, 163, 36–44. [Google Scholar] [CrossRef]
- Wang, L.; Wu, K.; Liu, Z.; Li, Z.; Shen, J.; Wu, Z.; Liu, H.; You, L.; Yang, G.; Rensing, C.; et al. Selenite reduced uptake/translocation of cadmium via regulation of assembles and interactions of pectins, hemicelluloses, lignins, callose and casparian 15 strips in rice roots. J. Hazard. Mater. 2023, 448, 130812. [Google Scholar] [CrossRef]
- Sun, Y.; Zeng, X.; Wang, Q.; Song, Q.; Wang, M.; Li, X.; Feng, Y. Research progress on influencing factors and solving strategies of lodging resistance in rice. Heilongjiang Agric. Sci. 2023, 9, 137–142. [Google Scholar]
- Duan, M.; Cheng, S.; Lu, R.; Lai, R.; Zheng, A.; Ashraf, U.; Fan, P.; Du, B.; Luo, H.; Tang, X. Effect of foliar sodium selenate on leaf senescence of fragrant rice in south China. Appl. Ecol. Environ. Res. 2019, 19, 3343–3351. [Google Scholar] [CrossRef]
- Wan, Y.; Camara, A.Y.; Yu, Y.; Wang, Q.; Guo, T.; Zhu, L.; Li, H. Cadmium dynamics in soil pore water and uptake by rice: Influences of soil-applied selenite with different water managements. Environ. Pollut. 2018, 240, 523–533. [Google Scholar] [CrossRef]
- Mehrabanjoubani, P.; Abdolzadeh, A.; Sadeghipour, H.R.; Aghdasi, M.; Bagherieh-Najjar, M.B.; Barzegargolchini, B. Silicon increases cell wall thickening and lignification in rice (Oryza sativa) root tip under excess Fe nutrition. Plant Physiol. Biochem. 2019, 144, 264–273. [Google Scholar] [CrossRef]
- Liu, H. Effects of Silicon on Rice Resistance Against Lodging and Bacterial Blight; Chinese Academy of Agricultural Sciences: Beijing, China, 2015. [Google Scholar]
- Luo, Y.; Tian, J.; Lin, Q.; Jiang, Y.; Xiao, L.; Tang, X. Effects of cultivation techniques characterized by enhancing sources, activating sinks and improving quality on the yield of extensive-adaptation super rice in South China. J. Northwest AF Univ. 2014, 42, 55–60. [Google Scholar]
- Wang, H. Cultivation techniques for ivory fragrance with resistance to lodging. Rural Econ. Technol. 2019, 30, 40–41. [Google Scholar]
- Wan, Y.; Wang, K.; Liu, Z.; Yu, Y.; Wang, Q.; Li, H. Effect of selenium on the subcellular distribution of cadmium and oxidative stress induced by cadmium in rice (Oryza sativa L.). Environ. Sci. Pollut. Res. 2019, 26, 16220–16228. [Google Scholar] [CrossRef] [PubMed]
- Yi, T.; Yao, J. Development status and countermeasures of organic selenium agricultural products industry in hubei province. South-Cent. Agric. Sci. Technol. 2023, 44, 95–97. [Google Scholar]
- David, O.A.; Akomolafe, G.F.; Jolayemi, O.L.; Olawumo, I.J.; Awoyemi, O.O. Investigating the effectiveness of selenite on drought stressed upland rice. Indian J. Agric. Res. 2020, 54, 168–174. [Google Scholar] [CrossRef]
- Luo, H.; Xing, P.; Liu, J.; Pan, S.; Tang, X.; Duan, M. Selenium improved antioxidant response and photosynthesis in fragrant rice (Oryza sativa L.) seedlings during drought stress. Physiol. Mol. Biol. Plants 2021, 27, 2849–2858. [Google Scholar] [CrossRef]
- Guo, C.; Fang, L.; Xu, X. Chlorophyll-b deficient and photosynthesis in plants. Plant Physiol. Commun. 2006, 42, 967–973. [Google Scholar]
- Zhou, H.; Huang, S. Effects of sink source relationship on chlorophyll content and photosynthetic characteristics of rice. J. Green Sci. Technol. 2017, 24, 147–149. [Google Scholar]









| Parameter | Variety (V) | Treatment (T) | V × T |
|---|---|---|---|
| Leaf fresh weight | ns | ns | * |
| Stem sheath fresh weight | ns | ns | ns |
| Root fresh weight | * | ** | ns |
| Shoot fresh weight | ns | ns | ns |
| Total fresh weight | * | ns | ns |
| Leaf dry weight | ns | * | ns |
| Stem sheath dry weight | ns | * | ns |
| Root dry weight | ns | * | ns |
| Shoot dry weight | ns | * | ns |
| Total dry weight | ns | * | ns |
| Plant height | * | * | * |
| Stem sheath length | * | * | * |
| Number of leaves | ns | * | * |
| Leaf area per plant | * | ns | ns |
| Chlorophyll a content | ns | ** | * |
| Chlorophyll b content | ns | ** | * |
| Total chlorophyll content | ns | ** | * |
| Chlorophyll a/b ratio | ns | * | * |
| Stem sheath hardness | ** | ** | ** |
| Peroxidase activity in leaf | * | ** | ns |
| Peroxidase activity in stem sheath | ns | ** | ** |
| Peroxidase activity in root | ns | ns | ns |
| Cellulose content in leaf | ns | ns | ns |
| Cellulose content in stem sheath | ns | ns | ns |
| Cellulose content in root | ns | ns | ** |
| Lignin content in leaf | ** | ns | ** |
| Lignin content in stem sheath | ns | ns | ns |
| Lignin content in root | ** | * | ns |
Disclaimer/Publisher’s Note: The statements, opinions and data contained in all publications are solely those of the individual author(s) and contributor(s) and not of MDPI and/or the editor(s). MDPI and/or the editor(s) disclaim responsibility for any injury to people or property resulting from any ideas, methods, instructions or products referred to in the content. |
© 2025 by the authors. Licensee MDPI, Basel, Switzerland. This article is an open access article distributed under the terms and conditions of the Creative Commons Attribution (CC BY) license (https://creativecommons.org/licenses/by/4.0/).
Share and Cite
Zhuang, J.; Fang, Y.; Zheng, J.; Duan, Y.; Liu, X.; Mo, Z. Effects of Selenium Foliar Spraying on Seedling Growth and Stem Sheath Hardness in Fragrant Rice. Agriculture 2025, 15, 335. https://doi.org/10.3390/agriculture15030335
Zhuang J, Fang Y, Zheng J, Duan Y, Liu X, Mo Z. Effects of Selenium Foliar Spraying on Seedling Growth and Stem Sheath Hardness in Fragrant Rice. Agriculture. 2025; 15(3):335. https://doi.org/10.3390/agriculture15030335
Chicago/Turabian StyleZhuang, Jingna, Yilu Fang, Jinxi Zheng, Yan Duan, Xuexue Liu, and Zhaowen Mo. 2025. "Effects of Selenium Foliar Spraying on Seedling Growth and Stem Sheath Hardness in Fragrant Rice" Agriculture 15, no. 3: 335. https://doi.org/10.3390/agriculture15030335
APA StyleZhuang, J., Fang, Y., Zheng, J., Duan, Y., Liu, X., & Mo, Z. (2025). Effects of Selenium Foliar Spraying on Seedling Growth and Stem Sheath Hardness in Fragrant Rice. Agriculture, 15(3), 335. https://doi.org/10.3390/agriculture15030335

