Enhancing Rural Economic Sustainability in China Through Agricultural Socialization Services: A Novel Perspective on Spatial-Temporal Dynamics
Abstract
1. Introduction
1.1. Background
1.2. Objectives
2. Literature Review
2.1. Overview of ASSs
2.2. Impact of ASSs on Rural Household Income and Spatial Spillover Effects
2.3. Non-Linear Effects of ASSs at Different Stages of Urbanization
3. Research Design
3.1. Data Sources
3.2. Modeling
3.2.1. Benchmark Regression Model
3.2.2. The Spatial Models
3.2.3. Threshold Effect Modeling
3.3. Selection of Indicators and Data Sources
3.3.1. Explained Variable
3.3.2. Explanatory Variable
3.3.3. Control Variables
3.3.4. Threshold Variables
3.4. Spatial Model and Weight Matrix Selection
4. Empirical Analysis
4.1. Benchmark Regressions and Robustness Tests
4.2. Space Measurement
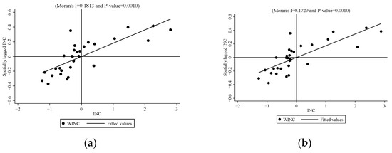
4.2.1. Spatial Correlation Test
4.2.2. Model Selection for Spatial Measurement
4.2.3. Regression Results of the Spatial Durbin Model
4.2.4. Utility Decomposition of the Spatial Durbin Model
4.2.5. Robustness Tests of the Spatial Durbin Model
4.2.6. Regional Heterogeneity Tests
4.3. Threshold Regression Models
5. Conclusions and Recommendations
5.1. Conclusions
5.2. Recommendations
6. Limitations and Future Research Directions
Author Contributions
Funding
Institutional Review Board Statement
Data Availability Statement
Acknowledgments
Conflicts of Interest
References
- Ogutu, S.; Gödecke, T.; Qaim, M. Agricultural Commercialisation and Nutrition in Smallholder Farm Households. J. Agric. Econ. 2020, 71, 534–555. [Google Scholar] [CrossRef]
- Kansanga, M.; Andersen, P.; Kpienbaareh, D.; Mason-Renton, S.; Atuoye, K.; Sano, Y.; Antabe, R. Traditional agriculture in transition: Examining the impacts of agricultural modernization on smallholder farming in Ghana under the new Green Revolution. Int. J. Sustain. Dev. World Ecol. 2018, 26, 11–24. [Google Scholar] [CrossRef]
- John, D.; Hussin, N.; Shahibi, M.S.; Ahmad, M.; Hashim, H.; Ametefe, D.S. A Systematic Review on the Factors Governing Precision Agriculture Adoption among Small-Scale Farmers. Outlook Agric. 2023, 52, 469–485. [Google Scholar] [CrossRef]
- Addison, M.; Anyomi, B.K.; Acheampong, P.P.; Yeboah, R.; Owusu, J. Key Drivers of Adoption Intensity of Selected Improved Rice Technologies in Rural Ghana. Sci. Afr. 2023, 19, e01544. [Google Scholar] [CrossRef]
- Zhang, D.; Min, Q.; Liu, M.; Chen, S.; Zhao, L. Ecosystem Service Tradeoff between Traditional and Modern Agriculture: A Case Study in Congjiang County, Guizhou Province, China. Front. Environ. Sci. Eng. 2012, 6, 743–752. [Google Scholar] [CrossRef]
- Chen, T.; Rizwan, M.; Abbas, A. Exploring the Role of Agricultural Services in Production Efficiency in Chinese Agriculture: A Case of the Socialized Agricultural Service System. Land 2022, 11, 347. [Google Scholar] [CrossRef]
- Huan, M.; Li, Y.; Chi, L.; Zhan, S. The Effects of Agricultural Socialized Services on Sustainable Agricultural Practice Adoption among Smallholder Farmers in China. Agronomy 2022, 12, 2198. [Google Scholar] [CrossRef]
- Zang, L.; Wang, Y.; Ke, J.; Su, Y. What Drives Smallholders to Utilize Socialized Agricultural Services for Farmland Scale Management? Insights from the Perspective of Collective Action. Land 2022, 11, 930. [Google Scholar] [CrossRef]
- Qing, C.; Zhou, W.; Song, J.; Zhang, X. Impact of outsourced machinery services on farmers’ green production behavior: Evidence from Chinese rice farmers. J. Environ. Manag. 2023, 327, 116843. [Google Scholar] [CrossRef] [PubMed]
- Sang, X.; Luo, X.; Razzaq, A.; Huang, Y.; Erfanian, S. Can agricultural mechanization services narrow the income gap in rural China? Heliyon 2023, 9, e13367. [Google Scholar] [CrossRef]
- Qiu, H.; Feng, M.; Chi, Y.; Luo, M. Agricultural Machinery Socialization Service Adoption, Risks, and Relative Poverty of Farmers. Agriculture 2023, 13, 1787. [Google Scholar] [CrossRef]
- Yao, W.; Zhu, Y.; Liu, S.; Zhang, Y. Can Agricultural Socialized Services Promote Agricultural Green Total Factor Productivity? From the Perspective of Production Factor Allocation. Sustainability 2024, 16, 8425. [Google Scholar] [CrossRef]
- Chen, K.; Tian, G.; Tian, Z.; Ren, Y.; Liang, W. Evaluation of the Coupled and Coordinated Relationship between Agricultural Modernization and Regional Economic Development under the Rural Revitalization Strategy. Agronomy 2022, 12, 990. [Google Scholar] [CrossRef]
- Yu, Y.; Chi, Z.; Yu, Y.; Wang, X. Boosting agricultural green development: Does socialized service matter? PLoS ONE 2024, 19, e0306055. [Google Scholar] [CrossRef] [PubMed]
- Cohen, B. Urbanization in developing countries: Current trends, future projections, and key challenges for sustainability. Technol. Soc. 2006, 28, 63–80. [Google Scholar] [CrossRef]
- Lazarova, E.; Pavlov, P.; Petrova, M.; Nikolova, D.; Peneva, M.; Kazakova-Mateva, Y. Analysis and Assessment of Infrastructural Potential in Rural Territories. Econ. Ecol. Socium 2023, 7, 1–14. [Google Scholar] [CrossRef]
- Christoplos, I. Mobilizing the Potential of Rural and Agricultural Extension; FAO: Rome, Italy, 2010; ISBN 978-92-5-106586-6. [Google Scholar]
- Birner, R.; Anderson, J.R. How to Make Agricultural Extension Demand-Driven? The Case of India’s Agricultural Extension Policy; IFPRI Discussion Paper 00729; International Food Policy Research Institute: Washington, DC, USA, 2007. [Google Scholar]
- Anderson, J.R.; Feder, G. Agricultural Extension: Good Intentions and Hard Realities. World Bank Res. Obs. 2004, 19, 41–60. [Google Scholar] [CrossRef]
- Rivera, W.M.; Sulaiman, V.R. Extension: Object of Reform, Engine for Innovation. Outlook Agric. 2009, 38, 267–273. [Google Scholar] [CrossRef]
- Aker, J.C. Dial “A” for Agriculture: A Review of Information and Communication Technologies for Agricultural Extension in Developing Countries. Agric. Econ. 2011, 42, 631–647. [Google Scholar] [CrossRef]
- Nakasone, E.; Torero, M.; Minten, B. The Power of Information: The ICT Revolution in Agricultural Development. Annu. Rev. Resour. Econ. 2014, 6, 533–550. [Google Scholar] [CrossRef]
- Zhang, D.; Zheng, W.; Ning, L. Does innovation facilitate firm survival? Evidence from Chinese high-tech firms. Econ. Model. 2018, 75, 458–468. [Google Scholar] [CrossRef]
- Griliches, Z. R&D and Productivity: The Econometric Evidence; University of Chicago Press: Chicago, IL, USA, 1998; ISBN 978-0-226-30886-9. [Google Scholar] [CrossRef]
- Birner, R.; Davis, K.; Pender, J.; Nkonya, E.; Anandajayasekeram, P.; Ekboir, J.; Mbabu, A.; Spielman, D.J.; Horna, D.; Benin, S.; et al. From Best Practice to Best Fit: A Framework for Designing and Analyzing Pluralistic Agricultural Advisory Services Worldwide. J. Agric. Educ. Ext. 2009, 15, 341–355. [Google Scholar] [CrossRef]
- Faure, G.; Desjeux, Y.; Gasselin, P. New Challenges in Agricultural Advisory Services from a Research Perspective: A Literature Review, Synthesis and Research Agenda. J. Agric. Educ. Ext. 2012, 18, 461–492. [Google Scholar] [CrossRef]
- Yang, S.; Li, W. The Impact of Socialized Agricultural Machinery Services on the Labor Transfer of Maize Growers. Agriculture 2023, 13, 1249. [Google Scholar] [CrossRef]
- Chen, H.; Li, P.; Li, Q. The impact of science and technology services on agricultural income of rural household: An investigation based on the three northeastern provinces of China. Technol. Forecast. Soc. Chang. 2023, 191, 122542. [Google Scholar] [CrossRef]
- Cunguara, B.; Darnhofer, I. Assessing the impact of improved agricultural technologies on household income in rural Mozambique. Food Policy 2011, 36, 378–390. [Google Scholar] [CrossRef]
- Guo, C.; Zhang, Y.; Liu, Z.; Li, N. A Coupling Mechanism and the Measurement of Science and Technology Innovation and Rural Revitalization Systems. Sustainability 2022, 14, 10343. [Google Scholar] [CrossRef]
- Yang, D.; Liu, Z. Does farmer cooperative membership improve household welfare? Evidence from apple farmers in China. Food Policy 2022, 108, 102202. [Google Scholar] [CrossRef]
- Ivanov, V.; Ivanov, Y.; Ivanova, O.; Melnychenko, N.; Vdovenko, L. Investment Trends in the Development of the Agricultural Economy Sector. Bus. Inform. 2023, 1, 128–134. [Google Scholar]
- Debolini, M.; Marraccini, E.; Rizzo, D.; Galli, M.; Bonari, E. Mapping local spatial knowledge in the assessment of agricultural systems: A case study on the provision of agricultural services. Appl. Geogr. 2013, 42, 23–33. [Google Scholar] [CrossRef]
- Zhang, S.; Sun, Y.; Yu, X.; Zhang, Y. Geographical Indication, Agricultural Products Export and Urban–Rural Income Gap. Agriculture 2023, 13, 378. [Google Scholar] [CrossRef]
- Mohammed, K.; Batung, E.; Saaka, S.A.; Ansah, I.G.K.; Donkoh, S.A.; Azumah, S.B. Determinants of mechanized technology adoption in smallholder agriculture: Implications for agricultural policy. Land Use Policy 2023, 129, 106666. [Google Scholar] [CrossRef]
- Zeng, D.; Alwang, J.; Norton, G.W.; Shiferaw, B.; Jaleta, M.; Yirga, C. Agricultural technology adoption and child nutrition enhancement: Improved maize varieties in rural Ethiopia. Agric. Econ. 2017, 48, 573–586. [Google Scholar] [CrossRef]
- Baltagi, B.H. Econometric Analysis of Panel Data, 6th ed.; John Wiley & Sons: Chichester, UK, 2021; ISBN 978-1-119-54285-5. [Google Scholar]
- Wooldridge, J.M. Econometric Analysis of Cross Section and Panel Data, 3rd ed.; MIT Press: Cambridge, MA, USA, 2021; ISBN 978-0-262-04516-5. [Google Scholar]
- Anselin, L.; Florax, R.J.G.M. (Eds.) New Directions in Spatial Econometrics; Springer: Berlin, Germany, 1995; ISBN 978-3-540-60110-4. [Google Scholar]
- LeSage, J.; Pace, R.K. Introduction to Spatial Econometrics; CRC Press: Boca Raton, FL, USA, 2009; ISBN 978-1-4200-6424-7. [Google Scholar]
- Elhorst, J.P. Applied Spatial Econometrics: Raising the Bar. Spat. Econ. Anal. 2010, 5, 9–28. [Google Scholar] [CrossRef]
- Corrado, L.; Fingleton, B. Where is the economics in spatial econometrics? J. Reg. Sci. 2012, 52, 210–239. [Google Scholar] [CrossRef]
- Elhorst, J.P. Spatial Econometrics: From Cross-Sectional Data to Spatial Panels; Springer: Berlin, Germany, 2014; ISBN 978-3-642-40340-8. [Google Scholar]
- LeSage, J.P.; Pace, R.K. The biggest myth in spatial econometrics. Econometrics 2014, 2, 217–249. [Google Scholar] [CrossRef]
- Hansen, B.E. Threshold effects in non-dynamic panels: Estimation, testing, and inference. J. Econom. 1999, 93, 345–368. [Google Scholar] [CrossRef]
- Wang, Q. Fixed-effect panel threshold model using Stata. Stata J. 2015, 15, 121–134. [Google Scholar] [CrossRef]
- Zhang, K.H.; Song, S. Rural-urban migration and urbanization in China: Evidence from time-series and cross-section analyses. China Econ. Rev. 2003, 14, 386–400. [Google Scholar] [CrossRef]
- Chen, A. Urbanization and disparities in China: Challenges of growth and development. China Econ. Rev. 2010, 21, 407–411. [Google Scholar] [CrossRef]
- Lu, H.; Xie, H.; He, Y.; Wu, Z.; Zhang, X. Assessing the impacts of land fragmentation and plot size on yields and costs: A translog production model and cost function approach. Agric. Syst. 2018, 161, 81–88. [Google Scholar] [CrossRef]
- Hansen, B.E. Sample splitting and threshold estimation. Econometrica 2000, 68, 575–603. [Google Scholar] [CrossRef]
- Imai, K.S.; Gaiha, R.; Garbero, A. Poverty reduction during the rural-urban transformation: Rural development is still more important than urbanisation. J. Policy Model. 2017, 39, 963–982. [Google Scholar] [CrossRef]
- Liu, Y.; Liu, J.; Zhou, Y. Spatio-temporal patterns of rural poverty in China and targeted poverty alleviation strategies. J. Rural Stud. 2017, 52, 66–75. [Google Scholar] [CrossRef]
- Zou, Z.H.; Yi, Y.; Sun, J.N. Entropy method for determination of weight of evaluating indicators in fuzzy synthetic evaluation for water quality assessment. J. Environ. Sci. 2006, 18, 1020–1023. [Google Scholar] [CrossRef]
- Shannon, C.E. A mathematical theory of communication. Bell Syst. Tech. J. 1948, 27, 379–423. [Google Scholar] [CrossRef]
- Tang, J.; Zhu, H.L.; Liu, Z.; Jia, F.; Zheng, X.X. Urban sustainability evaluation under the Modified TOPSIS based on grey relational analysis. Int. J. Environ. Res. Public Health 2019, 16, 256. [Google Scholar] [CrossRef] [PubMed]
- Wang, Q.; Yuan, X.; Zhang, J.; Mu, R.; Yang, H.; Ma, C. Key evaluation framework for the impacts of urbanization on air environment—A case study. Ecol. Indic. 2013, 24, 266–272. [Google Scholar] [CrossRef]
- Asfaw, S.; Shiferaw, B.; Simtowe, F.; Lipper, L. Impact of modern agricultural technologies on smallholder welfare: Evidence from Tanzania and Ethiopia. Food Policy 2012, 37, 283–295. [Google Scholar] [CrossRef]
- Schultz, T.W. Investment in Human Capital. Am. Econ. Rev. 1961, 51, 1–17. [Google Scholar]
- Becker, G.S. Human Capital: A Theoretical and Empirical Analysis, with Special Reference to Education, 3rd ed.; University of Chicago Press: Chicago, IL, USA, 1993; ISBN 978-0-226-04120-9. [Google Scholar]
- Feder, G.; Umali, D.L. The adoption of agricultural innovations: A review. Technol. Forecast. Soc. Chang. 1993, 43, 215–239. [Google Scholar] [CrossRef]
- Romer, P.M. Endogenous Technological Change. J. Polit. Econ. 1990, 98, S71–S102. [Google Scholar] [CrossRef]
- Fan, S.; Zhang, X. Infrastructure and regional economic development in rural China. China Econ. Rev. 2004, 15, 203–214. [Google Scholar] [CrossRef]
- Li, J.; Rodriguez, D.; Tang, X. Effects of land lease policy on changes in land use, mechanization and agricultural pollution. Land Use Policy 2017, 64, 405–413. [Google Scholar] [CrossRef]
- Jiang, L.; Deng, X.; Seto, K.C. The impact of urban expansion on agricultural land use intensity in China. Land Use Policy 2013, 35, 33–39. [Google Scholar] [CrossRef]
- Christiansen, F. Food security, urbanization and social stability in China. J. Agrar. Chang. 2009, 9, 548–575. [Google Scholar] [CrossRef]
- Abate, G.T.; Francesconi, G.N.; Getnet, K. Impact of agricultural cooperatives on smallholders’ technical efficiency: Empirical evidence from Ethiopia. Ann. Public Coop. Econ. 2014, 85, 257–286. [Google Scholar] [CrossRef]
- Li, Y.; Su, B.; Liu, Y. Realizing targeted poverty alleviation in China: People’s voices, implementation challenges and policy implications. China Agric. Econ. Rev. 2016, 8, 443–454. [Google Scholar] [CrossRef]
- Francesconi, G.N.; Heerink, N. Ethiopian agricultural cooperatives in an era of global commodity exchange: Does organisational form matter? J. Afr. Econ. 2010, 20, 153–177. [Google Scholar] [CrossRef]
- Psacharopoulos, G.; Patrinos, H.A. Returns to investment in education: A decennial review of the global literature. Educ. Econ. 2018, 26, 445–458. [Google Scholar] [CrossRef]
- Reardon, T.; Barrett, C.B.; Berdegué, J.A.; Swinnen, J.F.M. Agrifood industry transformation and small farmers in developing countries. World Dev. 2009, 37, 1717–1727. [Google Scholar] [CrossRef]
- Anselin, L. Spatial econometrics. In A Companion to Theoretical Econometrics; Baltagi, B.H., Ed.; Blackwell Publishing Ltd.: Oxford, UK, 2001; pp. 310–330. [Google Scholar] [CrossRef]
- Krugman, P. Increasing returns and economic geography. J. Polit. Econ. 1991, 99, 483–499. [Google Scholar] [CrossRef]
- Ertur, C.; Koch, W. Growth, technological interdependence and spatial externalities: Theory and evidence. J. Appl. Econom. 2007, 22, 1033–1062. [Google Scholar] [CrossRef]
- Zhang, S.; Sun, Z.; Ma, W.; Valentinov, V. The effect of cooperative membership on agricultural technology adoption in Sichuan, China. China Econ. Rev. 2020, 62, 101334. [Google Scholar] [CrossRef]
- De Brauw, A.; Rozelle, S. Migration and household investment in rural China. China Econ. Rev. 2008, 19, 320–335. [Google Scholar] [CrossRef]
- Taylor, J.E.; Rozelle, S.; De Brauw, A. Migration and incomes in source communities: A new economics of migration perspective from China. Econ. Dev. Cult. Chang. 2003, 52, 75–101. [Google Scholar] [CrossRef]
- Lin, J.Y. New structural economics: A framework for rethinking development. World Bank Res. Obs. 2011, 26, 193–221. [Google Scholar] [CrossRef]

| Variable | Obs | Mean | Std. Dev. | Min | Max |
|---|---|---|---|---|---|
| lnINC | 330 | 9.410 | 0.414 | 8.361 | 10.559 |
| ASS | 330 | 0.182 | 0.108 | 0.026 | 0.516 |
| hc | 330 | 7.834 | 0.616 | 5.878 | 9.910 |
| open | 330 | 0.265 | 0.291 | 0.008 | 1.548 |
| agdp | 330 | 2.009 | 0.945 | 0.509 | 6.026 |
| ls | 330 | 0.902 | 0.054 | 0.742 | 1.014 |
| md | 330 | 0.641 | 0.230 | 0.264 | 1.386 |
| urb | 330 | 0.596 | 0.121 | 0.350 | 0.896 |
| Level 1 Indicators | Secondary Indicators | Interpretation of Indicators | Unit (of Measure) | Weights | Expected Effects |
|---|---|---|---|---|---|
| Agricultural management services | Proportion of land trusteeship | Ratio of land trust area to sown area | % | 0.0294 | Positive |
| Land productivity of scale operation | Ratio of gross agricultural output to sown area | % | 0.0206 | Positive | |
| Proportion of arable land at an appropriate scale | Proportion of farmers operating at an appropriate scale | % | 0.0692 | positive | |
| Agricultural mechanization services | Number of agricultural mechanization service providers | Number of agricultural mechanization service providers | - | 0.0576 | Positive |
| Area served by agricultural aircraft | Total area of machine-ploughing, machine-irrigation, machine-planting, machine-harvesting, and machine-sowing | Khm2 | 0.0373 | Positive | |
| Level of agricultural mechanisation | Total power of agricultural mechanisation | Ten thousand Kilowatts | 0.0302 | Positive | |
| Number of agricultural mechanisation service organisations | Number of agricultural mechanisation service organisations | - | 0.0473 | Positive | |
| Agricultural aircraft operational area | Agricultural aircraft operational area | Khm2 | 0.1171 | Positive | |
| Refined operation area of agricultural machinery | Area of small-scale planting under mechanical refinement | Khm2 | 0.0862 | Positive | |
| Number of medium and large tractors | Number of medium and large tractors | 10,000 units | 0.0527 | Positive | |
| Agricultural informatization services | Rural Internet penetration rate | Number of rural Internet broadband accesses | - | 0.0437 | Positive |
| Rural telephone penetration | Rural telephone penetration | % | 0.0134 | Positive | |
| Proportion of villages with postal service | Proportion of postal villages in total villages | % | 0.0011 | Positive | |
| Length of rural postal delivery routes | Length of rural postal routes | km | 0.0191 | Positive | |
| Agricultural infrastructure services | Level of rural water construction | Effective irrigated area | hm2 | 0.0284 | Positive |
| Length of rural roads | Length of rural roads | km | 0.0374 | Positive | |
| Rural per capita investment in agriculture, forestry and water fixed assets | Per capita investment in fixed assets in agriculture, forestry, and water | Hundred million CNY/person | 0.0300 | Positive | |
| Reservoir density | Number of reservoirs | - | 0.0459 | Positive | |
| Electricity consumption in rural areas | Rural electricity consumption | Kilowatts | 0.0602 | Positive | |
| Agricultural technology services | Number of agricultural technicians per 10,000 farmers | R&D personnel per unit of agricultural GDP | Hundred million CNY/person | 0.0323 | Positive |
| Rural human capital | Average years of schooling weighted by education level and region | % | 0.0046 | Positive | |
| Agrometeorological observation stations | Number of agrometeorological observation stations | - | 0.0124 | Positive | |
| Agricultural financial services | Penetration rate of agricultural insurance | Agricultural insurance costs | % | 0.0301 | Positive |
| Proportion of agricultural loans in total loans | Total agriculture-related loans | billion | 0.0284 | Positive | |
| Agricultural socialized services | Living standards of the rural population | Rural Engel coefficient | % | 0.0046 | Negative |
| Completion of fixed asset investment in rural households | Ratio of completed fixed asset investment in rural households to primary sector output value | % | 0.0175 | Positive | |
| Fiscal agricultural expenditure | Local financial expenditure on agriculture, forestry and water affairs | Hundred million CNY | 0.0157 | Positive | |
| Level of soil erosion control | Area of soil and water conservation | Km2 | 0.0266 | Positive |
| (1) | (2) | (3) | (4) | (5) | |
|---|---|---|---|---|---|
| lnINC | lnINC | lnINC | lnINC | lnINC | |
| ASS | 0.171 *** | 0.183 *** | 0.272 *** | 0.280 ** | 0.241 *** |
| (0.061) | (0.063) | (0.091) | (0.116) | (0.071) | |
| hc | 0.020 *** | 0.121 *** | 0.111 *** | 0.011 | |
| (0.007) | (0.025) | (0.023) | (0.008) | ||
| open | 0.065 *** | 0.240 *** | 0.318 *** | 0.037 * | |
| (0.019) | (0.075) | (0.057) | (0.022) | ||
| agdp | 0.0004 | 0.249 *** | 0.222 *** | 0.017 *** | |
| (0.005) | (0.012) | (0.015) | (0.005) | ||
| ls | −0.086 | 4.354 *** | 4.034 *** | 0.185 | |
| (0.149) | (0.258) | (0.309) | (0.166) | ||
| md | 0.065 *** | 0.173 *** | 0.176 *** | 0.048 *** | |
| (0.015) | (0.063) | (0.054) | (0.016) | ||
| _cons | 8.881 *** | 8.741 *** | 3.810 *** | 4.238 *** | 8.566 *** |
| (0.009) | (0.142) | (0.280) | (0.297) | (0.157) | |
| Year | Yes | Yes | Yes | ||
| Province | Yes | Yes | Yes | ||
| Number of observations | 330 | 330 | 330 | 300 | 330 |
| Adj.R2 | 0.995 | 0.995 | 0.737 | 0.742 | 0.994 |
| Year | Moran’s I | Z | P | Geary’s C | Z | P |
|---|---|---|---|---|---|---|
| 2011 | 0.181 | 6.169 | 0.000 | 0.828 | −3.511 | 0.000 |
| 2012 | 0.183 | 6.209 | 0.000 | 0.827 | −3.548 | 0.000 |
| 2013 | 0.185 | 6.244 | 0.000 | 0.827 | −3.575 | 0.000 |
| 2014 | 0.185 | 6.247 | 0.000 | 0.827 | −3.577 | 0.000 |
| 2015 | 0.182 | 6.178 | 0.000 | 0.829 | −3.501 | 0.000 |
| 2016 | 0.179 | 6.097 | 0.000 | 0.833 | −3.406 | 0.000 |
| 2017 | 0.177 | 6.050 | 0.000 | 0.835 | −3.355 | 0.001 |
| 2018 | 0.175 | 6.014 | 0.000 | 0.836 | −3.303 | 0.001 |
| 2019 | 0.174 | 5.997 | 0.000 | 0.836 | −3.280 | 0.001 |
| 2020 | 0.173 | 5.986 | 0.000 | 0.836 | −3.273 | 0.001 |
| 2021 | 0.173 | 5.969 | 0.000 | 0.836 | −3.264 | 0.001 |
| Methods | Index | Value | P |
|---|---|---|---|
| LM | Moran’s I | 21.602 | 0.000 |
| LM_error | 414.029 | 0.000 | |
| Robust_LM_error | 97.049 | 0.000 | |
| LM_lag | 519.545 | 0.000 | |
| Robust_LM_lag | 202.565 | 0.000 | |
| LR | LR_spatial_lag | 61.72 | 0.000 |
| LR_spatial_error | 73.34 | 0.000 | |
| Husman | FE or RE | 18.91 | 0.002 |
| Wald | Wald_spatial_error | 64.8 | 0.000 |
| Wald_spatial_error | 79.2 | 0.000 |
| (1) | (2) | (3) | ||
|---|---|---|---|---|
| Main | SAR | SEM | SDM | Wx |
| ASS | 0.134 *** | 0.104 ** | 0.120 ** | 1.851 *** |
| (0.052) | (0.053) | (0.049) | (0.310) | |
| hc | 0.016 *** | 0.014 ** | 0.018 *** | 0.139 *** |
| (0.006) | (0.006) | (0.006) | (0.042) | |
| open | 0.054 *** | 0.047 *** | 0.060 *** | 0.438 *** |
| (0.016) | (0.016) | (0.015) | (0.088) | |
| agdp | −0.001 | −0.000 | −0.005 | −0.013 |
| (0.004) | (0.004) | (0.004) | (0.026) | |
| ls | −0.094 | −0.088 | −0.140 | −1.386 * |
| (0.122) | (0.122) | (0.117) | (0.809) | |
| md | 0.054 *** | 0.050 *** | 0.035 *** | 0.101 |
| (0.012) | (0.012) | (0.012) | (0.064) | |
| ρ | 0.795 *** | 0.702 *** | ||
| (0.059) | (0.083) | |||
| λ | 0.779 *** | |||
| (0.065) | ||||
| Log-lik | 878.774 | 872.964 | 909.634 | |
| N | 330 | 330 | 330 | |
| R2 | 0.588 | 0.367 | 0.669 |
| Direct Effects | Spillover Effects | Total Effect | |
|---|---|---|---|
| ASS | 0.315 *** | 6.650 *** | 6.965 *** |
| (0.096) | (2.299) | (2.381) | |
| hc | 0.033 *** | 0.516 ** | 0.549 ** |
| (0.010) | (0.224) | (0.233) | |
| open | 0.109 *** | 1.668 *** | 1.777 *** |
| (0.024) | (0.596) | (0.616) | |
| agdp | −0.006 | −0.060 | −0.067 |
| (0.005) | (0.098) | (0.101) | |
| ls | −0.295 * | −5.208 | −5.504 |
| (0.170) | (3.538) | (3.673) | |
| md | 0.049 *** | 0.452 | 0.501 |
| (0.017) | (0.295) | (0.306) |
| Economic Geography Nested Matrix | Agricultural Economic Geography Matrix | |||||
|---|---|---|---|---|---|---|
| Direct Effect | Spillover Effect | Aggregate Effect | Direct Effect | Spillover Effect | Aggregate Effect | |
| ASS | 0.248 *** | 4.627 *** | 4.875 *** | 0.241 *** | 4.030 *** | 4.271 *** |
| (0.078) | (1.672) | (1.733) | (0.071) | (1.522) | (1.574) | |
| hc | 0.028 *** | 0.323 ** | 0.350 ** | 0.046 *** | 0.982 *** | 1.028 *** |
| (0.008) | (0.141) | (0.148) | (0.014) | (0.371) | (0.384) | |
| open | 0.078 *** | 0.769 ** | 0.847 *** | 0.119 *** | 1.515 ** | 1.633 ** |
| (0.018) | (0.311) | (0.322) | (0.026) | (0.676) | (0.698) | |
| agdp | 0.001 | 0.111 | 0.113 | −0.020 *** | −0.416 ** | −0.436 ** |
| (0.005) | (0.072) | (0.075) | (0.008) | (0.211) | (0.218) | |
| ls | 0.002 | 1.300 | 1.302 | −0.155 | −3.364 | −3.519 |
| (0.152) | (2.952) | (3.060) | (0.179) | (3.823) | (3.971) | |
| md | 0.034 ** | 0.200 | 0.234 | 0.086 *** | 1.094 ** | 1.180 ** |
| (0.015) | (0.191) | (0.200) | (0.019) | (0.460) | (0.475) | |
| SDM | |||
|---|---|---|---|
| First Order Lag | Lagging Second Order | Excluding Municipalities | |
| ASS | 0.155 *** | 0.131 ** | 0.138 ** |
| (0.051) | (0.055) | (0.063) | |
| W × ASS | 1.919 *** | 1.682 *** | 1.203 *** |
| (0.323) | (0.342) | (0.388) | |
| direct effect | 0.389 *** | 0.377 *** | 0.199 *** |
| (0.112) | (0.125) | (0.072) | |
| indirect effect | 7.800 *** | 7.974 ** | 2.423 ** |
| (2.812) | (3.167) | (0.960) | |
| aggregate effect | 8.189 *** | 8.351 ** | 2.622 *** |
| (2.912) | (3.280) | (0.995) | |
| ρ | 0.732 *** | 0.768 *** | 0.465 *** |
| (0.076) | (0.067) | (0.130) | |
| Control | YES | YES | YES |
| Log-lik | 894.782 | 872.820 | 740.713 |
| N | 330 | 330 | 286 |
| adj.R2 | 0.535 | 0.135 | 0.514 |
| (1) | (1) | (1) | |
|---|---|---|---|
| Main | Eastern Part | Central Section | Western Part |
| ASS | 0.281 *** | 0.156 * | 0.009 |
| (0.068) | (0.084) | (0.128) | |
| W × ASS | 0.152 | 0.701 *** | 1.742 *** |
| (0.231) | (0.189) | (0.515) | |
| direct effect | 0.435 *** | 0.610 *** | 1.899 ** |
| (0.143) | (0.167) | (0.764) | |
| indirect effect | 1.790 | 3.934 *** | 16.261 *** |
| (1.138) | (1.108) | (5.682) | |
| aggregate effect | 2.225 * | 4.544 *** | 18.160 *** |
| (1.268) | (1.255) | (6.442) | |
| ρ | 0.810 *** | 0.805 *** | 0.902 *** |
| (0.032) | (0.042) | (0.019) | |
| Control | YES | YES | YES |
| Log-lik | 392.771 | 254.466 | 295.326 |
| N | 132 | 99 | 99 |
| R2 | 0.647 | 0.951 | 0.795 |
| urb | lnINC |
|---|---|
| ASS × I (Th ≤ 0.3878) | −1.049 ** |
| (0.516) | |
| ASS × I (0.3878 < Th < 0.4348) | 1.111 *** |
| (0.317) | |
| ASS × I (Th ≥ 0.4348) | 1.699 *** |
| (0.240) | |
| _cons | 3.296 *** |
| (0.481) | |
| Control | YES |
| N | 330 |
| R2 | 0.920 |
Disclaimer/Publisher’s Note: The statements, opinions and data contained in all publications are solely those of the individual author(s) and contributor(s) and not of MDPI and/or the editor(s). MDPI and/or the editor(s) disclaim responsibility for any injury to people or property resulting from any ideas, methods, instructions or products referred to in the content. |
© 2025 by the authors. Licensee MDPI, Basel, Switzerland. This article is an open access article distributed under the terms and conditions of the Creative Commons Attribution (CC BY) license (https://creativecommons.org/licenses/by/4.0/).
Share and Cite
Liao, R.; Chen, Z.; Sirisrisakulchai, J.; Liu, J. Enhancing Rural Economic Sustainability in China Through Agricultural Socialization Services: A Novel Perspective on Spatial-Temporal Dynamics. Agriculture 2025, 15, 267. https://doi.org/10.3390/agriculture15030267
Liao R, Chen Z, Sirisrisakulchai J, Liu J. Enhancing Rural Economic Sustainability in China Through Agricultural Socialization Services: A Novel Perspective on Spatial-Temporal Dynamics. Agriculture. 2025; 15(3):267. https://doi.org/10.3390/agriculture15030267
Chicago/Turabian StyleLiao, Ruofan, Zhengtao Chen, Jirakom Sirisrisakulchai, and Jianxu Liu. 2025. "Enhancing Rural Economic Sustainability in China Through Agricultural Socialization Services: A Novel Perspective on Spatial-Temporal Dynamics" Agriculture 15, no. 3: 267. https://doi.org/10.3390/agriculture15030267
APA StyleLiao, R., Chen, Z., Sirisrisakulchai, J., & Liu, J. (2025). Enhancing Rural Economic Sustainability in China Through Agricultural Socialization Services: A Novel Perspective on Spatial-Temporal Dynamics. Agriculture, 15(3), 267. https://doi.org/10.3390/agriculture15030267
