Next Article in Journal
Variation in Floral Nectar Traits of Four Chestnut (Castanea spp.) Cultivars: Implications for Pollinators and Apiculture
Previous Article in Journal
Dual-Drive Window Control Method for Continuous Grain Drying Based on Water Potential Accumulation
Previous Article in Special Issue
Assessing Honey Quality: A Focus on Some Physicochemical Parameters of Honey from Iasi County (Romania)
 
 
Font Type:
Arial Georgia Verdana
Font Size:
Aa Aa Aa
Line Spacing:
Column Width:
Background:
Article

Integrative Feeding Strategies with Essential Oils and Probiotics to Improve Raw Meat Quality and Carcass Traits in Broiler Chickens

1
Faculty of Bioengineering of Animal Resources, University of Life Sciences King Mihai I from Timisoara, 300645 Timisoara, Romania
2
Academy of Romanian Scientists, Ilfov Street, No. 3, 050044 Bucharest, Romania
3
Bacteriology Branch, Veterinary Sciences Division, Agri-Food and Biosciences Institute, Belfast BT4 3SD, UK
4
Department of Animal and Dairy Science, University of Georgia, Athens, GA 30602, USA
5
Faculty of Food Engineering, University of Life Sciences King Mihai I from Timisoara, 300645 Timisoara, Romania
6
Faculty of Agriculture, University of Life Sciences King Mihai I from Timisoara, 300645 Timisoara, Romania
7
Research Institute of the University of Bucharest, 90 Sos. Panduri, 050663 Bucharest, Romania
8
Faculty of Veterinary Medicine, University of Life Sciences King Mihai I from Timisoara, 300645 Timisoara, Romania
*
Author to whom correspondence should be addressed.
These authors contributed equally to this work.
Agriculture 2025, 15(22), 2356; https://doi.org/10.3390/agriculture15222356
Submission received: 16 October 2025 / Revised: 5 November 2025 / Accepted: 6 November 2025 / Published: 13 November 2025
(This article belongs to the Special Issue Quality Assessment and Processing of Farm Animal Products)

Abstract

Essential oils (EOs) have gained recognition as promising alternatives to antibiotics due to their positive effects on bird growth performance, enhanced meat quality, and improved overall health, without producing the negative consequences associated with antibiotics. This study evaluated the effects of dietary supplementation of tea tree (TTEO) and thyme (TEO) EOs, individually or in combination with the probiotic BioPlus 2b (Bacillus subtilis and Bacillus licheniformis), on poultry broiler performance, including the meat quality. A total of 240 ROSS 308 broilers were assigned to eight dietary treatments over a 35-day trial. Parameters such as body weight (BW), feed conversion ratio (FCR), carcass portion, drip loss, and meat pH were evaluated. TTEO had a significant (p ≤ 0.05) impact on final carcass and breast portion, while in combination with probiotics, specifically TTEO with BioPlus significantly (p ≤ 0.05) reduced meat drip loss. GC-MS analysis identified terpinen-4-ol and γ-terpinene as the major constituents of TTEO, and thymol and carvacrol as the major constituents of TEO. In conclusion, combinations of TTEO, TEO, and probiotics can have beneficial effects on chicken raw meat quality, providing a complementary benefit to the industry and representing a viable alternative to conventional agents.

1. Introduction

As the global population is expected to exceed 10.3 billion by 2084, the challenge of feeding more than 2 billion people will become more pressing [1]. In this context, the poultry sector can provide a fast and effective solution to fulfil the worldwide demand for protein nutrition [2]. Poultry production forecasts indicate a 24% expansion to 131,255 thousand metric tons by 2025, as it is expected to be a key player in meeting the world’s meat requirements [3]. Antibiotic overuse in the market has generated antimicrobial resistance (AMR), thereby threatening the health connection between humans and animals [4,5]. A challenge to non-therapeutic antibiotic usage as a growth promoter exists due to its dual role in elevating AMR and contributing to environmental pollution [6]. A growing number of producers are adopting EOs and alternative products such as probiotics, prebiotics, natural antimicrobials, organic acids, and phytogenic mixes because these solutions gain traction as sustainable solutions [6,7,8,9,10]. The alternative strategies effectively reduce AMR risks while also satisfying market demands for products free of synthetic additives. In recent years, there has been a growing interest in biologically active plant substances for poultry extracted from tea tree (Melaleuca alternifolia), thyme (Thymus vulgaris), oregano (Origanum vulgare), cinnamon (Cinnamomum zeylanicum), ginger (Zingiber officinale), onion (Allium cepa), rosemary (Rosmarinus officinalis), across Europe, Japan, Australia and the USA [11,12,13,14]. Of these, thyme [13,15,16,17,18,19,20,21,22,23,24,25,26] and tea tree [16,17,27,28,29,30,31,32,33,34,35]. EOs have been shown recently to possess several beneficial properties, including anti-inflammatory, immunomodulatory, antimicrobial (e.g., antibacterial, antiviral, antifungal, antiparasitic), gut-protective, antitumour, and antioxidant activities through various mechanisms, drawing significant attention to their potential use as zootechnical additives and replacement for antibiotics in poultry avian species [19,34,36]. Specifically, by modulating metabolism, antioxidant status, and stress response, EOs contribute to enhanced water-holding capacity and optimal post-mortem pH, thereby improving tenderness, color stability, and shelf life of poultry meat [15,37].
For example, tea tree (M. alternifolia) essential oil (TTEO) contains around 100 biological compounds, including monoterpenes, sesquiterpenes, and their alcohols, with terpinen-4-ol, γ-terpinene, α-terpinene, α-terpineol, α-terpinolene, and 1,8-cineole as its main constituents [11,38,39,40]. The bioactive compounds in tea tree EO could reduce reactive oxygen species in vivo and possess stronger antioxidant capabilities than synthetic antioxidants such as butylated hydroxytoluene, thus representing a natural food preservation approach [35,38,40]. The extraction of EO occurs through steam distillation of native Australian tea tree (M. alternifolia) leaves, which restricts yielding extraction products that range from colourless to light yellow with a distinct aromatic scent [14,41]. The attractive characteristics of this oil are its non-toxicity and broad applicability in medical pharmaceuticals, food flavourings, and daily use chemicals [28]. The studies suggested that tea tree EO could be utilised with multiple EOs to enhance antioxidant properties, which might expand its synergistic outcomes [16]. Similarly, Thyme (Thymus vulgaris) is a medicinal and culinary herb containing 0.8 to 2.6% EOs, which comprise major components such as phenols, monoterpene hydrocarbons and alcohols [26]. The main phenolic compounds in thyme essential oil (TEO) consist of thymol alongside carvacrol, which have previously demonstrated extensive biological activities [15,42]. Investigations have confirmed that thymol constitutes 20% to 60% of the thyme oil content, and carvacrol is present at levels ranging from 2.40% to 16%. β-Linalool and 1,8-cineole are also present in significant concentrations, while other components appear in trace amounts [15,42].
Functionally, key constituents of TTEO (notably terpinen-4-ol and 1,8-cineole) and TEO (thymol and carvacrol) have anti-inflammatory and antioxidant potential enabled via upregulation of endogenous antioxidant enzymes (i.e., SOD, CAT, GPx) and mitigation of oxidative stress and mucosal inflammation, therefore improving intestinal integrity and overall physiological status in broilers. Across feeding trials, these effects are associated with improved production performance and measurable meat-quality gains, including a more stable post-mortem pH, higher water-holding capacity (i.e., reduced drip loss), lower lipid oxidation (TBARS), and enhanced colour stability during storage [34,39,42,43].
Besides EOs, probiotics receive special recognition in the poultry industry as they restore microbial balance, reinforce mucosal barriers, reduce gut permeability and modulate the immune response to decrease inflammation [44]. The application of probiotics as a feeding approach has become increasingly popular because they deliver advantageous outcomes for mineral absorption, along with anti-inflammatory control and the secretion of neuroactive factors [44]. In the sphere of poultry probiotics, Bacillus strains such as B. subtilis, B. cereus, B. clausii, B. licheniformis, and B. amyloliquefaciens are highly favoured for commercial use, each contributing positively to animal health and improvements in meat quality [44,45,46,47,48]. The effectiveness of probiotics is strain-specific, meaning that different strains may have separate effects on health outcomes. The genus Bacillus is increasingly favoured as a bacterial species in commercial farm animal and poultry probiotic formulations due to its advantageous characteristics over Lactobacillus and Bifidobacterium [44,45,48]. These outcomes stem from the Bacillus species’ unique ability to form spores. This trait enables their survival during various environmental stresses, including those encountered during the preparation and application processes of probiotics [49]. For example, Bacillus strains demonstrated greater tolerance to the harsh conditions of the gastric environment, including low pH levels and bile salts [50]. This tolerance mechanism ensures that they not only survive the transit through the digestive system but also retain their viability and beneficial traits for the host’s health from the initial to the final part of the gastrointestinal tract [50,51].
Having access to high quality broiler performance related to feed composition and consumption, together with its influence on poultry growth and meat quality, is of major importance for the implementation of in vivo trials of probiotics and EOs. Therefore, the primary objective of this study was to evaluate the effects of incorporating commercial tea tree (TTEO) and thyme (TEO) EOs in combination with a probiotic blend containing Bacillus licheniformis and Bacillus subtilis (BioPlus 2 B), applied either separately or in combination, into broiler diets. This study aims to leverage the synergistic benefits of probiotics and EOs on key bio-productive parameters such as production indicators and meat quality parameters in broiler chickens.

2. Materials and Methods

2.1. Experimental Design and Diets

ROSS 308 tetra-line hybrid broiler chickens were used in this study using an intensive production system. The experiment was conducted on a total of 240 male broiler chickens, randomly assigned to eight experimental groups (CG–G7), with each group comprising three replicates (pens). Each replicate included 10 birds, resulting in 30 birds per treatment group. Only male broilers were used to minimise biological variability and ensure uniformity in growth performance and meat quality parameters. For growth performance evaluation (e.g., body weight (BW), body weight gain (BWG), the average daily gain (ADG), feed conversion ratio (FCR) and feed intake (FI)). All 240 birds were individually weighed at day 1 (hatch), day 10, day 24 and again at the end of the experimental period at day 35, respectively. Throughout the experiment, broilers were housed and managed according to the standard technological guidelines for intensive broiler production as described in the industry standards guide from Aviagen detailed in the Ross 308 Broiler Management Handbook (Version 2022). All husbandry practices followed these guidelines, including stocking density, ventilation, lighting, temperature, and litter management. Moreover, the overall production system complied with the European Union’s animal welfare regulation, which has been mandatory in all Member States since 2012, ensuring that housing and management practices adhere to current legislative standards for intensive broiler production. Chickens were fed specific compound feeds provided ad libitum. Drinking water met all quality standards stipulated by the current legislation. The experiment was conducted over a period of 35 days, with a total of 8 groups, each group receiving individual dietary treatments (10 broilers/replicate) and on three separate occasions to ensure statistical significance. All diets were formulated and mixed in house and formulations are included in Table 1.
The experimental design is described in Figure 1. The groups are: (1) Control Group (CG) received-combined feed (CF) according to Aviagen guide; (2) G1—CF + 250 mg TTEO; (3) G2: CF + 250 mg TEO; (4) G3—CF+ 125 mg TEO + 125 mg TTEO; (5) G4—CF + 250 mg TTEO + probiotic Bioplus 2B®; (6) G5—CF + 250 mg thyme essential oil + probiotic Bioplus 2B®; (7) G6—CF + 125 mg TTEO + 125 mg TEO + probiotic Bioplus 2B®; (8) G7—CF + probiotic Bioplus 2B® only.
For carcass traits and meat quality assessments (including carcass yield, cut proportions, drip loss, and pH), 10 birds per group were selected for slaughter based on the average body weight of their respective treatment group, ensuring representativeness. Each carcass was dissected and weighed by individual anatomical parts (breast, thighs, drumsticks, wings, back and neck), and internal organs (liver, heart, and gizzard) were also weighed with CAS SW electronic scale, max 2.5/5 kg (dual range), min 20 g, e = d = 1/2 g; (CAS, Seoul, Republic of Korea) for each slaughtered bird. Meat quality parameters, including drip loss and pH measurements, were determined exclusively on the pectoral muscles of the same 10 birds per group used for carcass evaluation. BW of broiler chickens was individually recorded at hatch (day 1), day 10, day 24 and at the end of the experimental period (day 35), coinciding with the slaughter date. Total BWG was calculated as the difference between the final and initial body weights. The ADG was determined by dividing the total weight gain by the number of experimental days (35 days). FI was measured at the replicate level. The daily feed allocation and feed refusals for each replicate were weighed throughout the 35-day trial. The amount of feed consumed per replicate was calculated as the difference between the feed offered and the feed refused. These data were used to estimate total feed intake over the experimental period. The feed FCR was calculated for each replicate as the ratio between the total feed intake and the total weight gain of the birds during the trial.
The EOs used in this study were supplied and manufactured by Fares Bio Vital Laboratories, Orăștie, Hunedoara, Romania, which is a certified producer in accordance with ISO 9001:2015 international standards. The TTEO (Melaleucae aetheroleum) was obtained by steam distillation from the leaves of M. alternifolia. While TEO (Thymi aetheroleum) was obtained by steam distillation from the aerial parts of the plant T. vulgaris. EOs were diluted in sunflower oil and then included in the diets accordingly. The probiotic, Bioplus 2B®, was included at a level of 1 kg/ton and was incorporated into a substrate of calcium carbonate as a carrier to ensure uniform distribution throughout the feed. Bioplus 2B® (Chr. Hansen A/S, Hørsholm, Denmark), which includes 3.2 billion CFU/gram of Bacillus licheniformis and Bacillus subtilis.

2.2. Assessment of Drip Loss

The internationally standard methodology used to determine drip loss was the Honikel Drip Loss Test (bag method), based on gravimetric analysis—measuring the weight difference before and after storage [52]. Dripp loss, was assessed at intervals of 24, 48, 96, 144, and 192 h after the slaughtering of broiler chickens. Briefly, meat samples approximately 2 cm thick (around 60–100 g) were collected from the pectoral muscle immediately or within a few hours post-slaughter to ensure accuracy. Each sample was weighed initially (Gi) using a CAS SW electronic scale, (CAS, Seoul, Republic of Korea) Samples were then suspended inside transparent, low-permeability, sealed plastic bags, ensuring no contact between the meat and the bag walls to prevent reabsorption of exudate. Bags containing samples were refrigerated (Beko B5RCNA366HXB1, Găiești, Dambovita County, Romania) at temperatures ranging from 0 to 4 °C and kept for 192 h. After storage, samples were removed from bags, excess fluid was gently removed via pipettes or absorbent paper, and the samples were re-weighed (Gf) at each weighing, as stipulated by the experimental protocol. The drip loss percentage was calculated using the following formula:
( % )   Drip   Loss   =   G   i   G   f G   i × 100
where Gi represented the initial sample weight and Gf the final sample weight after the storage period.

2.3. Determination of Breast Meat pH

For the pH measurement at 0, 24, 48, 96, 144, and 192 h, we used a pH meter equipped with a significant variation among penetration electrodes (model HI 996163, Hanna Instruments, Woonsocket, RI, USA). Immediately after evisceration, measurements were taken directly from the pectoralis major muscle at three distinct points (cranial, medial, and caudal), and the average value from these measurements was used for analysis, following the methodology described by Pinheiro et al. (2015) [53]. For this procedure, four broiler chickens per replicate were slaughtered. In each replicate, pH was determined on 4 birds, yielding 12 pH values per experimental treatment, which were included in the statistical analysis.

2.4. Establishing the Carcass Weight

At the end of the 35-day trial period, ten broiler chickens were randomly selected from each experimental group (n = 30) for slaughter and carcass evaluation. Each treatment comprised 3 replicate pens (10 birds per pen), totalling 30 birds per treatment (240 birds overall). The birds were weighed individually and humanely slaughtered according to standard ethical and welfare guidelines [54], with approval from the Bioethics Committee of the University of Life Sciences King Mihai I of Timisoara (Approval No. 56/7.07.2021). Before slaughter, birds were fasted for 8 h (feeders raised). They were electrically stunned and exsanguinated by severing the cervical vessels. After ~90 s of bleeding, carcasses were scalded at 52–54 °C for 2–3 min and then defeathered. Post-pick, carcasses were trimmed and eviscerated, then chilled at 4 °C for 90–120 min until the pectoralis major reached 4 °C. After slaughter, carcasses were defeathered, eviscerated, and cleaned. Carcass weight was calculated as the ratio of carcass weight to live BW, expressed as a percentage according to the Ross 308 guides [54,55]. Carcass cuts were determined anatomically, weighted with the skin on and separated into standard commercial portions: breast, thighs (including drumsticks), wings, and back with neck. A precision electronic scale was used to weigh every cut, and its proportion was calculated based on the total live BW of the carcass. In addition, internal organs (liver, heart, and gizzard) were excised, carefully cleaned of any connective tissue, and weighed individually. Organ weights were expressed as percentages of the live BW according to Aviagen recommendations to evaluate relative development across dietary treatments. Slaughter yield represents the percentage ratio between carcass weight and live weight of the birds, calculated according to the following formula [56]:
Carcass   yield   ( % )   =   C a r c a s s   w e i g h t L i v e   w e i g h t × 100
Carcass yield was calculated on chilled carcasses, i.e., after cooling at 0–4 °C for 90–120 min until the core pectoralis major temperature reached 4 °C.

2.5. Essential Oil Analysis with Gas Chromatography-Mass Spectrometry (GC-MS)

The TTEO and TEO were analysed by GC-MS (GC-MS-QP2010 Plus, Shimadzu, Kyoto, Japan) by dissolving 20 µL of each EO in 1480 µL hexane. From the resulting solutions, 1 µL was injected into the GC-MS system at an injector temperature of 250 °C. The compounds were separated from the hexane on a capillary column (AT-5MS, 30 m × 0.32; mm 0.25 µm film thickness) from Alltech Associates, Deerfield, IL, USA [57]. Separation conditions were set up at an initial temperature of 40 °C maintained for 2 min, then increased to 250 °C at a rate of 4°/min, followed by a ramp of 300 °C at 10°/min, maintained for 5 min. The mobile phase was helium (purity 6.0) at a constant flow rate of 1.92 mL/min. The interface temperature was set at 250 °C, and the ion source temperature was set at 210 °C, respectively. Identification of the separated compounds was performed by mass spectrometry in scan mode acquisition (m/z 35–500 Da) using the National Institute of Standards and Technology (NIST) database. Retention indices (RI) were calculated relative to a homologous series of n-alkanes (C8–C20) under the same chromatographic conditions on the AT-5MS column [58]. Quantification of individual components was carried out using the normalised peak area method. All samples were injected in triplicate.
Chemical profiling was evaluated by GC-MS, which detected 34 volatile compounds in TTEO and 33 compounds in TEO (Table 2). TTEO was dominated by terpinen-4-ol (40.47%) and eucalyptol (5.50%), alongside γ-terpinene, 4-carene, and terpinolene. In TEO, thymol (28.77%), carvacrol (6.13%), and linalool (5.92%) were the main oxygenated monoterpenes, with p-cymene and γ-terpinene also prominent.

2.6. Statistical Analysis

Statistical analysis was performed using IBM SPSS Statistics 26 software, applying ANOVA followed by Tukey and LSD post hoc tests, as well as Student’s t-test for group comparisons. A p-value < 0.05 was considered statistically significant. Graphs were generated using GraphPad Prism 10 software.

3. Results

3.1. Nutritional and Bio-Productive Indices Recorded in Chickens from the Experimental Variants

The first productive parameter monitored was BW, and its evolution is presented in Table 3.
Weighing was performed on a electronic scale readable to three decimal places; therefore, we did not round the recorded weights to maintain higher accuracy. Statistical analysis was conducted using values with two decimal places. At hatch, the birds’ body weights were similar across groups, ranging from 43.8 g (G2) to 44.0 g (G1, G6, G7). On day 10, body weight ranged from 276.4 g (G6) to 296.1 g (G5). On day 24, BW values ranged from 1117.7 g (G6) to 1201.5 g (CG). At 35 days, weights ranged from 1985.5 g (G5) to 2166.3 g (CG). Throughout the rearing period, no statistically significant numerical differences were observed between groups (p > 0.05).
In parallel with BW, weight gain (WG) was also monitored throughout the entire experimental period, as well as during each specific growth interval (Table 4).
From hatch to day 10, total weight gain (WG) ranged from 232.4 g (G6) to 252.2 g (G5). During days 11–24, WG ranged from 841.3 g (G6) to 913.4 g (CG). Over days 25–35, WG ranged from 834.54 g (G5) to 974.2 g (G7). Across the entire rearing period (days 1–35), WG ranged from 1941.6 g (G5) to 2122.4 g (CG). Over the whole period, numerical differences between groups were not statistically significant (p > 0.05).
In addition to BW and WG, feed intake (FI) was also monitored across each experimental period. The evolution of feed consumption is displayed in Table 5.
In the first growth phase, FI ranged from 233.5 g to 259.2 g. Between days 11 and 24, birds in group G1 consumed 1200.8 g of feed, while those in group G7 had the highest intake at 1284.4 g. During the final interval (days 25 to 35), FI remained relatively consistent, ranging from 1507.0 g in group G1 to 1637.1 g in group CG. Over the entire experimental period, cumulative FI varied between 2967.0 g (G1) and 3168.5 g (CG). Similarly, numerical variations in feed consumption were observed across all growth intervals; these differences were not statistically significant (p > 0.05).
Next, by correlating FI-related data with WG, the feed conversion ratio (FCR) was calculated and is presented in Table 6.
Numerical differences in feed conversion ratio (FCR) were observed in all growth intervals; however, these were not statistically significant (p > 0.05). In the first interval, FCR ranged from 0.99 kg feed/kg gain (G3) to 1.07 kg feed/kg gain (G7). During days 11–24, FCR values ranged from 1.40 (G2) to 1.43 (G7). Over days 25–35, FCR ranged from 1.62 (G3) to 1.69 (G1). For the entire experimental period, FCR ranged from 1.47 (G2) to 1.58 (G5).
Similarly, numerical differences in FCR were noted across all intervals; however, these differences were not statistically significant (p > 0.05). According to the ANOVA test results, during the first growth interval, FCR values ranged from 0.99 kg feed/kg gain in group G3 to 1.07 kg feed/kg gain in group G7. In the second period (days 11–24), the lowest FCR was recorded in group G2 (1.4), while the highest was observed in group G7 (1.43). Between days 25 and 35, the lowest FCR occurred in group G3 (1.62), and the highest in group G1 (1.69). Over the entire experimental period, FCR values ranged from 1.47 in group G2 to 1.58 in group G5.
Therefore, it can be concluded that the addition of the EOs and the probiotic did not significantly influence the nutritional or bio-productive parameters (i.e., BW, total WG, FI and FCR). However, the lowest FCR ratio was recorded in group G2, where the compound feed was supplemented with 250 mg/kg of TTEO.

3.2. Carcass Portion, Meat Cuts and Organs Percentages

The results depicted in Figure 2 and Figure 3 showed statistically significant differences in the proportions of the main carcass parts and the internal organs examined in the study.
The dietary inclusion of TTEO in group G1 led to significant carcass portion differences when compared to G4 (Figure 2A) (p ≤ 0.05). Secondly, regarding breast portion (Figure 2B), significant differences were identified between the CG and G1 (p ≤ 0.05), being prominently increased in G1. Significant differences were also observed for G2 vs. G4, G2 vs. G6, G3 vs. G4, G3 vs. G6, and G5 vs. G6 (p ≤ 0.05), indicating treatment-dependent variation in breast portion.
After analysing the whole thighs (Figure 2C), the highest portion was recorded in group G4, which was significantly higher compared to group G1 (p ≤ 0.05). However, for thigh portion specifically, no significant differences were observed among experimental groups (p ≥ 0.05) (Figure 2D). Analysis of drumsticks revealed a significant difference between G4 and G1 (Figure 2C, p ≤ 0.05), reflecting the influence of the treatments on this carcass component. At the same time, drumstick portion (Figure 2E) exhibited the lowest percentage in group G1, with significant differences observed between control vs. G1 and G1 vs. G4 (p ≤ 0.05). In the case of wings (Figure 2F), as well as back and neck portion (Figure 2G), no statistically significant differences were noted among experimental groups (p ≥ 0.05). Conclusively, Group G1 demonstrated the highest breast portion and the lowest whole-thigh portion among the experimental groups. In the case of internal organs (Figure 3), significant differences were identified only for liver portion (Figure 3C), where the highest portion was recorded in group G4 and the lowest in group G5, with statistical significance between these two groups (p ≤ 0.05). No significant differences were identified for gizzards and hearts.

3.3. Drip Loss Impact on Breast Meat Quality

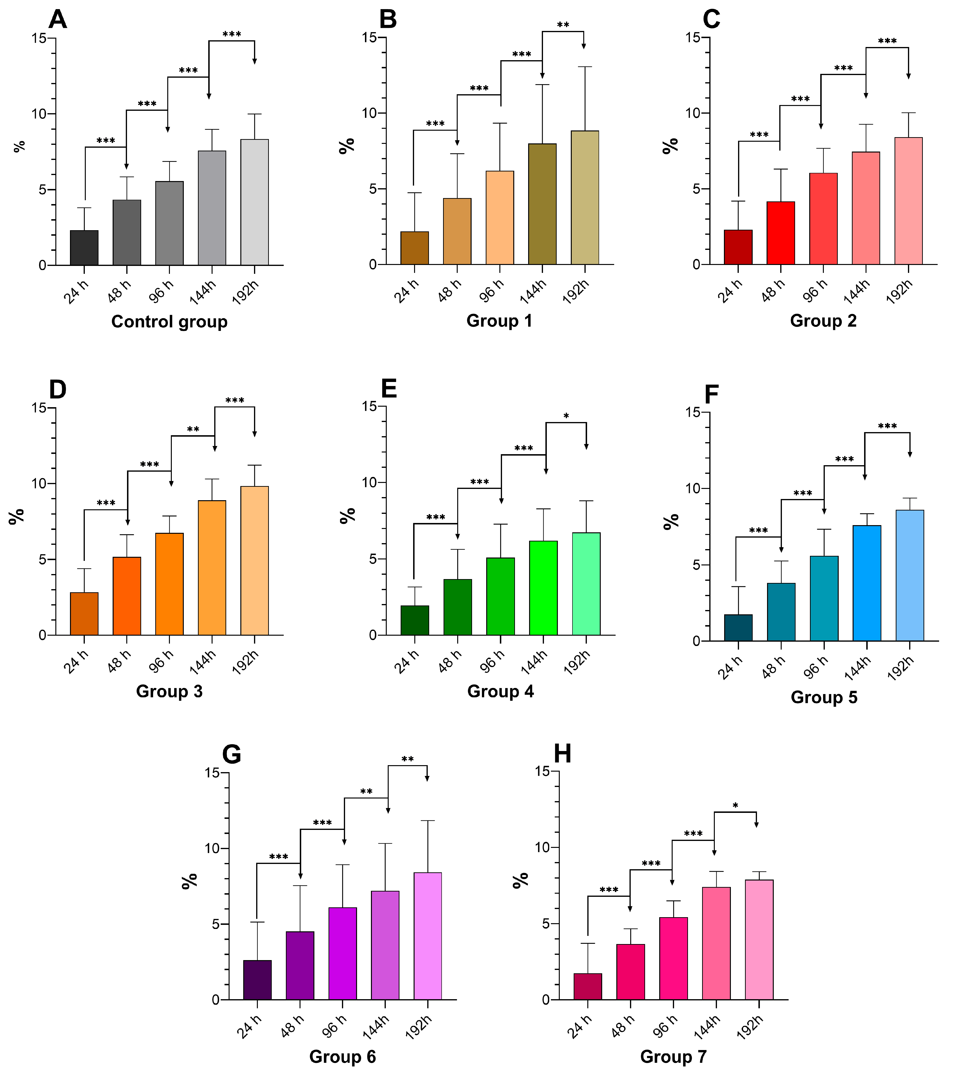
Drip loss data (Figure 4) indicated significant differences at 24 h and 48 h for all experimental groups (p ≤ 0.01). A similar trend was observed between drip loss values at 48 h and 96 h (p ≤ 0.001) and between 96 h and 144 h (p ≤ 0.01). Significance was also detected between 144 h and 196 h (p ≤ 0.05). The statistical differences in drip loss values at 24 h and 48 h (p ≤ 0.001) can be attributed to the sudden post-mortem changes in tissue structure and composition. The combination of TEO and TTEO with probiotics (G4) appears to control the amount of water loss that occurs rapidly after post-mortem.
Drip loss differed among groups between all experimental groups at various time intervals (Figure 5A–E). At 24 h, G4 showed the lowest drip loss and differed from G3; G3 also differed from G5 (Figure 5A). At 48 h, G3 and G4 remained significantly different (Figure 5B). At 96 h, significant differences were observed for CG vs. G2 and G2 vs. G3 (Figure 5C). At 144 h, pairwise differences expanded to G3 vs. G4, G3 vs. G5, and G4 vs. G5 (Figure 5D). At 192 h, differences persisted for G3 vs. G4, G4 vs. G5, and G5 vs. G7 (Figure 5E). Across the storage period, groups supplemented with TTEO (alone or with probiotic) generally exhibited lower drip loss, with G4 showing the most consistent reduction, supporting a beneficial effect on water-holding capacity and, by extension, meat quality.

3.4. pH Analysis in Broiler Breast Meat

Significant differences in breast meat pH values were observed across all experimental groups and at several time intervals post-sampling (Figure 6).
At 0 h post-sampling, significant differences (p ≤ 0.05) were observed between groups G4 and G6. At 24 h post-sampling, significant differences (p ≤ 0.05) were observed between groups CG and G1, as well as between G1 and G4, with group G4 having the lowest pH value (Figure 6B). At 48 h, statistical differences (p ≤ 0.05) were identified between several groups, including CG vs. G1, CG vs. G2, CG vs. G4, and CG vs. G6 (Figure 6C). Additional significant differences were found between G1 and G2, G1 and G3, G1 and G5, G1 and G7, G2 and G6, G2 and G7, G4 and G6, G5 and G6, and G6 and G7 (p ≤ 0.05). Also, at 48 h, the lowest pH value was recorded in CG, while the highest was observed in G1. After 96 h, significant pH differences were observed between groups CG vs. G1, CG vs. G2, CG vs. G4, and G2 vs. G5 (p ≤ 0.05) (Figure 6D). At 144 h post-sampling, significant differences were evident among groups CG vs. G1, CG vs. G6, G1 vs. G4, G1 vs. G5, G1 vs. G7, G4 vs. G7, G5 vs. G7, and G6 vs. G7 (p ≤ 0.05) (Figure 6E). Some significant pH differences persisted even after 192 h, specifically between the following groups: CG vs. G1, G1 vs. G4, G1 vs. G5, G1 vs. G7, and G2 vs. G7 (p ≤ 0.05) (Figure 6F). Finally, the lowest pH value was recorded in G7, while the highest pH was observed in G1.
Data presented in Figure 7 revealed significant variations among groups, allowing us to evaluate the evolution of pH oscillatory dynamics in poultry meat from the moment of slaughter up to 192 h post-sampling (0–192 h).
Regarding group G6, a significant difference was observed between the pH values measured immediately after sample collection (0 h) and those measured 24 h post-collection (Figure 7G). Furthermore, between 24 and 48 h after sample collection, we identified an increase in pH across all experimental groups, with statistically significant differences (p ≤ 0.05), except for group G7, for which the differences were not significant (p ≥ 0.05) (Figure 7A–G). A continuous increase in pH (Figure 7A,C,D,F,H) was also observed from 48 to 96 h post-sampling, with significant differences explicitly observed in groups CG, G2, G3, G5, and G7 (p ≤ 0.05). This trend of increasing pH persisted even between 96 to 144 h and again between 144 to 192 h post-sampling, respectively, with statistically influential dissimilarities noted for all experimental (Figure 7A–H) groups (p ≤ 0.05).

4. Discussion

In broilers, processing-relevant meat quality depends strongly on post-mortem pH kinetics, water-holding capacity (drip loss), and oxidative stability traits that can be modestly improved with nutritional interventions such as EOs and probiotics, which can be modulated via antioxidant and anti-inflammatory effects, attributing traits of major importance during processing [59,60,61]. These characteristics enable producers to develop chicken meat products with diverse tastes and textures that cater to the preferences of specific demographics within the market. Chicken meat products, also known as perishable items, can pose commercial challenges to producers as they are exposed to microbial degradation and lipid breakdown [62]. Consequently, the meat industry must permanently explore various methods to extend the shelf life of chicken meat, reduce waste and enhance product stability.
Several studies have reported that TEO at different concentrations (ranging from 100 to 600 mg/kg) has a positive impact on meat quality, including maintaining or improving pH, colour stability, and water-holding capacity [13,20,63,64,65,66,67,68]. Furthermore, a recent study indicated that administering 100 mg/kg of TEO through the diet positively impacted slaughter efficiency and the weight of specific carcass components (i.e., breasts, thighs, and back sections) [21]. Also, by adding TEO at 1% to replace equal amounts of yellow corn to broiler chicks, the water-holding capacity was increased, statistically elevated the WG and live WG, reduced the FCR value and slightly decreased the feed cost of production during all three growing phases [8]. None of these interventions had an impact on internal organ development, as the authors reported no effect on weight increase (i.e., liver, gizzard/proventriculus, heart, spleen, and bursa of Fabricius).
In this trial, neither TTEO/TEO (250 mg/kg) nor their combination with Bacillus probiotic produced statistically significant changes in BW, WG, FI or FCR across phases. This neutral outcome is consistent with meta-analytic and review evidence showing small, context-dependent EO effects on broiler performance that vary with dose, oil chemistry, delivery matrix, and baseline health/status; pooled estimates indicate modest improvements in BWG/FCR in some settings but substantial heterogeneity overall [69,70]. Similarly, probiotic responses (including those of Bacillus spp.) range from neutral to beneficial, depending on the strain, titre, and challenge model, suggesting that dose optimisation and matrix/strain selection are critical for translating EOs/probiotic performance benefits across commercial/rearing conditions [8,13,15,26,64,68,71,72,73,74]. At 200 mg/kg, TEO was reported to reduce the harmful effects of aflatoxin B1 in broiler diets and significantly enhance BW/BWG and FCR compared to other treatments [24]. Conclusively, TTEO and TEO supplementation had no significant statistical impact on the WG, FI and the FCR. At specific concentrations, our study suggests potential improvements in FCR, without statistical significance, indicating the need for further dose-optimisation studies.
By contrast, meat quality showed clearer signals: groups receiving TTEO (alone or with the probiotic) exhibited lower drip loss at several storage times, indicating better WHC, while pH trajectories remained within normal ranges and showed no detrimental treatment effects. These findings align with chilled-fillet studies where TTEO improved oxidative/microbial stability and supported WHC over storage, and with broiler trials reporting reduced drip loss after EOs supplementation in water [75]. Mechanistically, the relationship between post-mortem pH kinetics and WHC is well established, where abnormal/rapid pH fall lowers WHC in order to maintain typical pH decline alongside reduced drip supports a real WHC gain, rather than a spurious pH effect [76]. Data from broiler studies, specifically using TTEO for drip loss analysis are limited; however, a recent survey in finishing pigs supplemented with TTEO illustrated notable benefits related to meat quality, including decreased drip and cooking losses, alongside enhanced indicators of WHC, such as higher 45 min postmortem pH and increased intramuscular fat content [39]. The pH of meat in poultry typically ranges between 5.6 and 5.8, although variations can occur due to several factors, including stress before slaughter and variations in slaughter techniques [77]. Studies investigating the impact of TTEO on drip loss in broiler meat are limited; however, related research provides valuable insight. Particularly, medium-dose and high-dose TTEO supplementation resulted in the most significant reductions in cooking (41.27 and 41.28) and drip losses (42.77 and 41.77), while also improving meat tenderness compared to the control animals [39]. These findings further strengthen the potential of TTEO to effectively minimise water loss in meat products, aligning with our observations in poultry meat.
TTEO showed a promising impact on the water-holding capacity in chicken fillets under refrigerated storage conditions [75]. Although no statistically significant differences were found between TTEO-treated samples and the control, a consistent tendency towards higher WHC was observed from day 3 until the end of storage (7 days). Such an improvement in WHC can be attributed to a possible protective role of TTEO against protein oxidation and microbial degradation, thereby enhancing protein–protein interactions and favouring water retention more effectively [75,78]. WHC decreased gradually during storage, likely due to myofibrillar protein degradation, accompanied by structural changes that resulted in increased purge loss [76].
Indeed, studies have shown that drip loss values are the lowest in broilers with improved muscle quality, where the meat pH is a key factor. A lower post-mortem pH causes more fluid to exude, whereas a higher pH (as seen with some EOs treatments) favours water retention [79]. From an industrial perspective, the pH of broiler meat is a crucial quality indicator that affects tenderness, colour, juiciness, and shelf life. The water-holding capacity, is a vital characteristic of raw beef, closely associated with its colour and tenderness [8]. As both of our EO treatments induced several oscillations in the pH, Zaazaa and collaborators have previously reported that neither dietary treatment with TEO nor Oregano affected the pH of meats in Cobb 500 hybrids [13]. However, earlier studies have also revealed that thyme (Thymbra spicata) EO at 600 mg/kg administration to quails under stress conditions statistically affected the pH of the brisket [66]. Similarly, adding TEO and turmeric EOs to the feed of Japanese quails at levels of 0.075% and 0.125% enhanced WG, growth performance, improved nutrient utilisation, and lowered FI, FCR and the cost of feed/kg of weight gain [23].
The inclusion of TTEO into the diet caused changes to poultry intestinal microbiota, generating positive effects on crypt health and productivity, increasing cecal Lactobacillus, improving villus height/VH:CD, and enhancing mucosal antioxidant capacity, while Bacillus subtilis can improve meat-quality indices via gut-level and metabolic effects [32,47]. Additionally, such supplementation creates positive changes in bacterial communities in the digestive tract, increasing Lactobacillus concentrations and reducing the numbers of pathogenic E. coli bacteria, leading to enhanced intestinal structure and improved overall gut health [14,30,32,33]. Investigations have demonstrated that TTEO enhances gut morphometry by increasing villus height and crypt depth to similar levels as the standard antibiotic treatment of bacitracin zinc [31]. This better nutritional performance and disease resistance, together with improved FCR and elevated FI, WG, result from a beneficial change in intestinal microbiota composition. Interestingly, 1% TTEO supplementation, combined with amprolium (a coccidiostat), was reported to effectively manage coccidiosis in Japanese quails [33]. Notably, birds receiving TTEO exhibited a significant increase in ADG, relative thymus and spleen weights, Lactobacillus populations in the ceca, and enhanced TAC in the jejunum and ileum. Additionally, the supplementation reduced MDA content [32]. The inclusion of the leaves of M. alternifolia at 2% has also been implicated in significant elevations of the weight of the bursa Fabricius and demonstrated similar effects to commercial antibiotics to promote growth performance, carcass and internal organ weight in Loughman broilers [17].

5. Conclusions

The inclusion of TTEO and TEO, at 250 mg/kg in broilers diets, individually and in combination with probiotics (BioPlus2B®), produced lower drip loss (better water-holding capacity) of broiler breast meat during 24–192 h storage; carcass traits showed modest, treatment-dependent shifts in cut proportions without reducing carcass weight, and pH decline over time was comparable between groups. The combination of TTEO with probiotics was able to significantly mitigate drip loss, a parameter which could help extend the shelf-life of meat products. At 250 mg/kg, TTEO alone increased carcass yield (% live weight; G1 > G4, p ≤ 0.05) and breast proportion (% of carcass; G1 > CG, p ≤ 0.05), while TTEO ± BioPlus 2B® reduced drip loss, indicating improved water-holding capacity and practical benefits for raw meat quality. The pH measurement results confirmed that Eos, in conjunction with probiotics, can positively influence meat quality characteristics after slaughter. Collectively, our research findings show that dietary inclusion of EOs and probiotics in poultry feeds can bring a complementary benefit to the industry and represents a viable strategy and alternative to conventional agents, such as antibiotics. Additional in vivo trials may be required to establish optimal dosages, understand the mechanisms of their efficiency at the molecular level, and elucidate their extended effects on poultry health status and productivity.

Author Contributions

Conceptualization, L.S. and A.M.; methodology, L.S., C.J., A.M., I.P. (Iuliana Popescu) and D.S.S.; software, N.C. and E.S.; validation, I.P. (Iuliana Popescu), I.B. and N.C.; formal analysis, N.C., T.C. and G.G.P.; investigation, I.B., I.P. (Iuliana Popescu) and G.G.P.; resources, I.P. (Ioan Pet); data curation, L.S., D.S.S. and E.S.; writing—original draft preparation, I.B.; writing—review and editing, N.C., L.S. and I.B.; visualization, F.D.S.; supervision, C.J. and L.S.; project administration, L.S.; funding acquisition, L.S. and I.P. (Ioan Pet). All authors have read and agreed to the published version of the manuscript.

Funding

This work was funded by the University of Life Sciences King Mihai I from Timisoara, Romania.

Institutional Review Board Statement

The protocol was approved and licenced by the Bioethics Committee from the University of Life Sciences King Mihai I, Timisoara (No. 56/7.07.2021; 7 July 2021).

Data Availability Statement

The data presented in this study are available on request from the corresponding author due to reasonable request.

Conflicts of Interest

The authors declare no conflicts of interest.

Abbreviations

The following abbreviations are used in this manuscript:
EOsEssential oils
TTEOTea tree essential oil
TEOThyme essential oil

References

  1. Lam, D. The Next 2 Billion: Can the World Support 10 Billion People? Popul. Dev. Rev. 2025, 51, 63–102. [Google Scholar] [CrossRef]
  2. Alabdallah, Z.A.; Nikishov, A.A.; Jhonn Lenon, C.J.; Ortiz Manzano, M.L. Influence of using probiotic on the productivity and morphometry of the organs in the visceral cavity of broiler chicks. Casp. J. Environ. Sci. 2023, 21, 431–437. [Google Scholar]
  3. Ramlucken, U.; Lalloo, R.; Roets, Y.; Moonsamy, G.; van Rensburg, C.J.; Thantsha, M.S. Advantages of Bacillus-based probiotics in poultry production. Livest. Sci. 2020, 241, 104215. [Google Scholar] [CrossRef]
  4. Bertagnolio, S.; Dobreva, Z.; Centner, C.M.; Olaru, I.D.; Donà, D.; Burzo, S.; Huttner, B.D.; Chaillon, A.; Gebreselassie, N.; Wi, T. WHO global research priorities for antimicrobial resistance in human health. Lancet Microbe 2024, 5. [Google Scholar] [CrossRef]
  5. WOAH. Annual Report on Antimicrobial Agents Intended for Use in Animals: 9th Report; WOAH: Paris, France, 2025; p. 49. [Google Scholar]
  6. Deeb, S.E.; Ashour, E.A.; Abd El-Hack, M.E.; El-Maaty, M.A.; Youssef, I.M.; Adil, S.; Elolimy, A.A.; Swelum, A.A. Impacts of dietary different levels of thyme leave powder as a natural growth promoter on growth performance, carcass characteristics, and blood indices of broilers. Poult. Sci. 2024, 103, 104396. [Google Scholar] [CrossRef]
  7. Khan, M.; Rehman, M.; Arslan, M.; Javaid, A.; Farooq, U.; Asad, T.; Nisa, Q.; Azhar, M.; Bughio, E.; Liaqat, S. Effect of Blend of Essential Oils on Growth Performance, Carcass Characteristics, Meat Quality, Intestinal Morphology, Serum Biochemistry, and Immune Response of Broiler Chickens. Braz. J. Poult. Sci. 2024, 26, eRBCA-2023-1853. [Google Scholar]
  8. Hassan, A.H.A.; Youssef, I.M.I.; Abdel-Atty, N.S.; Abdel-Daim, A.S.A. Effect of thyme, ginger, and their nano-particles on growth performance, carcass characteristics, meat quality and intestinal bacteriology of broiler chickens. BMC Vet. Res. 2024, 20, 269. [Google Scholar] [CrossRef]
  9. Darmawan, A.; Öztürk, E.; Güngör, E.; Özlü, Ş.; Jayanegara, A. Effects of essential oils on egg production and feed efficiency as influenced by laying hen breed: A meta-analysis. Vet. World 2024, 17, 197–206. [Google Scholar] [CrossRef] [PubMed]
  10. Galgano, M.; Pellegrini, F.; Fracchiolla, G.; Mrenoshki, D.; Zarea, A.A.K.; Bianco, A.; Del Sambro, L.; Capozzi, L.; Schiavone, A.; Saleh, M.S.; et al. Pilot Study on the Action of Thymus vulgaris Essential Oil in Treating the Most Common Bacterial Contaminants and Salmonella enterica subsp. enterica Serovar Derby in Poultry Litter. Antibiotics 2023, 12, 436. [Google Scholar] [CrossRef]
  11. Puvača, N.; Čabarkapa, I.; Petrović, A.; Bursić, V.; Prodanović, R.; Soleša, D.; Lević, J. Tea tree (Melaleuca alternifolia) and its essential oil: Antimicrobial, antioxidant and acaricidal effects in poultry production. World’s Poult. Sci. J. 2019, 75, 235–246. [Google Scholar] [CrossRef]
  12. Raza, Q.S.; Saleemi, M.K.; Gul, S.; Irshad, H.; Fayyaz, A.; Zaheer, I.; Tahir, M.W.; Fatima, Z.; Chohan, T.Z.; Imran, M. Role of essential oils/volatile oils in poultry production—A review on present, past and future contemplations. Agrobiol. Rec. 2022, 7, 40–56. [Google Scholar]
  13. Zaazaa, A.; Mudalal, S.; Alzuheir, I.; Samara, M.; Jalboush, N.; Fayyad, A.; Petracci, M. The Impact of Thyme and Oregano Essential Oils Dietary Supplementation on Broiler Health, Growth Performance, and Prevalence of Growth-Related Breast Muscle Abnormalities. Animals 2022, 12, 3065. [Google Scholar] [CrossRef]
  14. Bo, R.; Zhan, Y.; Wei, S.; Xu, S.; Huang, Y.; Liu, M.; Li, J. Tea tree oil nanoliposomes: Optimization, characterization, and antibacterial activity against Escherichia coli in vitro and in vivo. Poult. Sci. 2023, 102, 102238. [Google Scholar] [CrossRef]
  15. Puvača, N.; Tufarelli, V.; Giannenas, I. Essential Oils in Broiler Chicken Production, Immunity and Meat Quality: Review of Thymus vulgaris, Origanum vulgare, and Rosmarinus officinalis. Agriculture 2022, 12, 874. [Google Scholar] [CrossRef]
  16. Saim, M.; Nagi, A.B.; Noor, I.; Zaheer, H.; Zaheer, W.; Tahir, R.; Rafay, A.; Fayaz, A.; Fatima, J.; Naeem, L. Effect of Essential Oils as Natural Alternatives and Antioxidants for the Growth of Poultry Broilers. In Complementary and Alternative Medicine: Essential Oils; Unique Scientific Publishers: Faisalabad, Pakistan, 2024; pp. 170–182. [Google Scholar]
  17. Purnamasari, L. Productivity of young broilers fed Phyllanthus niruri Linn and Melaleuca cajuput leaf meal as a phytogenic feed additive. Thai J. Vet. Med. 2024, 53, 131–137. [Google Scholar] [CrossRef]
  18. Fawaz, M.; Ismail, Z.; Hassan, H.; Abdel-Wareth, A. Effect of thyme essential oil on productive performance of broiler chickens a-review. SVU-Int. J. Environ. Res. 2021, 3, 8–18. [Google Scholar] [CrossRef]
  19. Rocha, R.F.; da Silva Fidelis, P.H.; Massuquetto, A.; Sobrane Filho, S.T.; de Araújo, M.S.; Silva, C.M.; da Costa Lopes, C.; de Medeiros, E.S.; Moreira, R.H.R. Essential oils as a strategy to improve gut histomorphometry and performance of broilers: Systematic review and meta-analysis. J. Agric. Sci. 2024, 162, 404–416. [Google Scholar] [CrossRef]
  20. Noruzi, S.; Torki, M.; Mohammadi, H. Effects of supplementing diet with Thyme (Thymuas vulgaris L.) essential oil and/or selenium yeast on production performance and blood variables of broiler chickens. Vet. Med. Sci. 2022, 8, 1137–1145. [Google Scholar] [CrossRef] [PubMed]
  21. Urban, J.; Kareem, K.Y.; Matuszewski, A.; Bień, D.; Ciborowska, P.; Lutostański, K.; Michalczuk, M. Enhancing broiler chicken health and performance: The impact of phytobiotics on growth, gut microbiota, antioxidants, and immunity. Phytochem. Rev. 2024, 24, 2131–2145. [Google Scholar] [CrossRef]
  22. Gumus, R.; Gelen, S.U. Effects of dietary thyme and rosemary essential oils on performance parameters with lipid oxidation, water activity, pH, colour and microbial quality of breast and drumstick meats in broiler chickens. Arch. Anim. Breed. 2023, 66, 17–29. [Google Scholar] [CrossRef]
  23. Ranwa, S.; Palod, J.; Sharma, R.K.; Kumar, S.; Rastogi, S.; Kumar, R. Influence of thyme and turmeric essential oils supplementation on growth performance, nutrient utilization and economics of Japanese quails. Indian J. Anim. Sci. 2023, 93, 505–509. [Google Scholar] [CrossRef]
  24. Fawaz, M.; Hassan, H.; Abdel-Wareth, A. The effect of dietary aflatoxin B1, thyme oil, and their combination on sustainability of meat production of broiler chickens. SVU-Int. J. Agric. Sci. 2022, 4, 131–135. [Google Scholar] [CrossRef]
  25. Behboodi, H.R.; Hosseini, D.; Salarieh, A.; Gholampour, M.; Panahi, M.; Alemi, M.; Baradaran, A.; Nazarpak, H.H. Impact of drinking water supplementation of a blend of peppermint, coneflower (Echinacea purpurea), thyme, propolis, and prebiotic on performance, serum constituents, and immunocompetence of broiler chickens. Trop. Anim. Health Prod. 2022, 54, 289. [Google Scholar] [CrossRef] [PubMed]
  26. Belali, M.; Seidavi, A.; Bouyeh, M.; Gorlov, I.F.; Slozhenkina, M.I.; Mosolov, A.A.; Ramírez, L.S.; Tirado-González, D.N.; Cuevas-Barragán, C.E.; Cipriano-Salazar, M. Substantiable bioconversion of the aromatic plant extracts biomass as feed additives in broiler performance: Effects and prefeasibility comparison of thyme (Thymus vulgaris). Biomass Convers. Biorefinery 2024, 14, 6097–6109. [Google Scholar] [CrossRef]
  27. Iseppi, R.; Mariani, M.; Benvenuti, S.; Truzzi, E.; Messi, P. Effects of Melaleuca alternifolia Chell (Tea Tree) and Eucalyptus globulus Labill. Essential Oils on Antibiotic-Resistant Bacterial Biofilms. Molecules 2023, 28, 1671. [Google Scholar] [CrossRef]
  28. Yuan, C.; Ma, X.; Jiang, M.; Yang, T.; Lin, M.; Zhao, G.; Zhan, K. Effects of Tea Tree Oil on Production Performance, Serum Parameter Indices, and Immunity in Postpartum Dairy Cows. Animals 2023, 13, 682. [Google Scholar] [CrossRef] [PubMed]
  29. Yu, L.; Qiu, G.; Yu, X.; Zhao, J.; Liu, J.; Wang, H.; Dong, L. Terpinen-4-ol Improves the Intestinal Barrier Function of the Colon in Immune-Stressed Weaning Piglets. Animals 2025, 15, 9. [Google Scholar] [CrossRef]
  30. Zhang, X.; Huang, L.; Ling, H.; Zhou, L. Protective Effect of Melaleuca alternifolia Essential Oil on Broiler Growth Performance, Intestinal Morphology, Gut Microflora, and Gut Redox Status: An Alternative Growth Promoter to Antibiotics. Pak. J. Zool. 2025; Online First Articles. [Google Scholar]
  31. Deminicis, R.G.d.S.; Meneghetti, C.; Garcia, A.A.P.; Deminicis, B.B.; Maciel, B.M. Gut microbiome and morphometry of quails fed diets containing essential oils. Ciênc. Rural 2024, 54, e20230372. [Google Scholar] [CrossRef]
  32. Qu, H.; Cheng, Y.; Chen, Y.; Zhao, Y.; Li, J.; Wen, C.; Zhou, Y. Dietary tea tree (Melaleuca alternifolia) oil supplementation improves growth performance, cecal microflora, immunity, and antioxidant capacity of partridge shank chickens. J. Poult. Sci. 2019, 56, 212–219. [Google Scholar] [CrossRef] [PubMed]
  33. Khan, M.; Chand, N.; Naz, S.; Khan, R.U. Dietary tea tree (Melaleuca alternifolia) essential oil as alternative to antibiotics alleviates experimentally induced Eimeria tenella challenge in Japanese quails. J. Anim. Physiol. Anim. Nutr. 2023, 107, 643–649. [Google Scholar] [CrossRef]
  34. Liu, Y.; Xu, L.; Du, H.; Feng, J.; Zhang, W.; Li, H.; Xu, F.; Lin, J.; Fu, H.; Zhao, X.; et al. Effects of adding tea tree oil on growth performance, immune function, and intestinal function of broilers. Poult. Sci. 2023, 102, 102936. [Google Scholar] [CrossRef] [PubMed]
  35. Liang, Y.; Jiang, L.; Hu, M.; Luo, X.; Cheng, T.; Wang, Y. Tea tree oil inhibits hydrogen sulfide-induced oxidative damage in chicken lungs through CYP450s/ROS pathway. Poult. Sci. 2024, 103, 103860. [Google Scholar] [CrossRef]
  36. Ashayerizadeh, A.; Shirazi, M.R.J.; Moradi, H.R.; Kazemi, K.; Akbarabadi, Z.K.; Jazi, V. Effects of drinking water supplemented with apple vinegar, essential oils, or colistin sulfate on growth performance, blood lipids, antioxidant status, intestinal morphology, and gut microflora of broiler chickens. Poult. Sci. 2025, 104, 104801. [Google Scholar] [CrossRef] [PubMed]
  37. Abd El-Hack, M.E.; El-Saadony, M.T.; Salem, H.M.; El-Tahan, A.M.; Soliman, M.M.; Youssef, G.B.A.; Taha, A.E.; Soliman, S.M.; Ahmed, A.E.; El-kott, A.F.; et al. Alternatives to antibiotics for organic poultry production: Types, modes of action and impacts on bird’s health and production. Poult. Sci. 2022, 101, 101696. [Google Scholar] [CrossRef] [PubMed]
  38. Borotová, P.; Galovičová, L.; Vukovic, N.L.; Vukic, M.; Tvrdá, E.; Kačániová, M. Chemical and Biological Characterization of Melaleuca alternifolia Essential Oil. Plants 2022, 11, 558. [Google Scholar] [CrossRef]
  39. Yang, T.; Feng, F.; Zhan, K.; Ma, X.; Jiang, M.; Datsomor, O.; Zhu, X.; Huo, Y.; Zhao, G. Effect of the Tea Tree Oil on Growth Performance, Meat Quality, Serum Biochemical Indices, and Antioxidant Capacity in Finishing Pigs. Front. Vet. Sci. 2022, 9, 916625. [Google Scholar] [CrossRef]
  40. Puvača, N.; Lika, E.; Cocoli, S.; Shtylla Kika, T.; Bursić, V.; Vuković, G.; Tomaš Simin, M.; Petrović, A.; Cara, M. Use of Tea Tree Essential Oil (Melaleuca alternifolia) in Laying Hen’s Nutrition on Performance and Egg Fatty Acid Profile as a Promising Sustainable Organic Agricultural Tool. Sustainability 2020, 12, 3420. [Google Scholar] [CrossRef]
  41. Wang, Y.; Liang, Y.; Huang, Y.; Wang, W.; Long, X.; Jiang, L.; Cheng, T.; Du, J.; Luo, X. The mechanism of tea tree oil regulating the damage of hydrogen sulfide to spleen and intestine of chicken. Poult. Sci. 2025, 104, 104605. [Google Scholar] [CrossRef]
  42. Wade, M.; Manwar, S.; Kuralkar, S.; Waghmare, S.; Ingle, V.; Hajare, S. Effect of thyme essential oil on performance of broiler chicken. J. Entomol. Zool. Stud. 2018, 6, 25–28. [Google Scholar]
  43. Gholami-Ahangaran, M.; Ahmadi-Dastgerdi, A.; Azizi, S.; Basiratpour, A.; Zokaei, M.; Derakhshan, M. Thymol and carvacrol supplementation in poultry health and performance. Vet. Med. Sci. 2022, 8, 267–288. [Google Scholar] [CrossRef]
  44. Jiang, S.; Yan, F.-F.; Hu, J.-Y.; Mohammed, A.; Cheng, H.-W. Bacillus subtilis-Based Probiotic Improves Skeletal Health and Immunity in Broiler Chickens Exposed to Heat Stress. Animals 2021, 11, 1494. [Google Scholar] [CrossRef] [PubMed]
  45. Casillas-Hernández, R.; Gonzalez-Galaviz, J.R.; Rodriguez-Anaya, L.Z.; Gil-Núñez, J.C.; Rodríguez-Jaramillo, M.d.C. Dietary Use of Methionine Sources and Bacillus amyloliquefaciens CECT 5940 Influences Growth Performance, Hepatopancreatic Histology, Digestion, Immunity, and Digestive Microbiota of Litopenaeus vannamei Fed Reduced Fishmeal Diets. Animals 2023, 13, 43. [Google Scholar] [CrossRef]
  46. de Oliveira, M.J.K.; Sakomura, N.K.; de Paula Dorigam, J.C.; Doranalli, K.; Soares, L.; Viana, G.d.S. Bacillus amyloliquefaciens CECT 5940 alone or in combination with antibiotic growth promoters improves performance in broilers under enteric pathogen challenge. Poult. Sci. 2019, 98, 4391–4400. [Google Scholar] [CrossRef] [PubMed]
  47. Tang, X.; Liu, X.; Liu, H. Effects of Dietary Probiotic (Bacillus subtilis) Supplementation on Carcass Traits, Meat Quality, Amino Acid, and Fatty Acid Profile of Broiler Chickens. Front. Vet. Sci. 2021, 8, 767802. [Google Scholar] [CrossRef]
  48. Grant, A.Q.; Gay, C.G.; Lillehoj, H.S. Bacillus spp. as direct-fed microbial antibiotic alternatives to enhance growth, immunity, and gut health in poultry. Avian Pathol. 2018, 47, 339–351. [Google Scholar] [CrossRef] [PubMed]
  49. Elshaghabee, F.M.F.; Rokana, N.; Gulhane, R.D.; Sharma, C.; Panwar, H. Bacillus As Potential Probiotics: Status, Concerns, and Future Perspectives. Front. Microbiol. 2017, 8, 1490. [Google Scholar] [CrossRef]
  50. Ugwuodo, C.J.; Nwagu, T.N. Stabilizing enzymes by immobilization on bacterial spores: A review of literature. Int. J. Biol. Macromol. 2021, 166, 238–250. [Google Scholar] [CrossRef]
  51. Mingmongkolchai, S.; Panbangred, W. Bacillus probiotics: An alternative to antibiotics for livestock production. J. Appl. Microbiol. 2018, 124, 1334–1346. [Google Scholar] [CrossRef]
  52. Honikel, K.O. Reference methods for the assessment of physical characteristics of meat. Meat Sci. 1998, 49, 447–457. [Google Scholar] [CrossRef]
  53. Pinheiro, S.R.F.; Dumont, M.A.; Pires, A.V.; Boari, C.A.; Miranda, J.A.; de Oliveira, R.G.; Ferreira, C.B. Carcass yield and meat quality of meat quails fed with diets with different levels of protein and essential amino acids supplementation/Rendimento de carcaca e qualidade da carne de codornas de corte alimentadas com racoes de diferentes niveis de proteina e suplementadas com aminoacidos essenciais. Cienc. Rural 2015, 45, 292–298. [Google Scholar]
  54. Aviagen. Ross Broiler Management Handbook; Aviagen: Huntsville, AL, USA, 2025; pp. 1–137. [Google Scholar]
  55. Aviagen. Ross 308/308 FF Broiler: Performance Objectives; Aviagen: Huntsville, AL, USA, 2022; pp. 1–14. [Google Scholar]
  56. Jitariuc Sava, Ş.E. Contributions to the Knowledge of Meat Production Obtained from Kabir Hens Breed. Ph.D. Thesis, Iasi University of Life Sciences (IULS), Iasi, Romania, 2020. [Google Scholar]
  57. Vázquez, A.; Tabanca, N.; Kendra, P.E. HPTLC Analysis and Chemical Composition of Selected Melaleuca Essential Oils. Molecules 2023, 28, 3925. [Google Scholar] [CrossRef] [PubMed]
  58. Babushok, V.; Linstrom, P.; Zenkevich, I. Retention indices for frequently reported compounds of plant essential oils. J. Phys. Chem. Ref. Data 2011, 40, 043101. [Google Scholar] [CrossRef]
  59. Mir, N.A.; Rafiq, A.; Kumar, F.; Singh, V.; Shukla, V. Determinants of broiler chicken meat quality and factors affecting them: A review. J. Food Sci. Technol. 2017, 54, 2997–3009. [Google Scholar] [CrossRef] [PubMed]
  60. Yue, K.; Cao, Q.-q.; Shaukat, A.; Zhang, C.; Huang, S.-c. Insights into the evaluation, influential factors and improvement strategies for poultry meat quality: A review. npj Sci. Food 2024, 8, 62. [Google Scholar] [CrossRef]
  61. Choi, J.; Kong, B.; Bowker, B.C.; Zhuang, H.; Kim, W.K. Nutritional Strategies to Improve Meat Quality and Composition in the Challenging Conditions of Broiler Production: A Review. Animals 2023, 13, 1386. [Google Scholar] [CrossRef]
  62. Jaspal, M.H.; Ijaz, M.; Haq, H.A.u.; Yar, M.K.; Asghar, B.; Manzoor, A.; Badar, I.H.; Ullah, S.; Islam, M.S.; Hussain, J. Effect of oregano essential oil or lactic acid treatments combined with air and modified atmosphere packaging on the quality and storage properties of chicken breast meat. LWT 2021, 146, 111459. [Google Scholar] [CrossRef]
  63. Gümüş, R.; Kara, A.; Özkanlar, S.; İmik, H.; Celep, N.A. Effects of dietary thyme and rosemary essential oils on biochemical parameters, anti-oxidant metabolism, small intestinal morphology and myofiber structure of superficial pectoral and biceps femoris muscles in broilers. In Proceedings of the Veterinary Research Forum; Ferdowsi University of Mashhad: Mashhad, Iran, 2023; p. 249. [Google Scholar]
  64. Vlaicu, P.A.; Untea, A.E.; Panaite, T.D.; Saracila, M.; Turcu, R.P.; Dumitru, M. Effect of Basil, Thyme and Sage Essential Oils as Phytogenic Feed Additives on Production Performances, Meat Quality and Intestinal Microbiota in Broiler Chickens. Agriculture 2023, 13, 874. [Google Scholar] [CrossRef]
  65. Wade, M.; Manwar, S.; Kuralkar, S.; Waghmare, S.; Ingle, V.; Hajare, S. Effect of dietary thyme essential oil on carcass parameter of broiler chickens. Chem. Sci. Rev. Lett. 2018, 7, 669–672. [Google Scholar]
  66. Onel, S.E.; Aksu, T. The effect of thyme (Thymbra spicata L. var. spicata) essential oil on the antioxidant potential and meat quality of Japanese quail fed in various stocking densities. Atatürk Üniv. Vet. Bilim. Derg. 2019, 14, 129–136. [Google Scholar]
  67. Amirahmadi, E.; Safamehr, A.; Nobakht, A.; Mehmannavaz, Y. The effects of thyme essential oil and enzyme supplementation to corn or wheat based diets on performance, carcass traits and blood metabolites in broilers. J. Hell. Vet. Med. Soc. 2022, 73, 3799–3808. [Google Scholar] [CrossRef]
  68. Naderiboroojerdi, N.; Zeinali, A.; Hoseini, A. Comparison of different levels of thyme and rosemary ether extracts on growth performance and carcass characteristics of broiler chickens. J. Food Sci. Nutr. Res. 2022, 5, 682–689. [Google Scholar] [CrossRef]
  69. Irawan, A.; Hidayat, C.; Jayanegara, A.; Ratriyanto, A. Essential oils as growth-promoting additives on performance, nutrient digestibility, cecal microbes, and serum metabolites of broiler chickens: A meta-analysis. Anim. Biosci. 2020, 34, 1499. [Google Scholar] [CrossRef]
  70. Obianwuna, U.E.; Chang, X.; Oleforuh-Okoleh, V.U.; Onu, P.N.; Zhang, H.; Qiu, K.; Wu, S. Phytobiotics in poultry: Revolutionizing broiler chicken nutrition with plant-derived gut health enhancers. J. Anim. Sci. Biotechnol. 2024, 15, 169. [Google Scholar] [CrossRef]
  71. Hassanin, O.; El-Sebai, A.; El-Motaal, S.A.; Khalifa, H.A. Experimental trials to assess the immune modulatory influence of thyme and ginseng oil on NDV-vaccinated broiler chickens. Open Vet. J. 2024, 14, 398–406. [Google Scholar] [CrossRef]
  72. Olfati, A.; Hosseini, S.M. The Effects of dietary supplementation of encapsulated thyme essential oil on growth, pro-inflammatory cytokines, and serum amino acid profiles of broiler chicks challenged with Salmonella Typhimurium. Ann. Anim. Sci. 2022, 22, 189–200. [Google Scholar] [CrossRef]
  73. Almremdhy, H.; Al-Khafaji, M.A. Drinking thyme extract on growth performance and immune response of broiler chickens. J. Artic. Indian Vet. J. 2020, 97, 32–35. [Google Scholar]
  74. Al-Abdullatif, A.A.; Al-Garadi, M.A.; Qaid, M.M.; Matar, A.M.; Alobre, M.M.; Al-Badwi, M.A.; Hussein, E.O.; Suliman, G.M. Effects of water and feed based RISCO-NUTRIFOUR probiotic supplementation on the technological and physicochemical quality of broiler breast meat. Front. Vet. Sci. 2025, 12, 1517078. [Google Scholar] [CrossRef]
  75. Moirangthem, S.; Patra, G.; Biswas, S.; Das, A.; Nath, S.; Verma, A.K.; Pal, S.; Chatterjee, N.; Bandyopadhyay, S.; Nanda, P.K.; et al. Effect of Nutmeg (Myristica fragrans) and Tea Tree (Melaleuca alternifolia) Essential Oils on the Oxidative and Microbial Stability of Chicken Fillets During Refrigerated Storage. Foods 2024, 13, 4139. [Google Scholar] [CrossRef] [PubMed]
  76. Hughes, J.M.; Oiseth, S.K.; Purslow, P.P.; Warner, R.D. A structural approach to understanding the interactions between colour, water-holding capacity and tenderness. Meat Sci. 2014, 98, 520–532. [Google Scholar] [CrossRef] [PubMed]
  77. Young, O.A.; West, J.; Hart, A.L.; van Otterdijk, F.F.H. A method for early determination of meat ultimate pH. Meat Sci. 2004, 66, 493–498. [Google Scholar] [CrossRef]
  78. Oswell, N.J.; Thippareddi, H.; Pegg, R.B. Practical use of natural antioxidants in meat products in the US: A review. Meat Sci. 2018, 145, 469–479. [Google Scholar] [CrossRef] [PubMed]
  79. Jimoh, O.A.; Akinleye, S.B.; Simon, C.J.; Kayode, A.O.; Akande, M.O.; Ogunjobi, T.E.; Tijani, L.T.; Ayileye, K.T. Oxidative stability in meat (pectoralis major) of broiler orally supplemented with essential oils of allium sativum, Curcuma longa, Zingiber officinale, and Cinnamomum zeylanicum. Transl. Anim. Sci. 2024, 8, txae073. [Google Scholar] [CrossRef] [PubMed]
Figure 1. Trial experimental design. Details of oils included in each diet are presented in the figure.
Figure 1. Trial experimental design. Details of oils included in each diet are presented in the figure.
Agriculture 15 02356 g001
Figure 2. Carcass portion and meat cuts percentages (%) from experimental poultry treatment groups. For carcass yield, meat-cut percentages, and organ percentages, we have used One-way ANOVA and the mean comparisons were performed with the LSD post hoc test (Fisher’s Least Significant Difference). (A) Total Carcass percentages (%) from experimental poultry treatment groups; (B) Breast portion percentages (%) from experimental poultry treatment groups; (C) Whole things portion percentages (%) from experimental poultry treatment group; (D) Thing portion percentages (%) from experimental poultry treatment group; (E) Drumstick portion percentages (%) from experimental poultry treatment group; (F) Wings portion percentages (%) from experimental poultry treatment group; (G) Bank and neck portion percentages (%) from experimental poultry treatment group. Detected significance is indicated on the graphs (* p < 0.05, ** p < 0.01).
Figure 2. Carcass portion and meat cuts percentages (%) from experimental poultry treatment groups. For carcass yield, meat-cut percentages, and organ percentages, we have used One-way ANOVA and the mean comparisons were performed with the LSD post hoc test (Fisher’s Least Significant Difference). (A) Total Carcass percentages (%) from experimental poultry treatment groups; (B) Breast portion percentages (%) from experimental poultry treatment groups; (C) Whole things portion percentages (%) from experimental poultry treatment group; (D) Thing portion percentages (%) from experimental poultry treatment group; (E) Drumstick portion percentages (%) from experimental poultry treatment group; (F) Wings portion percentages (%) from experimental poultry treatment group; (G) Bank and neck portion percentages (%) from experimental poultry treatment group. Detected significance is indicated on the graphs (* p < 0.05, ** p < 0.01).
Agriculture 15 02356 g002
Figure 3. The proportions of the internal organs (%) across experimental poultry treatment groups. One-way ANOVA was used for group comparisons, and the mean comparisons were performed with the LSD post hoc test (Fisher’s Least Significant Difference). (A) Gizzard portion percentages (%) from experimental poultry treatment group; (B) Heart portion percentages (%) from experimental poultry treatment group; (C) Liver portion percentages (%) from experimental poultry treatment group. Detected significance is indicated on the graphs (* p < 0.05).
Figure 3. The proportions of the internal organs (%) across experimental poultry treatment groups. One-way ANOVA was used for group comparisons, and the mean comparisons were performed with the LSD post hoc test (Fisher’s Least Significant Difference). (A) Gizzard portion percentages (%) from experimental poultry treatment group; (B) Heart portion percentages (%) from experimental poultry treatment group; (C) Liver portion percentages (%) from experimental poultry treatment group. Detected significance is indicated on the graphs (* p < 0.05).
Agriculture 15 02356 g003
Figure 4. Drip loss (%) dynamics over time in breast meat across experimental treatment groups (AH). For DL which involved repeated measurements over time on the same experimental groups, we have used the paired Student’s t-test, a suitable method for comparing mean values between two successive measurement times. Detected significance is indicated on the graphs (* p < 0.05, ** p < 0.01, *** p < 0.001).
Figure 4. Drip loss (%) dynamics over time in breast meat across experimental treatment groups (AH). For DL which involved repeated measurements over time on the same experimental groups, we have used the paired Student’s t-test, a suitable method for comparing mean values between two successive measurement times. Detected significance is indicated on the graphs (* p < 0.05, ** p < 0.01, *** p < 0.001).
Agriculture 15 02356 g004
Figure 5. Comparative analysis of drip loss (%) between experimental groups at specific sampling intervals (AE). For DL, which involved repeated measurements over time on the same experimental groups, we have used the paired Student’s t-test, a suitable method for comparing mean values between two successive measurement times. Detected significance is indicated on the graphs (* p < 0.05, ** p < 0.01).
Figure 5. Comparative analysis of drip loss (%) between experimental groups at specific sampling intervals (AE). For DL, which involved repeated measurements over time on the same experimental groups, we have used the paired Student’s t-test, a suitable method for comparing mean values between two successive measurement times. Detected significance is indicated on the graphs (* p < 0.05, ** p < 0.01).
Agriculture 15 02356 g005
Figure 6. Comparative analysis of meat pH fluctuations in poultry across experimental treatments over storage time. For pH, which involved repeated measurements over time on the same experimental groups, we have used the paired Student’s t-test, a suitable method for comparing mean values between two successive measurement times. (A) Comparative analysis of pH fluctuations in poultry meat at 0 h; (B) Comparative analysis of pH fluctuations in poultry meat at 24 h from slaughtering; (C) Comparative analysis of pH fluctuations in poultry meat at 48 h from slaughtering; (D) Comparative analysis of pH fluctuations in poultry meat at 96 h from slaughtering; (E) Comparative analysis of pH fluctuations in poultry meat at 144 h from slaughtering; (F) Comparative analysis of pH fluctuations in poultry meat at 192 h from slaughtering. Detected significance is indicated on the graphs (* p < 0.05, ** p < 0.01).
Figure 6. Comparative analysis of meat pH fluctuations in poultry across experimental treatments over storage time. For pH, which involved repeated measurements over time on the same experimental groups, we have used the paired Student’s t-test, a suitable method for comparing mean values between two successive measurement times. (A) Comparative analysis of pH fluctuations in poultry meat at 0 h; (B) Comparative analysis of pH fluctuations in poultry meat at 24 h from slaughtering; (C) Comparative analysis of pH fluctuations in poultry meat at 48 h from slaughtering; (D) Comparative analysis of pH fluctuations in poultry meat at 96 h from slaughtering; (E) Comparative analysis of pH fluctuations in poultry meat at 144 h from slaughtering; (F) Comparative analysis of pH fluctuations in poultry meat at 192 h from slaughtering. Detected significance is indicated on the graphs (* p < 0.05, ** p < 0.01).
Agriculture 15 02356 g006
Figure 7. Analysis of the temporal changes in meat pH within individual poultry experimental groups (AH). For pH, which involved repeated measurements over time on the same experimental groups, we have used the paired Student’s t-test, a suitable method for comparing mean values between two successive measurement times. Detected significance is indicated on the graphs (* p < 0.05, ** p < 0.01, ***p < 0.001).
Figure 7. Analysis of the temporal changes in meat pH within individual poultry experimental groups (AH). For pH, which involved repeated measurements over time on the same experimental groups, we have used the paired Student’s t-test, a suitable method for comparing mean values between two successive measurement times. Detected significance is indicated on the graphs (* p < 0.05, ** p < 0.01, ***p < 0.001).
Agriculture 15 02356 g007
Table 1. The structure and nutritional characteristics of the diet.
Table 1. The structure and nutritional characteristics of the diet.
SpecificationStarter
1–10 Days
Grower
11–24 Days
Finisher
25–35 Days
%
Corn49.9653.3257.86
Soybean meal41.6537.8832.70
Sunflower oil4.225.105.80
Calcium carbonate1.181.440.93
Monocalcium phosphate1.520.801.30
Salt0.260.190,20
Sodium bicarbonate0.010.200,20
L Lysine0.250.180.18
DL Methionine0.360.300.28
L Threonine0.090.090.05
Vitamin-mineral premix0.50.50.5
100100100
Nutritional characteristics
ME (kcal/kg feed)3004.073104.523200.80
Crude protein (%)23.0221.5019.49
Lysine (%)1.441.291.16
Methionine + cystine (%)1.080.980.91
Calcium (%)0.960.870.79
Total phosphorus (%)0.670.520.60
Crude cellulose (%)3.443.283.05
Composition of Vitamin-mineral premix Broiler (per kg premix): Vitamin A (retinyl acetate) 2,000,000 IU; Vitamin D3 (cholecalciferol) 500,000 IU; Vitamin E (dl-α-tocopherol) 10 g; Vitamin K3 (menadione) 0.3 g; Vitamin B1 (thiamine) 0.4 g; Vitamin B2 (riboflavin) 1.5 g; Vitamin B6 (pyridoxine-HCl) 0.7 g; Vitamin B12 (cyanocobalamin) 4 mg; Niacin 7 g; D-pantothenic acid 2.4 g; Choline chloride 92 g; Folic acid 0.2 g; Biotin 40 mg; Iron (as FeSO4*H2O) 16 g; Copper (as CuSO4*5 H2O) 2.4 g; Manganese (as MnO) 17 g; Zinc (as ZnSO4*H2O) 12 g; Iodate (as KJ) 0.16 g; Selenium (as Na2SeO3) 30 mg.
Table 2. Separated and identified compounds identified from Tea Tree and Thyme EOs.
Table 2. Separated and identified compounds identified from Tea Tree and Thyme EOs.
TTEOTEO
CompoundRIcRIr%%
Tricyclene925923n.i.0.13
alpha-Thujene9299281.020.88
alpha-Pinene 9349362.641.20
Camphene 945950n.i.2.14
Sabinene 9739700.19n.i.
beta-Pinene9789770.760.29
1-Octen-3-ol 979980n.i.0.68
beta-Myrcene 9919890.872.13
alpha-Phellandrene 100210040.580.22
3-Carene 10071008n.i.0.16
4-Carene1010101110.451.73
p-Cymene102410252.7721.11
Limonene 10301029n.i.0.87
Eucalyptol 103110325.501.93
gamma-Terpinen 1058106019.889.33
Terpinolen109010863.780.20
Linalool109810990.035.92
Camphor 11401143n.i.1.66
Terpinen-4-ol 1164116640.471.67
alpha-Terpineol 118811902.460.07
Thymol methyl ether12331234n.i.1.65
Carvone12431242n.i.0.15
Bornyl acetate 12831283n.i.0.07
Thymol 12881290n.i.28.77
Carvacrol 12981300.4n.i.6.13
alpha-Cubebene 135113520.040.08
Isoledene136413600.06n.i.
Copaene136813700.180.13
beta-Caryophyllene 140314060.429.60
alpha-Gurjunene140814100.36n.i.
(+)-Spathulenol141014120.06n.i.
Eudesma-3,7(11)-diene 141214130.08n.i.
delta-Guaiene 141714160.15n.i.
beta-Cubebene 141914180.17n.i.
alpha-Caryophyllene 142214200.080.09
beta-Gurjunene143114330.30n.i.
Alloaromadendrene146014621.86n.i.
gamma-Gurjunene 147214750.36n.i.
gamma-Muurolene 14761477n.i.0.10
Germacrene D148015100.79n.i.
alpha-Cubebene 149014880.19n.i.
Viridiflorene 149214931.19n.i.
alpha-Muurolene 149814950.130.10
gamma-Cadinene15121513n.i.0.08
beta-Cadinene151815200.41n.i.
delta-Cadinene152515231.370.34
alfa-Cadinene153315350.10n.i.
Caryophyllene oxide 15781580n.i.0.21
Monoterpene Hydrocarbons (MH) 43.0540.53
Monoterpene Oxygenates (MO) 48.5248.10
Sesquiterpene Hydrocarbons (SH) 8.3110.10
Sesquiterpene Oxygenates (SO) 0.190.21
Other compounds (O) n.i.0.68
RIc: Calculated retention index based on a homologous series of n-alkanes analyzed under the same chromatographic conditions on the AT-5MS column. RIr: Reference retention index obtained from the NIST mass spectral library [58]. Percentages represent mean values ± standard deviation from triplicate injections. “n.i.” = not identified in the sample.
Table 3. Evolution of BW during the hatch-to-35-day period.
Table 3. Evolution of BW during the hatch-to-35-day period.
Growth PeriodTreatment GroupSEMp
CGG1G2G3G4G5G6G7
X ¯
BW1 d43.944.043.843.943.943.944.044.00.260.99
10 d288.1285.7281.1279.0278.3296.1276.4281.411.440.71
24 d1201.51135.21160.81139.71136.81151.01117.71176.953.370.81
35 d2166.32022.92102.52108.42098.71985.52052.82151.165.870.22
X ¯ = mean; SEM = the standard error (SE) of the mean; d—days.
Table 4. Total WG during from the hatch-to-35-day rearing period.
Table 4. Total WG during from the hatch-to-35-day rearing period.
Growth PeriodTreatment GroupSEMp
CGG1G2G3G4G5G6G7
X ¯
Total WG1–10 d244.221.7237.3235.1234.4252.2232.4237.411.300.70
11–24 d913.4849.5879.7860.7858.5854.9841.3895.552.510.84
25–35 d964.8887.7941.7968.7961.9834.5935.1974.279.540.64
1–35 d2122.41978.92058.72064.52054.81941.62008.82107.165.790.22
X ¯ = mean; SEM = the SE of the mean; d—days.
Table 5. FI during the hatch-to-35-day growth period.
Table 5. FI during the hatch-to-35-day growth period.
Growth PeriodTreatment GroupSEMp
CGG1G2G3G4G5G6G7
X ¯
FI1–10 d249.1259.2247.8233.5237.8247.7247.9256.17.130.08
11–24 d1282.31200.81231.31253.11222.61206.21204.31284.452.170.57
25–35 d1637.11507.01554.61575.61614.91606.41563.41611.972.810.69
1–35 d3168.52967.03033.73062.23075.33060.33015.63152.4101.880.56
X ¯ = mean; SEM = the SE of the mean; d—days.
Table 6. FCR of broilers across different growth periods.
Table 6. FCR of broilers across different growth periods.
Growth PeriodTreatment GroupSEMp
CGG1G2G3G4G5G6G7
X ¯
FCR1–10 d1.021.071.040.991.010.981.061.070.040.28
11–24 d1.401.411.401.451.421.411.431.430.050.94
25–35 d1.691.691.651.621.671.691.671.650.250.69
1–35 d1.491.491.471.481.491.581.501.490.060.76
X ¯ = mean; SEM = the SE of the mean; d—days.
Disclaimer/Publisher’s Note: The statements, opinions and data contained in all publications are solely those of the individual author(s) and contributor(s) and not of MDPI and/or the editor(s). MDPI and/or the editor(s) disclaim responsibility for any injury to people or property resulting from any ideas, methods, instructions or products referred to in the content.

Share and Cite

MDPI and ACS Style

Stef, L.; Corcionivoschi, N.; Julean, C.; Callaway, T.; Simiz, E.; Marcu, A.; Stef, D.S.; Pet, I.; Popescu, I.; Gradisteanu Pircalabioru, G.; et al. Integrative Feeding Strategies with Essential Oils and Probiotics to Improve Raw Meat Quality and Carcass Traits in Broiler Chickens. Agriculture 2025, 15, 2356. https://doi.org/10.3390/agriculture15222356

AMA Style

Stef L, Corcionivoschi N, Julean C, Callaway T, Simiz E, Marcu A, Stef DS, Pet I, Popescu I, Gradisteanu Pircalabioru G, et al. Integrative Feeding Strategies with Essential Oils and Probiotics to Improve Raw Meat Quality and Carcass Traits in Broiler Chickens. Agriculture. 2025; 15(22):2356. https://doi.org/10.3390/agriculture15222356

Chicago/Turabian Style

Stef, Lavinia, Nicolae Corcionivoschi, Calin Julean, Todd Callaway, Eliza Simiz, Adela Marcu, Ducu Sandu Stef, Ioan Pet, Iuliana Popescu, Gratiela Gradisteanu Pircalabioru, and et al. 2025. "Integrative Feeding Strategies with Essential Oils and Probiotics to Improve Raw Meat Quality and Carcass Traits in Broiler Chickens" Agriculture 15, no. 22: 2356. https://doi.org/10.3390/agriculture15222356

APA Style

Stef, L., Corcionivoschi, N., Julean, C., Callaway, T., Simiz, E., Marcu, A., Stef, D. S., Pet, I., Popescu, I., Gradisteanu Pircalabioru, G., Simiz, F. D., & Balta, I. (2025). Integrative Feeding Strategies with Essential Oils and Probiotics to Improve Raw Meat Quality and Carcass Traits in Broiler Chickens. Agriculture, 15(22), 2356. https://doi.org/10.3390/agriculture15222356

Note that from the first issue of 2016, this journal uses article numbers instead of page numbers. See further details here.

Article Metrics

Article metric data becomes available approximately 24 hours after publication online.
Back to TopTop