Non-Contact In Situ Estimation of Soil Porosity, Tortuosity, and Pore Radius Using Acoustic Reflections
Abstract
1. Introduction
1.1. Why Knowledge of Soil Physical Properties Is Important
1.2. Traditional Measurement Methods for Soil Physical Properties
1.3. Acoustic Measurements of Porous Material Physical Properties
1.4. Acoustic Measurements of the Reflectivity of Soil

1.5. Purpose and Structure of This Paper
2. Theory and Simulations
2.1. Approximations for the Plane Wave Reflection Coefficient R
2.2. Typical Values of Model Parameters
2.3. Approximation at Higher Frequencies
2.4. Procedure for Estimation of Soil Physical Parameters
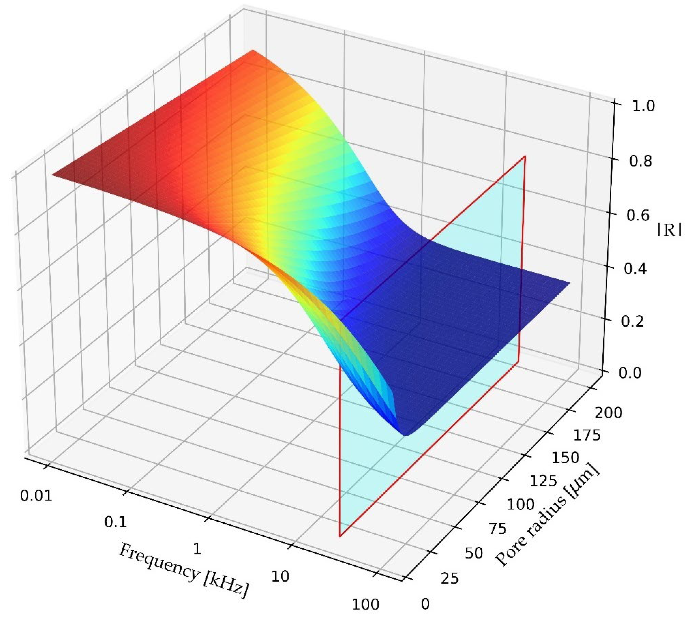
3. Results
4. Discussion
4.1. Validity of the Simulations
- Accuracy of (6). Horoshenkov [22] used this relationship to estimate the radius of glass beads based on known packing, obtaining an agreement of around 9%. This is equivalent to a 9% standard deviation of estimated pore radius.
- The assumed value σR = 0.02 for the Monte Carlo simulations. This is validated at f = 25 kHz through the measurements by Bradley et al. [67], as discussed in relation to Figure 11. At the lower frequencies proposed here, the pulse durations will not change, but the number of cycles per pulse will be around 13, 17, 21, 27, 34, 43, and 54 for the frequencies 4.5, 5.7, 7.1, 9, 11.3, 14.3, and 18 kHz, respectively. The resulting pulses will have well-defined shapes with at least 13 regression points if a Gaussian shape is fitted to the envelope. The possibility of more environmental acoustic noise at these lower frequencies should not present a problem because the -3 dB spectral width around each centre frequency is less than 500 Hz. This means that spectral filtering can effectively remove environmental noise.
- The assumption that the errors due to signal loss in sound passing through grass and roughness are small. The results from the experiments of Bradley and Ghimire [67] shown in Figure 2 and Figure 3 indicate that at f =25 kHz, pasture and surface roughness are not major obstacles. At higher biomass levels, some loss of reflected energy will occur [65] at a frequency of 25 kHz. However, the extent of scattering by either pasture swards or surface roughness is dependent on a scattering parameter such as kσh discussed in relation to Figure 3. At 25 kHz, it was found that kσh < 1 for the farmland sites described. From 4.5 to 18 kHz, the same sites would have a maximum kσh of 0.2–0.7, and the errors arising from these sources would be correspondingly smaller.
4.2. Operational Considerations
5. Conclusions
Funding
Data Availability Statement
Acknowledgments
Conflicts of Interest
Abbreviations
| Symbol | Description |
| a | A + BX |
| A | ϕ2/α∞ |
| b | Coefficient of f−2 in expansion |
| B | A(α∞ − 1)/α∞ |
| c | A(1 + X) |
| c0 | Speed of sound |
| d | −AX/α∞ |
| f | Acoustic frequency |
| fc | Critical frequency |
| flow | A frequency much lower than fc |
| fhigh | A frequency much higher than fc |
| G | Number of random realizations |
| k | Acoustic wavenumber |
| Ka | Bulk modulus of air |
| Ke | Effective bulk density of soil |
| L | Acoustic path length for reflection |
| m | Index of θ |
| M | Maximum value of m |
| n | Index of f |
| N | Maximum value of n |
| rpore | Characteristic pore radius |
| R | Plane wave reflection coefficient |
| |R| | Amplitude of R |
| s | “Soil” defined by a set of (ϕ, α∞, rpore) |
| u | Relative standard deviation of estimates |
| X | tan2θ |
| Y | (1 − |R|)2/(1 + |R|)2 |
| α∞ | Soil tortuosity |
| β | Bias in estimates |
| γ | iΩ/(1 + iΩ) |
| /ε | Fractional random noise in measurement |R| |
| η | Dynamic viscosity of air |
| θ | Angle of incidence |
| κ | Curvature of Y vs. Ω−2 |
| ρ0 | Air density |
| ρe | Equivalent soil density |
| σ | Flow resistivity |
| σh | Standard deviation of soil surface height |
| σR | Standard deviation of noise in measurement |R| |
| ϕ | Soil porosity |
| Ω | Normalized frequency |
References
- Doran, J.W.; Zeiss, M.R. Soil Health and Sustainability: Managing the Biotic Component of Soil Quality. Appl. Soil Ecol. 2000, 15, 3–11. [Google Scholar] [CrossRef]
- Lehmann, J.; Bossio, D.A.; Kögel-Knabner, I.; Rillig, M.C. The Concept and Future Prospects of Soil Health. Nat. Rev. Earth Environ. 2020, 1, 544–553. [Google Scholar] [CrossRef] [PubMed]
- Shahane, A.A.; Shivay, Y.S. Soil Health and Its Improvement Through Novel Agronomic and Innovative Approaches. Front. Agron. 2021, 3, 680456. [Google Scholar] [CrossRef]
- Ngo-Cong, D.; Antille, D.L.; Th. van Genuchten, M.; Nguyen, H.Q.; Tekeste, M.Z.; Baillie, C.P.; Godwin, R.J. A Modeling Framework to Quantify the Effects of Compaction on Soil Water Retention and Infiltration. Soil Sci. Soc. Am. J. 2021, 85, 1931–1945. [Google Scholar] [CrossRef]
- Reynolds, W.D.; Drury, C.F.; Tan, C.S.; Fox, C.A.; Yang, X.M. Use of Indicators and Pore Volume-Function Characteristics to Quantify Soil Physical Quality. Geoderma 2009, 152, 252–263. [Google Scholar] [CrossRef]
- Kuncoro, P.H.; Koga, K.; Satta, N.; Muto, Y. A Study on the Effect of Compaction on Transport Properties of Soil Gas and Water. II: Soil Pore Structure Indices. Soil Tillage Res. 2014, 143, 180–187. [Google Scholar] [CrossRef]
- Hu, W.; Drewry, J.; Beare, M.; Eger, A.; Müller, K. Compaction Induced Soil Structural Degradation Affects Productivity and Environmental Outcomes: A Review and New Zealand Case Study. Geoderma 2021, 395, 115035. [Google Scholar] [CrossRef]
- Drewry, J.J.; Cameron, K.C.; Buchan, G.D. Pasture Yield and Soil Physical Property Responses to Soil Compaction from Treading and Grazing—A Review. Soil Res. 2008, 46, 237–256. [Google Scholar] [CrossRef]
- Matthews, G.P.; Laudone, G.M.; Gregory, A.S.; Bird, N.R.A.; de G. Matthews, A.G.; Whalley, W.R. Measurement and Simulation of the Effect of Compaction on the Pore Structure and Saturated Hydraulic Conductivity of Grassland and Arable Soil. Water Resour. Res. 2010, 46, 1–13. [Google Scholar] [CrossRef]
- Alaoui, A.; Rogger, M.; Peth, S.; Blöschl, G. Does Soil Compaction Increase Floods? A Review. J. Hydrol. 2018, 557, 631–642. [Google Scholar] [CrossRef]
- Kopittke, P.M.; Menzies, N.W.; Wang, P.; McKenna, B.A.; Lombi, E. Soil and the Intensification of Agriculture for Global Food Security. Environ. Int. 2019, 132, 105078. [Google Scholar] [CrossRef]
- Teepe, R.; Brumme, R.; Beese, F.; Ludwig, B. Nitrous Oxide Emission and Methane Consumption Following Compaction of Forest Soils. Soil Sci. Soc. Am. J. 2004, 68, 605–611. [Google Scholar] [CrossRef]
- Cambi, M.; Certini, G.; Neri, F.; Marchi, E. The Impact of Heavy Traffic on Forest Soils: A Review. For. Ecol. Manag. 2015, 338, 124–138. [Google Scholar] [CrossRef]
- Bottinelli, N.; Hallaire, V.; Goutal, N.; Bonnaud, P.; Ranger, J. Impact of Heavy Traffic on Soil Macroporosity of Two Silty Forest Soils: Initial Effect and Short-Term Recovery. Geoderma 2014, 217, 10–17. [Google Scholar] [CrossRef]
- McKenzie, N.; Coughlan, K.; Cresswell, H. Soil Physical Measurement and Interpretation for Land Evaluation; CSIRO Publishing: Clayton, VIC, Australia, 2002; ISBN 978-0-643-06767-7. [Google Scholar]
- Zeng, Y. Coupled Dynamics in Soil: Understanding the Transport Mechanism of Liquid Water, Water Vapor, Dry Air and Heat by Field Experiments and Numerical Simulation. Ph.D. Thesis, University of Twente, Enschede, The Netherlands, 2012. [Google Scholar] [CrossRef]
- Zeng, Y.; Verhoef, A.; Vereecken, H.; Ben-Dor, E.; Veldkamp, T.; Shaw, L.; Wang, Y.; Su, Z.B. Tracking Soil Health: Monitoring and Modeling the Soil-Plant System. Authorea, 2024; preprints. [Google Scholar]
- Mateo-Marín, N.; Bosch-Serra, À.D.; Molina, M.G.; Poch, R.M. Impacts of Tillage and Nutrient Management on Soil Porosity Trends in Dryland Agriculture. Eur. J. Soil Sci. 2022, 73, e13139. [Google Scholar] [CrossRef]
- Leclaire, P. Characterization of Porous Absorbent Materials. In Proceedings of the Acoustics 2012, Nantes, France, 23–27 April 2012; Volume hal-00810634. [Google Scholar]
- Nimmo, J.R. Porosity and Pore Size Distribution. In Reference Module in Earth Systems and Environmental Sciences; Elsevier: Amsterdam, The Netherlands, 2013; p. B9780124095489052659. ISBN 978-0-12-409548-9. [Google Scholar]
- Ghajar, S.; Tracy, B. Proximal Sensing in Grasslands and Pastures. Agriculture 2021, 11, 740. [Google Scholar] [CrossRef]
- Horoshenkov, K.V. A Review of Acoustical Methods for Porous Material Characterisation. Int. J. Acoust. Vib. 2017, 22, 92–103. [Google Scholar] [CrossRef]
- Lucas, M.; Vetterlein, D.; Vogel, H.-J.; Schlüter, S. Revealing Pore Connectivity across Scales and Resolutions with X-Ray CT. Eur. J. Soil Sci. 2021, 72, 546–560. [Google Scholar] [CrossRef]
- Manns, H.R.; Jiang, Y.; Parkin, G. Soil Pores in Preferential Flow Terminology and Permeability Equations. Vadose Zone J. 2024, 23, e20365. [Google Scholar] [CrossRef]
- Oelze, M.L.; O’Brien, W.D.; Darmody, R.G. Measurement of Attenuation and Speed of Sound in Soils. Soil Sci. Soc. Am. J. 2002, 66, 9. [Google Scholar] [CrossRef]
- Luong, J.; Mercatoris, B.; Destain, M.-F. Measurement of the Open Porosity of Agricultural Soils with Acoustic Waves. In Proceedings of the EGU General Assembly 2015, Vienna, Austria, 12–17 April 2015; p. 5292. [Google Scholar]
- Matko, V. Porosity Determination by Using Two Stochastic Signals. Sens. Actuators A Phys. 2004, 112, 320–327. [Google Scholar] [CrossRef]
- Brown, N.; Melon, M.; Montembault, V.; Castagnede, B.; Lauriks, W.; Leclaire, P. Evaluation of the Viscous Characteristic Length of Air-Saturated Porous Materials from the Ultrasonic Dispersion Curve. Comptes Rendus De L’académie Des Sci. 1996, 322, 122–127. [Google Scholar]
- Attenborough, K.; Bashir, I.; Taherzadeh, S. Outdoor Ground Impedance Models. J. Acoust. Soc. Am. 2011, 129, 2806–2819. [Google Scholar] [CrossRef]
- Hansen, C.H.; Doolan, C.J.; Hansen, K.L. Wind Farm Noise: Measurement, Assessment. Available online: https://onlinelibrary.wiley.com/doi/book/10.1002/9781118826140 (accessed on 13 May 2023).
- Salomons, E.M. Computational Atmospheric Acoustics; Springer Science & Business Media: Berlin/Heidelberg, Germany, 2001; ISBN 978-1-4020-0390-5. [Google Scholar]
- Biot, M. Theory of Propagation of Elastic Waves in a Fluid-Saturated Porous Solid. I. Low-Frequency Range. J. Acoust. Soc. Am. 1956, 28, 168–178. [Google Scholar] [CrossRef]
- Biot, M.A. Theory of Propagation of Elastic Waves in a Fluid-saturated Porous Solid. II. Higher Frequency Range. J. Acoust. Soc. Am. 1956, 28, 179–191. [Google Scholar] [CrossRef]
- Pride, S.R.; Morgan, F.D.; Gangi, A.F. Drag Forces of Porous-Medium Acoustics. Phys. Rev. B 1993, 47, 4964–4978. [Google Scholar] [CrossRef]
- Leclaire, P.; Kelders, L.; Lauriks, W.; Melon, M.; Brown, N.; Castagnède, B. Determination of the Viscous and Thermal Characteristic Lengths of Plastic Foams by Ultrasonic Measurements in Helium and Air. J. Appl. Phys. 1996, 80, 2009–2012. [Google Scholar] [CrossRef]
- Corapcioglu, M.Y.; Tuncay, K. Chapter 5 Propagation of Waves in Porous Media. In Advances in Porous Media; Elsevier: Amsterdam, The Netherlands, 1996; Volume 3, pp. 361–440. ISBN 978-0-444-82500-1. [Google Scholar]
- Allard, J.-F.; Atalla, N. Propagation of Sound in Porous Media: Modelling Sound Absorbing Materials, 2nd ed.; Wiley: Hoboken, NJ, USA, 2009; ISBN 978-0-470-74661-5. [Google Scholar]
- Manor, O. Acoustic Flow in Porous Media. J. Fluid Mech. 2021, 920, A11. [Google Scholar] [CrossRef]
- Brennan, M.J.; To, W.M. Acoustic Properties of Rigid-Frame Porous Materials—An Engineering Perspective. Appl. Acoust. 2001, 62, 793–811. [Google Scholar] [CrossRef]
- Ghanbarian, B.; Hunt, A.G.; Ewing, R.P.; Sahimi, M. Tortuosity in Porous Media: A Critical Review. Soil Sci. Soc. Am. J. 2013, 77, 1461–1477. [Google Scholar] [CrossRef]
- Leclaire, P.; Horoshenkov, K.V.; Swift, M.J.; Hothersall, D.C. The Vibrational Response of a Clamped Retangular Porous Plate. J. Sound Vib. 2001, 247, 19–31. [Google Scholar] [CrossRef]
- Doutres, O.; Dauchez, N.; Génevaux, J.-M.; Dazel, O. Validity of the Limp Model for Porous Materials: A Criterion Based on the Biot Theory. J. Acoust. Soc. Am. 2007, 122, 2038–2048. [Google Scholar] [CrossRef]
- Fellah, Z.E.A.; Depollier, C. Transient Acoustic Wave Propagation in Rigid Porous Media: A Time-Domain Approach. J. Acoust. Soc. Am. 2000, 107, 683–688. [Google Scholar] [CrossRef]
- Panneton, R. Comments on the Limp Frame Equivalent Fluid Model for Porous Media. J. Acoust. Soc. Am. 2007, 122, EL217–EL222. [Google Scholar] [CrossRef]
- Umnova, O.; Attenborough, K.; Shin, H.-C.; Cummings, A. Deduction of Tortuosity and Porosity from Acoustic Reflection and Transmission Measurements on Thick Samples of Rigid-Porous Materials. Appl. Acoust. 2005, 66, 607–624. [Google Scholar] [CrossRef]
- Boeckx, L.; Leclaire, P.; Khurana, P.; Glorieux, C.; Lauriks, W.; Allard, J.F. Investigation of the Phase Velocities of Guided Acoustic Waves in Soft Porous Layers. J. Acoust. Soc. Am. 2005, 117, 545–554. [Google Scholar] [CrossRef] [PubMed]
- Červenka, M.; Bednařík, M.; Zieliński, T.G. Direct Numerical Simulation of Sound Absorption in Porous Media. In Proceedings of the Euronoise 2018, Heraklion, Greece, 27–31 May 2018; pp. 59–64. [Google Scholar]
- Prisutova, J.; Horoshenkov, K.; Groby, J.-P.; Brouard, B. A Method to Determine the Acoustic Reflection and Absorption Coefficients of Porous Media by Using Modal Dispersion in a Waveguide. J. Acoust. Soc. Am. 2014, 136, 2947–2958. [Google Scholar] [CrossRef]
- Fellah, Z.E.A.; Fellah, M.; Mitri, F.G.; Sebaa, N.; Depollier, C.; Lauriks, W. Measuring Permeability of Porous Materials at Low Frequency Range via Acoustic Transmitted Waves. Rev. Sci. Instrum. 2007, 78, 114902. [Google Scholar] [CrossRef] [PubMed]
- Fellah, Z.E.A.; Fellah, M.; Depollier, C.; Ogam, E.; Mitri, F.G. Ultrasound Measuring of Porosity in Porous Materials. In Porosity—Process, Technologies and Applications; Ghrib, T.H., Ed.; InTech: Rijeka, Croatia, 2018; ISBN 978-1-78923-042-0. [Google Scholar]
- Sadouki, M.; Fellah, M.; Fellah, Z.E.A.; Ogam, E.; Depollier, C. Determination of the Flow Resistivity and Thickness of Porous Materials with Rigid Frames via Transmitted Waves at Darcy’s Regime. In Proceedings of the 22ème Congrès Français de Mécanique, Lyon, France, 24–28 August 2015; p. 10. [Google Scholar]
- Fellah, Z.E.A.; Berger, S.; Lauriks, W.; Depollier, C.; Fellah, M. Measuring the Porosity of Porous Materials Having a Rigid Frame via Reflected Waves: A Time Domain Analysis with Fractional Derivatives. J. Appl. Phys. 2003, 93, 296–303. [Google Scholar] [CrossRef]
- Fellah, Z.E.A.; Mitri, F.G.; Depollier, C.; Berger, S.; Lauriks, W.; Chapelon, J.Y. Characterization of Porous Materials with a Rigid Frame via Reflected Waves. J. Appl. Phys. 2003, 94, 7914. [Google Scholar] [CrossRef]
- Fellah, Z.E.A.; Depollier, C.; Berger, S.; Lauriks, W.; Trompette, P.; Chapelon, J.-Y. Determination of Transport Parameters in Air-Saturated Porous Materials via Reflected Ultrasonic Waves. J. Acoust. Soc. Am. 2003, 114, 2561. [Google Scholar] [CrossRef]
- Horoshenkov, K.V.; Groby, J.-P.; Dazel, O. Asymptotic Limits of Some Models for Sound Propagation in Porous Media and the Assignment of the Pore Characteristic Lengths. J. Acoust. Soc. Am. 2016, 139, 2463–2474. [Google Scholar] [CrossRef] [PubMed]
- Bradley, S.; Ghimire, C. Design of an Ultrasound Sensing System for Estimation of the Porosity of Agricultural Soils. Sensors 2024, 24, 2266. [Google Scholar] [CrossRef] [PubMed]
- Fellah, Z.E.A.; Berger, S.; Lauriks, W.; Depollier, C.; Aristégui, C.; Chapelon, J.-Y. Measuring the Porosity and the Tortuosity of Porous Materials via Reflected Waves at Oblique Incidence. J. Acoust. Soc. Am. 2003, 113, 2424–2433. [Google Scholar] [CrossRef]
- Sebaa, N.; Fellah, Z.E.A.; Fellah, M.; Lauriks, W.; Depollier, C. Measuring Flow Resistivity of Porous Material via Acoustic Reflected Waves. J. Appl. Phys. 2005, 98, 084901. [Google Scholar] [CrossRef]
- Jaouen, L.; Renault, A.; Deverge, M. Elastic and Damping Characterizations of Acoustical Porous Materials: Available Experimental Methods and Applications to a Melamine Foam. Appl. Acoust. 2008, 69, 1129–1140. [Google Scholar] [CrossRef]
- Lieblappen, R.; Fegyveresi, J.M.; Courville, Z.; Albert, D.G. Using Ultrasonic Waves to Determine the Microstructure of Snow. Front. Earth Sci. 2020, 8, 34. [Google Scholar] [CrossRef]
- Pereira, M.; Carbajo, J.; Godinho, L.; Amado-Mendes, P.; Mateus, D.; Ramis, J. Acoustic Behavior of Porous Concrete. Characterization by Experimental and Inversion Methods. Mater. De Construcción 2019, 69, 202. [Google Scholar] [CrossRef]
- El Abassi, D.; Ibhi, A.; Faiz, B.; Aboudaoud, I. A Simple Method for the Determination of the Porosity and Tortuosity of Meteorites with Ultrasound. J. Geophys. Eng. 2013, 10, 055003. [Google Scholar] [CrossRef]
- Lagrain, B.; Boeckx, L.; Wilderjans, E.; Delcour, J.A.; Lauriks, W. Non-Contact Ultrasound Characterization of Bread Crumb: Application of the Biot–Allard Model. Food Res. Int. 2006, 39, 1067–1075. [Google Scholar] [CrossRef]
- Hawke, R.; McConchie, J. In Situ Measurement of Soil Moisture and Pore-Water Pressures in an ‘Incipient’ Landslide: Lake Tutira, New Zealand. J. Environ. Manag. 2011, 92, 266–274. [Google Scholar] [CrossRef]
- Legg, M.; Bradley, S. Ultrasonic Proximal Sensing of Pasture Biomass. Remote Sens. 2019, 11, 2459. [Google Scholar] [CrossRef]
- Romanova, A.; Horoshenkov, K.V.; Hurrell, A. An Application of a Parametric Transducer to Measure Acoustic Absorption of a Living Green Wall. Appl. Acoust. 2019, 145, 89–97. [Google Scholar] [CrossRef]
- Bradley, S.G.; Ghimire, C.; Taylor, A. Estimation of the Porosity of Agricultural Soils Using Non-Contact Ultrasound Sensing. Soil Adv. 2024, 1, 100003. [Google Scholar] [CrossRef]
- Sadouki, M. Experimental Measurement of the Porosity and the Viscous Tortuosity of Rigid Porous Material in Low Frequency. J. Low Freq. Noise Vib. Act. Control 2018, 37, 385–393. [Google Scholar] [CrossRef]
- Good, C.E. Acoustic Characterization of Grass-Cover Ground. Master’s Thesis, Department of Mechanical Engineering, School of Engineering, The Catholic University of America, Washington, DC, USA, 2014; 30p. [Google Scholar]
- Good, C.E.; Vignola, J.F.; Glean, A.A.; Judge, J.A.; Ryan, T.J.; Sunny, J.; Turo, D. Acoustical Characterization of Grass-Covered Ground. J. Acoust. Soc. Am. 2014, 135, 2289. [Google Scholar] [CrossRef]
- Kaźmierowski, C.; Ceglarek, J.; Królewicz, S.; Cierniewski, J.; Universityc, A.M.; Jasiewicz, J.; Wyczałek, M. Soil Surface Roughness Quantification Using DEM Obtained from UAV Photogrammetry. In Geomorphometry for Geosciences; Adam Mickiewicz University: Poznań, Poland, 2015. [Google Scholar] [CrossRef]
- Isakson, M.; Chotiros, N. Modeling Scattering from Rough Poroelastic Surfaces Using COMSOL Multiphysics; University of Texas at Austin: Austin, TX, USA, 2013. [Google Scholar]
- Thomsen, L.M.; Baartman, J.E.M.; Barneveld, R.J.; Starkloff, T.; Stolte, J. Soil Surface Roughness: Comparing Old and New Measuring Methods and Application in a Soil Erosion Model. Soil 2015, 1, 399–410. [Google Scholar] [CrossRef]
- Govers, G.; Takken, I.; Helming, K. Soil Roughness and Overland Flow. Agronomie 2000, 20, 131–146. [Google Scholar] [CrossRef]
- Krynkin, A.; Horoshenkov, K.V.; Van Renterghem, T. An Airborne Acoustic Method to Reconstruct a Dynamically Rough Flow Surface. J. Acoust. Soc. Am. 2016, 140, 2064–2073. [Google Scholar] [CrossRef]
- Oh, Y.; Stiles, J. Chapter IX. Surface Roughness Measurements. Hydrol. Data Rep. WASHITA ’92 1993, NAWQL 93-1, 27. [Google Scholar]
- Elfouhaily, T.M.; Guérin, C.-A. A Critical Survey of Approximate Scattering Wave Theories from Random Rough Surfaces. Waves Random Media 2004, 14, R1–R40. [Google Scholar] [CrossRef]
- Darmon, M.; Dorval, V.; Baqué, F. Acoustic Scattering Models from Rough Surfaces: A Brief Review and Recent Advances. Appl. Sci. 2020, 10, 8305. [Google Scholar] [CrossRef]
- Jaud, V.; Gervaise, C.; Stephan, Y.; Khenchaf, A. Modelling of High-Frequency Roughness Scattering from Various Rough Surfaces through the Small Slope Approximation of First Order. Open J. Acoust. 2012, 2, 1–11. [Google Scholar] [CrossRef]
- Jaud, V.; Sessarego, J.-P.; Gervaise, C.; Stephan, Y. High Frequency Roughness Scattering from Various Rough Surfaces: Theory and Laboratory Experiments. Open J. Acoust. 2012, 2, 50–59. [Google Scholar] [CrossRef]
- Broschat, S.L.; Thorsos, E.I. An Investigation of the Small Slope Approximation for Scattering from Rough Surfaces. Part II. Numerical Studies. J. Acoust. Soc. Am. 1997, 101, 2615–2625. [Google Scholar] [CrossRef]
- Jackson, D.; Olson, D.R. The Small-Slope Approximation for Layered, Fluid Seafloors. J. Acoust. Soc. Am. 2020, 147, 56–73. [Google Scholar] [CrossRef] [PubMed]
- Thorsos, E.I.; Broschat, S.L. An Investigation of the Small Slope Approximation for Scattering from Rough Surfaces. Part I. Theory. J. Acoust. Soc. Am. 1995, 97, 2082–2093. [Google Scholar] [CrossRef]
- Thorsos, E.I.; Broschat, S.L. The Lowest-order Small Slope Approximation for Rough Surface Scattering. J. Acoust. Soc. Am. 1998, 103, 3094. [Google Scholar] [CrossRef]
- Pinel, N.; Bourlier, C. Scattering from Very Rough Layers under the Geometric Optics Approximation: Further Investigation. J. Opt. Soc. Am. A 2008, 25, 1293. [Google Scholar] [CrossRef]
- Tang, K.; Buckius, R.O. The Geometric Optics Approximation for Reflection from Two-Dimensional Random Rough Surfaces. Int. J. Heat Mass Transf. 1998, 41, 2037–2047. [Google Scholar] [CrossRef]
- Arrieta-Escobar, J.A.; Derrien, D.; Ouvrard, S.; Asadollahi-Yazdi, E.; Hassan, A.; Boly, V.; Tinet, A.-J.; Dignac, M.-F. 3D Printing: An Emerging Opportunity for Soil Science. Geoderma 2020, 378, 114588. [Google Scholar] [CrossRef]












| Properties of Air | Description | Typical Value |
|---|---|---|
| ρ0 | air density | 1.2 kg m−3 |
| η | dynamic viscosity of air | 18.5 × 10−6 Pa s |
| Design Parameters | ||
| θ | angle of incidence | 0–40° |
| f | acoustic frequency | 1–25 kHz |
| Physical Properties of Soil | ||
| ϕ | porosity | 0.6 |
| α∞ | tortuosity | 1.4 |
| rpore | pore radius | 30–180 μm |
| Derived Quantities | ||
| X | tan2(θ) | 0–0.7 |
| fc | critical frequency | 0.5–22 kHz |
| Ω (f = 50 Hz) | normalized frequency | 0.002–0.1 |
| Ω (f = 25 kHz) | normalized frequency | 1–50 |
| θ | ||||
|---|---|---|---|---|
| 0° | 7.5° | 12.5° | ||
| f kHz | 4.5 | 0.424 | 0.407 | 0.395 |
| 5.7 | 0.403 | 0.388 | 0.377 | |
| 7.1 | 0.388 | 0.374 | 0.364 | |
| 9 | 0.377 | 0.364 | 0.355 | |
| 11.3 | 0.370 | 0.358 | 0.350 | |
| 14.3 | 0.365 | 0.353 | 0.346 | |
| 18 | 0.362 | 0.351 | 0.343 | |
Disclaimer/Publisher’s Note: The statements, opinions and data contained in all publications are solely those of the individual author(s) and contributor(s) and not of MDPI and/or the editor(s). MDPI and/or the editor(s) disclaim responsibility for any injury to people or property resulting from any ideas, methods, instructions or products referred to in the content. |
© 2025 by the author. Licensee MDPI, Basel, Switzerland. This article is an open access article distributed under the terms and conditions of the Creative Commons Attribution (CC BY) license (https://creativecommons.org/licenses/by/4.0/).
Share and Cite
Bradley, S. Non-Contact In Situ Estimation of Soil Porosity, Tortuosity, and Pore Radius Using Acoustic Reflections. Agriculture 2025, 15, 2146. https://doi.org/10.3390/agriculture15202146
Bradley S. Non-Contact In Situ Estimation of Soil Porosity, Tortuosity, and Pore Radius Using Acoustic Reflections. Agriculture. 2025; 15(20):2146. https://doi.org/10.3390/agriculture15202146
Chicago/Turabian StyleBradley, Stuart. 2025. "Non-Contact In Situ Estimation of Soil Porosity, Tortuosity, and Pore Radius Using Acoustic Reflections" Agriculture 15, no. 20: 2146. https://doi.org/10.3390/agriculture15202146
APA StyleBradley, S. (2025). Non-Contact In Situ Estimation of Soil Porosity, Tortuosity, and Pore Radius Using Acoustic Reflections. Agriculture, 15(20), 2146. https://doi.org/10.3390/agriculture15202146
