Relationship Between Soil Aggregate Stability and Associated Carbon and Nitrogen Changes Under Different Ecological Construction Measures in the Karst Region of Southwest China
Abstract
1. Introduction
2. Materials and Methods
2.1. Study Area
2.2. Sample Plot Layout and Sampling
2.3. Experimental Analysis
2.4. Statistical Analysis
3. Results
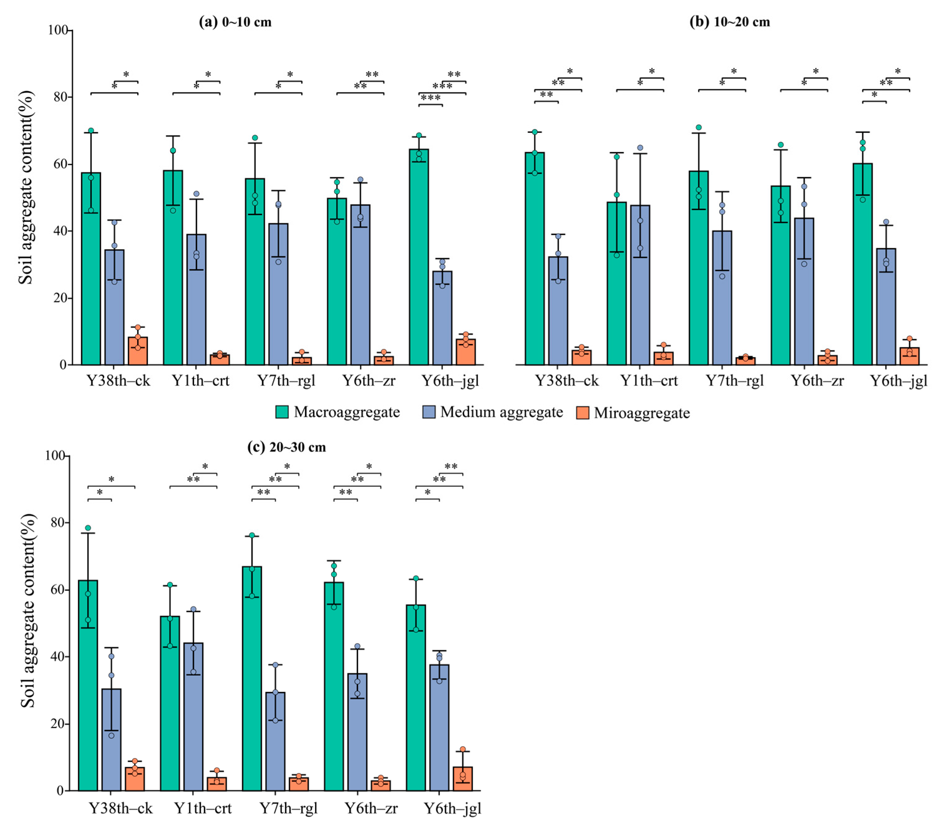
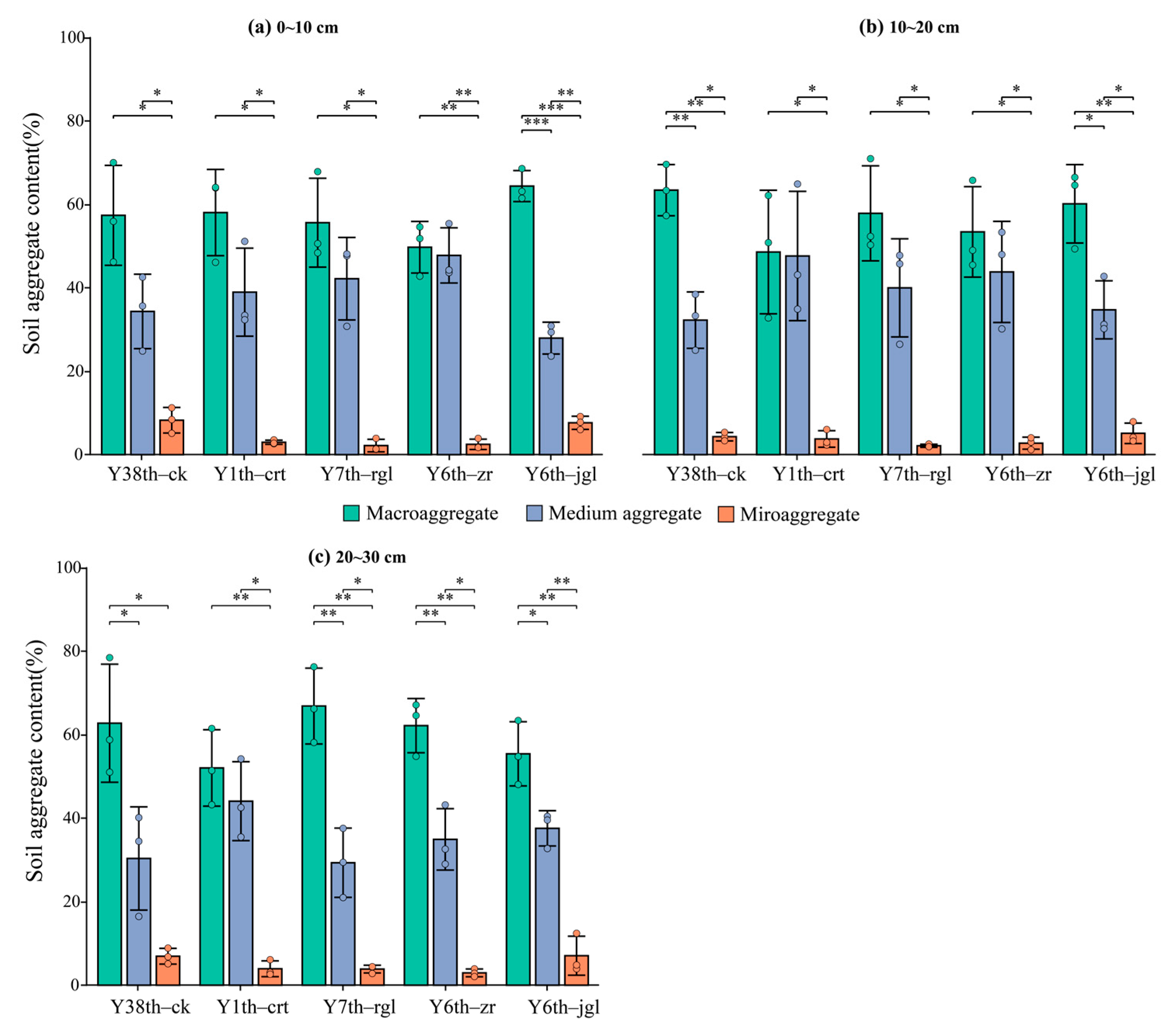
3.1. Change in Aggregate and Soil Texture Content
3.2. Aggregate Stability and Erodibility
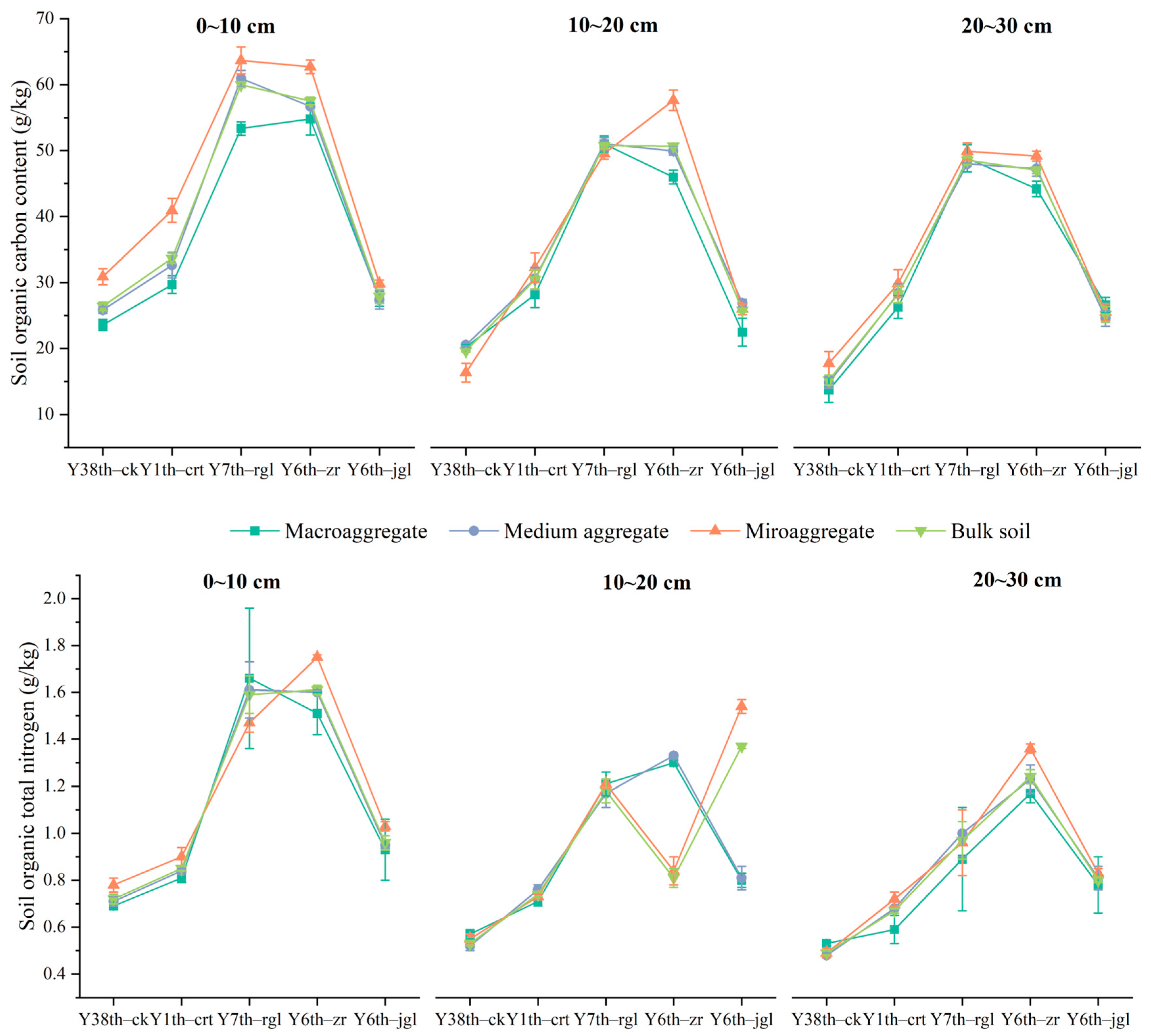
3.3. Changes in Organic Carbon and TN Content in Whole Soil and Aggregates
3.4. Relationship Between Organic Carbon and TN Content in Different Aggregates and Bulk Soil
3.5. Contribution of Different Soil Aggregates to Organic Carbon and TN Pools
3.6. Correlation of Stability with Soil Properties
4. Discussion
4.1. Changes in Soil Aggregate Content and Stability Under Different Ecological Construction Measures
4.2. Changes in Organic Carbon and TN in Soil Aggregates Under Different Ecological Construction Measures
4.3. Contribution of Same-Size Aggregates to Organic Carbon Pools and TN Pools
4.4. Examining the Variables Influencing Collective Stability
5. Conclusions
Author Contributions
Funding
Data Availability Statement
Acknowledgments
Conflicts of Interest
References
- Wang, F. Variations in Soil Aggregate Distribution and Associated Organic Carbon and Nitrogen Fractions in Long-Term Continuous Vegetable Rotation Soil by Nitrogen Fertilization and Plastic Film Mulching. Sci. Total Environ. 2022, 835, 155420. [Google Scholar] [CrossRef] [PubMed]
- Dekemati, I.; Simon, B.; Vinogradov, S.; Birkás, M. The Effects of Various Tillage Treatments on Soil Physical Properties, Earthworm Abundance and Crop Yield in Hungary. Soil Tillage Res. 2019, 194, 104334. [Google Scholar] [CrossRef]
- Mustafa, A. Soil Aggregation and Soil Aggregate Stability Regulate Organic Carbon and Nitrogen Storage in a Red Soil of Southern China. J. Environ. Manag. 2020, 270, 110894. [Google Scholar] [CrossRef] [PubMed]
- Dheri, G.S.; Lal, R.; Moonilall, N.I. Soil Carbon Stocks and Water Stable Aggregates under Annual and Perennial Biofuel Crops in Central Ohio. Agric. Ecosyst. Environ. 2022, 324, 107715. [Google Scholar] [CrossRef]
- Gan, F.; Shi, H.; Gou, J.; Zhang, L.; Dai, Q.; Yan, Y. Responses of Soil Aggregate Stability and Soil Erosion Resistance to Different Bedrock Strata Dip and Land Use Types in the Karst Trough Valley of Southwest China. Int. Soil Water Conserv. Res. 2023, 12, 684–696. [Google Scholar] [CrossRef]
- Breg Valjavec, M.; Čarni, A.; Žlindra, D.; Zorn, M.; Marinšek, A. Soil Organic Carbon Stock Capacity in Karst Dolines under Different Land Uses. Catena 2022, 218, 106548. [Google Scholar] [CrossRef]
- Yuan, J.; Liang, Y.; Zhuo, M.; Sadiq, M.; Liu, L.; Wu, J.; Xu, G.; Liu, S.; Li, G.; Yan, L. Soil Nitrogen and Carbon Storages and Carbon Pool Management Index under Sustainable Conservation Tillage Strategy. Front. Ecol. Evol. 2023, 10, 1082624. [Google Scholar] [CrossRef]
- Zhang, Y.; Xu, X.; Li, Z.; Liu, M.; Xu, C.; Zhang, R.; Luo, W. Effects of Vegetation Restoration on Soil Quality in Degraded Karst Landscapes of Southwest China. Sci. Total Environ. 2019, 650, 2657–2665. [Google Scholar] [CrossRef]
- Deng, L.; Kim, D.-G.; Peng, C.; Shangguan, Z. Controls of Soil and Aggregate–Associated Organic Carbon Variations Following Restored forest on the Loess Plateau in China. Land Degrad. Dev. 2018, 29, 3974–3984. [Google Scholar] [CrossRef]
- Dou, Y.; Yang, Y.; An, S.; Zhu, Z. Effects of Different Vegetation Restoration Measures on Soil Aggregate Stability and Erodibility on the Loess Plateau, China. Catena 2020, 185, 104294. [Google Scholar] [CrossRef]
- Nouwakpo, S.K.; Weltz, M.A.; Green, C.H.M.; Arslan, A. Combining 3D Data and Traditional Soil Erosion Assessment Techniques to Study the Effect of a Vegetation Cover Gradient on Hillslope Runoff and Soil Erosion in a Semi-Arid Catchment. Catena 2018, 170, 129–140. [Google Scholar] [CrossRef]
- Yue, L.; Juying, J.; Bingzhe, T.; Binting, C.; Hang, L. Response of Runoff and Soil Erosion to Erosive Rainstorm Events and Vegetation Restoration on Abandoned Slope Farmland in the Loess Plateau Region, China. J. Hydrol. 2020, 584, 124694. [Google Scholar] [CrossRef]
- Zhao, B.; Zhang, L.; Xia, Z.; Xu, W.; Xia, L.; Liang, Y.; Xia, D. Effects of Rainfall Intensity and Vegetation Cover on Erosion Characteristics of a Soil Containing Rock Fragments Slope. Adv. Civ. Eng. 2019, 2019, 7043428. [Google Scholar] [CrossRef]
- Lu, Y.; Dai, Q.; Yi, X.; Li, H.; Peng, H.; Tan, J. Impacts of Abandoned Sloping Farmland on Soil Aggregates and Aggregate–Associated Organic Carbon in Karst Rocky Desertification Areas. Environ. Monit. Assess. 2023, 195, 1404. [Google Scholar] [CrossRef] [PubMed]
- Tang, F.K.; Cui, M.; Lu, Q.; Liu, Y.G.; Guo, H.Y.; Zhou, J.X. Effects of Vegetation Restoration on the Aggregate Stability and Distribution of Aggregate–Associated Organic Carbon in a Typical Karst Gorge Region. Solid Earth 2016, 7, 141–151. [Google Scholar] [CrossRef]
- Zhu, D.; Yang, Q.; Zhao, Y.; Cao, Z.; Han, Y.; Li, R.; Ni, J.; Wu, Z. Afforestation Influences Soil Aggregate Stability by Regulating Aggregate Transformation in Karst Rocky Desertification Areas. Forests 2023, 14, 1356. [Google Scholar] [CrossRef]
- Zhang, Z.; Huang, X.; Zhou, Y. Spatial Heterogeneity of Soil Organic Carbon in a Karst Region under Different Land Use Patterns. Ecosphere 2020, 11, e03077. [Google Scholar] [CrossRef]
- Hoffland, E.; Kuyper, T.W.; Comans, R.N.J.; Creamer, R.E. Eco-Functionality of Organic Matter in Soils. Plant Soil 2020, 455, 1–22. [Google Scholar] [CrossRef]
- Anderson, R.; Brye, K.R.; Wood, L.S. Soil Aggregate Stability as Affected by Landuse and Soil Properties in the Lower Mississippi River Valley. Soil Sci. Soc. Am. J. 2019, 83, 1512–1524. [Google Scholar] [CrossRef]
- Cao, S.; Zhou, Y.; Zhou, Y.; Zhou, X.; Zhou, W. Soil Organic Carbon and Soil Aggregate Stability Associated with Aggregate Fractions in a Chronosequence of Citrus Orchards Plantations. J. Environ. Manag. 2021, 293, 112847. [Google Scholar] [CrossRef]
- Liu, C.; Wu, Z.; He, C.; Huang, B.; Zhang, Y.; Li, P.; Huang, W. Effect of Land Use Conversion on the Soil Aggregate–Associated Microbial Necromass Carbon in Estuarine Wetland of the Pearl River in China. Catena 2024, 236, 107761. [Google Scholar] [CrossRef]
- Liu, S.; Wang, R.; Yang, Y.; Shi, W.; Jiang, K.; Jia, L.; Zhang, F.; Liu, X.; Ma, L.; Li, C.; et al. Changes in Soil Aggregate Stability and Aggregate–Associated Carbon under Different Slope Positions in a Karst Region of Southwest China. Sci. Total Environ. 2024, 928, 172534. [Google Scholar] [CrossRef]
- Schweizer, S.A. Soil Microaggregate Size Composition and Organic Matter Distribution as Affected by Clay Content. Geoderma 2019, 355, 113901. [Google Scholar] [CrossRef]
- Totsche, K.U.; Amelung, W.; Gerzabek, M.H.; Guggenberger, G.; Klumpp, E.; Knief, C.; Lehndorff, E.; Mikutta, R.; Peth, S.; Prechtel, A.; et al. Microaggregates in Soils. J. Plant Nutr. Soil Sci. 2018, 181, 104–136. [Google Scholar] [CrossRef]
- Deng, J.; Sun, P.; Zhao, F.; Han, X.; Yang, G.; Feng, Y.; Ren, G. Soil C, N, P and Its Stratification Ratio Affected by Artificial Vegetation in Subsoil, Loess Plateau China. PLoS ONE 2016, 11, e0151446. [Google Scholar] [CrossRef] [PubMed]
- Zhang, W.; Munkholm, L.J.; Liu, X.; An, T.; Xu, Y.; Ge, Z.; Xie, N.; Li, A.; Dong, Y.; Peng, C.; et al. Soil Aggregate Microstructure and Microbial Community Structure Mediate Soil Organic Carbon Accumulation: Evidence from One-Year Field Experiment. Geoderma 2023, 430, 116324. [Google Scholar] [CrossRef]
- Lützow, M. Stabilization of organic matter in temperate soils: Mechanisms and their relevance under different soil conditions—A review. Eur. J. Soil Sci. 2006, 57, 426–445. [Google Scholar] [CrossRef]
- Paye, W.S.; Thapa, V.R.; Ghimire, R. Limited Impacts of Occasional Tillage on Dry Aggregate Size Distribution and Soil Carbon and Nitrogen Fractions in Semi-Arid Drylands. Int. Soil Water Conserv. Res. 2024, 12, 96–106. [Google Scholar] [CrossRef]
- Okolo, C.C.; Gebresamuel, G.; Zenebe, A.; Haile, M.; Eze, P.N. Accumulation of Organic Carbon in Various Soil Aggregate Sizes under Different Land Use Systems in a Semi-Arid Environment. Agric. Ecosyst. Environ. 2020, 297, 106924. [Google Scholar] [CrossRef]
- Yang, Y.; Wei, H.; Lin, L.; Deng, Y.; Duan, X. Effect of Vegetation Restoration on Soil Humus and Aggregate Stability within the Karst Region of Southwest China. Forests 2024, 15, 292. [Google Scholar] [CrossRef]
- Bai, X.; Ran, C.; Chen, J.; Luo, G.; Chen, F.; Xiao, B.; Long, M.; Li, Z.; Zhang, X.; Shen, X.; et al. Methods, progress and prospect for diagnosis of karst ecosystem health in China—An overview. Chin. Sci. Bull. 2023, 68, 2550–2568. [Google Scholar] [CrossRef]
- Bi, M.; Zhang, S.; Xu, Q.; Hou, S.; Han, M.; Yu, X. Coupling and Synergistic Relationships between Soil Aggregate Stability and Nutrient Stoichiometric Characteristics under Different Microtopographies on Karst Rocky Desertification Slopes. Catena 2024, 243, 108142. [Google Scholar] [CrossRef]
- Lan, J. Changes of Soil Aggregate Stability and Erodibility After Cropland Conversion in Degraded Karst Region. J. Soil Sci. Plant Nutr. 2021, 21, 3333–3345. [Google Scholar] [CrossRef]
- D’Ettorre, U.S.; Liso, I.S.; Parise, M. Desertification in Karst Areas: A Review. Earth-Sci. Rev. 2024, 253, 104786. [Google Scholar] [CrossRef]
- Li, M.; Wang, K.; Ma, X.; Fan, M.; Song, Y. Effects of Land Use Change on Soil Aggregate Stability and Erodibility in the Karst Region of Southwest China. Agronomy 2024, 14, 1534. [Google Scholar] [CrossRef]
- Ma, L.; Si, H.; Li, M.; Li, C.; Zhu, D.; Mao, Z.; Yan, Y.; Jiang, K.; Yu, P. Influence of Land Use Types on Soil Properties and Soil Quality in Karst Regions of Southwest China. Agronomy 2024, 14, 882. [Google Scholar] [CrossRef]
- Xu, Q.; Hou, L.; Wang, L.; Li, Q.; Wang, K. Contribution of glomalin-related soil protein to soil carbon and nitrogen storage in sloping farmland under contour reverse-slop terrace measures. Acta Ecol. Sin. 2023, 44, 2919–2930. [Google Scholar] [CrossRef]
- Chen, X.; Song, Y.; Wang, Z. Effect of contour reverse-slope terrace measures on soil water storage in sloping farmland of red soil in Central Yunnan Province. Res. Soil Water Conserv. 2019, 26, 92–99. [Google Scholar]
- Zhang, K.; Shu, A.; Xu, X.; Yang, Q.; Yu, B. Soil erodibility and its estimation for agricultural soils in China. J. Arid Environ. 2008, 72, 1002–1011. [Google Scholar] [CrossRef]
- Xiao, Y.; Ma, Z.; Jiang, Y.; Deng, Y. A Study on Soil Aggregate Stability and Splash Erosion under Exogenous Electrolyte Conditions in the Karst Region of Southwest China. J. Hydrol. Reg. Stud. 2024, 53, 101817. [Google Scholar] [CrossRef]
- Liang, Z.; Chen, X.; Wang, C.; Zhang, Z. Response of Soil Moisture to Four Rainfall Regimes and Tillage Measures under Natural Rainfall in Red Soil Region, Southern China. Water 2024, 16, 1331. [Google Scholar] [CrossRef]
- Wang, S.; Wang, K.; Song, Y.; Chen, X.; Wang, Z. Effects of contour reverse-slope terrace on nitrogen and phosphorus loss in sloping farmland in the water resource of area of Songhua Dam in Kunming City. J. Soil Water Conserv. 2017, 31, 7. [Google Scholar] [CrossRef]
- Rillig, M.C. Soil Aggregates as Massively Concurrent Evolutionary Incubators. ISME J. 2017, 11, 1943–1948. [Google Scholar] [CrossRef] [PubMed]
- Feng, H.; Wang, S.; Gao, Z.; Pan, H.; Zhuge, Y.; Ren, X.; Hu, S.; Li, C. Aggregate Stability and Organic Carbon Stock under Different Land Uses Integrally Regulated by Binding Agents and Chemical Properties in Saline-sodic Soils. Land Degrad. Dev. 2021, 32, 4151–4161. [Google Scholar] [CrossRef]
- Liu, Y.; Wang, P.; Wang, J. Formation and Stability Mechanism of Soil Aggregates: Progress and Prospect. Acta Pedol. Sin. 2023, 60, 627–643. [Google Scholar] [CrossRef]
- Yuan, J. Long-Term Organic Fertilization Enhances Potassium Uptake and Yield of Sweet Potato by Expanding Soil Aggregates-Associated Potassium Stocks. Agric. Ecosyst. Environ. 2023, 358, 108701. [Google Scholar] [CrossRef]
- Zhang, Z. Effect of Long-Term Combined Application of Organic and Inorganic Fertilizers on Soil Nematode Communities within Aggregates. Sci. Rep. 2016, 6, 31118. [Google Scholar] [CrossRef]
- Shi, P. Soil Aggregate Stability and Size-Selective Sediment Transport with Surface Runoff as Affected by Organic Residue Amendment. Sci. Total Environ. 2017, 607, 95–102. [Google Scholar] [CrossRef]
- Tobiašová, E.; Lemanowicz, J.; Dębska, B.; Kunkelová, M.; Sakáč, J. The Effect of Reduced and Conventional Tillage Systems on Soil Aggregates and Organic Carbon Parameters of Different Soil Types. Agriculture 2023, 13, 818. [Google Scholar] [CrossRef]
- Arunrat, N.; Kongsurakan, P.; Solomon, L.W.; Sereenonchai, S. Fire Impacts on Soil Properties and Implications for Sustainability in Rotational Shifting Cultivation: A Review. Agriculture 2024, 14, 1660. [Google Scholar] [CrossRef]
- Hartmann, M.; Six, J. Soil Structure and Microbiome Functions in Agroecosystems. Nat. Rev. Earth Environ. 2022, 4, 4–18. [Google Scholar] [CrossRef]
- Lehmann, J.; Kleber, M. The Contentious Nature of Soil Organic Matter. Nature 2015, 528, 60–68. [Google Scholar] [CrossRef]
- Dong, L.; Li, J.; Zhang, Y.; Bing, M.; Liu, Y.; Wu, J.; Hai, X.; Li, A.; Wang, K.; Wu, P.; et al. Effects of Vegetation Restoration Types on Soil Nutrients and Soil Erodibility Regulated by Slope Positions on the Loess Plateau. J. Environ. Manag. 2022, 302, 113985. [Google Scholar] [CrossRef] [PubMed]
- Dijkstra, F.A.; Zhu, B.; Cheng, W. Root Effects on Soil Organic Carbon: A Double-edged Sword. New Phytol. 2020, 230, 60–65. [Google Scholar] [CrossRef] [PubMed]
- Hu, W.; Lu, Z.; Meng, F.; Li, X.; Cong, R.; Ren, T.; Sharkey, D.; Lu, J. The Reduction in Leaf Area Precedes That in Photosynthesis under Potassium Deficiency: The Importance of Leaf Anatomy. New Phytol. 2020, 227, 1749–1763. [Google Scholar] [CrossRef]
- Yu, P.; Liu, J.; Tang, H.; Ci, E.; Tang, X.; Liu, S.; Ding, Z.; Ma, M. The Increased Soil Aggregate Stability and Aggregate–Associated Carbon by Farmland Use Change in a Karst Region of Southwest China. Catena 2023, 231, 107284. [Google Scholar] [CrossRef]
- Guo, S.; Zhai, L.; Liu, J.; Liu, H.; Chen, A.; Wang, H.; Wu, S.; Lei, Q. Cross-Ridge Tillage Decreases Nitrogen and Phosphorus Losses from Sloping Farmlands in Southern Hilly Regions of China. Soil Tillage Res. 2019, 191, 48–56. [Google Scholar] [CrossRef]
- Xin, X.; Sun, Z.; Xiao, J.; Feng, L.; Yang, N.; Liu, Y. Ridge-furrow Rainfall Harvesting Planting and Its Effect on Soil Erosion and Soil Quality in Sloping Farmland. Agron. J. 2021, 113, 863–877. [Google Scholar] [CrossRef]
- Sun, M.; Xiao, D.; Zhang, W.; Wang, K. Impacts of Managed Vegetation Restoration on Arbuscular Mycorrhizal Fungi and Diazotrophs in Karst Ecosystems. J. Fungi 2024, 10, 280. [Google Scholar] [CrossRef]
- Xiao, Z. Nitrogen and Phosphorus Change the Early Restored forest in Degraded Phaeozems of Gullies. Sci. Total Environ. 2023, 888, 164107. [Google Scholar] [CrossRef]
- Zhao, G.; Cong, M.; Zhang, Z.; Zeng, F.; Dong, X.; Song, J. Microaggregates Regulate the Soil Organic Carbon Sequestration and Carbon Flow of Windproof Sand Fixation Forests in Desert Ecosystems. Catena 2024, 245, 108320. [Google Scholar] [CrossRef]
- Ferreira, C.D.R.; Silva Neto, E.C.D.; Pereira, M.G.; Guedes, J.D.N.; Rosset, J.S.; Anjos, L.H.C.D. Dynamics of Soil Aggregation and Organic Carbon Fractions over 23 Years of No-till Management. Soil Tillage Res. 2020, 198, 104533. [Google Scholar] [CrossRef]
- Yu, P.; Tang, X.; Liu, S.; Liu, W.; Zhang, A. Short Term Effects of Revegetation on Labile Carbon and Available Nutrients of Sodic Soils in Northeast China. Land 2020, 9, 10. [Google Scholar] [CrossRef]
- Londero, A.L. Impact of Broad-Based Terraces on Water and Sediment Losses in No-till (Paired Zero-Order) Catchments in Southern Brazil. J. Soils Sediments 2017, 18, 1159–1175. [Google Scholar] [CrossRef]
- Meng, X.; Zhu, Y.; Shi, R.; Yin, M.; Liu, D. Rainfall–Runoff Process and Sediment Yield in Response to Different Types of Terraces and Their Characteristics: A Case Study of Runoff Plots in Zhangjiachong Watershed, China. Land Degrad. Dev. 2023, 35, 1449–1465. [Google Scholar] [CrossRef]
- Bai, J.; Yang, S.; Zhang, Y.; Liu, X.; Guan, Y. Assessing the Impact of Terraces and Vegetation on Runoff and Sediment Routing Using the Time-Area Method in the Chinese Loess Plateau. Water 2019, 11, 803. [Google Scholar] [CrossRef]
- Hou, T. Tillage-Induced Surface Soil Roughness Controls the Chemistry and Physics of Eroded Particles at Early Erosion Stage. Soil Tillage Res. 2020, 207, 104807. [Google Scholar] [CrossRef]
- Liu, L.; Zhu, Q.; Wan, Y.; Yang, R.; Mou, J.; Li, Y.; Meng, L.; Zhu, T.; Elrys, A.S. Afforestation Improves Soil Organic Carbon and Total Nitrogen Stocks Mainly through Increasing > 2 Mm Aggregate Fractions and Stimulating Carbon and Nitrogen Transformations within Aggregates in Subtropical Karst Region. Catena 2024, 243, 108220. [Google Scholar] [CrossRef]
- Bhattacharyya, R. Soil Organic Carbon Is Significantly Associated with the Pore Geometry, Microbial Diversity and Enzyme Activity of the Macro-Aggregates under Different Land Uses. Sci. Total Environ. 2021, 778, 146286. [Google Scholar] [CrossRef]
- Stainsby, A.; May, W.E.; Lafond, G.P.; Entz, M.H. Soil Aggregate Stability Increased with a Self-Regenerating Legume Cover Crop in Low-Nitrogen, No-till Agroecosystems of Saskatchewan, Canada. Can. J. Soil. Sci. 2019, 100, 314–318. [Google Scholar] [CrossRef]
- Luo, T.; Xia, L.; Xia, D.; Liu, W.; Xu, Y.; He, Z.; Xu, W. Impact of Typical Land Use Type on the Stability and Content of Carbon and Nitrogen of Soil Aggregates in Western Hubei. Ecosphere 2023, 14, e4736. [Google Scholar] [CrossRef]
- Luo, L.; Meng, H.; Wu, R.; Gu, J.-D. Impact of Nitrogen Pollution/Deposition on Extracellular Enzyme Activity, Microbial Abundance and Carbon Storage in Coastal Mangrove Sediment. Chemosphere 2017, 177, 275–283. [Google Scholar] [CrossRef] [PubMed]
- Wang, Y.; Ran, L.; Fang, N.; Shi, Z. Aggregate Stability and Associated Organic Carbon and Nitrogen as Affected by Soil Erosion and Vegetation Rehabilitation on the Loess Plateau. Catena 2018, 167, 257–265. [Google Scholar] [CrossRef]
- Zhang, Y. Effects of Farmland Conversion on the Stoichiometry of Carbon, Nitrogen, and Phosphorus in Soil Aggregates on the Loess Plateau of China. Geoderma 2019, 351, 188–196. [Google Scholar] [CrossRef]











| Ecological Construction Measures (ECM) | Soil Depth (SD) | Aggregates (AG) | ECM × SD | ECM × AG | SD × AG | ECM × SD × AG | |
|---|---|---|---|---|---|---|---|
| df | 4 | 2 | 2 | 8 | 8 | 4 | 16 |
| F | 2149.042 | 297.609 | 75.838 | 12.53 | 6.59 | 13.441 | 5.299 |
| p | <0.001 | <0.001 | <0.001 | <0.001 | <0.001 | <0.001 | <0.001 |
| Ecological Construction Measures (ECM) | Soil Depth (SD) | Aggregates (AG) | ECM × SD | ECM × AG | SD × AG | ECM × SD × AG | |
|---|---|---|---|---|---|---|---|
| df | 4 | 2 | 2 | 8 | 8 | 4 | 16 |
| F | 375.023 | 135.046 | 5.794 | 10.001 | 2.908 | 0.326 | 0.686 |
| p | <0.001 | <0.001 | <0.05 | <0.001 | <0.05 | 0.86 | 0.801 |
Disclaimer/Publisher’s Note: The statements, opinions and data contained in all publications are solely those of the individual author(s) and contributor(s) and not of MDPI and/or the editor(s). MDPI and/or the editor(s) disclaim responsibility for any injury to people or property resulting from any ideas, methods, instructions or products referred to in the content. |
© 2025 by the authors. Licensee MDPI, Basel, Switzerland. This article is an open access article distributed under the terms and conditions of the Creative Commons Attribution (CC BY) license (https://creativecommons.org/licenses/by/4.0/).
Share and Cite
Li, M.; Wang, K.; Ma, X.; Fan, M.; Li, B.; Song, Y. Relationship Between Soil Aggregate Stability and Associated Carbon and Nitrogen Changes Under Different Ecological Construction Measures in the Karst Region of Southwest China. Agriculture 2025, 15, 207. https://doi.org/10.3390/agriculture15020207
Li M, Wang K, Ma X, Fan M, Li B, Song Y. Relationship Between Soil Aggregate Stability and Associated Carbon and Nitrogen Changes Under Different Ecological Construction Measures in the Karst Region of Southwest China. Agriculture. 2025; 15(2):207. https://doi.org/10.3390/agriculture15020207
Chicago/Turabian StyleLi, Meiting, Keqin Wang, Xiaoyi Ma, Mingsi Fan, Biyu Li, and Yali Song. 2025. "Relationship Between Soil Aggregate Stability and Associated Carbon and Nitrogen Changes Under Different Ecological Construction Measures in the Karst Region of Southwest China" Agriculture 15, no. 2: 207. https://doi.org/10.3390/agriculture15020207
APA StyleLi, M., Wang, K., Ma, X., Fan, M., Li, B., & Song, Y. (2025). Relationship Between Soil Aggregate Stability and Associated Carbon and Nitrogen Changes Under Different Ecological Construction Measures in the Karst Region of Southwest China. Agriculture, 15(2), 207. https://doi.org/10.3390/agriculture15020207

