The Effect of Plasma-Activated Water on Zea mays L. Landraces Under Abiotic Stress
Abstract
1. Introduction
2. Materials and Methods
2.1. Plant Material and Experimental Conditions
2.2. Generation of Plasma-Activated Water (PAW)
2.3. Measurement of Physical Parameters of Plasma-Activated Water
2.4. Germinated Seed Analysis
2.5. Morpho-Agronomic Parameters Analysis
2.6. Morphological Analysis
2.7. Physiological Parameters Analysis
2.8. RNA Isolation and Quantification
2.9. Relative Gene Expression Analysis
2.10. Statistical Data Analysis
3. Results
3.1. Germinated Seed Analysis of Maize Samples Exposed to Cold Stress and Watered with PAW
3.2. Morpho-Agronomic Parameter Analysis of Maize Samples Exposed to Untreated Water and Plasma-Activated Water and Grown in Field Conditions
3.3. Morphological Analysis of Maize Samples Exposed to Cold Stress and Watered with PAW
3.4. Physiological Parameter Analysis of Maize Samples Exposed to Cold Stress and Watered with Untreated Water and Plasma-Activated Water
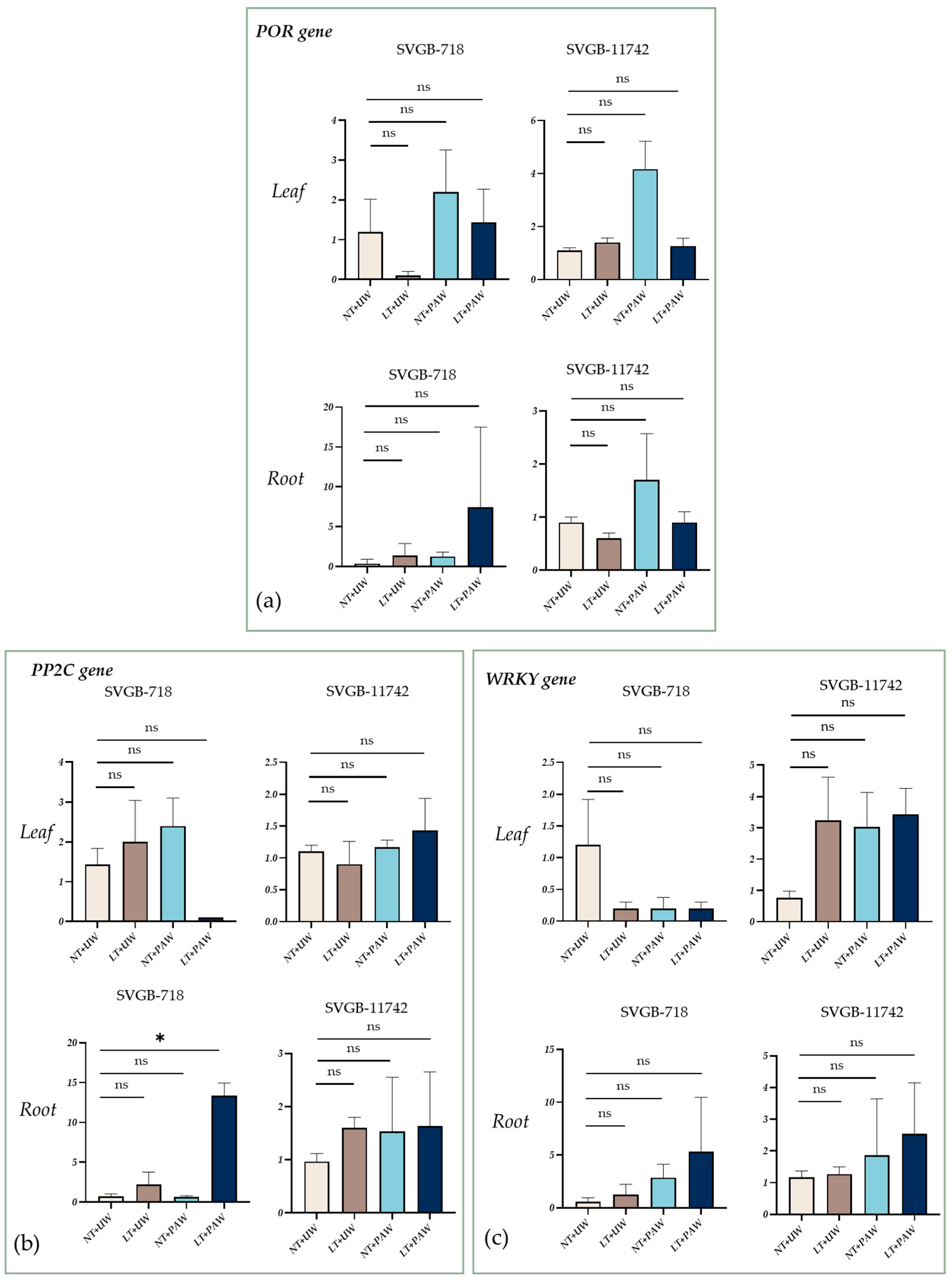
3.5. Gene Expression Analysis of Maize Samples Exposed to Cold Stress and Watered with PAW
4. Discussion
5. Conclusions
Supplementary Materials
Author Contributions
Funding
Data Availability Statement
Conflicts of Interest
References
- Zhou, X.; Muhammad, I.; Lan, H.; Xia, C. Recent Advances in the Analysis of Cold Tolerance in Maize. Front. Plant Sci. 2022, 13, 866034. [Google Scholar] [CrossRef] [PubMed]
- Fatima, A.; Mahmood, A.; Najeeb Alawadi, H.F.; Javaid, M.M.; Ahmad, H.B.; Al-Khayri, J.M.; Aldaej, M.I.; Al-Dossary, O.; Alsubaie, B.; Shehata, W.F. Chilling and Drought Stresses in Maize: Mitigation Strategies and Potential Management Opportunities. Not. Bot. Horti Agrobot. Cluj. Napoca 2024, 52, 13855. [Google Scholar] [CrossRef]
- Tanumihardjo, S.A.; McCulley, L.; Roh, R.; Lopez-Ridaura, S.; Palacios-Rojas, N.; Gunaratna, N.S. Maize Agro-Food Systems to Ensure Food and Nutrition Security in Reference to the Sustainable Development Goals. Glob. Food Sec. 2020, 25, 100327. [Google Scholar] [CrossRef]
- FAOStat. Food and Agriculture Organization of the United Nations. Statistical Databases. Available online: https://www.fao.org/faostat/en/#data/QCL (accessed on 12 March 2025).
- Nawaz, H.; Muzaffar, S.; Aslam, M.; Ahmad, S. Phytochemical Composition: Antioxidant Potential and Biological Activities of Corn. In Corn-Production and Human Health in Changing Climate; Amanullah, Fahad, S., Eds.; IntechOpen: Rijeka, Croatia, 2018; ISBN 978-1-78984-156-5. [Google Scholar] [CrossRef]
- Reema; Khanikar, R.R.; Bailung, H.; Sankaranarayanan, K. Review of the Cold Atmospheric Plasma Technology Application in Food, Disinfection, and Textiles: A Way Forward for Achieving Circular Economy. Front. Phys. 2022, 10, 942952. [Google Scholar] [CrossRef]
- Dave, H.; Ledwani, L.; Nema, S.K. Nonthermal Plasma: A Promising Green Technology to Improve Environmental Performance of Textile Industries; Elsevier Ltd.: Amsterdam, The Netherlands, 2018; ISBN 9780081024911. [Google Scholar] [CrossRef]
- Leti, L.-I.; Gerber, I.C.; Mihaila, I.; Galan, P.-M.; Strajeru, S.; Petrescu, D.-E.; Cimpeanu, M.-M.; Topala, I.; Gorgan, D.-L. The Modulatory Effects of Non-Thermal Plasma on Seed’s Morphology, Germination and Genetics—A Review. Plants 2022, 11, 2181. [Google Scholar] [CrossRef]
- Attri, P.; Ishikawa, K.; Okumura, T.; Koga, K.; Shiratani, M. Plasma Agriculture from Laboratory to Farm: A Review. Processes 2020, 8, 1002. [Google Scholar] [CrossRef]
- Guo, L.; Yan, M.; Gong, H.; Zou, Z.; Henningsen, A. Application of Non-Thermal Plasma in Medicine: A Bibliometric and Visualization Analysis. Front. Phys. 2023, 11, 1325851. [Google Scholar] [CrossRef]
- Moszczyńska, J.; Roszek, K.; Wiśniewski, M. Non-Thermal Plasma Application in Medicine—Focus on Reactive Species Involvement. Int. J. Mol. Sci. 2023, 24, 12667. [Google Scholar] [CrossRef]
- Vaka, U.; Ramkumar, M.C. Application of Non-Thermal Plasma Technology for Enhancing Food Processing and Storage: A Review. Food Chem. Adv. 2024, 5, 100788. [Google Scholar] [CrossRef]
- López, M.; Calvo, T.; Prieto, M.; Múgica-Vidal, R.; Muro-Fraguas, I.; Alba-Elías, F.; Alvarez-Ordóñez, A. A Review on Non-Thermal Atmospheric Plasma for Food Preservation: Mode of Action, Determinants of Effectiveness, and Applications. Front. Microbiol. 2019, 10, 622. [Google Scholar] [CrossRef]
- Than, H.A.Q.; Pham, T.H.; Nguyen, D.K.V.; Pham, T.H.; Khacef, A. Non-Thermal Plasma Activated Water for Increasing Germination and Plant Growth of Lactuca sativa L. Plasma Chem. Plasma Process. 2022, 42, 73–89. [Google Scholar] [CrossRef]
- Veerana, M.; Mumtaz, S.; Rana, J.N.; Javed, R.; Panngom, K.; Ahmed, B.; Akter, K.; Choi, E.H. Recent Advances in Non-Thermal Plasma for Seed Germination, Plant Growth, and Secondary Metabolite Synthesis: A Promising Frontier for Sustainable Agriculture. Plasma Chem. Plasma Process. 2024, 44, 2263–2302. [Google Scholar] [CrossRef]
- Šerá, B.; Scholtz, V.; Jirešová, J.; Khun, J.; Julák, J.; Šerý, M. Effects of Non-Thermal Plasma Treatment on Seed Germination and Early Growth of Leguminous Plants—A Review. Plants 2021, 10, 1616. [Google Scholar] [CrossRef]
- Kumar, S.P.; Chintagunta, A.D.; Lichtfouse, E.; Naik, B.; Kumari, K.; Kumar, S. Non-Thermal Plasmas for Disease Control and Abiotic Stress Management in Plants. Environ. Chem. Lett. 2022, 20, 2135–2164. [Google Scholar] [CrossRef]
- Zambon, Y.; Contaldo, N.; Laurita, R.; Várallyay, E.; Canel, A.; Gherardi, M.; Colombo, V.; Bertaccini, A. Plasma Activated Water Triggers Plant Defence Responses. Sci. Rep. 2020, 10, 19211. [Google Scholar] [CrossRef] [PubMed]
- Shainsky, N.; Dobrynin, D.; Ercan, U.; Joshi, S.; Fridman, G.; Friedman, G.; Fridman, A. Effect of Liquid Modified by Non-Equilibrum Armospheric Pressure Plasmas on Bacteria Inactivation Rates. In Abstracts IEEE International Conference on Plasma Science; IEEE: New York, NY, USA, 2010. [Google Scholar] [CrossRef]
- Shen, J.; Tian, Y.; Li, Y.; Ma, R.; Zhang, Q.; Zhang, J.; Fang, J. Bactericidal Effects against S. Aureus and Physicochemical Properties of Plasma Activated Water Stored at Different Temperatures. Sci. Rep. 2016, 6, 28505. [Google Scholar] [CrossRef] [PubMed]
- Lee, Y.K.; Lim, J.; Hong, E.J.; Kim, S.B. Plasma-Activated Water Regulates Root Hairs and Cotyledon Size Dependent on Cell Elongation in Nicotiana tabacum L. Plant Biotechnol. Rep. 2020, 14, 663–672. [Google Scholar] [CrossRef]
- Sarinont, T.; Katayama, R.; Wada, Y.; Koga, K.; Shiratani, M. Plant Growth Enhancement of Seeds Immersed in Plasma Activated Water. MRS Adv. 2017, 2, 995–1000. [Google Scholar] [CrossRef]
- Abdelfattah, A.; Tack, A.J.M.; Lobato, C.; Wassermann, B.; Berg, G. From Seed to Seed: The Role of Microbial Inheritance in the Assembly of the Plant Microbiome. Trends Microbiol. 2023, 31, 346–355. [Google Scholar] [CrossRef]
- Romão, I.R.; do Carmo Gomes, J.; Silva, D.; Vilchez, J.I. The Seed Microbiota from an Application Perspective: An Underexplored Frontier in Plant–Microbe Interactions. Crop Health 2025, 3, 12. [Google Scholar] [CrossRef]
- Yang, P.; Lu, L.; Condrich, A.; Muni, G.A.; Scranton, S.; Xu, S.; Xia, Y.; Huang, S. Innovative Approaches for Engineering the Seed Microbiome to Enhance Crop Performance. Seeds 2025, 4, 24. [Google Scholar] [CrossRef]
- Rashmi, J.; Manonmani, V.; Sundaralingam, K.; Vanitha, S.; Gnanachitra, M.; Kalaiselvi, T.; Ali, S.A. The Seed Microbiome: Microbial Hashes for Plant Wellbeing. Open J. Environ. Biol. 2025, 10, 007–022. [Google Scholar] [CrossRef]
- Mravlje, J.; Regvar, M.; Starič, P.; Mozetič, M.; Vogel-Mikuš, K. Cold Plasma Affects Germination and Fungal Community Structure of Buckwheat Seeds. Plants 2021, 10, 851. [Google Scholar] [CrossRef]
- Nations, U. Department of Economic and Social Affairs. Available online: https://www.un.org/en/desa/world-population-projected-reach-98-billion-2050-and-112-billion-2100 (accessed on 26 March 2025).
- Waqas, M.A.; Wang, X.; Zafar, S.A.; Noor, M.A.; Hussain, H.A.; Azher Nawaz, M.; Farooq, M. Thermal Stresses in Maize: Effects and Management Strategies. Plants 2021, 10, 293. [Google Scholar] [CrossRef]
- Hu, G.; Li, Z.; Lu, Y.; Li, C.; Gong, S.; Yan, S.; Li, G.; Wang, M.; Ren, H.; Guan, H.; et al. Genome-Wide Association Study Identified Multiple Genetic Loci on Chilling Resistance during Germination in Maize. Sci. Rep. 2017, 7, 10840. [Google Scholar] [CrossRef] [PubMed]
- Burnett, A.C.; Kromdijk, J. Can We Improve the Chilling Tolerance of Maize Photosynthesis through Breeding? J. Exp. Bot. 2022, 73, 3138–3156. [Google Scholar] [CrossRef] [PubMed]
- Murariu, D.; Haș, V.; Plăcintă, D.-D.; Simioniuc, D.-P. Characterization of Maize Landraces in Romania; Ed. PIM: Iași, Romania, 2024; ISBN 978-606-13-8358-0. [Google Scholar]
- Li, M.; Sui, N.; Lin, L.; Yang, Z.; Zhang, Y. Transcriptomic Profiling Revealed Genes Involved in Response to Cold Stress in Maize. Funct. Plant Biol. 2019, 46, 830–844. [Google Scholar] [CrossRef] [PubMed]
- Lu, Y.; Li, Y.; Peng, Q.; Sun, X.; Yang, Q.; Song, Z.; Tian, F.; Yan, Y.; Liu, M. Enhancing Maize Seed Resistance to Chilling Stress through Seed Germination and Surface Morphological Changes Using High Voltage Electrostatic Field. Sci. Rep. 2025, 15, 3972. [Google Scholar] [CrossRef]
- Meng, A.; Wen, D.; Zhang, C. Dynamic Changes in Seed Germination under Low-Temperature Stress in Maize. Int. J. Mol. Sci. 2022, 23, 5495. [Google Scholar] [CrossRef]
- Wu, J.; Nadeem, M.; Galagedara, L.; Thomas, R.; Cheema, M. Effects of Chilling Stress on Morphological, Physiological, and Biochemical Attributes of Silage Corn Genotypes During Seedling Establishment. Plants 2022, 11, 1217. [Google Scholar] [CrossRef]
- Ma, Y.; Tan, R.; Zhao, J. Chilling Tolerance in Maize: Insights into Advances—Toward Physio-Biochemical Responses’ and QTL/Genes’ Identification. Plants 2022, 11, 2082. [Google Scholar] [CrossRef]
- Bano, S.; Aslam, M.; Saleem, M.; Basra, S.M.A.; Aziz, K. Evaluation of Maize Accessions under Low Temperature Stress at Early Growth Stages. J. Anim. Plant Sci. 2015, 25, 392–400. [Google Scholar]
- Mazur, M.; Matoša Kočar, M.; Jambrović, A.; Sudarić, A.; Volenik, M.; Duvnjak, T.; Zdunić, Z. Crop-Specific Responses to Cold Stress and Priming: Insights from Chlorophyll Fluorescence and Spectral Reflectance Analysis in Maize and Soybean. Plants 2024, 13, 1204. [Google Scholar] [CrossRef] [PubMed]
- Ratajczak, K.; Sulewska, H.; Panasiewicz, K.; Faligowska, A.; Szymańska, G. Phytostimulator Application after Cold Stress for Better Maize (Zea mays L.) Plant Recovery. Agriculture 2023, 13, 569. [Google Scholar] [CrossRef]
- Burhan, Z. A Review on Abiotic Stress Resistance in Maize: Effect, Resistance Mechanism and Management. Cornous Biol. 2024, 2, 36–44. [Google Scholar] [CrossRef]
- Gao, S.; Ming, B.; Li, L.L.; Wang, Y.Z.; Xue, J.; Hou, P.; Wang, K.R.; Zhou, S.L.; Li, S.K.; Xie, R.Z. Temporal and Spatial Dynamics of Organ Water Content in Maize with Different Senescence Types. Plants 2023, 12, 3269. [Google Scholar] [CrossRef]
- Reis, V.U.V.; Penido, A.C.; Carvalho, E.R.; Rocha, D.K.; Reis, L.V.; Semolini, P.H.Z. Vigor of Maize Seeds and Its Effects on Plant Stand Establishment, Crop Development and Grain Yield. J. Seed Sci. 2022, 44, e202244020. [Google Scholar] [CrossRef]
- Noli, E.; Beltrami, E.; Casarini, E.; Urso, G.; Conti, S. Reliability of Early and Final Counts in Cold and Cool Germination Tests for Predicting Maize Seed Vigour. Ital. J. Agron. 2010, 5, 383–391. [Google Scholar] [CrossRef]
- Muhammad Aslam, M.; Waseem, M.; Jakada, B.H.; Okal, E.J.; Lei, Z.; Saqib, H.S.A.; Yuan, W.; Xu, W.; Zhang, Q. Mechanisms of Abscisic Acid-Mediated Drought Stress Responses in Plants. Int. J. Mol. Sci. 2022, 23, 1084. [Google Scholar] [CrossRef]
- Ali, F.; Qanmber, G.; Li, F.; Wang, Z. Updated Role of ABA in Seed Maturation, Dormancy, and Germination. J. Adv. Res. 2022, 35, 199–214. [Google Scholar] [CrossRef]
- Rodriguez, P.L. Abscisic Acid Catabolism Generates Phaseic Acid, a Molecule Able to Activate a Subset of ABA Receptors. Mol. Plant 2016, 9, 1448–1450. [Google Scholar] [CrossRef]
- Jung, C.; Nguyen, N.H.; Cheong, J.-J. Transcriptional Regulation of Protein Phosphatase 2C Genes to Modulate Abscisic Acid Signaling. Int. J. Mol. Sci. 2020, 21, 9517. [Google Scholar] [CrossRef]
- Liu, L.; Hu, X.; Song, J.; Zong, X.; Li, D.; Li, D. Over-Expression of a Zea mays L. Protein Phosphatase 2C Gene (ZmPP2C) in Arabidopsis Thaliana Decreases Tolerance to Salt and Drought. J. Plant Physiol. 2009, 166, 531–542. [Google Scholar] [CrossRef]
- Filyushin, M.A.; Kochieva, E.Z.; Shchennikova, A.V. ZmDREB2.9 Gene in Maize (Zea mays L.): Genome-Wide Identification, Characterization, Expression, and Stress Response. Plants 2022, 11, 3060. [Google Scholar] [CrossRef] [PubMed]
- Yang, Z.; Cao, Y.; Shi, Y.; Qin, F.; Jiang, C.; Yang, S. Genetic and Molecular Exploration of Maize Environmental Stress Resilience: Toward Sustainable Agriculture. Mol. Plant 2023, 16, 1496–1517. [Google Scholar] [CrossRef]
- Han, Q.; Qi, J.; Hao, G.; Zhang, C.; Wang, C.; Dirk, L.M.A.; Downie, A.B.; Zhao, T. ZmDREB1A Regulates RAFFINOSE SYNTHASE Controlling Raffinose Accumulation and Plant Chilling Stress Tolerance in Maize. Plant Cell Physiol. 2019, 61, 331–341. [Google Scholar] [CrossRef]
- Hu, W.; Ren, Q.; Chen, Y.; Xu, G.; Qian, Y. Genome-Wide Identification and Analysis of WRKY Gene Family in Maize Provide Insights into Regulatory Network in Response to Abiotic Stresses. BMC Plant Biol. 2021, 21, 427. [Google Scholar] [CrossRef]
- Kwon, C.-T.; Kim, S.-H.; Song, G.; Kim, D.; Paek, N.-C. Two NADPH: Protochlorophyllide Oxidoreductase (POR) Isoforms Play Distinct Roles in Environmental Adaptation in Rice. Rice 2017, 10, 1. [Google Scholar] [CrossRef]
- Zhang, J.; Sui, C.; Liu, H.; Chen, J.; Han, Z.; Yan, Q.; Liu, S.; Liu, H. Effect of Chlorophyll Biosynthesis-Related Genes on the Leaf Color in Hosta (Hosta plantaginea Aschers) and Tobacco (Nicotiana tabacum L.). BMC Plant Biol. 2021, 21, 45. [Google Scholar] [CrossRef] [PubMed]
- Kimotho, R.N.; Baillo, E.H.; Zhang, Z. Transcription Factors Involved in Abiotic Stress Responses in Maize (Zea mays L.) and Their Roles in Enhanced Productivity in the Post Genomics Era. PeerJ 2019, 2019, e7211. [Google Scholar] [CrossRef] [PubMed]
- Tan, B.C.; Guan, J.C.; Ding, S.; Wu, S.; Saunders, J.W.; Koch, K.E.; McCarty, D.R. Structure and Origin of the White Cap Locus and Its Role in Evolution of Grain Color in Maize. Genetics 2017, 206, 135–150. [Google Scholar] [CrossRef] [PubMed]
- Ratnakar Vallabhaneni, L.M.T.; Bradbury, E.T.W. The Carotenoid Dioxygenase Gene Family in Maize, Sorghum, and Rice. Arch. Biochem. Biophys. 2013, 23, 104–111. [Google Scholar] [CrossRef]
- Weatherley, P.E. Studies In The Water Relations Of The Cotton Plant. New Phytol. 1950, 49, 81–97. [Google Scholar] [CrossRef]
- Nayek, S.; Choudhury, I.; Haque; Nishika, J.; Roy, S. Spectrophotometric Analysis of Chlorophylls and Carotenoids from Commonly Grown Fern Species by Using Various Extracting Solvents. Res. J. Chem. Sci. 2014, 4, 2231–2606. [Google Scholar] [CrossRef]
- Livak, K.J.; Schmittgen, T.D. Analysis of Relative Gene Expression Data Using Real-Time Quantitative PCR and the 2−ΔΔCT Method. Methods 2001, 25, 402–408. [Google Scholar] [CrossRef] [PubMed]
- Gyamerah, S.A.; Asare, C.; Mintah, D.; Appiah, B.; Kayode, F.A. Exploring the Optimal Climate Conditions for a Maximum Maize Production in Ghana: Implications for Food Security. Smart Agric. Technol. 2023, 6, 100370. [Google Scholar] [CrossRef]
- Du, Y.; Zhang, H.; Jia, K.-P.; Chu, Z.; Xu, S.; Tran, L.-S.; Guo, J.; Li, W.; Li, K. Role of Abscisic Acid-mediated Stomatal Closure in Responses to Pathogens in Plants. Physiol. Plant 2024, 176, e14135. [Google Scholar] [CrossRef]
- Yu, M.; Luobu, Z.; Zhuoga, D.; Wei, X.; Tang, Y. Advances in Plant Response to Low-Temperature Stress. Plant Growth Regul. 2025, 105, 167–185. [Google Scholar] [CrossRef]
- Xie, S.; Liu, M. Survival Mechanisms to Selective Pressures and Implications. Open Life Sci. 2018, 13, 340–347. [Google Scholar] [CrossRef]
- Pańka, D.; Jeske, M.; Łukanowski, A.; Baturo-Cieśniewska, A.; Prus, P.; Maitah, M.; Maitah, K.; Malec, K.; Rymarz, D.; Muhire, J.D.D.; et al. Can Cold Plasma Be Used for Boosting Plant Growth and Plant Protection in Sustainable Plant Production? Agronomy 2022, 12, 841. [Google Scholar] [CrossRef]
- Huang, J.; Zhang, J.; Li, W.; Hu, W.; Duan, L.; Feng, Y.; Qiu, F.; Yue, B. Genome-Wide Association Analysis of Ten Chilling Tolerance Indices at the Germination and Seedling Stages in Maize. J. Integr. Plant Biol. 2013, 55, 735–744. [Google Scholar] [CrossRef]
- Sánchez, B.; Rasmussen, A.; Porter, J.R. Temperatures and the Growth and Development of Maize and Rice: A Review. Glob. Chang. Biol. 2014, 20, 408–417. [Google Scholar] [CrossRef]
- Sun, Y.; He, Y.; Irfan, A.R.; Liu, X.; Yu, Q.; Zhang, Q.; Yang, D. Exogenous Brassinolide Enhances the Growth and Cold Resistance of Maize (Zea mays L.) Seedlings under Chilling Stress. Agronomy 2020, 10, 488. [Google Scholar] [CrossRef]
- Henselová, M.; Slováková, Ľ.; Martinka, M.; Zahoranová, A. Growth, Anatomy and Enzyme Activity Changes in Maize Roots Induced by Treatment of Seeds with Low-Temperature Plasma. Biologia 2012, 67, 490–497. [Google Scholar] [CrossRef]
- Saeidnejad, A.H.; Pouramir, F.; Naghizadeh, M. Improving Chilling Tolerance of Maize Seedlings under Cold Conditions by Spermine Application. Not. Sci. Biol. 2012, 4, 110–117. [Google Scholar] [CrossRef][Green Version]
- Sharma, A.; Kumar, V.; Shahzad, B.; Ramakrishnan, M.; Singh Sidhu, G.P.; Bali, A.S.; Handa, N.; Kapoor, D.; Yadav, P.; Khanna, K. Photosynthetic Response of Plants Under Different Abiotic Stresses: A Review. J. Plant Growth Regul. 2020, 39, 509–531. [Google Scholar] [CrossRef]
- Kang, J.; Peng, Y.; Xu, W. Crop Root Responses to Drought Stress: Molecular Mechanisms, Nutrient Regulations, and Interactions with Microorganisms in the Rhizosphere. Int. J. Mol. Sci. 2022, 23, 9310. [Google Scholar] [CrossRef] [PubMed]
- Ercoli, L.; Mariotti, M.; Masoni, A.; Arduini, I. Growth Responses of Sorghum Plants to Chilling Temperature and Duration of Exposure. Eur. J. Agron. 2004, 21, 93–103. [Google Scholar] [CrossRef]
- Chalise, R.; Tamang, A.; Kattel, A.; Sharma, S.; Basnet, S.; Khanal, R. Impact of Plasma-Activated Water on Germination, Growth, and Production of Green Leafy Vegetables. AIP Adv. 2024, 14, 65318. [Google Scholar] [CrossRef]
- Dahal, R.; Dhakal, O.B.; Acharya, T.R.; Lamichhane, P.; Gautam, S.; Chalise, R.; Kaushik, N.; Choi, E.H.; Kaushik, N.K. Investigating Plasma Activated Water as a Sustainable Treatment for Improving Growth and Nutrient Uptake in Maize and Pea Plant. Plant Physiol. Biochem. 2024, 216, 109203. [Google Scholar] [CrossRef] [PubMed]
- Škarpa, P.; Klofáč, D.; Krčma, F.; Šimečková, J.; Kozáková, Z. Effect of Plasma Activated Water Foliar Application on Selected Growth Parameters of Maize (Zea mays L.). Water 2020, 12, 3545. [Google Scholar] [CrossRef]
- Asghari, A.; Sabbaghtazeh, E.; Milani, N.R.; Kouhi, M.; Maralani, A.A.; Gharbani, P.; Khiaban, A.S. Effects of Plasma-Activated Water on Germination and Initial Seedling Growth of Wheat. PLoS ONE 2025, 20, e0312008. [Google Scholar] [CrossRef] [PubMed]
- Chauhan, J.; Prathibha, M.D.; Singh, P.; Choyal, P.; Mishra, U.N.; Saha, D.; Kumar, R.; Anuragi, H.; Pandey, S.; Bose, B.; et al. Plant Photosynthesis under Abiotic Stresses: Damages, Adaptive, and Signaling Mechanisms. Plant Stress. 2023, 10, 100296. [Google Scholar] [CrossRef]
- Chalise, R.; Dahal, A.; Basnet, S.; Sharma, S.; Pant, D.R.; Khanal, R. Effect of Plasma-Activated Water on Chlorophyll Retention in Detached Tejpat (Cinnamomum tamala) Leaves. Heliyon 2024, 10, e24480. [Google Scholar] [CrossRef] [PubMed]
- Xu, Q.Q.; Sami, A.; Zhang, H.; Jin, X.Z.; Zheng, W.Y.; Zhu, Z.Y.; Wu, L.L.; Lei, Y.H.; Chen, Z.P.; Li, Y.; et al. Combined Influence of Low Temperature and Drought on Different Varieties of Rapeseed (Brassica napus L.). S. Afr. J. Bot. 2022, 147, 400–414. [Google Scholar] [CrossRef]
- Farooqi, M.Q.U.; Lee, J.K. Cold Stress Evaluation among Maize (Zea mays L.) Inbred Lines in Different Temperature Conditions. Plant Breed. Biotechnol. 2016, 4, 352–361. [Google Scholar] [CrossRef]
- Mahmood, T.; Khalid, S.; Abdullah, M.; Ahmed, Z.; Shah, M.K.N.; Ghafoor, A.; Du, X. Insights into Drought Stress Signaling in Plants and the Molecular Genetic Basis of Cotton Drought Tolerance. Cells 2020, 9, 105. [Google Scholar] [CrossRef]
- Brookbank, B.P.; Patel, J.; Gazzarrini, S.; Nambara, E. Role of Basal Aba in Plant Growth and Development. Genes 2021, 12, 1936. [Google Scholar] [CrossRef] [PubMed]
- Mega, R.; Meguro-Maoka, A.; Endo, A.; Shimosaka, E.; Murayama, S.; Nambara, E.; Seo, M.; Kanno, Y.; Abrams, S.R.; Sato, Y. Sustained Low Abscisic Acid Levels Increase Seedling Vigor under Cold Stress in Rice (Oryza sativa L.). Sci. Rep. 2015, 5, 13819. [Google Scholar] [CrossRef]
- Agarwal, P.K.; Gupta, K.; Lopato, S.; Agarwal, P. Dehydration Responsive Element Binding Transcription Factors and Their Applications for the Engineering of Stress Tolerance. J. Exp. Bot. 2017, 68, 2135–2148. [Google Scholar] [CrossRef]
- Paddock, T.; Lima, D.; Mason, M.E.; Apel, K.; Armstrong, G.A. Arabidopsis Light-Dependent Protochlorophyllide Oxidoreductase A (PORA) Is Essential for Normal Plant Growth and Development. Plant Mol. Biol. 2012, 78, 447–460. [Google Scholar] [CrossRef] [PubMed]
- Feng, Y.; Zeng, S.; Yan, J.; Li, K.; Xu, H. Genome-Wide Analysis and Expression of MYC Family Genes in Tomato and the Functional Identification of Slmyc1 in Response to Salt and Drought Stress. Agronomy 2023, 13, 757. [Google Scholar] [CrossRef]
- Song, C.; Cao, Y.; Dai, J.; Li, G.; Manzoor, M.A.; Chen, C.; Deng, H. The Multifaceted Roles of MYC2 in Plants: Toward Transcriptional Reprogramming and Stress Tolerance by Jasmonate Signaling. Front. Plant Sci. 2022, 13, 868874. [Google Scholar] [CrossRef] [PubMed]
- Swain, S.; Singh, N.; Nandi, A.K. Identification of Plant Defence Regulators through Transcriptional Profiling of Arabidopsis Thaliana Cdd1 Mutant. J. Biosci. 2015, 40, 137–146. [Google Scholar] [CrossRef] [PubMed]
- Rushton, D.L.; Tripathi, P.; Rabara, R.C.; Lin, J.; Ringler, P.; Boken, A.K.; Langum, T.J.; Smidt, L.; Boomsma, D.D.; Emme, N.J.; et al. WRKY Transcription Factors: Key Components in Abscisic Acid Signalling. Plant Biotechnol. J. 2012, 10, 2–11. [Google Scholar] [CrossRef]
- Lee, Y.; Lee, Y.Y.; Kim, Y.S.; Balaraju, K.; Mok, Y.S.; Yoo, S.J.; Jeon, Y. Enhancement of Seed Germination and Microbial Disinfection on Ginseng by Cold Plasma Treatment. J. Ginseng Res. 2021, 45, 519–526. [Google Scholar] [CrossRef]
- Tamošiūnė, I.; Gelvonauskienė, D.; Haimi, P.; Mildažienė, V.; Koga, K.; Shiratani, M.; Baniulis, D. Cold Plasma Treatment of Sunflower Seeds Modulates Plant-Associated Microbiome and Stimulates Root and Lateral Organ Growth. Front. Plant Sci. 2020, 11, 568924. [Google Scholar] [CrossRef]
- Lin, Y.; Zhang, C.; Lan, H.; Gao, S.; Liu, H.; Liu, J.; Cao, M.; Pan, G.; Rong, T.; Zhang, S. Validation of Potential Reference Genes for QPCR in Maize across Abiotic Stresses, Hormone Treatments, and Tissue Types. PLoS ONE 2014, 9, e95445. [Google Scholar] [CrossRef]






| July | Temperature (°C) | Rainfall, Total (mm/m2) | Wind Speed (m/s) | |||
|---|---|---|---|---|---|---|
| Mean | High | Low | Average | Maximum | ||
| 1 | 26.5 | 34.1 | 18.8 | 0.0 | 1.6 | 8.5 |
| 2 | 21 | 28.8 | 15.2 | 8.0 | 1.0 | 17.0 |
| 3 | 13.9 | 15.3 | 12.3 | 3.6 | 1.8 | 8.5 |
| 30 | 20.2 | 25.1 | 16.2 | 0.0 | 1.9 | 10.7 |
| 31 | 21.7 | 28.7 | 13.8 | 0.0 | 0.8 | 7.2 |
| Measurement Day | SVGB-718 | SVGB-11742 | ||
|---|---|---|---|---|
| UW | PAW | UW | PAW | |
| Avg ± SD | Avg ± SD | Avg ± SD | Avg ± SD | |
| Day 7 | 55.29 ± 23.74 | 37.92 ± 17.41 | 32.83 ± 15.05 | 49.79 ± 29.89 |
| Day 14 | 85.99 ± 42.34 | 62.55 ± 25.78 | 74.74 ± 25.33 | 78.23 ± 35.79 |
| Day 21 | 100.39 ± 42.92 | 80.44 ± 26.44 | 84.31 ± 28.20 | 93.16 ± 36.7 |
| Morpho-Agronomic Parameters | SVGB-718 (SUW) | SVGB-718 (SPAW) | SVGB-11742 (SUW) | SVGB-11742 (SPAW) |
|---|---|---|---|---|
| Growth vigor (3/5/7) | 5 | 5 | 7 | 7 |
| Cold resistance (3/5/7/9) | 5 | 5 | 7 | 7 |
| Silking time (days after sowing) | 59 | 57 | 64 | 64 |
| Flowering time (days after sowing) | 58 | 56 | 63 | 64 |
| Breaking plants (%) | 31 | 0 | 18 | 24 |
| Plant fall (%) | 38 | 85 | 9 | 11 |
| Number of sterile plants | 6 | 7 | 11 | 14 |
| Fusarium resistance (FAO indicators) | 5 | 4 | 3 | 4 |
| Weight of 100 seeds (g) | 180 | 220 | 300 | 300 |
| SVGB-718 | ||||
| NT + UW | NT + PAW | LT + UW | LT + PAW | |
| Avg ± SD | Avg ± SD | Avg ± SD | Avg ± SD | |
| Root length | 24.79 ± 5.42 | 23.88 ± 6.24 | 17.38 ± 6.12 | 14.5 ± 7.71 |
| Shoot length | 40.24 ± 5.64 | 37.45 ± 10.29 | 27.38 ± 7.55 | 23.43 ± 4.48 |
| Plant total length | 65.03 ± 7.47 | 61.33 ± 13.56 | 44.77 ± 11.23 | 37.93 ± 8.87 |
| SVGB-11742 | ||||
| NT + UW | NT + PAW | LT + UW | LT + PAW | |
| Avg ± SD | Avg ± SD | Avg ± SD | Avg ± SD | |
| Root length | 26.67 ± 9.09 | 27.85 ± 8.41 | 23.48 ± 6.86 | 26.2 ± 8.94 |
| Shoot length | 44 ± 6.82 | 49.9 ± 8.34 | 38.86 ± 6.81 | 32.65 ± 7.3 |
| Plant total length | 70.67 ± 12.7 | 77.75 ± 11.72 | 62.33 ± 11.52 | 58.85 ± 14.21 |
| Cold-Test Index | ||
|---|---|---|
| SVGB-718 | UW | 56% |
| PAW | 36% | |
| SVGB-11742 | UW | 77% |
| PAW | 56% | |
Disclaimer/Publisher’s Note: The statements, opinions and data contained in all publications are solely those of the individual author(s) and contributor(s) and not of MDPI and/or the editor(s). MDPI and/or the editor(s) disclaim responsibility for any injury to people or property resulting from any ideas, methods, instructions or products referred to in the content. |
© 2025 by the authors. Licensee MDPI, Basel, Switzerland. This article is an open access article distributed under the terms and conditions of the Creative Commons Attribution (CC BY) license (https://creativecommons.org/licenses/by/4.0/).
Share and Cite
Galan, P.-M.; Strajeru, S.; Murariu, D.; Enea, C.-I.; Petrescu, D.-E.; Tanasa, A.-C.; Blaga, D.-D.; Leti, L.-I. The Effect of Plasma-Activated Water on Zea mays L. Landraces Under Abiotic Stress. Agriculture 2025, 15, 2037. https://doi.org/10.3390/agriculture15192037
Galan P-M, Strajeru S, Murariu D, Enea C-I, Petrescu D-E, Tanasa A-C, Blaga D-D, Leti L-I. The Effect of Plasma-Activated Water on Zea mays L. Landraces Under Abiotic Stress. Agriculture. 2025; 15(19):2037. https://doi.org/10.3390/agriculture15192037
Chicago/Turabian StyleGalan, Paula-Maria, Silvia Strajeru, Danela Murariu, Catalin-Ioan Enea, Denisa-Elena Petrescu, Alina-Carmen Tanasa, Dumitru-Dorel Blaga, and Livia-Ioana Leti. 2025. "The Effect of Plasma-Activated Water on Zea mays L. Landraces Under Abiotic Stress" Agriculture 15, no. 19: 2037. https://doi.org/10.3390/agriculture15192037
APA StyleGalan, P.-M., Strajeru, S., Murariu, D., Enea, C.-I., Petrescu, D.-E., Tanasa, A.-C., Blaga, D.-D., & Leti, L.-I. (2025). The Effect of Plasma-Activated Water on Zea mays L. Landraces Under Abiotic Stress. Agriculture, 15(19), 2037. https://doi.org/10.3390/agriculture15192037

