Diurnal Behaviour, Health and Hygiene of Dairy Cows in Compost Barn Systems Under Different Climates in Argentina: A Bayesian Approach
Abstract
1. Introduction
2. Materials and Methods
2.1. Experimental Site
2.2. Structure and Management
2.3. Animal Management
2.4. Environmental Assessments
- : dry-bulb temperature (°C)
- : relative humidity (%).
2.5. Bedding Temperature
2.6. Animal Behaviour
2.7. Respiratory Rate
2.8. Hygiene and Locomotion
2.9. Milk Production
2.10. Statistical Analysis
2.10.1. Descriptive Analysis
2.10.2. Modelling Animal Behaviour
- represents the Poisson-distributed outcome for observation within the combination of levels of four factors , and ;
- represents the Poisson rate parameter for observation within the combination of levels of three factors;
- The log of the Poisson rate parameter () is modelled as the sum of the random intercept () and the fixed effects , as well as the three-way interaction term ;
- represents a random effect for log counts within the individual , which is nested within the category , which is further nested within locality ;
- represents the mean of the random effects for the intercepts;
- represents the variance of the random effects for the intercepts;
- are fixed effects for factors , , and , where is the social category (primiparous and multiparous), is the day of the essay, and is the location (Salta and Rafaela);
- represents a three-way interaction term.
2.10.3. Modelling Respiratory/Heat Rate
2.10.4. Modelling Hygiene and Lameness Score
- represents the ordinal-distributed outcome for observation within the combination of levels of four factors , and ;
- represents the cumulative log-odds of the ordinal response categories for observation within the combination of categories, localities, and days;
- The logit link function is modelled as the sum of the random intercept and the coefficients for the main effects ( and the triple interaction between the three factors;
- represent a random effect for the cumulative log-odds within the individual , which is nested within the category , which is further nested within locality ;
- represents the mean of the random effects for the cumulative log-odds;
- represents the variance of the random effects for the cumulative log-odds;
- are fixed effects for factors , , and , where is the social category (primiparous and multiparous), is the day of the essay, and is the location (Salta and Rafaela);
- represents a three-way interaction term.
2.10.5. Modelling the Temperature of the Bed
- represents the Gaussian-distributed outcome for observation within the combination of levels of three factors , and ;
- represents the parameter mean of Gaussian distributions and is modelled as the sum of the intercept ( and the predictors (), as well as the three-way interaction term ();
- are the effects for factors , , and , where is parts of the day (Morning and afternoon), is the day of the essay and is the location (Salta and Rafaela);
- represents a three-way interaction term;
- represents the variance of the outcome variable.
2.10.6. Modelling Milk Production
- represents the gaussian-distributed outcome for observation within the combination of levels of three factors , and ;
- represents the parameter mean of Gaussian distributions and is modelled as the sum of the random intercept () and the fixed effects (), as well as the three-way interaction term ();
- represents a random effect for the intercept within the individual , which is nested within the category , which is further nested within locality ;
- represents the mean of the random effects for the intercepts;
- represents the variance of the random effects for the intercepts;
- are fixed effects for factors , , and , where is the social category (primiparous and multiparous), is the day of the essay and is the location (Salta and Rafaela);
- represents a three-way interaction term;
- represents the variance of the outcome variable.
3. Results
3.1. Environmental Description
3.2. Bedding Temperature Results
3.3. Behaviour and Respiratory Rate Results
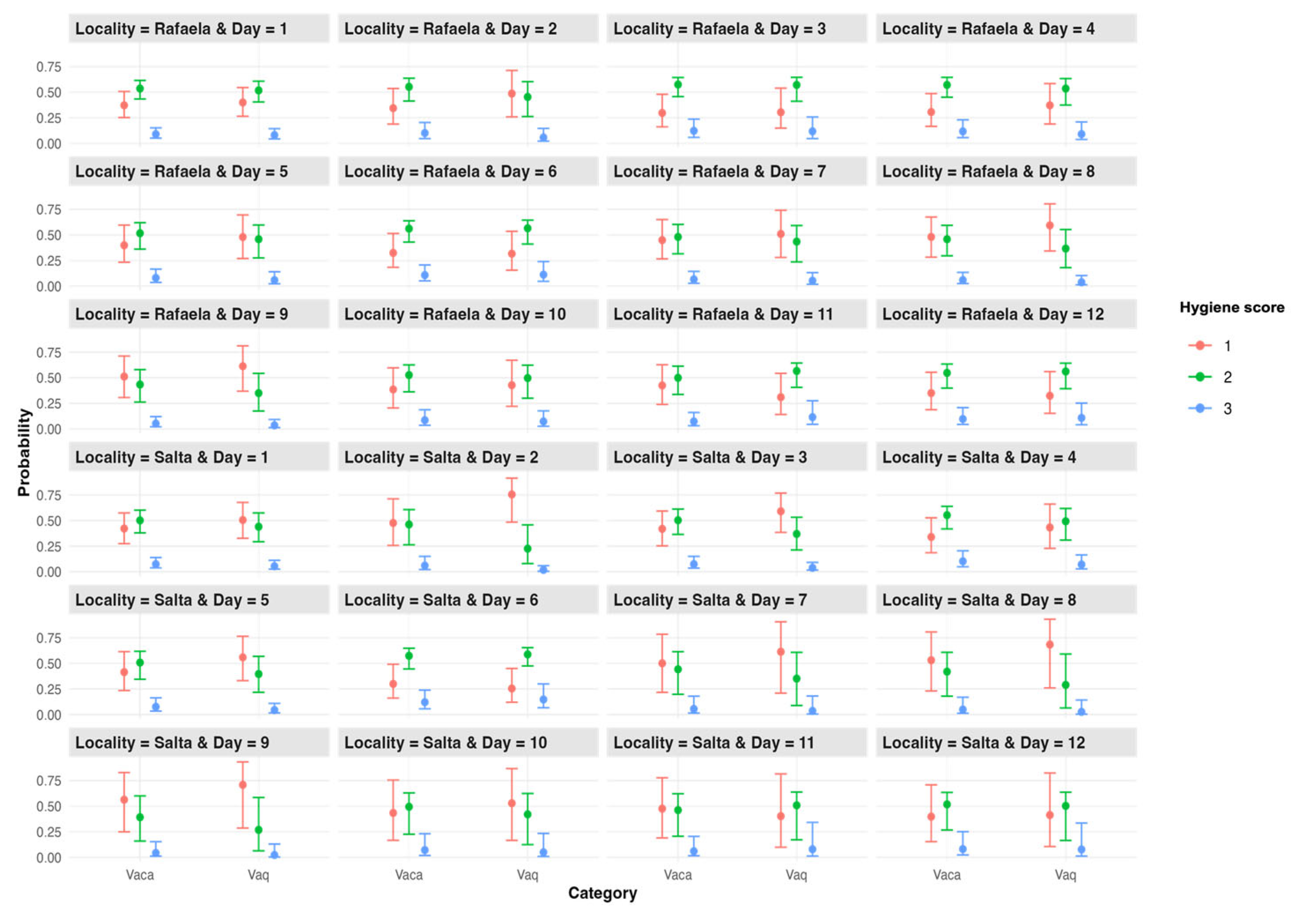
3.4. Hygiene and Locomotion Results
3.5. Milk Production Results
4. Discussion
4.1. Animal Behaviour and Respiratory Rate Discussion
4.2. Hygiene and Locomotion Discussion
4.3. Milk Production Discussion
4.4. Limitations of the Study and Next Steps Forward
5. Conclusions
Author Contributions
Funding
Institutional Review Board Statement
Informed Consent Statement
Data Availability Statement
Acknowledgments
Conflicts of Interest
References
- Biasato, I.; D’Angelo, A.; Bertone, I.; Odore, R.; Bellino, C. Compost Bedded-Pack Barn as an Alternative Housing System for Dairy Cattle in Italy: Effects on Animal Health and Welfare and Milk and Milk Product Quality. Ital. J. Anim. Sci. 2019, 18, 1142–1153. [Google Scholar] [CrossRef]
- Bewley, J.M.; Robertson, L.M.; Eckelkamp, E.A. A 100-Year Review: Lactating Dairy Cattle Housing Management. J. Dairy Sci. 2017, 100, 10418–10431. [Google Scholar] [CrossRef]
- Janni, K.A.; Endres, M.I.; Reneau, J.K.; Schoper, W.W. Compost Dairy Barn Layout and Management Recommendations. Appl. Eng. Agric. 2007, 23, 97–102. [Google Scholar] [CrossRef]
- Black, R.A.; Taraba, J.L.; Day, G.B.; Damasceno, F.A.; Bewley, J.M. Compost Bedded Pack Dairy Barn Management, Performance, and Producer Satisfaction. J. Dairy Sci. 2013, 96, 8060–8074. [Google Scholar] [CrossRef] [PubMed]
- Barberg, A.E.; Endres, M.I.; Salfer, J.A.; Reneau, J.K. Performance and Welfare of Dairy Cows in an Alternative Housing System in Minnesota. J. Dairy Sci. 2007, 90, 1575–1583. [Google Scholar] [CrossRef] [PubMed]
- Vieira, F.M.C.; Soares, A.A.; Herbut, P.; de Souza Vismara, E.; Godyń, D.; dos Santos, A.C.Z.; da Silva Lambertes, T.; Caetano, W.F. Spatio-Thermal Variability and Behaviour as Bio-Thermal Indicators of Heat Stress in Dairy Cows in a Compost Barn: A Case Study. Animals 2021, 11, 1197. [Google Scholar] [CrossRef]
- Polsky, L.; von Keyserlingk, M.A.G. Invited Review: Effects of Heat Stress on Dairy Cattle Welfare. J. Dairy Sci. 2017, 100, 8645–8657. [Google Scholar] [CrossRef]
- Guesine, G.D.; Silveira, R.M.F.; da Silva, I.J.O. Thermoregulatory, Behavioral, and Productive Responses and Physical Integrity of Primiparous and Multiparous Cows on Compost Barn in Brazilian Tropical Conditions. Int. J. Biometeorol. 2023, 67, 1003–1015. [Google Scholar] [CrossRef]
- Suarez, V.H.; Martínez, G.M. Bienestar de Las Vacas Lecheras En Los Sistemas de Compost Barn. Cienc. Vet. 2022, 24, 131–150. [Google Scholar] [CrossRef]
- Lobeck, K.M.; Endres, M.I.; Shane, E.M.; Godden, S.M.; Fetrow, J. Animal Welfare in Cross-Ventilated, Compost-Bedded Pack, and Naturally Ventilated Dairy Barns in the Upper Midwest. J. Dairy. Sci. 2011, 94, 5469–5479. [Google Scholar] [CrossRef]
- Thom, E.C. The Discomfort Index. Weatherwise 1959, 12, 57–61. [Google Scholar] [CrossRef]
- Gastaldi, L.B.; Gattinoni, N.N.; De Ruyver, R.; Toffoli, G. Índice de Temperatura y Humedad En Localidades Argentinas. FAVE Sección Cienc. Agrar. 2022, 21, 12324. [Google Scholar] [CrossRef]
- Berbigier, P. Bioclimatologie des Ruminants Domestiques en Zone Tropicale; Institut National de la Recherche Agronomique: Paris, France, 1988; ISBN 2738000681. [Google Scholar]
- Broom, D.M.; Fraser, A.F. Domestic Animal Behaviour and Welfare, 4th ed.; CABI Publishing: Wallingford, UK, 2007; ISBN 978-1-84593-287-9. [Google Scholar]
- Pilatti, J.A.; Vieira, F.M.C.; Rankrape, F.; Vismara, E.S. Diurnal Behaviors and Herd Characteristics of Dairy Cows Housed in a Compost-Bedded Pack Barn System under Hot and Humid Conditions. Animal 2019, 13, 399–406. [Google Scholar] [CrossRef] [PubMed]
- Spain, J.N.; Spiers, D.E. Effects of Supplemental Shade on Thermoregulatory Response of Calves to Heat Challenge in a Hutch Environment. J. Dairy Sci. 1996, 79, 639–646. [Google Scholar] [CrossRef]
- Cook, N.; Reinemann, D. A Tool Box for Assessing Cow, Udder and Teat Hygiene. In Proceedings of the National Mastitis Council Annual Meeting Papers, San Antonio, TX, USA, 21–24 January 2007. [Google Scholar]
- McElreath, R. Statistical Rethinking; Chapman and Hall/CRC: Boca Raton, FL, USA, 2020; ISBN 9780429029608. [Google Scholar]
- Kay, M. Tidybayes: Tidy Data and “Geoms” for Bayesian Models; Version 3.0.7; CRAN: Contributed Packages; The Comprehensive R Archive Network: Vienna, Austria, 2018. [Google Scholar]
- Bürkner, P.C. Brms: An R Package for Bayesian Multilevel Models Using Stan. J. Stat. Softw. 2017, 80, 1–28. [Google Scholar] [CrossRef]
- R Development Core Team R: A Language and Environment for Statistical Computing. Available online: www.R-project.org (accessed on 10 October 2024).
- Guo, J.; Gabry, J.; Goodrich, B.; Johnson, A.; Weber, S.; Badr, H.S. Rstan: R Interface to Stan; Version 2.32.7; CRAN: Contributed Packages; The Comprehensive R Archive Network: Vienna, Austria, 2015. [Google Scholar]
- Bürkner, P.-C. Brms: Bayesian Regression Models Using “Stan.”; Version 2.16.1; CRAN: Contributed Packages; The Comprehensive R Archive Network: Vienna, Austria, 2015. [Google Scholar]
- Lenth, R.V. Emmeans: Estimated Marginal Means, Aka Least-Squares Means; Version 1.11.2.8; CRAN: Contributed Packages; The Comprehensive R Archive Network: Vienna, Austria, 2017. [Google Scholar]
- Gelman, A.; Jakulin, A.; Pittau, M.G.; Su, Y.-S. A Weakly Informative Default Prior Distribution for Logistic and Other Regression Models. Ann. Appl. Stat. 2008, 2, 1360–1383. [Google Scholar] [CrossRef]
- Endres, M.I.; Barberg, A.E. Behavior of Dairy Cows in an Alternative Bedded-Pack Housing System. J. Dairy Sci. 2007, 90, 4192–4200. [Google Scholar] [CrossRef]
- Eckelkamp, E.A.; Gravatte, C.N.; Coombs, C.O.; Bewley, J.M. CASE STUDY: Characterization of Lying Behavior in Dairy Cows Transitioning from a Freestall Barn with Pasture Access to a Compost Bedded Pack Barn without Pasture Access. Prof. Anim. Sci. 2014, 30, 109–113. [Google Scholar] [CrossRef]
- Pons, M.V.; Adrien, M.L.; Mattiauda, D.A.; Méndez, M.N.; Meikle, A.; Chilibroste, P.; Damián, J.P. The Type of Confinement (Outdoor Soil-Bedded vs. Compost Barn) Affects the Welfare of Autumn-Calving Dairy Cows Kept in Mixed-Feeding Systems. Vet. Med. Int. 2025, 2025, 3527752. [Google Scholar] [CrossRef]
- Peixoto, M.S.M.; Barbosa Filho, J.A.D.; Farias Machado, N.A.; Viana, V.D.S.S.; Costa, J.F.M. Thermoregulatory Behavior of Dairy Cows Submitted to Bedding Temperature Variations in Compost Barn Systems. Biol. Rhythm. Res. 2021, 52, 1120–1129. [Google Scholar] [CrossRef]
- Frigeri, K.D.M.; Kachinski, K.D.; Ghisi, N.d.C.; Deniz, M.; Damasceno, F.A.; Barbari, M.; Herbut, P.; Vieira, F.M.C. Effects of Heat Stress in Dairy Cows Raised in the Confined System: A Scientometric Review. Animals 2023, 13, 350. [Google Scholar] [CrossRef]
- Nepomuceno, G.L.; Cecchin, D.; Damasceno, F.A.; Amaral, P.I.S.; Caproni, V.R.; Rossi, G.; Bambi, G.; Ferraz, P.F.P. Compost Barn System and Its Influence on the Environment, Comfort and Welfare of Dairy Cattle. Agron. Res. 2023, 21, 1233–1245. [Google Scholar] [CrossRef]
- da Silva, M.V.; Pandorfi, H.; de Almeida, G.L.P.; da Rosa Ferraz Jardim, A.M.; Batista, P.H.D.; da Silva, R.A.B.; Lopes, I.; de Oliveira, M.E.G.; da Silva, J.L.B.; Moraes, A.S. Spatial Variability and Exploratory Inference of Abiotic Factors in Barn Compost Confinement for Cattle in the Semiarid. J. Therm. Biol. 2020, 94, 102782. [Google Scholar] [CrossRef] [PubMed]
- Pilatti, J.A.; Vieira, F.M.C.; dos Santos, L.F.; Vismara, E.S.; Herbut, P. Behaviour, Hygiene, and Lameness of Dairy Cows in a Compost Barn During Cold Seasons in a Subtropical Climate. Ann. Anim. Sci. 2021, 21, 1555–1569. [Google Scholar] [CrossRef]
- Andrade, R.R.; Tinôco, I.d.F.F.; Damasceno, F.A.; Oliveira, C.E.A.; Concha, M.S.; Zacaroni, O.d.F.; Bambi, G.; Barbari, M. Understanding Compost-Bedded Pack Barn Systems in Regions with a Tropical Climate: A Review of the Current State of the Art. Animals 2024, 14, 1755. [Google Scholar] [CrossRef]
- Danieli, B.; de Vitt, M.G.; Schogor, A.L.B.; Zotti, M.L.A.N.; Ferraz, P.F.P.; Zampar, A. Effect of Grazing on the Welfare of Dairy Cows Raised Under Different Housing Conditions in Compost Barns. Animals 2024, 14, 3350. [Google Scholar] [CrossRef]
- Shane, E.M.; Endres, M.I.; Janni, K.A. Alternative Bedding Materials for Compost Bedded Pack Barns in Minnesota: A Descriptive Study. Appl. Eng. Agric. 2010, 26, 465–473. [Google Scholar] [CrossRef]
- Ammer, S.; Lambertz, C.; von Soosten, D.; Zimmer, K.; Meyer, U.; Dänicke, S.; Gauly, M. Impact of Diet Composition and Temperature–Humidity Index on Water and Dry Matter Intake of High-Yielding Dairy Cows. J. Anim. Physiol. Anim. Nutr. 2018, 102, 103–113. [Google Scholar] [CrossRef]
- Marcondes, M.I.; Mariano, W.H.; De Vries, A. Production, Economic Viability and Risks Associated with Switching Dairy Cows from Drylots to Compost Bedded Pack Systems. Animal 2020, 14, 399–408. [Google Scholar] [CrossRef]
- McNeish, D. On Using Bayesian Methods to Address Small Sample Problems. Struct. Equ. Model. 2016, 23, 750–773. [Google Scholar] [CrossRef]









| Rafaela | Salta | |||
|---|---|---|---|---|
| Ingredients (kg Dry Matter/Cow/Day) | February | March | February | March |
| Pelleted concentrate feed (*) | 6.10 | 6.30 | 5.35 | 4.70 |
| Corn silage | 5.80 | 4.80 | 5.00 | 7.30 |
| Alfalfa pasture (mechanical harvest) | 4.50 | 4.00 | 0.00 | 0.00 |
| Alfalfa hay | 3.40 | 3.90 | 3.50 | 3.10 |
| High-protein soybean meal | 2.40 | 2.50 | 3.20 | 2.90 |
| Corn grain | 2.10 | 3.00 | 5.00 | 4.40 |
| Cotton seed | 1.90 | 1.90 | 2.50 | 2.30 |
| Soybean hull | 0.00 | 0.43 | 0.00 | 0.00 |
| Wheat bran | 0.00 | 0.00 | 2.30 | 2.10 |
| Total | 26.20 | 26.83 | 26.85 | 26.80 |
| Rafaela | Salta | |||
|---|---|---|---|---|
| Items | Primiparous Cows | Multiparous Cows | Primiparous Cows | Multiparous Cows |
| Milk production (L/cow/day) | 32.0 ± 8.4 | 39.3 ± 7.9 | 31.1 ± 0.6 | 35.1 ± 0.6 |
| Age (months) | 23.3 ± 1.5 | 57.4 ± 1.6 | 23.8 ± 1.4 | 46.8 ± 1.9 |
| Body weight (kg) | 530 ± 45 | 675 ± 59 | 505 ± 52 | 623 ± 75 |
| Number of lactations | 1.0 | 2.8 ± 0.6 | 1.0 | 2.9 ± 0.7 |
| Behaviour | Definition |
|---|---|
| Standing rest | Standing, not engaging in any activity. |
| Lying rest | Lying down, not engaging in any activity. |
| Standing rumination | Standing, regurgitating or chewing, including ruminal movement. |
| Lying rumination | Lying down, regurgitating or chewing food. |
| Eating | Animals at the feeder, with their heads inside the feeding alley, visibly ingesting food or interacting with food or peers in the feeder area. |
| Drinking | Animals at the water trough, with their heads inclined towards the supplied water, visibly ingesting water or interacting with the water slide or peers in the drinking area. |
| Walking | Moving within the compost barn area, moving within the social space. |
| Rafaela | Salta | |||||||
|---|---|---|---|---|---|---|---|---|
| Day | ST * | T20 | IT | THI | ST | T20 | IT | THI |
| 1 | 26.7 ± 2.3 | 29.7 ± 2.4 | 24.2 ± 6.2 | 78 ± 2.1 | 20.8 ± 2.1 | 46.2 ± 7.8 | 23.7 ± 2.8 | 74 ± 5.5 |
| 2 | 26.4 ± 3.3 | 28.6 ± 2.3 | 28.1 ± 4.5 | 77 ± 4.0 | 23.5 ± 3.7 | 51.8 ± 6.2 | 25.1 ± 1.0 | 75 ± 3.2 |
| 3 | 23.2 ± 2.3 | 27.3 ± 2.4 | 21.3 ± 2.0 | 69 ± 3.0 | 19.3 ± 2.5 | 50.0 ± 4.4 | 13.0 ± 1.5 | 56 ± 1.7 |
| 4 | 20.8 ± 0.9 | 22.7 ± 2.3 | 19.8 ± 0.4 | 67 ± 0.5 | 20.8 ± 1.6 | 39.4 ± 5.5 | 21.3 ± 1.9 | 68 ± 4.7 |
| 5 | 24.8 ± 3.4 | 25.1 ± 3.3 | 22.5 ± 1.1 | 71 ± 1.5 | 20.1 ± 1.7 | 38.9 ± 4.9 | 24.0 ± 1.9 | 73 ± 3.8 |
| 6 | 24.6 ± 2.3 | 25.4 ± 2.4 | 27.6 ± 2.5 | 75 ± 3.2 | 22.0 ± 2.2 | 41.0 ± 5.2 | 21.2 ± 1.9 | 70 ± 3.2 |
| 7 | 28.3 ± 3.4 | 28.7 ± 2.8 | 32.3 ± 2.7 | 80 ± 3.8 | 20.7 ± 1.5 | 38.7 ± 3.9 | 22.4 ± 1.6 | 72 ± 4.2 |
| 8 | 27.8 ± 4.3 | 27.7 ± 3.7 | 30.1 ± 2.6 | 78 ± 2.8 | 23.2 ± 1.5 | 38.1 ± 6.3 | 23.9 ± 2.0 | 75 ± 4.2 |
| 9 | 26.3 ± 3.6 | 27.6 ± 2.6 | 29.1 ± 2.0 | 77 ± 2.6 | 23.5 ± 1.4 | 40.4 ± 6.4 | 23.9 ± 1.9 | 74 ± 3.9 |
| 10 | 28.7 ± 4.2 | 31.3 ± 4.7 | 32.7 ± 3.1 | 78 ± 3.2 | 20.5 ± 0.9 | 41.7 ± 5.6 | 23.3 ± 1.6 | 74 ± 3.0 |
| 11 | 30.4 ± 4.8 | 32.3 ± 4.8 | 33.6 ± 3.4 | 80 ± 3.6 | 22.9 ± 1.6 | 44.4 ± 4.5 | 22.4 ± 2.0 | 73 ± 4.4 |
| 12 | 33.1 ± 5.4 | 36.2 ± 5.6 | 34.4 ± 2.6 | 82 ± 3.0 | 22.4 ± 1.0 | 40.2 ± 4.4 | 23.1 ± 1.8 | 75 ± 3.5 |
Disclaimer/Publisher’s Note: The statements, opinions and data contained in all publications are solely those of the individual author(s) and contributor(s) and not of MDPI and/or the editor(s). MDPI and/or the editor(s) disclaim responsibility for any injury to people or property resulting from any ideas, methods, instructions or products referred to in the content. |
© 2025 by the authors. Licensee MDPI, Basel, Switzerland. This article is an open access article distributed under the terms and conditions of the Creative Commons Attribution (CC BY) license (https://creativecommons.org/licenses/by/4.0/).
Share and Cite
Martinez, G.M.; Viretto, P.; Frossasco, G.; Suarez, V.H.; Jongbo, A.O.; de Souza Vismara, E.; Vieira, F.M.C. Diurnal Behaviour, Health and Hygiene of Dairy Cows in Compost Barn Systems Under Different Climates in Argentina: A Bayesian Approach. Agriculture 2025, 15, 1998. https://doi.org/10.3390/agriculture15191998
Martinez GM, Viretto P, Frossasco G, Suarez VH, Jongbo AO, de Souza Vismara E, Vieira FMC. Diurnal Behaviour, Health and Hygiene of Dairy Cows in Compost Barn Systems Under Different Climates in Argentina: A Bayesian Approach. Agriculture. 2025; 15(19):1998. https://doi.org/10.3390/agriculture15191998
Chicago/Turabian StyleMartinez, Gabriela Marcela, Pablo Viretto, Georgina Frossasco, Víctor Humberto Suarez, Ayoola Olawole Jongbo, Edgar de Souza Vismara, and Frederico Márcio Corrêa Vieira. 2025. "Diurnal Behaviour, Health and Hygiene of Dairy Cows in Compost Barn Systems Under Different Climates in Argentina: A Bayesian Approach" Agriculture 15, no. 19: 1998. https://doi.org/10.3390/agriculture15191998
APA StyleMartinez, G. M., Viretto, P., Frossasco, G., Suarez, V. H., Jongbo, A. O., de Souza Vismara, E., & Vieira, F. M. C. (2025). Diurnal Behaviour, Health and Hygiene of Dairy Cows in Compost Barn Systems Under Different Climates in Argentina: A Bayesian Approach. Agriculture, 15(19), 1998. https://doi.org/10.3390/agriculture15191998

