Digestate-Derived Compost Modulates the Retention/Release Process of Organic Xenobiotics in Amended Soil
Abstract
1. Introduction
2. Materials and Methods
2.1. Chemicals, Compost and Soil
2.2. Soil Characterization
2.3. Adsorption and Desorption Experiments
2.4. Analytical Protocol
2.5. Theoretical Models
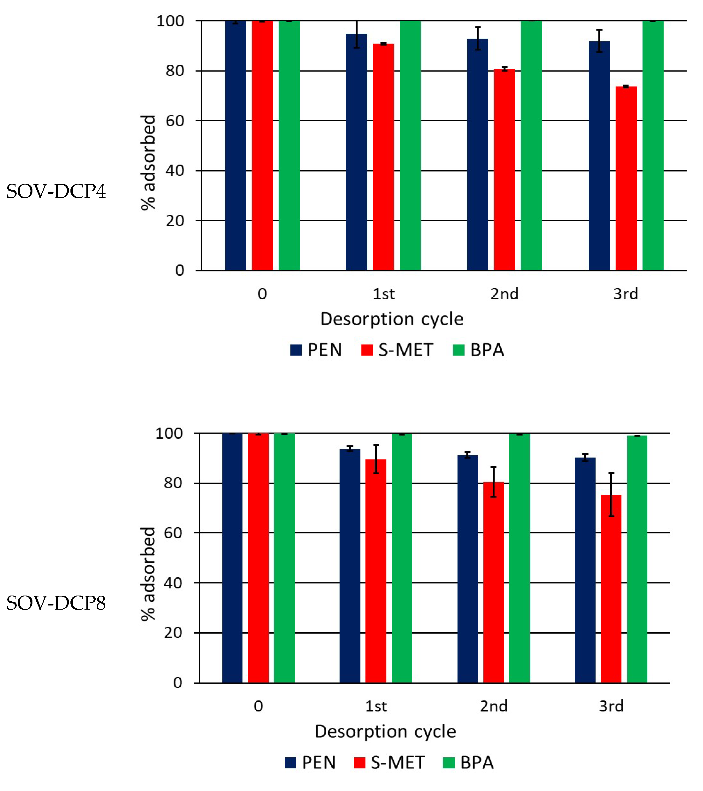
3. Results and Discussion
3.1. DCP Sample
3.2. Soil
4. Conclusions
Author Contributions
Funding
Data Availability Statement
Acknowledgments
Conflicts of Interest
References
- Global Bioenergy Statistics (GBS). 2024. Available online: https://www.worldbioenergy.org/uploads/241023%20GBS%20Report%20Short%20Version.pdf (accessed on 15 April 2025).
- Singh, L.; Kalia, V.C. Waste Biomass Management—A Holistic Approach; Springer: Cham, Switzerland, 2017; 392p. [Google Scholar] [CrossRef]
- Adnane, I.; Taoumi, H.; Lahrech, K.; Fertahi, S.; Ghodbane, M. From waste to resource: Biogas and digestate valorization strategies for sustainable energy and agriculture. Biomass Bioenergy 2025, 200, 108006. [Google Scholar] [CrossRef]
- Diacono, M.; Montemurro, F. Long-term effects of organic amendments on soil fertility. A review. Agron. Sustain. Dev. 2010, 30, 401–422. [Google Scholar] [CrossRef]
- Senesi, N.; Loffredo, E. The chemistry of soil organic matter. In Soil Physical Chemistry, 2nd ed.; Sparks, D.L., Ed.; CRC Press: Boca Raton, FL, USA, 2018; pp. 239–370. [Google Scholar] [CrossRef]
- Cesaro, A. The valorization of the anaerobic digestate from the organic fractions of municipal solid waste: Challenges and perspectives. J. Environ. Manag. 2021, 280, 111742. [Google Scholar] [CrossRef]
- Wang, W.; Lee, D.-J. Valorization of anaerobic digestion digestate: A prospect review. Bioresour. Technol. 2021, 323, 124626. [Google Scholar] [CrossRef]
- Traversa, A.; Loffredo, E.; Gattullo, C.E.; Palazzo, A.; Bashore, T.L.; Senesi, N. Comparative evaluation of compost humic acids and their effects on the germination of switchgrass (Panicum vigatum L.). J. Soils Sediments 2014, 14, 432–440. [Google Scholar] [CrossRef]
- Chen, Y.; Camps-Arbestain, M.; Shen, Q.; Singh, B.; Cayuela, M.L. The long-term role of organic amendments in building soil nutrient fertility: A meta analysis and review. Nutr. Cycl. Agroecosyst. 2018, 111, 103–125. [Google Scholar] [CrossRef]
- Palansooriya, K.N.; Dissanayake, P.D.; Igalavithana, A.D.; Tang, R.; Cai, Y.; Chang, S.X. Converting food waste into soil amendments for improving soil sustainability and crop productivity: A review. Sci. Total Environ. 2023, 881, 163311. [Google Scholar] [CrossRef]
- Food and Agriculture Organization (FAO). Pesticides Use and Trade 1990–2022. Food and Agriculture Organization of the United Nations. 2022. Available online: https://www.fao.org/statistics/highlights-archive/highlights-detail/pesticides-use-and-trade-1990-2022/en (accessed on 20 April 2025).
- Khan, S.; Naushad, M.; Govarthanan, M.; Iqbal, J.; Alfadul, S.M. Emerging contaminants of high concern for the environment: Current trends and future research. Environ. Res. 2022, 207, 112609. [Google Scholar] [CrossRef] [PubMed]
- Song, C.; Zeng, C.; Qin, T.; Lv, T.; Xu, Z.; Xun, Z.; Wang, L.; Chen, X.; Liu, B.; Peng, X. A dual-state-emission chalcone-based supramolecular probe for ratiometric detection of penconazole in environmental samples. Chem. Eng. J. 2023, 468, 143610. [Google Scholar] [CrossRef]
- Mercadante, R.; Polledri, E.; Scurati, S.; Moretto, A.; Fustinoni, S. Identification of Metabolites of the Fungicide Penconazole in HumanUrine. Chem. Res. Toxicol. 2016, 29, 1179–1186. [Google Scholar] [CrossRef]
- Perdichizzi, S.; Mascolo, M.S.; Silingardi, P.; Morandi, E.; Rotondo, F.; Guerrini, A.; Prete, L.; Vaccari, M.; Colacci, A. Cancer-related genes transcriptionally induced by the fungicide penconazole. Toxicol. Vitr. 2014, 28, 125–130. [Google Scholar] [CrossRef] [PubMed]
- Kouame, K.B.J.; Savin, M.C.; Willett, C.D.; Bertucci, M.B.; Butts, T.R.; Grantz, E.; Roma-Burgos, N. S-metolachlor persistence in soil as influenced by within-season and inter-annual herbicide use. Environ. Adv. 2022, 9, 100318. [Google Scholar] [CrossRef]
- ISPRA. Rapporto Nazionale Pesticidi Nelle Acque. Istituto Superiore per la Protezione e la Ricerca Ambientale. 2023. Available online: https://www.isprambiente.gov.it/files2022/pubblicazioni/rapporti/rapporto_371_2022.pdf (accessed on 10 April 2025).
- Rangani, G.; Noguera, M.; Salas-Perez, R.; Benedetti, L.; Roma-Burgos, N. Mechanism of Resistance to S-metolachlor in Palmer amaranth. Front. Plant Sci. 2021, 12, 652581. [Google Scholar] [CrossRef]
- European Chemical Agency (ECHA). 2024. Available online: https://echa.europa.eu/search?p_p_id=com_liferay_portal_search_web_portlet_SearchPortlet&p_p_lifecycle=0&p_p_state=maximized&p_p_mode=view&_com_liferay_portal_search_web_portlet_SearchPortlet_mvcPath=%2Fsearch.jsp&_com_liferay_portal_search_web_portlet_SearchPortlet_redirect=%2Fweb%2Fguest%2Fsearch%3Fp_p_id%3Dcom_liferay_portal_search_web_portlet_SearchPortlet%26p_p_lifecycle%3D0%26p_p_state%3Dnormal%26p_p_mode%3Dview&_com_liferay_portal_search_web_portlet_SearchPortlet_scope=this-site&p_auth= (accessed on 20 August 2025).
- Ou-Yang, K.; Feng, T.; Han, Y.; Li, G.; Li, J.; Ma, H. Bioaccumulation, metabolism and endocrine-reproductive effects of metolachlor and its S-enantiomer in adult zebrafish (Danio rerio). Sci. Total Environ. 2022, 802, 149826. [Google Scholar] [CrossRef]
- Pelch, K.E.; Li, Y.; Perera, L.; Thayer, K.A.; Korach, K.S. Characterization of Estrogenic and Androgenic Activities for Bisphenol A-like Chemicals (BPs): In Vitro Estrogen and Androgen Receptors Transcriptional Activation, Gene Regulation, and Binding Profiles. Toxicol. Sci. 2019, 172, 23–37. [Google Scholar] [CrossRef]
- Manzoor, M.F.; Tariq, T.; Fatima, B.; Sahar, A.; Tariq, F.; Munir, S.; Khan, S.; Ranjha, M.M.A.N.; Sameen, A.; Zeng, X.-A.; et al. An insight into bisphenol A, food exposure and its adverse effects on health: A review. Front. Nutr. 2022, 9, 1047827. [Google Scholar] [CrossRef]
- Metcalfe, C.; Bayen, S.; Desrosiers, M.; Muñoz, G.; Sauvé, S.; Yargeau, V. An introduction to the sources, fate, occurrence and effects of endocrine disrupting chemicals released into the environment. Environ Res. 2022, 207, 112658. [Google Scholar] [CrossRef]
- Loffredo, E. Recent advances on innovative materials from biowaste recycling for the removal of environmental estrogens from water and soil. Materials 2022, 15, 1894. [Google Scholar] [CrossRef]
- Senesi, N.; Loffredo, E.; D’Orazio, V.; Brunetti, G.; Miano, T.M.; La Cava, P. Adsorption of pesticides by humic acids from organic amendments and soils. In Humic Substances and Chemical Contaminants; Clapp, C.E., Hayes, M.H.B., Senesi, N., Bloom, P.R., Jardine, P.M., Eds.; ASA, CSSA, SSSA Books: Chichester, UK, 2015; pp. 129–153. [Google Scholar] [CrossRef]
- Fouad, M.R.; El-Aswad, A.F.; Badawy, M.E.I.; Aly, M.I. Effect of soil organic amendments on sorption behavior of two insecticides and two herbicides. Curr. Chem. Lett. 2024, 13, 377–390. [Google Scholar] [CrossRef]
- Gamiz, B.; Pignatello, J.J.; Cox, L.; Hermosín, M.C.; Celis, R. Environmental fate of the fungicide metalaxyl in soil amended with composted olive-mill waste and its biochar: An enantioselective study. Sci. Total Environ. 2016, 54, 776–783. [Google Scholar] [CrossRef] [PubMed]
- Zanin Lima, J.; Monici Raimondi Nauerth, I.; Ferreira da Silva, E.; José Pejon, O.; Guimarães Silvestre Rodrigues, V. Competitive sorption and desorption of cadmium, lead, and zinc onto peat, compost, and biochar. J. Environ. Manag. 2023, 344, 118515. [Google Scholar] [CrossRef] [PubMed]
- Loffredo, E.; Picca, G.; Parlavecchia, M. Single and combined use of Cannabis sativa L. and carbon-rich materials for the removal of pesticides and endocrine-disrupting chemicals from water and soil. Environ. Sci. Pollut. Res. 2021, 28, 3601–3616. [Google Scholar] [CrossRef]
- Caracciolo, A.B.; Bustamante, M.A.; Nogues, I.; Di Lenola, M.; Luprano, M.L.; Grenni, P. Changes in microbial community structure and functioning of a semiarid soil due to the use of anaerobic digestate derived composts and rosemary plants. Geoderma 2015, 245–246, 89–97. [Google Scholar] [CrossRef]
- Vitti, A.; Elshafie, H.S.; Logozzo, G.; Marzario, S.; Scopa, A.; Camele, I.; Nuzzaci, M. Physico-chemical characterization and biological activities of a digestate and a more stabilized digestate-derived compost from agro-waste. Plants 2021, 10, 389. [Google Scholar] [CrossRef] [PubMed]
- Nogués, I.; Rumpel, C.; Sebilo, M.; Vaury, V.; Moral, R.; Bustamante, M.A. Stable C and N isotope variation during anaerobic digestate composting and in the compost-amended soil-plant system. J. Environ. Manag. 2023, 329, 117063. [Google Scholar] [CrossRef]
- ChemSpider. Available online: https://www.chemspider.com (accessed on 5 April 2025).
- Loffredo, E.; Vona, D.; Porfido, C.; Giangregorio, M.M.; Gelsomino, A. Compositional and structural characterization of bioenergy digestate and its aerobic derivatives compost and vermicompost. J. Sustain. Agric. Environ. 2024, 3, e70002. [Google Scholar] [CrossRef]
- Colatorti, N.; Digregorio, N.V.; Camposeo, S.; Loffredo, E. Solid fraction of digestate from olive pomace modulates abiotic and biotic processes in soil: Retention of agrochemicals and inhibition of fungal pathogens. Sci. Hortic. 2024, 337, 113545. [Google Scholar] [CrossRef]
- Gazzetta Ufficiale della Repubblica Italiana—GU Serie Generale n.248 del 21-10-1999—Suppl. Ordinario n. 185. Available online: https://www.gazzettaufficiale.it/eli/id/1999/10/21/099A8497/sg (accessed on 20 April 2025).
- Jiang, L.; Lin, J.L.; Jia, L.X.; Liu, Y.; Pan, B.; Yang, Y.; Lin, Y. Effects of two different organic amendments addition to soil on sorption-desorption, leaching, bioavailability of penconazole and the growth of wheat (Triticum aestivum L.). J. Environ. Manag. 2016, 167, 130–138. [Google Scholar] [CrossRef]
- Douibi, M.; Rodríguez-Cruz, M.S.; Sánchez-Martín, M.J.; Marín-Benito, J.M. Sustainable agricultural practices influence s-metolachlor, foramsulfuron and thiencarbazone-methyl degradation and their metabolites formation. Sci. Total. Environ. 2024, 945, 174039. [Google Scholar] [CrossRef]
- Freundlich, H.M.F. Uber die adsorption in losungen. J. Phys. Chem. 1906, 57, 385–470. [Google Scholar] [CrossRef]
- Langmuir, I. The adsorption of gases on plane surface of glass, mica and platinum. J. Am. Chem. Soc. 1918, 40, 1361–1403. [Google Scholar] [CrossRef]
- Hamdaoui, O.; Naffrechoux, E. Modeling of adsorption isotherms of phenol and chlorophenols onto granular activated carbon: Part I. Two-parameter models and equations allowing determination of thermodynamic parameters. J. Hazard. Mater. 2007, 147, 381–394. [Google Scholar] [CrossRef] [PubMed]
- Prasannamedha, G.; Senthil Kumar, P.; Mehala, R.; Sharumitha, T.J.; Surendhar, D. Enhanced adsorptive removal of sulfamethoxazole from water using biochar derived from hydrothermal carbonization of sugarcane bagasse. J. Hazard. Mater. 2021, 407, 124825. [Google Scholar] [CrossRef] [PubMed]
- Fernandes, M.C.; Cox, L.; Hermosín, M.C.; Cornejo, J. Organic amendments affecting sorption, leaching and dissipation of fungicides in soils. Pest Manag. Sci. 2006, 62, 1207–1215. [Google Scholar] [CrossRef]
- Mitchell, P.J.; Simpson, M.J. High affinity sorption domains in soil are blocked by polar soil organic matter components. Environ. Sci. Technol. 2013, 47, 412–419. [Google Scholar] [CrossRef]
- Parlavecchia, M.; D’orazio, V.; Loffredo, E. Wood biochars and vermicomposts from digestate modulate the extent of adsorption-desorption of the fungicide metalaxyl-m in a silty soil. Environ. Sci. Pollut. Res. 2019, 26, 35924–35934. [Google Scholar] [CrossRef]
- Ibrahim, E.A.; Shalaby, S.E.M. Screening and assessing of pesticide residues and their health risks in vegetable field soils from the Eastern Nile Delta, Egypt. Toxicol. Rep. 2022, 9, 1281–1290. [Google Scholar] [CrossRef]
- Bushra, K.; Javaid, I.; Shazia, M.; Muhammad, N.A.; Aitezaz, A.K.; Farwa, J.; Tariq, A.; Saleh, A.A.; Abdulhakeem, S.A.; Majid, A. Sorption and desorption of bisphenol A on agricultural soils and its implications for surface and groundwater contamination. Desalin. Water Treat. 2025, 322, 101180. [Google Scholar] [CrossRef]
- Corrales, J.; Kristofco, L.A.; Steele, W.B.; Yates, B.S.; Breed, C.S.; Williams, E.S.; Brooks, B.W. Global Assessment of Bisphenol A in the Environment: Review and Analysis of Its Occurrence and Bioaccumulation. Dose-Response 2015, 13, 1559325815598308. [Google Scholar] [CrossRef]











| Parameter | SOV a | SOT |
|---|---|---|
| Sand (%) | 36 | 42 |
| Silt (%) | 43 | 36 |
| Clay (%) | 21 | 22 |
| pH b | 7.45 ± 0.03 | 8.23 ± 0.03 |
| EC (dS m−1) c | 0.20 ± 0.003 | 0.11± 0.001 |
| Moisture (%) | 4.4 ± 0.500 | 2.8 ± 0.003 |
| Organic C (g kg−1) | 37.9 ± 0.08 | 9.4 ± 0.28 |
| Total N (g kg−1) | 2.98 ± 0.080 | 0.78 ± 0.003 |
| C/N | 12.7 | 12.1 |
| Henry | Freundlich | Langmuir | Temkin | ||||||||||||||
|---|---|---|---|---|---|---|---|---|---|---|---|---|---|---|---|---|---|
| Substrate | r | SSR | Kd | KOC | r | SSR | KF | 1/n | r | SSR | b | KL | r | SSR | AT | B | bT |
| mL g−1 | mL g−1 | mL g−1 | µg g−1 | L mg−1 | mL g−1 | J mol−1 | |||||||||||
| PEN | |||||||||||||||||
| SOV | 0.997 | 2.59 | 56.1 | 1476 | 0.993 | 2.54 | 57.8 | 1.02 | 0.992 | 2.65 | 332 | 0.176 | 0.973 | 9.82 | 29.6 | 6.98 | 348 |
| SOV-DCP2 | 0.997 | 2.88 | 68.3 | 1045 | 0.996 | 1.28 | 56.2 | 0.882 | 0.994 | 1.76 | 117 | 0.522 | 0.946 | 28.1 | 64.9 | 4.24 | 587 |
| SOV-DCP4 | 1.00 | 0.021 | 87.6 | 1564 | 1.00 | 0.001 | 95.5 | 1.08 | 0.999 | 0.038 | 4845 | 0.016 | 1.00 | 3.49 | 32.8 | 6.87 | 236 |
| SOV-DCP8 | 0.975 | 10.4 | 214 | 3010 | 0.976 | 9.27 | 168 | 0.902 | 0.979 | 7.80 | 76.1 | 3.70 | 0.984 | 6.76 | 116 | 7.76 | 316 |
| S-MET | |||||||||||||||||
| SOV | 0.996 | 0.309 | 6.34 | 167 | 1.00 | 0.054 | 6.78 | 0.831 | 0.998 | 0.143 | 33.2 | 0.272 | 0.943 | 4.26 | 14.7 | 2.38 | 1050 |
| SOV-DCP2 | 0.997 | 0.450 | 6.59 | 142 | 0.999 | 0.099 | 6.54 | 0.876 | 0.998 | 0.150 | 39.4 | 0.202 | 0.913 | 7.19 | 17.6 | 2.00 | 1227 |
| SOV-DCP4 | 0.998 | 0.314 | 11.0 | 196 | 0.998 | 0.204 | 11.0 | 0.944 | 0.999 | 0.128 | 79.0 | 0.159 | 0.947 | 7.19 | 13.7 | 3.45 | 711 |
| SOV-DCP8 | 0.999 | 0.265 | 18.5 | 260 | 0.999 | 0.198 | 18.1 | 0.967 | 0.999 | 0.140 | 148 | 0.135 | 0.941 | 12.1 | 18.1 | 4.25 | 577 |
| BPA | |||||||||||||||||
| SOV | 0.945 | 19.3 | 119 | 3112 | 0.985 | 5.28 | 45.9 | 0.425 | 0.995 | 1.76 | 21.5 | 50.7 | 0.994 | 2.11 | 673 | 4.14 | 588 |
| SOV-DCP2 | 0.975 | 6.91 | 139 | 3015 | 0.999 | 1.96 | 62.0 | 0.530 | 0.998 | 0.181 | 26.2 | 24.0 | 0.993 | 5.19 | 203 | 7.24 | 388 |
| SOV-DCP4 | 0.990 | 3.76 | 230 | 4111 | 0.998 | 0.643 | 91.0 | 0.600 | 0.990 | 4.72 | 31.9 | 19.7 | 0.894 | 40.1 | 1273 | 3.35 | 732 |
| SOV-DCP8 | 0.931 | 68.5 | 328 | 4613 | 0.991 | 3.56 | 99.2 | 0.406 | 0.965 | 18.2 | 22.0 | 86.4 | 0.955 | 17.1 | 3218 | 3.28 | 749 |
| Henry | Freundlich | Langmuir | Temkin | ||||||||||||||
|---|---|---|---|---|---|---|---|---|---|---|---|---|---|---|---|---|---|
| Substrate | r | SSR | Kd | KOC | r | SSR | KF | 1/n | r | SSR | b | KL | r | SSR | AT | B | bT |
| mL g−1 | mL g−1 | mL g−1 | µg g−1 | L mg−1 | mL g−1 | J mol−1 | |||||||||||
| PEN | |||||||||||||||||
| SOT | 0.998 | 0.426 | 7.79 | 865 | 0.997 | 0.313 | 7.73 | 0.939 | 0.997 | 0.223 | 56.5 | 0.158 | 0.955 | 4.21 | 11.0 | 2.95 | 826 |
| SOT-DCP2 | 0.989 | 6.35 | 28.5 | 1603 | 0.999 | 0.161 | 23.1 | 0.750 | 0.999 | 0.133 | 54.3 | 1.35 | 0.938 | 16.8 | 48.8 | 3.69 | 664 |
| SOT-DCP4 | 0.997 | 1.863 | 47.5 | 1778 | 0.995 | 1.40 | 52.2 | 1.07 | 0.992 | 2.00 | 683 | 0.070 | 0.983 | 4.90 | 19.5 | 8.12 | 299 |
| SOT-DCP8 | 0.971 | 24.7 | 83.5 | 1881 | 0.999 | 0.296 | 387 | 1.79 | 0.826 | 25.0 | 3369 | 0.024 | 0.987 | 3.59 | 16.0 | 16.3 | 149 |
| S-MET | |||||||||||||||||
| SOT | 0.995 | 0.084 | 1.49 | 164 | 0.992 | 0.058 | 1.53 | 0.903 | 0.995 | 0.039 | 11.5 | 0.160 | 0.952 | 0.39 | 7.84 | 0.82 | 2963 |
| SOT-DCP2 | 0.997 | 0.238 | 3.93 | 221 | 1.00 | 0.006 | 4.03 | 0.843 | 1.00 | 0.005 | 20.4 | 0.254 | 0.938 | 1.91 | 13.7 | 1.57 | 1559 |
| SOT-DCP4 | 0.998 | 0.345 | 6.41 | 240 | 0.998 | 0.144 | 6.38 | 0.908 | 0.998 | 0.077 | 41.7 | 0.182 | 0.935 | 4.63 | 12.2 | 2.36 | 1031 |
| SOT-DCP8 | 0.999 | 0.190 | 13.2 | 297 | 1.00 | 0.026 | 13.6 | 1.06 | 0.998 | 0.246 | 587 | 0.022 | 0.923 | 12.4 | 13.9 | 3.76 | 648 |
| BPA | |||||||||||||||||
| SOT | 0.984 | 7.95 | 20.8 | 2311 | 0.994 | 1.066 | 17.4 | 0.711 | 0.994 | 1.12 | 27.0 | 1.38 | 0.985 | 2.54 | 23.0 | 4.50 | 541 |
| SOT-DCP2 | 0.999 | 0.824 | 99.9 | 5613 | 0.998 | 0.469 | 113 | 1.06 | 0.996 | 1.01 | 656 | 0.155 | 0.990 | 4.33 | 32.3 | 9.87 | 248 |
| SOT-DCP4 | 0.996 | 3.16 | 96.2 | 2477 | 0.995 | 1.53 | 82.1 | 1.13 | 0.987 | 3.34 | 1249 | 0.053 | 0.988 | 4.00 | 23.5 | 9.16 | 266 |
| SOT-DCP8 | 0.990 | 9.07 | 138 | 3117 | 0.985 | 5.10 | 216 | 1.19 | 0.966 | 9.25 | 2201 | 0.063 | 0.998 | 0.39 | 38.2 | 11.5 | 211 |
Disclaimer/Publisher’s Note: The statements, opinions and data contained in all publications are solely those of the individual author(s) and contributor(s) and not of MDPI and/or the editor(s). MDPI and/or the editor(s) disclaim responsibility for any injury to people or property resulting from any ideas, methods, instructions or products referred to in the content. |
© 2025 by the authors. Licensee MDPI, Basel, Switzerland. This article is an open access article distributed under the terms and conditions of the Creative Commons Attribution (CC BY) license (https://creativecommons.org/licenses/by/4.0/).
Share and Cite
Loffredo, E.; Campanale, E.; Cocozza, C.; Denora, N. Digestate-Derived Compost Modulates the Retention/Release Process of Organic Xenobiotics in Amended Soil. Agriculture 2025, 15, 1925. https://doi.org/10.3390/agriculture15181925
Loffredo E, Campanale E, Cocozza C, Denora N. Digestate-Derived Compost Modulates the Retention/Release Process of Organic Xenobiotics in Amended Soil. Agriculture. 2025; 15(18):1925. https://doi.org/10.3390/agriculture15181925
Chicago/Turabian StyleLoffredo, Elisabetta, Emanuela Campanale, Claudio Cocozza, and Nicola Denora. 2025. "Digestate-Derived Compost Modulates the Retention/Release Process of Organic Xenobiotics in Amended Soil" Agriculture 15, no. 18: 1925. https://doi.org/10.3390/agriculture15181925
APA StyleLoffredo, E., Campanale, E., Cocozza, C., & Denora, N. (2025). Digestate-Derived Compost Modulates the Retention/Release Process of Organic Xenobiotics in Amended Soil. Agriculture, 15(18), 1925. https://doi.org/10.3390/agriculture15181925

