Next Article in Journal
Digital Literacy, Labor Force Characteristics and the Degree of Adoption of Agricultural Socialized Services: Empirical Evidence from Rural China
Previous Article in Journal
Correction: Wan et al. Design and Performance Testing of a Multi-Variety Forage Grass Mixed-Sowing Seed Metering Device. Agriculture 2025, 15, 1788
 
 
Font Type:
Arial Georgia Verdana
Font Size:
Aa Aa Aa
Line Spacing:
Column Width:
Background:
Article

Morphological Characterization of Aspergillus flavus in Culture Media Using Digital Image Processing and Radiomic Analysis Under UV Radiation

by
Oscar J. Suarez
1,*,
Daniel C. Ruiz-Ayala
2,
Liliana Rojas Contreras
3,
Manuel G. Forero
4,
Jesús A. Medrano-Hermosillo
5 and
Abraham Efraim Rodriguez-Mata
5
1
Ingeniería Mecatrónica, Facultad de Ingenierías y Arquitectura, Universidad de Pamplona, Km. 1 Vía Bucaramanga Ciudad Universitaria, Pamplona C.P. 543050, Norte de Santander, Colombia
2
Doctorado en Automática, Facultad de Ingenierías y Arquitectura, Universidad de Pamplona, Km. 1 Vía Bucaramanga Ciudad Universitaria, Pamplona C.P. 543050, Norte de Santander, Colombia
3
Grupo de Investigación GIMBIO, Microbiología, Facultad de Ciencias Básicas, Universidad de Pamplona, Km. 1 Vía Bucaramanga Ciudad Universitaria, Pamplona C.P. 543050, Norte de Santander, Colombia
4
Semillero Lún, Grupo D+Tec, Facultad de Ingeniería, Universidad de Ibague, Ibagué C.P. 730002, Tolima, Colombia
5
División de Estudios de Posgrado e Investigación, Tecnológico Nacional de México Campus Chihuahua, Instituto Tecnológico de Chihuahua, Ave. Tecnológico #2909, Chihuahua C.P. 31310, Mexico
*
Author to whom correspondence should be addressed.
Agriculture 2025, 15(17), 1888; https://doi.org/10.3390/agriculture15171888
Submission received: 29 July 2025 / Revised: 1 September 2025 / Accepted: 2 September 2025 / Published: 5 September 2025
(This article belongs to the Section Crop Protection, Diseases, Pests and Weeds)

Abstract

The identification of Aspergillus flavus (A. flavus), a fungus known for producing aflatoxins, poses a taxonomic challenge due to its morphological plasticity and similarity to closely related species. This article proposes a computational approach for its characterization across four culture media, using ultraviolet (UV) radiation imaging and radiomic analysis. Images were acquired with a camera controlled by a Raspberry Pi and processed to extract 408 radiomic features (102 per color channel and grayscale). Shapiro–Wilk and Levene’s tests were applied to verify normality and homogeneity of variances as prerequisites for an analysis of variance (ANOVA). Nine features showed statistically significant differences and, together with the culture medium type as a categorical variable, were used in a supervised classification stage with cross-validation. Classification using Support Vector Machines (SVM) achieved 97% accuracy on the test set. The results showed that the morphology of A. flavus varies significantly depending on the medium under UV radiation, with malt extract agar being the most discriminative. This non-invasive and low-cost approach demonstrates the potential of radiomics combined with machine learning to capture morphological patterns useful in the differentiation of fungi with optical response under UV radiation.

1. Introduction

The genus Aspergillus P. Micheli ex Haller, 1768, includes more than 185 species [1], presenting unique taxonomic complexity due to genetic, phenotypic, and biochemical divergences that modulate its metabolic activity, toxicity, and environmental adaptability [2]. These challenges are compounded by the presence of cryptic variants (genetically distinct but morphologically indistinguishable) [3,4] and the scarcity of reference genome sequences for type strains, which limits the accuracy of species identification within the genus Aspergillus [4].
As a priority species in public health and food safety, Aspergillus flavus Link, 1809, is notable for its ability to synthesize carcinogenic aflatoxins [5] and its morphological plasticity, influenced by environmental conditions and culture media [6]. Macroscopic identification methods, based on qualitative patterns such as powdery textures and colony color changes [7,8,9,10,11], face critical limitations, including the following: a. analytical subjectivity: the interpretation of traits such as colony diameter, reversible pigmentation, conidial structures (vesicles, phialides), and surface textures requires expert knowledge [12,13,14]; b. phenotypic variability: abiotic factors (temperature and humidity) affect secondary metabolite production and morphological traits, potentially inducing diagnostic errors [15,16]; and c. time investment: observations often require extended periods (days or weeks) and specific culture media [13,14].
Modern molecular methods for fungal identification include the following: ITS region sequencing, the standard marker for fungal identification due to its high interspecific variability [16]; D2 LSU subunit analysis, effective in yeasts and molds but dependent on specialized equipment and validated databases; and whole-genome sequencing (WGS), which enables the discrimination of cryptic species through bioinformatic analysis, but with an application limited by the availability of reference genomes [16].
Ultraviolet (UV) radiation emerges as a relevant tool for the preliminary detection of mycotoxin-producing fungi. Its use is based on the characteristic fluorescence of fungal metabolites under specific wavelengths, allowing for non-destructive, real-time identification. Under UV radiation at 365 nm (UV-A range), aflatoxins exhibit differential fluorescence: aflatoxins B1 and B2 emit bright blue, while G1 and G2 fluoresce green-yellow [17,18]. Although this technique has mainly been used for mycotoxin quantification [3,14,18,19], its potential for the direct identification of A. flavus remains underexplored.
The taxonomy of Aspergillus has evolved from classical morphotyping toward integrative approaches that combine multi-omics (chemotyping—the analysis of secondary metabolites such as aflatoxins [14], and mitogenotyping [3]). In this context, this article proposes an innovative computational approach to the morphological characterization of Aspergillus flavus colonies grown in different media through a radiomic analysis of images acquired under UV radiation. This methodology enables the automatic quantification of macroscopic morphological traits, reducing subjective bias [19].
The hypothesis posits that controlled exposure to UV radiation (365 nm) induces differentiable patterns in the macroscopic phenotype of Aspergillus flavus, manifested as morphological and fluorescent variations modulated by the culture medium. These patterns can be quantified through radiomic analysis and detected via computerized image processing, enabling the amplification of subtle phenotypic differences and their use as discriminative markers against phylogenetically related species such as Aspergillus parasiticus Speare, 1912 [20,21,22,23].
This non-destructive and low-cost approach complements conventional species discrimination methods, reduces diagnostic time, and can be implemented in resource-limited settings using accessible equipment and open-source software [23,24,25].

2. Materials and Methods

2.1. Culture Media and Strain

Four culture media were used: Malt Extract Agar (MEA, Oxoid Ltd., Basingstoke, UK), Oxytetracycline Glucose Yeast Extract Agar (OGY, Condalab, Madrid, Spain), Coconut Milk Agar (CMA, GIMBIO, Pamplona, Colombia), and Yeast Extract Agar (YEA, Oxoid Ltd., Basingstoke, UK). These media were selected based on their ability to induce distinguishable morphological traits in filamentous fungi, especially under UV radiation conditions [6,26]. Unlike commonly used media such as Potato Dextrose Agar (PDA), Czapek Dox Agar (CZA), or Aspergillus flavus-parasiticus Agar (AFPA), the selected media demonstrated higher sensitivity in revealing key fungal structures such as conidiophores, vesicles, and conidia, which are essential for the proposed radiomic analysis. AFPA was excluded due to its selective focus on the differential identification of aflatoxin-producing species, which limits its usefulness for comprehensive morphological characterization under photoluminescent conditions.
All media were prepared following the manufacturer’s instructions, using sterile distilled water, produced in the laboratory with a Schott-Geräte Typ 82000 distiller (Schott-Geräte GmbH, Hofheim am Taunus, Germany). Subsequently, they were sterilized in an autoclave at 121 °C for 15 min, using an All American UL 6p38, model 75X (All American, Manitowoc, WI, USA). The molten medium was poured into 60 mm diameter and 15 mm height glass Petri dishes (Brixco, Bogotá, Colombia), under aseptic conditions, ensuring a depth of approximately 20 mL per plate.
A certified strain of A. flavus (ATCC 9643), non-aflatoxigenic [27,28,29], was used in this study, and therefore the characteristic blue-green fluorescence of aflatoxins was not expected. Likewise, A. parasiticus was included as a second species, due to its close phylogenetic relationship with A. flavus and the morphological changes exhibited by its colonies under UV light [30,31,32]. This decision was based on the study’s objective: to explore the usefulness of a radiomic approach to characterize and differentiate their fungal morphology, each represented by a strain used as an experimental model. It should be noted that the main differences between both species encompass not only their toxigenic profile and ecology but also distinctive morphological characteristics [33]. Nevertheless, it is recognized that species such as A. oryzae (Ahlburg) Cohn, 1884, frequently confused with A. flavus due to their morphological and genetic similarities [34], are systematically regarded as separate species. The inclusion of A. oryzae could provide additional value in future comparative analyses. Although the limited number of strains restricts the possibility of generalizing the statistical models at the species level, experimental standardization ensures reproducibility, and the inclusion of multiple strains per species is projected in order to improve the generalization of statistical evaluation.
Both strains were inoculated onto the four media and cultured under standardized conditions: incubation in the dark at 25 ± 2 °C for seven days [13].
A total of N = 8 samples were used, corresponding to the combination of two species and four culture media (2 species × 4 media). The same strains and cultivation conditions were uniformly applied throughout the experiment, ensuring the reproducibility of results and comparability across treatments.
Starting from the eighth day of incubation, each sample was photographed over five consecutive days under UV radiation (365 nm), applied at 24 h intervals and three intensity levels, with approximate irradiance values of 6–7.5 mW/m2 for 100% duty cycle, 3–6 mW/m2 for 75%, and 1.5–3 mW/m2 for 50%. This resulted in a total of 120 images, distributed as 60 images per species and 15 per medium, intended for subsequent analysis through digital image processing and radiomic evaluation.

2.2. Image Acquisition System

This consists of a set of four 3W UV LEDs with an emission wavelength of 365 nm (Ref: LED-365NM-3W, Didácticas Electrónicas I+D, Bogotá, Colombia), a Raspberry Pi 4B board (Raspberry Pi Foundation, Cambridge, UK) responsible for controlling the activation of the UV LEDs and managing image acquisition through a Raspberry Pi M12 camera (Ref: WS-23945, Waveshare Electronics, Shenzhen, China) with a 12.3 MP sensor (Sony Corporation, Tokyo, Japan), coupled with a 3.2 mm focal length lens and 160° FOV (Ref: WS-23967, Waveshare Electronics, Shenzhen, China), which captures images with dimensions of 4056 × 3040 pixels and a depth of 32 bits. All components are shown in Figure 1.

2.3. Software and Libraries Used

The programming logic was developed using the Python 3.12.11 language, selected for its wide availability of open-source libraries and compatibility with the Raspberry Pi platform. For image acquisition, the picamera2 library was used. Data management and logging in Excel spreadsheets were carried out using openpyxl, and GPIO pin control, including pulse-width modulation (PWM), was implemented with RPI.GPIO. Digital image processing, which included segmentation, analysis, and visualization tasks, was performed using the OpenCV 4.12.0, NumPy 2.0.2, Pandas 2.2.2, and Matplotlib 3.10.0 libraries.
Radiomic feature extraction was conducted using the PyRadiomics library, which specializes in quantitative image analysis, together with SimpleITK for preprocessing and spatial standardization of the data [35].
For statistical analysis and classification, the Scikit-learn 1.6.1 and SciPy 1.16.1 Python libraries were used, incorporating functions for applying the ANOVA technique [36,37,38].

2.4. Digital Image Processing

Once the images were acquired, they were processed to extract the information. The region of interest was identified and isolated, starting with the detection of the Petri dish edge in each image. This process allowed the analysis to focus exclusively on the culture medium and its contents, eliminating background elements and reducing the image size to facilitate subsequent processing. Then, through the segmentation technique, a binary mask was obtained that delimited the pixels corresponding to the fungus.

2.4.1. Identification of Petri Dishes

For the identification of the Petri dishes, the information of each sample in the RGB channels was independently analyzed. By observing the histograms of the image of each channel, presented in (Figure 2), and analyzing their standard deviation (Table 1), indicative of the dispersion of the intensity levels of each color around the mean, it was found that the blue channel showed the greatest separation between the pixels of the region of interest (RoI), corresponding to both the culture medium and the edge of the Petri dish, with respect to the background, thus facilitating the subsequent segmentation of the RoI. For this reason, the image from the blue channel was used as the starting point for cropping the region of interest.
Based on the information from Table 1, the image from the blue channel was binarized using a fixed threshold of 20 intensity levels to segment the region of interest, resulting in the separation of most pixels belonging to the culture medium and the edge of the dish from the background, as shown in Figure 3.

2.4.2. Contour Detection

Once the image was binarized, the method of Suzuki et al. [39] was used to find all contours present in the binarized image. Then, the detected contours were iterated through to identify the one with the largest perimeter. Simultaneously, a black image with the same dimensions as the original was generated, on which a circle was drawn with a radius equal to that of the Petri dish, centered at the coordinates of the contour with the largest perimeter. This circle was used to mask the region of interest, as shown in Figure 4.
A new image was then obtained by superimposing the detected mask onto the original image, where the value of each pixel in the resulting image takes the minimum value between the two input images. In this way, all pixels outside the Petri dish were removed. This allowed for the removal of unwanted background elements, leaving only the contents of the Petri dish. The processed image was cropped to retain only the region of interest within the Petri dish. This process generated a final file with reduced dimensions of 1720 × 1720 pixels and a color depth of 24 bits (Figure 5), optimizing the size and format to facilitate processing.

2.4.3. Image Segmentation

Once the reduced image of the Petri dish was obtained, the blue channel image was segmented using Otsu’s method [40]. This technique assumes that the histogram modes of the image follow a Gaussian probability distribution function, and it selects the optimal threshold that minimizes the within-class variance (background and object) while maximizing the difference between the two classes. Although the histogram modes are not perfectly Gaussian, as shown in Figure 6, the selected threshold (red line in Figure 6) allows for a good separation between the background and the region of interest in the image [41,42,43,44]. The resulting image was used as a mask to facilitate the segmentation of the fungus from the background.
To improve the segmentation accuracy, a Gaussian filter was applied to smooth the image and reduce noise. However, due to the original low contrast of the images, this process also attenuated details in the regions of interest, predominantly preserving the pixels with higher intensity. This effect allowed the analysis to focus on the reflections produced by the UV illumination of the LEDs (365 nm), which were efficiently detected using the Canny edge detection algorithm, as their high light intensities remained unchanged after filtering.
Subsequently, morphological closing operations were performed on the detected edges. This process involved applying dilation, followed by erosion, which allowed for the merging of nearby edges and filling of small gaps present in the detected contours. The result of these operations was a binary mask representing the reflections, which was combined with the mask previously generated using Otsu’s method.
Additionally, following the background subtraction approach described by Sobral and Vacavant [45], the green and blue channels were subtracted, as well as the red and blue channels, truncating negative values to zero. These operations helped reduce background interference and increased contrast in the relevant areas. The resulting image was thresholded to generate a new binary mask, for which both the mask generated by Otsu and the reflection mask were subtracted (Figure 7).
This mask was consolidated by individually dilating each contour whose area exceeded a minimum pixel threshold, and then cumulatively combining them using a pixel-wise maximum operation. Subsequently, a morphological erosion was applied with a square kernel of size 11 × 11 pixels, which helped smooth the edges and remove small irregularities. The resulting mask allowed for the internal closing of the fungus shape and the recovery of regions lost during the channel subtraction operations. As shown in Figure 8, its application on the original image facilitated the extraction of RGB values only within the region of interest, allowing for the generation of an intensity histogram for each color channel.

2.5. Radiomic Analysis

To extract the radiomic features, the PyRadiomics extractor was configured with specific parameters, such as bin width, pixel spacing, interpolator, and intensity value normalization. All available features were enabled for extraction; then, the textural features were extracted from both the color image and the mask. This process was repeated for each of the three color channels (RGB) and for the grayscale image, resulting in a total of 408 features: 102 features per channel (Figure 9).

2.6. Statistical Evaluation and Computational Classification

2.6.1. Statistical Validation of Radiomic Features

The assumptions of the normality and homogeneity of variances were evaluated for each extracted radiomic feature. For this purpose, a linear model was fitted for each variable using ordinary least squares (OLS), considering the evaluated strain (A. flavus or A. parasiticus) and the culture medium as relevant factors. Subsequently, the Shapiro–Wilk test was applied to the model residuals to assess normality, and Levene’s test was performed on the combined groups (strain × culture medium) to verify the homogeneity of variances. Only the features that met both criteria (p > 0.05 in both tests) were considered valid for the ANOVA analysis.

2.6.2. Feature Selection with ANOVA

A two-way factorial ANOVA was applied, using a Type II model that robustly evaluates the main effects and their interaction. The model structure was formulated as shown in Equation (1):
Feature Strain + Medium + Strain : Medium
Each feature was evaluated individually, and the resulting p-values determined the statistical significance of the factors. Features with p-values < 0.05 for any factor were considered sensitive to that effect, and thus relevant for differentiating between species, media, or their interaction [46].
For the comparative analysis between the strains of A. flavus and A. parasiticus, the following hypotheses were formulated, as expressed in Equations (2) and (3):
  • Null hypothesis ( H 0 ): there are no significant differences between the means of the extracted features for A. flavus and A. parasiticus.
    H 0 : μ flavus = μ parasiticus
  • Alternative hypothesis ( H 1 ): there is at least one significant difference between the means of the extracted features for A. flavus and A. parasiticus
    H 1 : μ flavus μ parasiticus
For the comparative analysis between culture media, the following hypotheses were formulated, as expressed in Equations (4) and (5):
  • Null hypothesis ( H 0 ): There are no significant differences in the means of the extracted features among the four culture media (CMA, OGY, MEA, YEA):
    H 0 : μ CMA = μ OGY = μ MEA = μ YEA .
  • Alternative hypothesis ( H 1 ): There are significant differences in the means of at least one feature among the four culture media (CMA, OGY, MEA, YEA):
    H 1 : At least one   μ i μ j , for i , j { CMA , OGY , MEA , YEA } .

2.6.3. Supervised Classification Using Machine Learning Algorithms

To evaluate the discriminative capacity of the radiomic features selected through ANOVA, a classification pipeline based on machine learning was implemented. The dataset was divided into two subsets, with 70% of the data used for training and 30% for validation through stratified sampling.
The pipeline included data standardization, followed by feature selection using a univariate approach based on the F-ANOVA test, exploring different values of the parameter k (5, 8, and all variables). Subsequently, five supervised classifiers were trained and evaluated: Random Forest, Support Vector Machines (SVM), K-Nearest Neighbors (KNN), Logistic Regression, and Gradient Boosting.
For each model, an exhaustive hyperparameter search was carried out using five-fold stratified cross-validation, with accuracy as the main evaluation metric. Metrics such as accuracy, weighted F1-score, weighted precision, and weighted recall were calculated, allowing for validation of the usefulness of the selected variables for the automatic classification of A. flavus.
The best classifier was selected based on its average performance during cross-validation and was subsequently evaluated on the test set.
Figure 10 presents a flowchart summarizing the methodological procedure followed for the acquisition, processing, and analysis of radiomic images of Aspergillus flavus.

3. Results

3.1. Radiomic Features with Validated Statistical Criteria

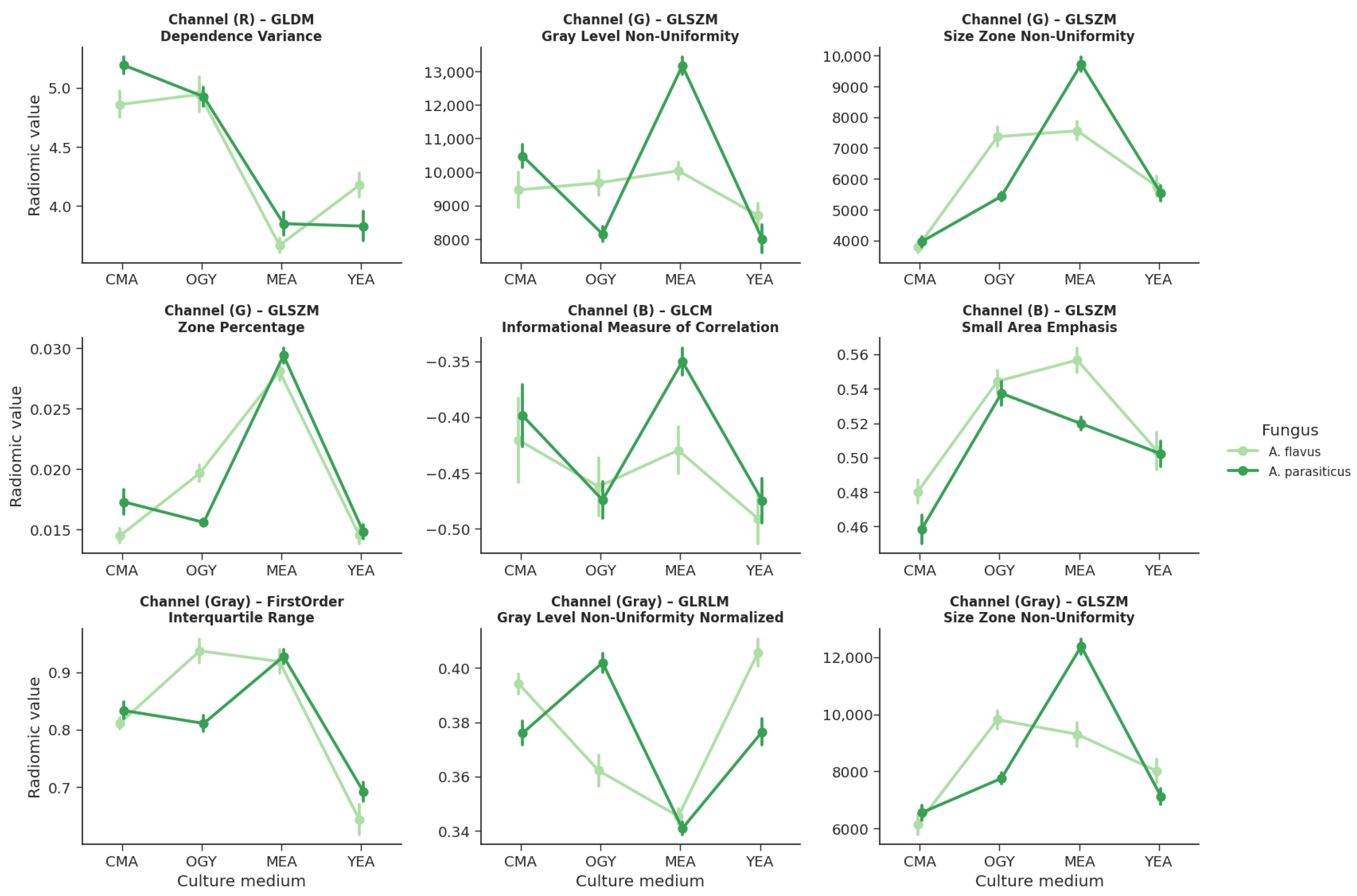
Of the 408 extracted radiomic features, only 9 (2.21%) simultaneously met the criteria for the normality of residuals (Shapiro–Wilk, p > 0.05 ) and homogeneity of variances between groups (Levene, p > 0.05 ). These variables were primarily distributed across the R (red), G (green), and B (blue) channels, and in grayscale.
In Figure 11, light green corresponds to A. flavus, while dark green identifies A. parasiticus. This representation highlights the differences in the morphological response under the different culture conditions and allows the discriminative capacity of the selected radiomic descriptors to be appreciated.
In the red channel, a feature derived from the GLDM texture was identified, which calculates the Dependence Variance, a measure of the variability in the dependence of intensity levels between neighboring pixels.
In the green channel, three features from the GLSZM texture were found: Gray Level Non-Uniformity, Size Zone Non-Uniformity, and Zone Percentage, all related to the distribution and homogeneity of regions with similar intensity.
In the blue channel, two features were identified: one corresponding to the GLCM texture, which evaluates the Imc1 (Information Correlation Measure 1), and another from GLSZM, which quantifies Small Area Emphasis.
Finally, in the grayscale, three variables were included: one of first order that calculates the Interquartile Range of intensity values, one from the GLRLM texture that measures Gray Level Non-Uniformity Normalized, and another from GLSZM that re-evaluates Size Zone Non-Uniformity.
The variables wee grouped into two main categories according to their nature: first-order features, which describe the statistical distribution of intensity values (such as dispersion and interquartile range), and texture features, derived from co-occurrence and spatial dependence matrices, which capture patterns of repetition, heterogeneity, and uniformity within the regions of interest.

3.2. Results of the Analysis of Variance (ANOVA)

The two-way analysis of variance applied to the nine radiomic features that met the statistical assumptions revealed a highly significant effect of the culture medium on all variables ( p < 0.001 ), as shown in Figure 12.
Seven of them exhibited a significant interaction strain and medium, indicating that the morphological response of each fungus depends on the growth environment. In contrast, only one variable showed a significant main effect of the type of fungus (glszm_SmallAreaEmphasis, blue channel; p = 0.0018 ), suggesting that the morphological differences between A. flavus and A. parasiticus are more pronounced when considered in conjunction with the culture medium. The remaining two variables did not show a significant interaction or a main effect of the type of fungus, although they were still affected by the medium.

3.2.1. Significant Interactions Between Strain and Medium

Eight radiomic features exhibited opposing morphological patterns between strains depending on the culture medium, as evidenced visually in the scatter plots with error bars (Figure 13).
Particularly noteworthy is the variable glszm_SmallAreaEmphasis (blue channel), which is the only one where A. flavus consistently shows higher values than A. parasiticus across all four evaluated media. This difference is especially pronounced in the CMA and MEA media, where A. flavus reaches its minimum (CMA) and maximum (MEA) values, with no overlap with A. parasiticus, indicating a clear separation between the evaluated groups.
It is important to note that although the blue channel usually presents the lowest contrast and the majority of pixels concentrate at the lower end of the histogram (Figure 6), making direct visual interpretation difficult, radiomic techniques can capture patterns not easily detectable by the human eye.
In this case, the SmallAreaEmphasis feature, derived from the GLSZM matrix, quantifies the concentration of small zones in the image. High values indicate a greater presence of small homogeneous intensity regions, associated with a granular or fragmented distribution of the fluorescence pattern.

3.2.2. Post-Hoc Multiple Comparisons (Tukey HSD)

In order to identify the characteristics with the greatest discriminative power between the different groups evaluated, the Tukey HSD multiple comparisons test was applied to each of the variables extracted after verifying the normality and homoscedasticity criteria [47]. This test allowed for any statistically significant differences between the means of each group for a given characteristic to be determined using a control approach for Type I error in multiple comparisons [48,49]. Since the dataset includes multiple comparison groups, a specific number of comparisons (in this case, 28 possible group combinations) was generated for each radiomic characteristic, and the number of differences that were statistically significant was counted. This count reflected the discriminative power of each characteristic: the higher the number of significant comparisons, the greater its ability to differentiate between groups.
Table 2 shows the characteristics with the most significant comparisons, considered the most relevant for subsequent classification or predictive tasks.
Among the analyzed features, the most discriminative was the GLSZM texture in the green channel, with 23 comparisons, which measures the variability in the size of homogeneous zones and reflects marked differences in fluorescence patterns between strains and culture media. Following it were the first-order features in the grayscale image, with 21 comparisons, which reflects the dispersion of intensities between the 25th and 75th percentiles; GLSZM, with 19 comparisons, which quantifies the heterogeneity in zone sizes; and GLRLM, with 18 comparisons, which captures tonal variations in sequences of grayscale levels.
Other prominent textures are presented in the following paragraphs.
The GLDM feature in the red channel obtained 17 comparisons; GLSZM in the blue channel obtained 17 comparisons and GLSZM in the green channel obtained 16 comparisons; GLSZM with the GrayLevelNonUniformity feature in the green channel obtained 13 comparisons. These features provide complementary information from the red, blue, and green channels, capturing aspects such as the local structural variability, the frequency of small zones, or the granularity of the fluorescent pattern, and reinforce the value of combining multichannel spectral information.
Although the GLCM texture in the blue channel showed only four significant comparisons, its ability to detect organized correlations in the texture indicates that even features with a lower frequency of significance can provide relevant information for classification. These metrics demonstrate that macroscopic texture, measured through subtle spatial and intensity differences, constitutes radiomic information that can only be obtained from high-resolution images, whose quality strongly depends on an appropriate combination of experimental conditions: homogeneous UV illumination, optimal selection of the spectral channel, contrasting culture medium, and well-defined acquisition parameters. Under these conditions, it is possible to identify signals associated with subtle morphological variations, such as heterogeneity in the size of structures, intensity dispersion, the presence of small repetitive zones, or spatial variability in mycelial organization.
To determine the culture medium that allows for greater differentiation between A. flavus and A. parasiticus, the combinations with the highest number of significant differences in radiomic variables were identified, as shown in Table 3. The combination of A. parasiticus in malt extract agar presented the highest number of features with significant differences (five features), indicating a high radiomic contrast compared to other combinations. Although the focus of the article is on A. flavus, this pattern indicates that the malt extract agar medium is the most suitable for differentiating between the evaluated strains, as it allows for greater quantitative discrimination in the extracted features.

3.3. Validation and Performance of Radiomic Features in Strain Classification Models

With the aim of identifying the most suitable model to classify A. flavus versus A. parasiticus, five classification algorithms were evaluated: Logistic Regression, K-Nearest Neighbors (KNN), Random Forest (RF), Gradient Boosting (GB), and Support Vector Machines (SVM). The best performance was achieved by the SVM model with an RBF (Radial Basis Function) kernel, configured through grid search, using nine radiomic features selected by ANOVA, along with a categorical variable corresponding to the type of culture medium, which showed high statistical significance ( p < 0.001 ) for differentiating between the evaluated strains (Figure 14).
The SVM model achieved an accuracy of 97% on the test set, with an F1-score of 0.97 for both classes, reflecting a good balance between precision and sensitivity (Table 4). The confusion matrix in Figure 14a shows that only one of the 36 samples was misclassified. In five-fold stratified cross-validation, the model obtained a mean accuracy of 86% (±0.07), indicating good generalization capacity with a low risk of overfitting.
Regarding the other models evaluated, SVM consistently outperformed them, especially after hyperparameter optimization. This advantage can be attributed to its ability to model nonlinear decision boundaries in high-dimensional spaces, which is suitable for capturing complex patterns in the radiomic features.
Figure 14b shows the learning curve of the SVM model. A high accuracy on the training set (∼1.0) is observed, even with few data points, but there is a considerable gap compared to the validation curve (∼0.80), suggesting slight overfitting. However, the validation curve stabilizes with larger training sizes, indicating that the model improves its generalization ability as more data become available. The standard deviation bands are narrow, indicating consistency in performance across folds.
Models like Random Forest, KNN, and Gradient Boosting did not exceed the 80% accuracy threshold in cross-validation and exhibited greater variability. Meanwhile, logistic regression showed limitations in capturing non-linear relationships, which affected its discriminative power.
Complementary to the analysis based on images and AI algorithms, a supervised reduction and classification procedure was implemented in order to more explicitly illustrate the separation between Aspergillus strains. In the first stage, a Principal Component Analysis (PCA) was applied, which projected the complete set of radiomic descriptors into a two-dimensional space defined by the first two principal components, which together explained 63.5% of the total variance. This reduction allows for high-dimensional information to be condensed into a plane where the relative distribution of the samples reflects their textural similarities or differences.
In a second stage, and with the aim of quantifying the discriminative capacity, an independent Support Vector Machine (SVM) classifier was trained for each culture medium, using the PCA coordinates (PC1 and PC2) as input variables. This procedure generates a separation hyperplane specific to each medium, represented in Figure 15 by the solid black line, along with the ±1 margins (dashed lines). The colored regions reflect the decision areas of the classifier, while the points correspond to individual samples, coded by color (fungal strain) and by shape (culture medium). In addition, 95% confidence ellipses were included to delimit the dispersion within each group, facilitating the visual interpretation of variability.
The results show that the A. flavus and A. parasiticus strains tend to cluster separately in all media, although with different accuracy depending on the case (96.7% in MEA, 93.3% in OGY, 73.3% in CMA, 46.7% in YEA). This variability suggests that culture conditions influence the expressiveness of the descriptors, which is adequately captured by the model. The factor loadings analysis indicated that the main contributions to PC1 and PC2 come from textural descriptors derived from the GLSZM, GLRLM, GLCM, and GLDM matrices, as well as first-order metrics (interquartile range). This confirms that discrimination does not rely solely on chromatic differences, but on multichannel structural patterns.

4. Discussion

UV illumination (365 nm) induced an optical response sufficient to extract radiomic features sensitive to morphological variations between the analyzed strains of A. flavus and A. parasiticus, without requiring hyperspectral equipment [50]. This result is consistent with the findings of Jin et al. [51], who demonstrated that UV fluorescence can discriminate toxigenic strains of A. flavus, highlighting the value of this optical signal even in low-cost acquisition systems [52]. Likewise, the emission of light from fungal mycelium in the visible spectrum, induced by UV excitation, is often associated with the presence of secondary metabolites such as aflatoxins [32]. However, intrinsic autofluorescence signals may also occur in non-aflatoxigenic strains, such as the A. flavus ATCC 9643 used in this study [27]. In this context, the proposed method does not rely exclusively on secondary metabolites but instead leverages radiomic patterns derived directly from colony morphology under UV excitation.
The most relevant radiomic descriptors—identified based on their statistical significance through ANOVA—included a first-order metric and textures derived from matrices such as GLCM, GLDM, GLRLM, and GLSZM, reflecting different aspects of structural heterogeneity in fluorescence images. These features align with standardized methodological strategies for the quantitative characterization of biological structures. As highlighted by Rani et al. [53], attributes such as contrast, entropy, and homogeneity, together with morphogeometric parameters such as perimeter, circularity, elongation, and axis ratios [54], have demonstrated high discriminative power in machine learning-based classification tasks, including those applied to fungal analysis. In this article, several of these descriptors were extracted using radiomic techniques; however, not all met the assumptions of normality (Shapiro–Wilk) and homogeneity of variances between groups (Levene), limiting their inclusion in ANOVA. This lack of normality could be associated with the nonlinear nature of fluorescence patterns under UV radiation. Nevertheless, since this study included only one strain per species, it is not possible to attribute this variation to intraspecific differences. Although such descriptors were not selected in the parametric stage, their discriminative potential should not be dismissed, and future research could consider non-parametric statistical tests or dimensionality reduction approaches such as UMAP or t-SNE.
Moreover, as indicated by Lezcano et al. [55], A. flavus exhibits remarkable morphological plasticity in response to environmental and nutritional factors, where parameters such as color, texture, pigmentation, and the development of reproductive structures vary significantly depending on the culture medium. This observation is consistent with our results, where the culture media generated the greatest morphological variability detected, as evidenced through analysis of variance (ANOVA). Consistently, Atallah et al. [56] reported that MEA medium is useful for the qualitative differentiation of Aspergillus species. In contrast, our radiomic approach enabled the quantitative characterization of these differences, confirming MEA as a reference medium for obtaining distinguishable textural patterns in morphology-based classification analyses.
Recent studies have demonstrated the good performance of artificial intelligence models based on convolutional neural networks (CNN) for the automatic classification of microorganisms [57]. For example, Tsang et al. [23] achieved an accuracy of 99.35% when classifying images of Aspergillus spp. using ResNet-18, and Alnowaiser [58] developed MicrobeNet, a model combining weighted CNNs with feature selection based on PCA, chi-square, and ANOVA, reaching an accuracy of 99.97%. Although these approaches are highly effective, they tend to rely on feature transformations that may compromise the traceability of the model’s reasoning, particularly when the link to specific morphological descriptors is lost. As highlighted by [53], feature extraction and selection should balance model performance with an understanding of the variables involved, especially when working with morphological, textural, and differential attributes. In contrast, by applying ANOVA as the central methodology to identify statistically significant radiomic features without transforming them, traceability to the represented biological structures is maintained. This aspect is crucial in disciplines such as mycology or medicine, where decisions cannot rely solely on accuracy metrics but must instead use validated biomarkers and morphological relationships that are comprehensible to experts [59].
The metrics obtained in this study through radiomic analysis achieved an accuracy of 97% in the classification of the analyzed strains of A. flavus and A. parasiticus, even with a limited dataset, and without requiring deep architectures, which is remarkable compared to the requirements of more complex approaches such as that of Zhou et al. [60], whose CNN model, although showing high training and validation rates (95–96%), exhibited low generalization capacity (69.23% in testing), particularly in scenarios with small sample sizes. Similarly, although Ma et al. [61] achieved 99.7% accuracy using microscopic images and deep convolutional networks, their approach depends on stereoscopic microscopy and extensive databases, which limits its applicability in resource-constrained environments. In contrast, this phenotype-centered approach not only reduces reliance on advanced infrastructure but also outperforms traditional models, such as those by Haron et al. [62], where the use of PCA and supervised classifiers (kNN, SVM, SRC, IFkNCN, KSRC) reached a maximum of 80% accuracy with 162 images.
It is noteworthy that no previous studies have employed macroscopic images under UV illumination combined with radiomic descriptors and artificial intelligence algorithms for the classification of Aspergillus strains. Therefore, the accuracy values achieved in this work (up to 97% with only nine features) are not directly comparable to those obtained through microscopic images and deep learning models. Nevertheless, the proposed methodology offers notable advantages in terms of simplicity, cost, reproducibility, and practical applicability in real-world settings or embedded systems.
Nevertheless, some limitations of the present study must be acknowledged. The database size (120 images in total) may restrict the model’s generalization capacity. Another limitation is the dependence on the UV fluorescence channel, which, while useful for highlighting optical features of the colonies, can be influenced by external factors such as exposure, lens type, or illumination intensity. Relatedly, the current methodology was primarily designed for strains that exhibit emission in the visible range under UV excitation (365 nm); however, non-aflatoxigenic strains such as A. oryzae, which are phylogenetically close and morphologically similar to A. flavus but clearly diverge in secondary metabolism [6], may require specific system adaptations (white-light illumination, adjustments in acquisition, or segmentation in the visible spectrum). Likewise, the controlled acquisition and cultivation conditions, although necessary to reduce variability, limit the representation of real contamination scenarios. Nevertheless, this methodological choice enabled a rigorous characterization of radiomic patterns under UV radiation, avoiding interferences caused by natural fluorescence or by the physicochemical properties of the substrate [63,64]. In consequence, future work should validate this approach in contaminated food matrices and expand the dataset by incorporating multiple strains per species, as well as other toxigenic species, in order to strengthen the model’s generalization. We also aim to explore alternative color spaces (HSV, Lab, YCbCr), which could reveal additional radiomic patterns not detectable in RGB. To complement this, future studies could integrate radiomic analysis with deep learning models, such as hybrid convolutional neural networks (hybrid CNNs), using radiomic features as structured inputs or in intermediate layers, with the aim of enriching the automatically learned deep representations and optimizing classification. Furthermore, the incorporation of three-dimensional acquisition technologies, such as volumetric scanners, would allow for the inclusion of radiomic descriptors associated with thickness, surface topology, and the spatial organization of the mycelium, thereby broadening the spectrum of morphological information available for analysis.

5. Conclusions

This study demonstrated that radiomic analysis, when applied to images of fungal colonies under long-wave ultraviolet irradiation (UVA, 365 nm), constitutes an effective tool to quantitatively differentiate between Aspergillus flavus (ATCC 9643) and an isolate of A. parasiticus. The results showed that the culture medium exerts a significant effect on the variability of the descriptors, with Malt Extract Agar (MEA) and Yeast Extract Glucose Agar with Oxytetracycline (OGY) standing out as those that generated the most discriminant textural patterns and the highest classification accuracy. This observation is particularly relevant, as it suggests that the choice of medium can help reduce morphological overlap between closely related species, optimizing the performance of classification models.
Although only 2.21% of the features were statistically valid, this statistical refinement allowed for the identification of nine variables with high discriminative power and analytical stability. These variables mainly included textural descriptors derived from the GLSZM, GLRLM, GLCM, and GLDM matrices, as well as first-order metrics, confirming that differentiation relies not only on chromatic intensity but also on multichannel structural patterns. Additionally, the integration of PCA and SVM enabled the visual and quantitative representation of the differentiation between the strains across the different culture media.
The configuration of radiomic feature extraction was decisive: the use of minimal bin width values facilitated the capture of subtle patterns in high-resolution images under UV radiation (365 nm), resulting in higher statistical significance for textural variables specialized in small regions. This level of detail reduced class overlap and enhanced the discriminative capacity of the model, highlighting the importance of preserving image resolution in studies aimed at precise morphological characterization.
Finally, the application of ANOVA as a feature selection technique allowed for a reduction in the original set of 408 descriptors to only 9 key features, simplifying quantitative and visual interpretation. This approach, validated through SVM, revealed that although many texture metrics exhibit non-linear behaviors, they are fundamental for species discrimination when adequately projected into higher-dimensional spaces. In the future, the incorporation of a larger volume of standardized images and additional species will strengthen the model’s generalization capacity and consolidate its application in real diagnostic and control contexts.

Author Contributions

Conceptualization, supervision, funding acquisition, writing—original and draft preparation, O.J.S.; conceptualization, data curation, methodology, validation, writing—original, draft preparation and formal analysis, D.C.R.-A.; conceptualization, funding acquisition, methodology, and resources L.R.C.; image acquisition, data curation, software, writing—review and editing, M.G.F.; funding acquisition, writing—review and editing, J.A.M.-H. and A.E.R.-M. All authors have read and agreed to the published version of the manuscript.

Funding

This research was funded by University of Pamplona under the internal call “Banco de Proyectos 2024” through the project titled “Development of a device for the detection and quantification of aflatoxins in rice through fluorescence emission, using AIoT technology,” registered under the sponsorship code 400-156.012-166 (GA315-BP-2024). This project is linked to the Automation and Control Research Group and the Microbiology and Biotechnology Research Group (GIMBIO).

Institutional Review Board Statement

Not applicable.

Informed Consent Statement

Not applicable.

Data Availability Statement

The data presented in this study are available upon request to the corresponding author. The data are not available to the public because they are preliminary results of an ongoing research project carried out in collaboration between Universidad de Pamplona, Universidad de Ibague and Tecnológico Nacional de México campus Chihuahua. Furthermore, this information will be used in future technological developments and will be subject to intellectual property protection.

Conflicts of Interest

The authors declare no conflicts of interest.

References

  1. Sissinto, Y.; Mintognissè, J.; Hilarion, U. A silent killer in the word: Review on Aspergillus flavus strains. Toxicon 2025, 255, 108225. [Google Scholar] [CrossRef] [PubMed]
  2. Gangurde, S.S.; Korani, W.; Bajaj, P.; Wang, H.; Fountain, J.C.; Agarwal, G.; Pandey, M.K.; Abbas, H.K.; Chang, P.; Holbrook, C.C.; et al. Aspergillus flavus pangenome (AflaPan) uncovers novel aflatoxin and secondary metabolite associated gene clusters. BMC Plant Biol. 2024, 24, 354. [Google Scholar] [CrossRef] [PubMed]
  3. Tsang, C.; Tang, J.; Lau, S.; Woo, P. Taxonomy and evolution of Aspergillus, Penicillium and Talaromyces in the omics era—Past, present and future. Comput. Struct. Biotechnol. J. 2018, 16, 197–210. [Google Scholar] [CrossRef] [PubMed]
  4. Steenwyk, J.L.; Balamurugan, C.; Raja, H.A.; Gonçalves, C.; Li, N.; Martin, F.; Berman, J.; Oberlies, N.H.; Gibbons, J.G.; Goldman, G.H.; et al. Phylogenomics reveals extensive misidentification of fungal strains from the genus Aspergillus. Microbiol. Spectr. 2024, 12, e03980-23. [Google Scholar] [CrossRef]
  5. Plascencia, A.; Almada, M. Las aflatoxinas, un tóxico que continúa presente en los alimentos y sus efectos biológicos en los humanos y en los animales. TIP Rev. Espec. Cienc.-QuíMico-BiolóGicas 2023, 26, 1–16. [Google Scholar] [CrossRef]
  6. Suleiman, W. A multi-aspect analysis of two analogous Aspergillus spp. belonging to section Flavi: Aspergillus flavus and Aspergillus oryzae. BMC Microbiol. 2023, 23, 71. [Google Scholar] [CrossRef]
  7. El-Dawy, E.; Gherbawy, Y.; Hussein, M. Characterization of Aspergillus section Flavi associated with stored grains. Mycotoxin Res. 2024, 40, 187–202. [Google Scholar] [CrossRef]
  8. Rodríguez, G.; Vargas, J.; López, J.; Pérez, J. Diversidad de morfotipos de hongos ectomicorrizógenos y adaptación al hospedero en poblaciones contrastantes de Pinus greggii var. australis (Pinaceae). Acta Bot. Mex. 2024, 131, e2151. [Google Scholar] [CrossRef]
  9. Rudhra, O.; Gnanam, H.; Sivaperumal, S.; Namperumalsamy, V.; Prajna, L.; Kuppamuthu, D. Melanin depletion affects Aspergillus flavus conidial surface proteins, architecture, and virulence. Appl. Microbiol. Biotechnol. 2024, 108, 291. [Google Scholar] [CrossRef]
  10. Gachara, G.; Suleiman, R.; Kilima, B.; Taoussi, M.; Kadili, S.E.; Fauconnier, M.L.; Barka, E.A.; Vujanovic, V.; Lahlali, R. Pre- and post-harvest aflatoxin contamination and management strategies of Aspergillus spoilage in East African Community maize: Review of etiology and climatic susceptibility. Mycotoxin Res. 2024, 40, 495–517. [Google Scholar] [CrossRef]
  11. Katati, B.; Kovács, S.; Njapau, H.; Kachapulula, P.W.; Zwaan, B.J.; van Diepeningen, A.D.; Schoustra, S.E. Maize Aspergillus section Flavi isolate diversity may be distinct from that of soil and subsequently the source of aflatoxin contamination. Mycotoxin Res. 2024, 40, 351–367. [Google Scholar] [CrossRef]
  12. Mahata, P.; Dass, R.; Pan, A.; Muthusamy, B. Substantive Morphological Descriptions, Phylogenetic Analysis and Single Nucleotide Polymorphisms of Aspergillus Species From Foeniculum vulgare. Front. Microbiol. 2022, 13, 832320. [Google Scholar] [CrossRef]
  13. Raja, H.; Miller, A.; Pearce, C.; Oberlies, N. Fungal Identification Using Molecular Tools: A Primer for the Natural Products Research Community. J. Nat. Prod. 2017, 80, 756–770. [Google Scholar] [CrossRef]
  14. Alvarenga, A.; Martínez, E.; Viay, M.; Lara, J.; Badillo, E.; Olivas, A. Aspergillus aflatoxigénicos: Enfoque taxonómico actual. Rev. Mex. Cienc. AgríColas 2018, 3, 1047–1052. [Google Scholar] [CrossRef][Green Version]
  15. Balajee, S.; Houbraken, J.; Verweij, P.E.; Hong, S.-B.; Yaghuchi, T.; Varga, J.; Samson, R.A. Aspergillus species identification in the clinical setting. Stud. Mycol. 2007, 59, 39–46. [Google Scholar] [CrossRef]
  16. Qi, G.; Hao, L.; Xin, T.; Gan, Y.; Lou, Q.; Xu, W.; Song, J. Analysis of Whole-Genome facilitates rapid and precise identification of fungal species. Front. Microbiol. 2024, 15, 1336143. [Google Scholar] [CrossRef]
  17. Parra, C.; Quiroga, G.; Giménez, A.; Flores, E. Rice-generated Aspergillus spp., Aflatoxin b1, its detection and quantification by fluorometric and hplc methods. Rev. Boliv. QuíMica 2018, 35, 134–145. [Google Scholar]
  18. Kılıç, C.; İnner, B. A novel method for non-invasive detection of aflatoxin contaminated dried figs with deep transfer learning approach. Ecol. Inform. 2022, 70, 101728. [Google Scholar] [CrossRef]
  19. Camperos, J.; Jaramillo, H.; Gómez, G. Técnicas de procesamiento digital de imágenes para detección de plagas y enfermedades en cultivos: Una revisión. Ing. Compet. 2021, 24, 1–17. [Google Scholar] [CrossRef]
  20. Palacio, A.D.; Pan, D. Occurrence and toxigenic potential of Aspergillus section Flavi on wheat and sorghum silages in Uruguay. Mycology 2020, 11, 147–157. [Google Scholar] [CrossRef] [PubMed]
  21. Kjærbølling, I.; Vesth, T.; Frisvad, J.C.; Nybo, J.L.; Theobald, S.; Kildgaard, S.; Petersen, T.I.; Kuo, A.; Sato, A.; Lyhne, E.K.; et al. A comparative genomics study of 23 Aspergillus species from section Flavi. Nat. Commun. 2020, 11, 1106. [Google Scholar] [CrossRef]
  22. Kulik, M.; Johnson, R. Feasibility of Characterizing Spore Color in Aspergilli by Reflectance Spectrophotometry. Mycologia 1969, 61, 1142–1148. [Google Scholar] [CrossRef]
  23. Tsang, C.; Zhao, C.; Liu, Y.; Lin, K.P.K.; Tang, J.Y.M.; Cheng, K.; Chow, F.W.N.; Yao, W.; Chan, K.; Poon, S.N.L.; et al. Automatic identification of clinically important Aspergillus species by artificial intelligence-based image recognition: Proof-of-concept study. Emerg. Microbes Infect. 2024, 14, 2434573. [Google Scholar] [CrossRef]
  24. Zieliński, B.; Sroka-Oleksiak, A.; Rymarczyk, D.; Piekarczyk, A.; Brzychczy-Włoch, M. Deep learning approach to describe and classify fungi microscopic images. PLoS ONE 2020, 15, e0234806. [Google Scholar] [CrossRef] [PubMed]
  25. Huang, T.; Wang, K.; Ye, X.; Chen, C.; Chang, F. Attention-Guided Transfer Learning for Identification of Filamentous Fungi Encountered in the Clinical Laboratory. Microbiol. Spectr. 2023, 11, e04611-22. [Google Scholar] [CrossRef]
  26. Guo, X.; Liu, Y.; Gu, Z.; Xie, X.; Wang, Y. Evaluation of Aspergillus flavus Growth and Detection of Aflatoxin B1 Content on Maize Agar Culture Medium Using Vis/NIR Hyperspectral Imaging. Agriculture 2023, 13, 237. [Google Scholar] [CrossRef]
  27. Jung, K.; Kim, H.; Lee, J.; Ganbat, D.; Lee, S. Biocontrol of Aflatoxin-Producing Aspergillus flavus ATCC 22546 by a Non-Aflatoxigenic Aspergillus flavus ATCC 9643. Appl. Sci. 2024, 14, 6142. [Google Scholar] [CrossRef]
  28. Arevabini, C.; Jimenez, C.; Pico, C.; Rodríguez, J.; Norte, M. Antifungal Activity of Metabolites from the Marine Sponges Amphimedon sp. and Monanchora arbuscula against Aspergillus flavus Strains Isolated from Peanuts (Arachis hypogaea). Nat. Prod. Commun. 2014, 9, 1934578X1400900111. [Google Scholar] [CrossRef]
  29. Kumeda, Y.; Asao, T. Single-strand conformation polymorphism analysis of PCR-amplified ribosomal DNA internal transcribed spacers to differentiate species of Aspergillus section Flavi. Appl. Environ. Microbiol. 1996, 62, 2947–2952. [Google Scholar] [CrossRef]
  30. García-Cela, E.; Marin, S.; Sanchis, V.; Crespo-Sempere, A.; Ramos, A.J. Effect of ultraviolet radiation A and B on growth and mycotoxin production by Aspergillus carbonarius and Aspergillus parasiticus in grape and pistachio media. Fungal Biol. 2015, 119, 67–78. [Google Scholar] [CrossRef]
  31. Rahman, M.; Selamat, J.; Shaari, K.; Ahmad, S.; Samsudin, N. Extrolites from nonaflatoxigenic Aspergillus flavus: Potentials and challenges as emerging control strategy against Aspergillus flavus infection and aflatoxin contamination. Curr. Opin. Food Sci. 2024, 59, 101214. [Google Scholar] [CrossRef]
  32. Sharma, A.; Kumar, A.; Rijal, R. Phylogenetic studies and distinction of aflatoxin-producing Aspergillus species in section Flavi, Ochraceorosei and Nidulantes: A review. Gene 2025, 937, 149151. [Google Scholar] [CrossRef] [PubMed]
  33. Okoth, S.; Nyongesa, B.; Ayugi, V.; Kang’ethe, E.; Korhonen, H.; Joutsjoki, V. Toxigenic Potential of Aspergillus Species Occurring on Maize Kernels from Two Agro-Ecological Zones in Kenya. Toxins 2012, 4, 991–1007. [Google Scholar] [CrossRef] [PubMed]
  34. Han, D.; Baek, J.; Choi, D.; Jeon, M.; Eyun, S.; Jeon, C. Comparative pangenome analysis of Aspergillus flavus and Aspergillus oryzae reveals their phylogenetic, genomic, and metabolic homogeneity. Food Microbiol. 2024, 119, 104435. [Google Scholar] [CrossRef] [PubMed]
  35. Griethuysen, J.V.; Fedorov, A.; Parmar, C.; Hosny, A.; Aucoin, N.; Narayan, V.; Beets-Tan, R.G.H.; Fillion-Robin, J.; Pieper, S.; Aerts, H.J.W.L. Computational Radiomics System to Decode the Radiographic Phenotype. Cancer Res. 2017, 77, e104–e107. [Google Scholar] [CrossRef] [PubMed]
  36. Serrano, E.; Moreno, J.; Llull, L.; Rodríguez, A.; Zwanzger, C.; Amaro, S.; Oleaga, L.; López-Rueda, A. Clasificadores de aprendizaje supervisado no lineales basados en radiómica de la TC cerebral sin contraste para predecir el pronóstico funcional en pacientes con hematoma intracerebral espontáneo. Radiología 2023, 65, 519–530. [Google Scholar] [CrossRef]
  37. Daba, H.; Delele, M.; Fanta, S.; Habtu, N.; Abera, M. Impact of traditional processing conditions and methods on the aflatoxin content of cooked maize. Cogent Food Agric. 2024, 10, 2297516. [Google Scholar] [CrossRef]
  38. Tang, Y.; Liu, X.; Zhou, W.; Qin, X. Interpretable Machine Learning Model Based on Superb Microvascular Imaging for Non-Invasive Determination of Crescent Status of IgAN. J. Inflamm. Res. 2024, 17, 5943–5955. [Google Scholar] [CrossRef]
  39. Suzuki, S.; Be, K. Topological structural analysis of digitized binary images by border following. Comput. Vision Graph. Image Process. 1985, 30, 32–46. [Google Scholar] [CrossRef]
  40. Otsu, N. A Threshold Selection Method from Gray-Level Histograms. IEEE Trans. Syst. Man Cybern. 1979, 9, 62–66. [Google Scholar] [CrossRef]
  41. Liu, X.; Zhang, Z.; Hao, Y.; Zhao, H.; Yang, Y. Optimized OTSU Segmentation Algorithm-Based Temperature Feature Extraction Method for Infrared Images of Electrical Equipment. Sensors 2024, 24, 1126. [Google Scholar] [CrossRef]
  42. Han, Z.; Fu, B.; Fang, Z.; Li, Y.; Li, J.; Jiang, N.; Chen, G. Dynahead-YOLO-Otsu: An efficient DCNN-based landslide semantic segmentation method using remote sensing images. Geomat. Nat. Hazards Risk 2024, 15, 2398103. [Google Scholar] [CrossRef]
  43. Guo, Z.; Zhang, J.; Dong, H.; Sun, J.; Huang, J.; Li, S.; Ma, C.; Guo, Y.; Sun, X. Spatio-temporal distribution patterns and quantitative detection of aflatoxin B1 and total aflatoxin in peanut kernels explored by short-wave infrared hyperspectral imaging. Food Chem. 2023, 424, 136441. [Google Scholar] [CrossRef] [PubMed]
  44. Suarez, O.; Macias-Garcia, E.; Vega, C.; Peñaloza, Y.; Díaz, N.; Garrido, V. Design of a segmentation and classification system for seed detection based on pixel intensity thresholds and convolutional neural networks. In Applications of Computational Intelligence; Communications in Computer and Information Science; Springer: Berlin/Heidelberg, Germany, 2023; Volume 1746, pp. 1–17. [Google Scholar]
  45. Sobral, A.; Vacavant, A. A comprehensive review of background subtraction algorithms. Pattern Recognit. Lett. 2014, 37, 3–14. [Google Scholar] [CrossRef]
  46. Wang, Z.; An, T.; Wang, W.; Fan, S.; Chen, L.; Tian, X. Qualitative and quantitative detection of aflatoxins B1 in maize kernels with fluorescence hyperspectral imaging based on the combination method of boosting and stacking. Spectrochim. Acta Part Mol. Biomol. Spectrosc. 2023, 296, 122679. [Google Scholar] [CrossRef]
  47. Celik, N. Robust post-hoc multiple comparisons: Skew t distributed error terms. Rev. Colomb. Estadística-Appl. Stat. 2022, 45, 363–372. [Google Scholar] [CrossRef]
  48. Molina, M. El problema de las comparaciones múltiples. Pediatría Atención Primaria 2014, 16, 367–370. [Google Scholar] [CrossRef]
  49. Iglesias-Hoyos, S.; Arreola, A.d.; Muñoz-Delgado, J. Reconocimiento facial de expresión emocional: Diferencias por licenciaturas. Acta Investig. Psicológica 2016, 6, 2494–2499. [Google Scholar] [CrossRef]
  50. Oliveira, B.; Marques, A.; Asif, M.; Crespo, M.; Pereira, V. Light-emitting diodes effect on Aspergillus species in filtered surface water: DNA damage, proteome response and potential reactivation. Environ. Pollut. 2021, 287, 117553. [Google Scholar] [CrossRef]
  51. Jin, J.; Tang, L.; Hruska, Z.; Yao, H. Classification of toxigenic and atoxigenic strains of Aspergillus flavus with hyperspectral imaging. Comput. Electron. Agric. 2009, 69, 158–164. [Google Scholar] [CrossRef]
  52. Yao, H.; Zhu, F.; Kincaid, R.; Hruska, Z.; Rajasekaran, K. A low-cost, portable device for detecting and sorting aflatoxin-contaminated maize kernels. Toxins 2023, 15, 197. [Google Scholar] [CrossRef]
  53. Rani, P.; Kotwal, S.; Manhas, J.; Sharma, V.; Sharma, S. Machine Learning and Deep Learning Based Computational Approaches in Automatic Microorganisms Image Recognition: Methodologies, Challenges, and Developments. Arch. Comput. Methods Eng. 2022, 29, 1801–1837. [Google Scholar] [CrossRef]
  54. Stiller, S.; Dueñas, J.; Hempel, S.; Rillig, M.; Ryo, M. Deep learning image analysis for filamentous fungi taxonomic classification: Dealing with small datasets with class imbalance and hierarchical grouping. Biol. Methods Protoc. 2024, 9, bpae063. [Google Scholar] [CrossRef]
  55. Lezcano, J.; Martínez, B.; Alonso, O. Caracterización cultural y morfológica e identificación de especies de Aspergillus asociadas a semillas de Leucaena leucocephala cv. Perú. Pastos Forrajes 2015, 38, 176–181. [Google Scholar]
  56. Atallah, O.; Mazrou, Y.; Atia, M.; Nehela, Y.; Abdelrhim, A.; Nader, M. Polyphasic Characterization of Four Aspergillus Species as Potential Biocontrol Agents for White Mold Disease of Bean. J. Fungi 2022, 8, 626. [Google Scholar] [CrossRef] [PubMed]
  57. Mansourvar, M.; Charylo, K.; Frandsen, R.; Brewer, S.; Hoof, J. Automated Fungal Identification with Deep Learning on Time-Lapse Images. Information 2025, 16, 109. [Google Scholar] [CrossRef]
  58. Alnowaiser, K. MicrobeNet: An Automated Approach for Microbe Organisms Prediction Using Feature Fusion and Weighted CNN Model. Int. J. Comput. Intell. Syst. 2025, 18, 55. [Google Scholar] [CrossRef]
  59. Ali, M.; Benfante, V.; Basirinia, G.; Alongi, P.; Sperandeo, A.; Quattrocchi, A.; Giannone, A.G.; Cabibi, D.; Yezzi, A.; Di Raimondo, D.; et al. Applications of Artificial Intelligence, Deep Learning, and Machine Learning to Support the Analysis of Microscopic Images of Cells and Tissues. J. Imaging 2025, 11, 59. [Google Scholar] [CrossRef]
  60. Zhou, Y.; Feng, Y.; Zhang, H. Human fungal infection image classification based on convolutional neural network. In Image and Graphics Technologies and Applications (IGTA 2019); Ser. Communications in Computer and Information Science; Springer: Singapore, 2019; Volume 104, pp. 1–12. [Google Scholar] [CrossRef]
  61. Ma, H.; Yang, J.; Chen, X.; Jiang, X.; Su, Y.; Qiao, S.; Zhong, G. Deep convolutional neural network: A novel approach for the detection of Aspergillus fungi via stereomicroscopy. J. Microbiol. 2021, 59, 563–572. [Google Scholar] [CrossRef]
  62. Radzuan, N.; Jaafar, H.; Nasir, A. An identification of Aspergillus species: A comparison on supervised classification methods. In Proceedings of the 12th National Technical Seminar on Unmanned System Technology (NUSYS’22), Kuala Lumpur, Malaysia, 24–25 October; Ser. Lecture Notes in Electrical Engineering. Springer: Singapore, 2022; Volume 770, pp. 965–977. [Google Scholar] [CrossRef]
  63. Xie, H.; Wang, X.; Hooft, J.J.J.v.; Medema, M.H.; Chen, Z.; Yue, X.; Zhang, Q.; Li, P. Fungi population metabolomics and molecular network study reveal novel biomarkers for early detection of aflatoxigenic Aspergillus species. J. Hazard. Mater. 2022, 424, 127173. [Google Scholar] [CrossRef]
  64. Nofiyanti, S.; Ahmad, U.; Tondok, E.; Widodo, S. Fluorescence Imaging as a Non-Destructive Method for Aflatoxin Detection in Corn Kernels: Recent Advances and Challenges. J. Tek. Pertan. Lampung (J. Agric. Eng.) 2025, 14, 714. [Google Scholar] [CrossRef]
Figure 1. Image acquisition system with UV illumination (365 nm).
Figure 1. Image acquisition system with UV illumination (365 nm).
Agriculture 15 01888 g001
Figure 2. Images of the RGB color channels and their corresponding histograms of A. flavus on four different media under UV illumination (365 nm): (a) coconut milk agar (CMA); (b) oxytetracycline glucose yeast extract agar (OGY); (c) malt extract agar (MEA); (d) yeast extract agar (YEA).
Figure 2. Images of the RGB color channels and their corresponding histograms of A. flavus on four different media under UV illumination (365 nm): (a) coconut milk agar (CMA); (b) oxytetracycline glucose yeast extract agar (OGY); (c) malt extract agar (MEA); (d) yeast extract agar (YEA).
Agriculture 15 01888 g002
Figure 3. Visualization of the binarized blue channel on four different media under UV illumination (365 nm): (a) coconut milk agar (CMA); (b) oxytetracycline glucose yeast extract agar (OGY); (c) malt extract agar (MEA); (d) yeast extract agar (YEA).
Figure 3. Visualization of the binarized blue channel on four different media under UV illumination (365 nm): (a) coconut milk agar (CMA); (b) oxytetracycline glucose yeast extract agar (OGY); (c) malt extract agar (MEA); (d) yeast extract agar (YEA).
Agriculture 15 01888 g003
Figure 4. Contour detection and generation of the region of interest (ROI) mask based on blue-channel binarization in four culture media under UV illumination (365 nm). A red circle outlines the Petri dish contour, bounded by green rectangles representing the initial enclosure and its reduced adjustment. The binary masks in the second row, generated from the reduced adjustment, show the ROI in white and the background in black. (a) coconut milk agar (CMA); (b) oxytetracycline glucose yeast extract agar (OGY); (c) malt extract agar (MEA); (d) yeast extract agar (YEA).
Figure 4. Contour detection and generation of the region of interest (ROI) mask based on blue-channel binarization in four culture media under UV illumination (365 nm). A red circle outlines the Petri dish contour, bounded by green rectangles representing the initial enclosure and its reduced adjustment. The binary masks in the second row, generated from the reduced adjustment, show the ROI in white and the background in black. (a) coconut milk agar (CMA); (b) oxytetracycline glucose yeast extract agar (OGY); (c) malt extract agar (MEA); (d) yeast extract agar (YEA).
Agriculture 15 01888 g004
Figure 5. Background removal and cropping of the region of interest in four different media under UV illumination (365 nm): (a) agar leche de coco (CMA); (b) agar oxitetraciclina-glucosa-extracto de levadura (OGY); (c) agar extracto de malta (MEA); (d) agar extracto de levadura (YEA).
Figure 5. Background removal and cropping of the region of interest in four different media under UV illumination (365 nm): (a) agar leche de coco (CMA); (b) agar oxitetraciclina-glucosa-extracto de levadura (OGY); (c) agar extracto de malta (MEA); (d) agar extracto de levadura (YEA).
Agriculture 15 01888 g005
Figure 6. Histogram of the blue channel and Otsu threshold point in four different media under UV illumination (365 nm): (a) coconut milk agar (CMA); (b) oxytetracycline glucose yeast extract agar (OGY); (c) malt extract agar (MEA); (d) yeast extract agar (YEA).
Figure 6. Histogram of the blue channel and Otsu threshold point in four different media under UV illumination (365 nm): (a) coconut milk agar (CMA); (b) oxytetracycline glucose yeast extract agar (OGY); (c) malt extract agar (MEA); (d) yeast extract agar (YEA).
Agriculture 15 01888 g006
Figure 7. First row shows the result of combining Otsu thresholding and edge detection using the Canny method; second row presents the image generated from the subtraction between the channels; third row corresponds to the binary representation obtained from the subtraction between the two previous images; and fourth row shows the result after applying morphological closing to four different media under UV illumination (365 nm): (a) coconut milk agar (CMA); (b) oxytetracycline glucose yeast extract agar (OGY); (c) malt extract agar (MEA); (d) yeast extract agar (YEA).
Figure 7. First row shows the result of combining Otsu thresholding and edge detection using the Canny method; second row presents the image generated from the subtraction between the channels; third row corresponds to the binary representation obtained from the subtraction between the two previous images; and fourth row shows the result after applying morphological closing to four different media under UV illumination (365 nm): (a) coconut milk agar (CMA); (b) oxytetracycline glucose yeast extract agar (OGY); (c) malt extract agar (MEA); (d) yeast extract agar (YEA).
Agriculture 15 01888 g007
Figure 8. Application of the binary mask used for fungal segmentation and the RGB histogram of the Region of Interest (RoI) in four different culture media under UV illumination (365 nm): (a) coconut milk agar (CMA); (b) oxytetracycline glucose yeast extract agar (OGY); (c) malt extract agar (MEA); (d) yeast extract agar (YEA).
Figure 8. Application of the binary mask used for fungal segmentation and the RGB histogram of the Region of Interest (RoI) in four different culture media under UV illumination (365 nm): (a) coconut milk agar (CMA); (b) oxytetracycline glucose yeast extract agar (OGY); (c) malt extract agar (MEA); (d) yeast extract agar (YEA).
Agriculture 15 01888 g008
Figure 9. Workflow for radiomic feature extraction.
Figure 9. Workflow for radiomic feature extraction.
Agriculture 15 01888 g009
Figure 10. Flowchart of the methodological procedure for the acquisition, processing, and analysis of radiomic images of A. flavus.
Figure 10. Flowchart of the methodological procedure for the acquisition, processing, and analysis of radiomic images of A. flavus.
Agriculture 15 01888 g010
Figure 11. Radiomic features that met the criteria for normality and homogeneity of variance, extracted from colonies of A. flavus and A. parasiticus grown in four different media under UV lighting.
Figure 11. Radiomic features that met the criteria for normality and homogeneity of variance, extracted from colonies of A. flavus and A. parasiticus grown in four different media under UV lighting.
Agriculture 15 01888 g011
Figure 12. Heatmap green of statistical significance (p-values) of the main effects and their interaction on radiomic features evaluated using two-way ANOVA.
Figure 12. Heatmap green of statistical significance (p-values) of the main effects and their interaction on radiomic features evaluated using two-way ANOVA.
Agriculture 15 01888 g012
Figure 13. Scatter plots showing the interaction between the type of fungus (A. flavus and A. parasiticus) and the culture medium (CMA, OGY, MEA, YEA) for radiomic characteristics with statistical significance. The error bars represent the standard error of the mean (SEM).
Figure 13. Scatter plots showing the interaction between the type of fungus (A. flavus and A. parasiticus) and the culture medium (CMA, OGY, MEA, YEA) for radiomic characteristics with statistical significance. The error bars represent the standard error of the mean (SEM).
Agriculture 15 01888 g013
Figure 14. (a) Confusion matrix of the SVM model trained with nine radiomic variables selected by ANOVA, along with the categorical variable of the culture medium. (b) Learning curve of the SVM model.
Figure 14. (a) Confusion matrix of the SVM model trained with nine radiomic variables selected by ANOVA, along with the categorical variable of the culture medium. (b) Learning curve of the SVM model.
Agriculture 15 01888 g014
Figure 15. PCA of Aspergillus strains on the first two components. Each subplot shows a different culture medium, with strains differentiated by color and separated using SVM. A 95% confidence ellipse is constructed from the PC1-PC2 covariance matrix (its center coincides with the mean; its orientation reflects the correlation between PC1 and PC2).
Figure 15. PCA of Aspergillus strains on the first two components. Each subplot shows a different culture medium, with strains differentiated by color and separated using SVM. A 95% confidence ellipse is constructed from the PC1-PC2 covariance matrix (its center coincides with the mean; its orientation reflects the correlation between PC1 and PC2).
Agriculture 15 01888 g015
Table 1. Standard deviation of the histograms of each channel in the different culture media.
Table 1. Standard deviation of the histograms of each channel in the different culture media.
Culture MediumRGB
CMA8.27030.88636.762
OGY4.95218.09334.762
MEA10.77619.28832.054
YEA14.36932.63333.804
Table 2. Tukey multiple comparisons for discriminant characteristics.
Table 2. Tukey multiple comparisons for discriminant characteristics.
ChannelTextureCharacteristicSignificant
Comparisons
GGLSZMSizeZoneNonUniformity23
GrayFirst-orderInterquartileRange21
GrayGLSZMSizeZoneNonUniformity19
GrayGLRLMGrayLevelNonUniformityNormalized18
RGLDMDependenceVariance17
BGLSZMSmallAreaEmphasis17
GGLSZMZonePercentage16
GGLSZMGrayLevelNonUniformity13
BGLCMImc14
Table 3. Radiomic variables with the highest mean per group and the highest number of significant differences in Tukey’s multiple comparison.
Table 3. Radiomic variables with the highest mean per group and the highest number of significant differences in Tukey’s multiple comparison.
ChannelTextureFeatureGroup (Highest Mean)N° Sig.
GreenGLSZMGrayLevelNonUniformityA. parasiticus_MEA7
GreenGLSZMSizeZoneNonUniformityA. parasiticus_MEA7
GrayGLSZMSizeZoneNonUniformityA. parasiticus_MEA7
GreenGLSZMZonePercentageA. parasiticus_MEA6
BlueGLSZMSmallAreaEmphasisA. flavus_MFA5
GrayFirst-orderInterquartileRangeA. flavus_OGY5
GrayGLRLMGLNUNA. flavus_YEA5
RedGLDMDependenceVarianceA. parasiticus_CMA4
BlueGLCMImc1A. parasiticus_MEA4
Table 4. Classification report of the SVM model.
Table 4. Classification report of the SVM model.
ClassAccuracyRecallF1-ScoreSupport
A. parasiticus1.000.940.9718
A. flavus0.951.000.9718
Accuracy 0.9736
Macro avg0.970.970.9736
Weighted avg0.970.970.9736
Cross-validation (5 folds)0.86 ± 0.07
Disclaimer/Publisher’s Note: The statements, opinions and data contained in all publications are solely those of the individual author(s) and contributor(s) and not of MDPI and/or the editor(s). MDPI and/or the editor(s) disclaim responsibility for any injury to people or property resulting from any ideas, methods, instructions or products referred to in the content.

Share and Cite

MDPI and ACS Style

Suarez, O.J.; Ruiz-Ayala, D.C.; Rojas Contreras, L.; Forero, M.G.; Medrano-Hermosillo, J.A.; Rodriguez-Mata, A.E. Morphological Characterization of Aspergillus flavus in Culture Media Using Digital Image Processing and Radiomic Analysis Under UV Radiation. Agriculture 2025, 15, 1888. https://doi.org/10.3390/agriculture15171888

AMA Style

Suarez OJ, Ruiz-Ayala DC, Rojas Contreras L, Forero MG, Medrano-Hermosillo JA, Rodriguez-Mata AE. Morphological Characterization of Aspergillus flavus in Culture Media Using Digital Image Processing and Radiomic Analysis Under UV Radiation. Agriculture. 2025; 15(17):1888. https://doi.org/10.3390/agriculture15171888

Chicago/Turabian Style

Suarez, Oscar J., Daniel C. Ruiz-Ayala, Liliana Rojas Contreras, Manuel G. Forero, Jesús A. Medrano-Hermosillo, and Abraham Efraim Rodriguez-Mata. 2025. "Morphological Characterization of Aspergillus flavus in Culture Media Using Digital Image Processing and Radiomic Analysis Under UV Radiation" Agriculture 15, no. 17: 1888. https://doi.org/10.3390/agriculture15171888

APA Style

Suarez, O. J., Ruiz-Ayala, D. C., Rojas Contreras, L., Forero, M. G., Medrano-Hermosillo, J. A., & Rodriguez-Mata, A. E. (2025). Morphological Characterization of Aspergillus flavus in Culture Media Using Digital Image Processing and Radiomic Analysis Under UV Radiation. Agriculture, 15(17), 1888. https://doi.org/10.3390/agriculture15171888

Note that from the first issue of 2016, this journal uses article numbers instead of page numbers. See further details here.

Article Metrics

Back to TopTop