Drought Evolution in the Yangtze and Yellow River Basins and Its Dual Impact on Ecosystem Carbon Sequestration
Abstract
1. Introduction
2. Materials and Methods
2.1. Study Area
2.2. Data Sources
2.3. Methods
- (1)
- Calculation of Drought Index
- (2)
- Identification of Drought Characteristics
- (3)
- Ecosystem Carbon Sequestration (CS) Estimation
- (4)
- Quantification of the Relationship Between Drought and CS
- (5)
- Trend Analysis
3. Results
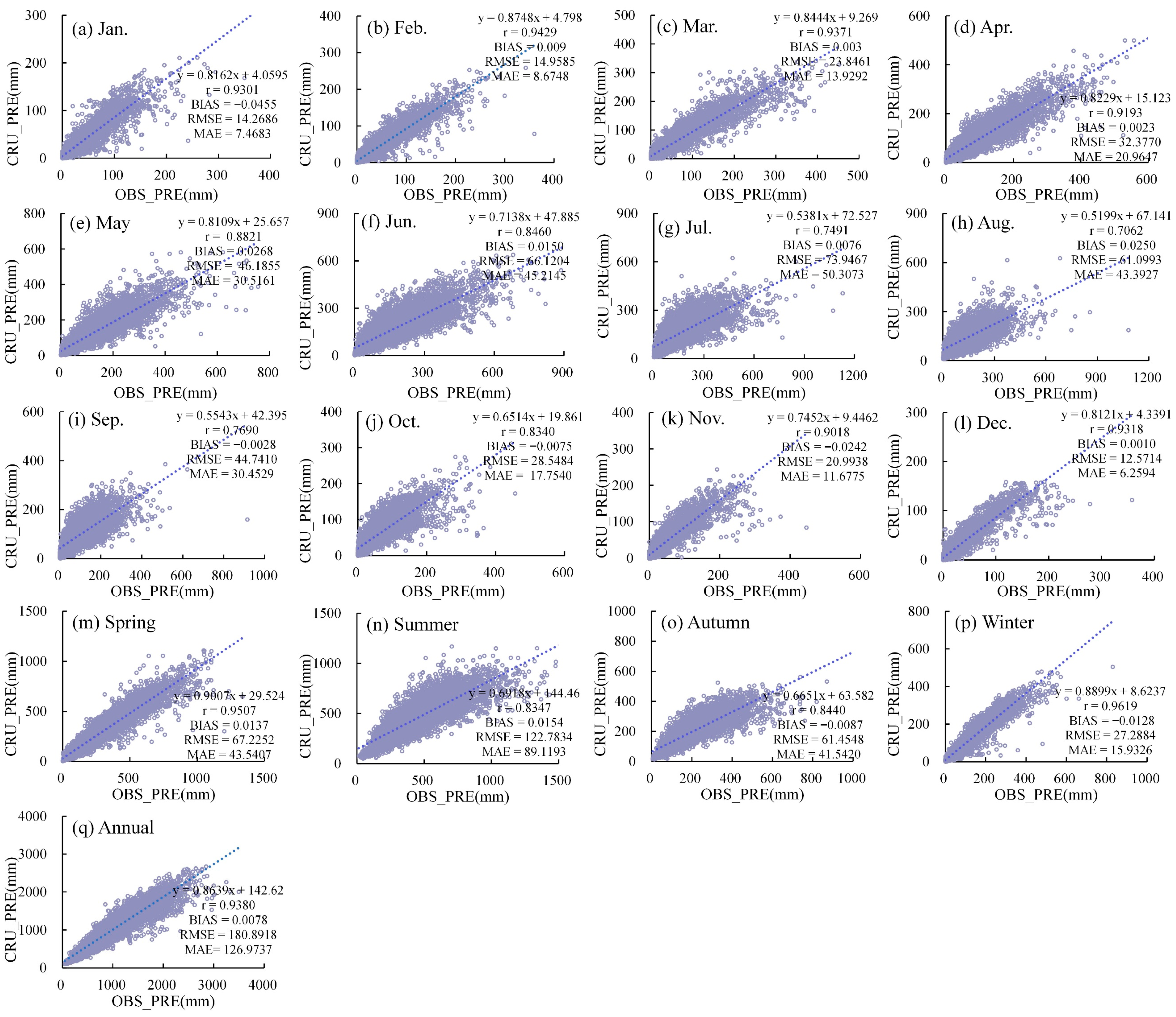
3.1. Applicability of CRU TS Data
3.1.1. Accuracy Evaluation of CRU Data at Different Time Scales
3.1.2. SPEI Characterization of Drought Capacity Based on CRU Data
3.1.3. Spatiotemporal Variation in Precipitation and Temperature
3.2. Analysis of Multi-Timescale Drought and Its Characteristics over the Past 61 Years
3.2.1. Evolution of Drought at Different Timescales
3.2.2. Analysis of Drought Characteristics
3.3. Impact of Drought on Ecosystem Carbon Sequestration at City–County–Pixel Scales
4. Discussion
4.1. Comparison of CRU Data Suitability
4.2. Comparative Analysis of Drought Trends in the Past 61 Years
4.3. Nonlinear Impact of Drought on Ecosystem Carbon Sequestration
4.4. Limitations
5. Conclusions
Supplementary Materials
Author Contributions
Funding
Institutional Review Board Statement
Data Availability Statement
Acknowledgments
Conflicts of Interest
Abbreviations
| YZRB | Yangtze River Basin |
| YRB | Yellow River Basin |
| CRU TS | Climatic Research Unit Gridded Time Series |
| SPEI | standardized precipitation evapotranspiration index |
| CS | carbon sequestration |
| SPI | standardized precipitation index |
| PDSI | Palmer drought severity index |
| PET | potential evapotranspiration |
| NPP | net primary productivity |
| r | Pearson’s correlation coefficient |
| BIAS | bias |
| RMSE | root mean square error |
| MAE | mean absolute error |
| DEC | drought event count |
| YMDI | year and month of drought initiation |
| YMDT | year and month of drought termination |
| DD | drought duration |
| DS | drought severity |
| DI | drought intensity |
References
- Mishra, A.K.; Singh, V.P. A Review of Drought Concepts. J. Hydrol. 2010, 391, 202–216. [Google Scholar] [CrossRef]
- IPCC. Climate Change 2023: Synthesis Report, 1st ed.; Intergovernmental Panel on Climate Change (IPCC): Geneva, Switzerland, 2023. [Google Scholar]
- Miao, L.; Ju, L.; Sun, S.; Agathokleous, E.; Wang, Q.; Zhu, Z.; Liu, R.; Zou, Y.; Lu, Y.; Liu, Q. Unveiling the Dynamics of Sequential Extreme Precipitation-Heatwave Compounds in China. npj Clim. Atmos. Sci. 2024, 7, 67. [Google Scholar] [CrossRef]
- Reichstein, M.; Bahn, M.; Ciais, P.; Frank, D.; Mahecha, M.D.; Seneviratne, S.I.; Zscheischler, J.; Beer, C.; Buchmann, N.; Frank, D.C.; et al. Climate Extremes and the Carbon Cycle. Nature 2013, 500, 287–295. [Google Scholar] [CrossRef] [PubMed]
- de Matos Brandão Raposo, V.; Costa, V.A.F.; Rodrigues, A.F. A Review of Recent Developments on Drought Characterization, Propagation, and Influential Factors. Sci. Total Environ. 2023, 898, 165550. [Google Scholar] [CrossRef] [PubMed]
- Huang, L.; Zhou, P.; Cheng, L.; Liu, Z. Dynamic Drought Recovery Patterns over the Yangtze River Basin. CATENA 2021, 201, 105194. [Google Scholar] [CrossRef]
- Song, M.; Jiang, X.; Lei, Y.; Zhao, Y.; Cai, W. Spatial and Temporal Variation Characteristics of Extreme Hydrometeorological Events in the Yellow River Basin and Their Effects on Vegetation. Nat. Hazards 2023, 116, 1863–1878. [Google Scholar] [CrossRef]
- Zhou, S.; Wu, S.; Gao, J.; Liu, L.; Li, D.; Yan, R.; Wang, J. Increased Stress from Compound Drought and Heat Events on Vegetation. Sci. Total Environ. 2024, 949, 175113. [Google Scholar] [CrossRef] [PubMed]
- Frank, D.C.; Poulter, B.; Saurer, M.; Esper, J.; Huntingford, C.; Helle, G.; Treydte, K.; Zimmermann, N.E.; Schleser, G.H.; Ahlström, A.; et al. Water-Use Efficiency and Transpiration across European Forests during the Anthropocene. Nat. Clim. Chang. 2015, 5, 579–583. [Google Scholar] [CrossRef]
- Schwalm, C.R.; Anderegg, W.R.L.; Michalak, A.M.; Fisher, J.B.; Biondi, F.; Koch, G.; Litvak, M.; Ogle, K.; Shaw, J.D.; Wolf, A.; et al. Global Patterns of Drought Recovery. Nature 2017, 548, 202–205. [Google Scholar] [CrossRef] [PubMed]
- Berdugo, M.; Delgado-Baquerizo, M.; Soliveres, S.; Hernández-Clemente, R.; Zhao, Y.; Gaitán, J.J.; Gross, N.; Saiz, H.; Maire, V.; Lehmann, A.; et al. Global Ecosystem Thresholds Driven by Aridity. Science 2020, 367, 787–790. [Google Scholar] [CrossRef] [PubMed]
- Vicente-Serrano, S.M.; Pricope, N.G.; Toreti, A.; Morán-Tejeda, E.; Spinoni, J.; Ocampo-Melgar, A.; Archer, E.; Diedhiou, A.; Mesbahzadeh, T.; Ravindranath, N.H.; et al. The United Nations Convention to Combat Desertification Report on Rising Aridity Trends Globally and Associated Biological and Agricultural Implications. Glob. Change Biol. 2024, 30, e70009. [Google Scholar] [CrossRef] [PubMed]
- Hao, Z.; Singh, V.P. Drought Characterization from a Multivariate Perspective: A Review. J. Hydrol. 2015, 527, 668–678. [Google Scholar] [CrossRef]
- Alahacoon, N.; Edirisinghe, M. A Comprehensive Assessment of Remote Sensing and Traditional Based Drought Monitoring Indices at Global and Regional Scale. Geomat. Nat. Hazards Risk 2022, 13, 762–799. [Google Scholar] [CrossRef]
- Mukherjee, S.; Mishra, A.; Trenberth, K.E. Climate Change and Drought: A Perspective on Drought Indices. Curr. Clim. Chang. Rep. 2018, 4, 145–163. [Google Scholar] [CrossRef]
- Palmer, W.C. Meteorological Drought; Weather Bureau; US Department of Commerce: Washington, DC, USA, 1965. [Google Scholar]
- Mckee, T.B.; Doesken, N.J.; Kleist, J. The Relationship of Drought Frequency and Duration to Time Scales; American Meteorological Society: Anaheim, CA, USA, 1993; pp. 17–22. [Google Scholar]
- Vicente-Serrano, S.M.; Beguería, S.; López-Moreno, J.I. A Multiscalar Drought Index Sensitive to Global Warming: The Standardized Precipitation Evapotranspiration Index. J. Clim. 2010, 23, 1696–1718. [Google Scholar] [CrossRef]
- Liu, Y.; Zhu, Y.; Ren, L.; Singh, V.P.; Yang, X.; Yuan, F. A Multiscalar Palmer Drought Severity Index. Geophys. Res. Lett. 2017, 44, 6850–6858. [Google Scholar] [CrossRef]
- Zhao, H.; Gao, G.; An, W.; Zou, X.; Li, H.; Hou, M. Timescale Differences between SC-PDSI and SPEI for Drought Monitoring in China. Phys. Chem. Earth Parts A/B/C 2017, 102, 48–58. [Google Scholar] [CrossRef]
- Milly, P.C.D.; Dunne, K.A. Potential Evapotranspiration and Continental Drying. Nature Clim. Chang. 2016, 6, 946–949. [Google Scholar] [CrossRef]
- Pyarali, K.; Peng, J.; Disse, M.; Tuo, Y. Development and Application of High Resolution SPEI Drought Dataset for Central Asia. Sci. Data 2022, 9, 172. [Google Scholar] [CrossRef] [PubMed]
- Monish, N.T.; Rehana, S. Suitability of Distributions for Standard Precipitation and Evapotranspiration Index over Meteorologically Homogeneous Zones of India. J. Earth Syst. Sci. 2019, 129, 25. [Google Scholar] [CrossRef]
- Frank, A.; Armenski, T.; Gocic, M.; Popov, S.; Popovic, L.; Trajkovic, S. Influence of Mathematical and Physical Background of Drought Indices on Their Complementarity and Drought Recognition Ability. Atmos. Res. 2017, 194, 268–280. [Google Scholar] [CrossRef]
- de Medeiros, F.J.; Gomes, R.D.S.; Coutinho, M.D.L.; Lima, K.C. Meteorological Droughts and Water Resources: Historical and Future Perspectives for Rio Grande Do Norte State, Northeast Brazil. Int. J. Climatol. 2022, 42, 6976–6995. [Google Scholar] [CrossRef]
- Li, L.; She, D.; Zheng, H.; Lin, P.; Yang, Z.-L. Elucidating Diverse Drought Characteristics from Two Meteorological Drought Indices (SPI and SPEI) in China. J. Hydrometeorol. 2020, 21, 1513–1530. [Google Scholar] [CrossRef]
- Vicente-Serrano, S.M.; Gouveia, C.; Camarero, J.J.; Beguería, S.; Trigo, R.; López-Moreno, J.I.; Azorín-Molina, C.; Pasho, E.; Lorenzo-Lacruz, J.; Revuelto, J.; et al. Response of Vegetation to Drought Time-Scales across Global Land Biomes. Proc. Natl. Acad. Sci. USA 2013, 110, 52–57. [Google Scholar] [CrossRef] [PubMed]
- Khan, M.I.; Liu, D.; Fu, Q.; Saddique, Q.; Faiz, M.A.; Li, T.; Qamar, M.U.; Cui, S.; Cheng, C. Projected Changes of Future Extreme Drought Events under Numerous Drought Indices in the Heilongjiang Province of China. Water Resour. Manag. 2017, 31, 3921–3937. [Google Scholar] [CrossRef]
- Li, Y.; Lu, H.; Entekhabi, D.; Gianotti, D.J.S.; Yang, K.; Luo, C.; Feldman, A.F.; Wang, W.; Jiang, R. Satellite-Based Assessment of Meteorological and Agricultural Drought in Mainland Southeast Asia. IEEE J. Sel. Top. Appl. Earth Obs. Remote Sens. 2022, 15, 6180–6189. [Google Scholar] [CrossRef]
- Keikhosravi-Kiany, M.S.; Masoodian, S.A.; Balling, R.C., Jr.; Darand, M. Evaluation of Tropical Rainfall Measuring Mission, Integrated Multi-Satellite Retrievals for GPM, Climate Hazards Centre InfraRed Precipitation with Station Data, and European Centre for Medium-Range Weather Forecasts Reanalysis v5 Data in Estimating Precipitation and Capturing Meteorological Droughts over Iran. Int. J. Climatol. 2022, 42, 2039–2064. [Google Scholar] [CrossRef]
- Yu, Y.; Wang, J.; Cheng, F.; Deng, H.; Chen, S. Drought Monitoring in Yunnan Province Based on a TRMM Precipitation Product. Nat. Hazards 2020, 104, 2369–2387. [Google Scholar] [CrossRef]
- Mitchell, T.D.; Jones, P.D. An Improved Method of Constructing a Database of Monthly Climate Observations and Associated High-Resolution Grids. Int. J. Climatol. 2005, 25, 693–712. [Google Scholar] [CrossRef]
- Guo, H.; Bao, A.; Liu, T.; Jiapaer, G.; Ndayisaba, F.; Jiang, L.; Kurban, A.; De Maeyer, P. Spatial and Temporal Characteristics of Droughts in Central Asia during 1966–2015. Sci. Total Environ. 2018, 624, 1523–1538. [Google Scholar] [CrossRef] [PubMed]
- Chen, H.; Sun, J. Changes in Drought Characteristics over China Using the Standardized Precipitation Evapotranspiration Index. J. Clim. 2015, 28, 5430–5447. [Google Scholar] [CrossRef]
- Berihun, M.L.; Tsunekawa, A.; Haregeweyn, N.; Tsubo, M.; Yasuda, H.; Fenta, A.A.; Dile, Y.T.; Bayabil, H.K.; Tilahun, S.A. Examining the Past 120 Years’ Climate Dynamics of Ethiopia. Theor. Appl. Climatol. 2023, 154, 535–566. [Google Scholar] [CrossRef]
- Shi, X.; Ding, H.; Wu, M.; Zhang, N.; Shi, M.; Chen, F.; Li, Y. Effects of Different Types of Drought on Vegetation in Huang-Huai-Hai River Basin, China. Ecol. Indic. 2022, 144, 109428. [Google Scholar] [CrossRef]
- Mathbout, S.; Martin-Vide, J.; Bustins, J.A.L. Drought Characteristics Projections Based on CMIP6 Climate Change Scenarios in Syria. J. Hydrol. Reg. Stud. 2023, 50, 101581. [Google Scholar] [CrossRef]
- Zhao, H.; Ma, Y. Evaluating the Drought-Monitoring Utility of Four Satellite-Based Quantitative Precipitation Estimation Products at Global Scale. Remote Sens. 2019, 11, 2010. [Google Scholar] [CrossRef]
- Ma, F.; Yuan, X. When Will the Unprecedented 2022 Summer Heat Waves in Yangtze River Basin Become Normal in a Warming Climate? Geophys. Res. Lett. 2023, 50, e2022GL101946. [Google Scholar] [CrossRef]
- Deng, H.; Yin, Y.; Zong, X.; Yin, M. Future Drought Risks in the Yellow River Basin and Suggestions for Targeted Response. Int. J. Disaster Risk Reduct. 2023, 93, 103764. [Google Scholar] [CrossRef]
- Zhang, Q.; Gong, J.; Wang, Y. How Resilience Capacity and Multiple Shocks Affect Rural Households’ Subjective Well-Being: A Comparative Study of the Yangtze and Yellow River Basins in China. Land Use Policy 2024, 142, 107192. [Google Scholar] [CrossRef]
- Qian, T.; Su, X.; Wu, H.; Singh, V.P.; Zhang, T. An Agricultural Drought Early Warning Threshold Model with Considering Copula Combined with Diminishing Marginal Benefit Theory: A Case Study in the Yellow River Basin. Agric. Water Manag. 2025, 316, 109582. [Google Scholar] [CrossRef]
- Liu, Y.; Yuan, S.; Zhu, Y.; Ren, L.; Chen, R.; Zhu, X.; Xia, R. The Patterns, Magnitude, and Drivers of Unprecedented 2022 Mega-Drought in the Yangtze River Basin, China. Environ. Res. Lett. 2023, 18, 114006. [Google Scholar] [CrossRef]
- Wei, L.; Jiang, S.; Ren, L.; Hua, Z.; Zhang, L.; Duan, Z. Detection of the 2022 Extreme Drought over the Yangtze River Basin Using Two Satellite-Gauge Precipitation Products. Atmos. Res. 2025, 315, 107929. [Google Scholar] [CrossRef]
- GB/T 20481-2017; Grades of Meteorological Drought. National Standardization Administration: Beijing, China, 2017.
- Yevjevich, V.M. An Objective Approach to Definitions and Investigations of Continental Hydrologic Droughts; Colorado State University: Fort Collins, CO, USA, 1967; Volume 7. [Google Scholar]
- Shiau, J.T. Fitting Drought Duration and Severity with Two-Dimensional Copulas. Water Resour. Manag. 2006, 20, 795–815. [Google Scholar] [CrossRef]
- Wu, J.; Chen, X.; Yao, H.; Zhang, D. Multi-Timescale Assessment of Propagation Thresholds from Meteorological to Hydrological Drought. Sci. Total Environ. 2021, 765, 144232. [Google Scholar] [CrossRef] [PubMed]
- Yin, C.; Zhao, W.; Ye, J.; Muroki, M.; Pereira, P. Ecosystem Carbon Sequestration Service Supports the Sustainable Development Goals Progress. J. Environ. Manag. 2023, 330, 117155. [Google Scholar] [CrossRef] [PubMed]
- Hua, T.; Zhao, W.; Cherubini, F.; Hu, X.; Pereira, P. Sensitivity and Future Exposure of Ecosystem Services to Climate Change on the Tibetan Plateau of China. Landsc. Ecol. 2021, 36, 3451–3471. [Google Scholar] [CrossRef] [PubMed]
- Theil, H. A Rank-Invariant Method of Linear and Polynomial Regression Analysis. In Henri Theil’s Contributions to Economics and Econometrics: Econometric Theory and Methodology; Raj, B., Koerts, J., Eds.; Advanced Studies in Theoretical and Applied Econometrics; Springer: Dordrecht, The Netherlands, 1992; pp. 345–381. ISBN 978-94-011-2546-8. [Google Scholar]
- Mann, H.B. Nonparametric Tests against Trend. Econometrica 1945, 13, 245–259. [Google Scholar] [CrossRef]
- Kendall, M.G. Rank Correlation Methods; Griffin: Oxford, UK, 1948. [Google Scholar]
- Yu, Y.; Xiao, Z.; Bruzzone, L.; Deng, H. Mapping and Analyzing the Spatiotemporal Patterns and Drivers of Multiple Ecosystem Services: A Case Study in the Yangtze and Yellow River Basins. Remote Sens. 2024, 16, 411. [Google Scholar] [CrossRef]
- Mutti, P.R.; Dubreuil, V.; Bezerra, B.G.; Arvor, D.; de Oliveira, C.P.; Santos e Silva, C.M. Assessment of Gridded CRU TS Data for Long-Term Climatic Water Balance Monitoring over the São Francisco Watershed, Brazil. Atmosphere 2020, 11, 1207. [Google Scholar] [CrossRef]
- Gulakhmadov, A.; Chen, X.; Gulakhmadov, M.; Kobuliev, Z.; Gulahmadov, N.; Peng, J.; Li, Z.; Liu, T. Evaluation of the CRU TS3.1, APHRODITE_V1101, and CFSR Datasets in Assessing Water Balance Components in the Upper Vakhsh River Basin in Central Asia. Atmosphere 2021, 12, 1334. [Google Scholar] [CrossRef]
- Ogunrinde, A.T.; Adigun, P.; Xue, X.; Koji, D.; Jing, Q. Spatiotemporal Analysis of Drought Patterns and Trends across Africa: A Multi-Scale SPEI Approach (1960–2018). Int. J. Digit. Earth 2025, 18, 2447342. [Google Scholar] [CrossRef]
- Rao, Y.; Liang, S.; Yu, Y. Land Surface Air Temperature Data Are Considerably Different among BEST-LAND, CRU-TEM4v, NASA-GISS, and NOAA-NCEI. J. Geophys. Res. Atmos. 2018, 123, 5881–5900. [Google Scholar] [CrossRef]
- Son, B.; Park, S.; Im, J.; Park, S.; Ke, Y.; Quackenbush, L.J. A New Drought Monitoring Approach: Vector Projection Analysis (VPA). Remote Sens. Environ. 2021, 252, 112145. [Google Scholar] [CrossRef]
- Ullah, S.; You, Q.; Sachindra, D.A.; Nowosad, M.; Ullah, W.; Bhatti, A.S.; Jin, Z.; Ali, A. Spatiotemporal Changes in Global Aridity in Terms of Multiple Aridity Indices: An Assessment Based on the CRU Data. Atmos. Res. 2022, 268, 105998. [Google Scholar] [CrossRef]
- Yang, Q.; Ma, Z.; Zheng, Z.; Duan, Y. Sensitivity of Potential Evapotranspiration Estimation to the Thornthwaite and Penman–Monteith Methods in the Study of Global Drylands. Adv. Atmos. Sci. 2017, 34, 1381–1394. [Google Scholar] [CrossRef]
- Morsy, M.; Moursy, F.I.; Sayad, T.; Shaban, S. Climatological Study of SPEI Drought Index Using Observed and CRU Gridded Dataset over Ethiopia. Pure Appl. Geophys. 2022, 179, 3055–3073. [Google Scholar] [CrossRef]
- Shen, G.; Zheng, H.; Lei, Z. Applicability analysis of SPEI for drought research in Northeast China. Acta Ecol. Sin. 2017, 37, 3787–3795. [Google Scholar] [CrossRef]
- Vicente-Serrano, S.M.; Domínguez-Castro, F.; Reig, F.; Tomas-Burguera, M.; Peña-Angulo, D.; Latorre, B.; Beguería, S.; Rabanaque, I.; Noguera, I.; Lorenzo-Lacruz, J.; et al. A Global Drought Monitoring System and Dataset Based on ERA5 Reanalysis: A Focus on Crop-Growing Regions. Geosci. Data J. 2023, 10, 505–518. [Google Scholar] [CrossRef]
- Yao, N.; Li, Y.; Lei, T.; Peng, L. Drought Evolution, Severity and Trends in Mainland China over 1961–2013. Sci. Total Environ. 2018, 616–617, 73–89. [Google Scholar] [CrossRef] [PubMed]
- Wang, W.; Zhu, Y.; Xu, R.; Liu, J. Drought Severity Change in China during 1961–2012 Indicated by SPI and SPEI. Nat. Hazards 2015, 75, 2437–2451. [Google Scholar] [CrossRef]
- Wang, F.; Wang, Z.; Yang, H.; Di, D.; Zhao, Y.; Liang, Q.; Hussain, Z. Comprehensive Evaluation of Hydrological Drought and Its Relationships with Meteorological Drought in the Yellow River Basin, China. J. Hydrol. 2020, 584, 124751. [Google Scholar] [CrossRef]
- Huang, C. Drought Driving and Assessment Prediction in the Yellow River Basin. Ph.D. Thesis, Xi’an University of Technology, Xi’an, China, 2022. [Google Scholar]
- Wei, J.; Wang, Z.; Han, L.; Shang, J.; Zhao, B. Analysis of Spatio-Temporal Evolution Characteristics of Drought and Its Driving Factors in Yangtze River Basin Based on SPEI. Atmosphere 2022, 13, 1986. [Google Scholar] [CrossRef]
- Jin, J.; Xiao, Y.; Jin, J.; Zhu, Q.; Yong, B.; Ji, Y. Spatial-temporal variabilities of the contrasting hydrometeorological extremes and the impacts on vegetation growth over the Yangtze River basin. Adv. Water Sci. 2021, 32, 867–876. [Google Scholar] [CrossRef]
- Liu, J.; Yuan, Z.; Xu, J.; Liu, Y.; Cheng, W.; Tian, C.; Miao, H. Meteorological Drought Evolution Characteristics and Future Trends in the Yangtze River Basin. J. Chang. River Sci. Res. Inst. 2020, 37, 28–36. [Google Scholar]
- Lobell, D.B.; Schlenker, W.; Costa-Roberts, J. Climate Trends and Global Crop Production Since 1980. Science 2011, 333, 616–620. [Google Scholar] [CrossRef] [PubMed]
- Wu, H.; Fu, C.; Wu, H.; Zhang, L. Plant Hydraulic Stress Strategy Improves Model Predictions of the Response of Gross Primary Productivity to Drought Across China. J. Geophys. Res. Atmos. 2020, 125, e2020JD033476. [Google Scholar] [CrossRef]
- Zhao, Y.-Y.; Lyu, M.A.; Miao, F.; Chen, G.; Zhu, X.-G. The Evolution of Stomatal Traits along the Trajectory toward C4 Photosynthesis. Plant Physiol. 2022, 190, 441–458. [Google Scholar] [CrossRef] [PubMed]
- Swinton, S.M.; Lupi, F.; Robertson, G.P.; Hamilton, S.K. Ecosystem Services and Agriculture: Cultivating Agricultural Ecosystems for Diverse Benefits. Ecol. Econ. 2007, 64, 245–252. [Google Scholar] [CrossRef]
- Lin, B.B. Resilience in Agriculture through Crop Diversification: Adaptive Management for Environmental Change. BioScience 2011, 61, 183–193. [Google Scholar] [CrossRef]
- Anderson-Teixeira, K.J.; Kannenberg, S.A. What Drives Forest Carbon Storage? The Ramifications of Source–Sink Decoupling. New Phytol. 2022, 236, 5–8. [Google Scholar] [CrossRef] [PubMed]
- Lesk, C.; Rowhani, P.; Ramankutty, N. Influence of Extreme Weather Disasters on Global Crop Production. Nature 2016, 529, 84–87. [Google Scholar] [CrossRef] [PubMed]














| SPEI | Drought Category | SPEI | Drought Category |
|---|---|---|---|
| SPEI ≤ −2 | Extreme drought | 0.5 < SPEI ≤ 1.0 | Mild wet |
| −2 < SPEI ≤ −1.5 | Severe drought | 1.0 < SPEI ≤ 1.5 | Moderate wet |
| −1.5 < SPEI ≤ −1.0 | Moderate drought | 1.5 < SPEI ≤ 2.0 | Severe wet |
| −1.0 < SPEI ≤ −0.5 | Mild drought | SPEI > 2.0 | Extreme wet |
| −0.5 < SPE ≤ 0.5 | Normal |
| Indicator | SPEI-1 | SPEI-3 | SPEI-6 | SPEI-12 |
|---|---|---|---|---|
| r | 0.69 | 0.68 | 0.68 | 0.65 |
| RMSE | 0.78 | 0.80 | 0.80 | 0.84 |
| MAE | 0.59 | 0.61 | 0.62 | 0.66 |
Disclaimer/Publisher’s Note: The statements, opinions and data contained in all publications are solely those of the individual author(s) and contributor(s) and not of MDPI and/or the editor(s). MDPI and/or the editor(s) disclaim responsibility for any injury to people or property resulting from any ideas, methods, instructions or products referred to in the content. |
© 2025 by the authors. Licensee MDPI, Basel, Switzerland. This article is an open access article distributed under the terms and conditions of the Creative Commons Attribution (CC BY) license (https://creativecommons.org/licenses/by/4.0/).
Share and Cite
Yu, Y.; Deng, H.; Gao, S.; Wang, J. Drought Evolution in the Yangtze and Yellow River Basins and Its Dual Impact on Ecosystem Carbon Sequestration. Agriculture 2025, 15, 1552. https://doi.org/10.3390/agriculture15141552
Yu Y, Deng H, Gao S, Wang J. Drought Evolution in the Yangtze and Yellow River Basins and Its Dual Impact on Ecosystem Carbon Sequestration. Agriculture. 2025; 15(14):1552. https://doi.org/10.3390/agriculture15141552
Chicago/Turabian StyleYu, Yuanhe, Huan Deng, Shupeng Gao, and Jinliang Wang. 2025. "Drought Evolution in the Yangtze and Yellow River Basins and Its Dual Impact on Ecosystem Carbon Sequestration" Agriculture 15, no. 14: 1552. https://doi.org/10.3390/agriculture15141552
APA StyleYu, Y., Deng, H., Gao, S., & Wang, J. (2025). Drought Evolution in the Yangtze and Yellow River Basins and Its Dual Impact on Ecosystem Carbon Sequestration. Agriculture, 15(14), 1552. https://doi.org/10.3390/agriculture15141552

