Multiscale Water Cycle Mechanisms and Return Flow Utilization in Paddy Fields of Plain Irrigation Districts
Abstract
1. Introduction
2. Materials and Methods
2.1. Experimental Site and Experimental Design
2.2. Water Quantity Monitoring
2.2.1. Paddy Field Water Balance Monitoring
- (1)
- The irrigation volumes were calculated by converting the electricity consumption data from the pumping station.
- (2)
- Field water consumption ()
- (3)
- Rice evapotranspiration ():
- (4)
- Paddy vertical infiltration ()
- (5)
- Paddy drainage ():
- (6)
- Meteorological data:
2.2.2. Lateral Canal Scale Water Monitoring
2.2.3. Main Canal Scale Water Monitoring
2.2.4. Small Watershed Scale Water Monitoring
2.3. Rice Growth Stages and Field Management
3. Results
3.1. Paddy Field Water Cycle
3.2. Multiscale Water Cycle Processes
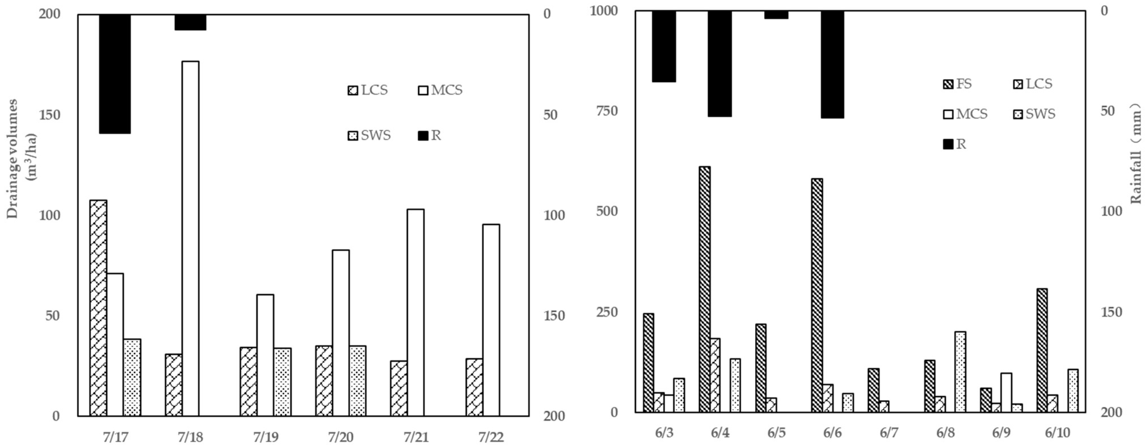
3.3. Multiscale Drainage Variations Under Typical Rainfall Events
3.4. Multiscale Return Flow and Reuse Efficiency
4. Discussion
4.1. Irrigation-Rainfall Influences on Paddy Water Cycling
4.2. Characteristics of Multiscale Drainage Processes
4.3. Optimization Pathways for Return Flow Reuse
5. Conclusions
Author Contributions
Funding
Institutional Review Board Statement
Data Availability Statement
Conflicts of Interest
References
- Srivastav, A.L.; Dhyani, R.; Ranjan, M.; Madhav, S.; Sillanpää, M. Climate-resilient strategies for sustainable management of water resources and agriculture. Environ. Sci. Pollut. Res. 2021, 28, 41576–41595. [Google Scholar] [CrossRef] [PubMed]
- Chen, L.; Chang, J.; Wang, Y.; Guo, A.; Liu, Y.; Wang, Q.; Zhu, Y.; Zhang, Y.; Xie, Z. Disclosing the future food security risk of China based on crop production and water scarcity under diverse socioeconomic and climate scenarios. Sci. Total Environ. 2021, 790, 148110. [Google Scholar] [CrossRef] [PubMed]
- Ofori, S.A.; Cobbina, S.; Obiri, S. Climate change, land, water, and food security: Perspectives from Sub-Saharan Africa. Front. Sustain. Food Syst. 2021, 5, 680924. [Google Scholar] [CrossRef]
- Liang, F.; Li, S.; Jie, F.; Ge, Y.; Liu, N.; Jia, G. The Development of a Coupled Soil Water Assessment Tool-MODFLOW Model for Studying the Impact of Irrigation on a Regional Water Cycle. Water 2023, 15, 3542. [Google Scholar] [CrossRef]
- Hao, S.N.; Li, X.Y.; Du, X.Z.; Zhang, W.S. A Review on Non-Point Source Nutrient Pollution of Irrigation Plain Areas. Ecol. Environ. Sci. 2015, 24, 1235–1244. [Google Scholar]
- Schulze, R. Transcending scales of space and time in impact studies of climate and climate change on agrohydrologicalresponses. Agric. Ecosyst. Environ. 2000, 82, 185–212. [Google Scholar] [CrossRef]
- Wu, Z.; Rao, W.; Zheng, F.; Zhang, C.; Li, T. Pollution source identification of nitrogen and phosphorus in the lower West Main Canal, the Ganfu Plain irrigation district (South China). Environ. Monit. Assess. 2023, 195, 1011. [Google Scholar] [CrossRef]
- Feng, Z.; Miao, Q.; Shi, H.; Feng, W.; Li, X.; Yan, J.; Liu, M.; Sun, W.; Dai, L.; Liu, J. Simulation of Water Balance and Irrigation Strategy of Typical Sand-Layered Farmland in the Hetao Irrigation District, China. Agric. Water Manag. 2023, 280, 108236. [Google Scholar] [CrossRef]
- Wang, Y.; Cai, H.; Yu, L.; Peng, X.; Xu, J.; Wang, X. Evapotranspiration Partitioning and Crop Coefficient of Maize in Dry Semi-Humid Climate Regime. Agric. Water Manag. 2020, 236, 106164. [Google Scholar] [CrossRef]
- Tong, C.; He, R.; Wang, J.; Zheng, H. Study on Water and Salt Transport Characteristics of Sunflowers under Different Irrigation Amounts in the Yellow River Irrigation Area. Agronomy 2024, 14, 1058. [Google Scholar] [CrossRef]
- Henry, A.; Wehler, R.; Grondin, A.; Franke, R.; Quintana, M. Environmental and Physiological Effects on Grouping of Drought-Tolerant and Susceptible Rice Varieties Related to Rice (Oryza Sativa) Root Hydraulics under Drought. Ann. Bot. 2016, 118, 711–724. [Google Scholar] [CrossRef] [PubMed]
- Dai, J.; Cui, Y.; Cai, X.; Brown, L.C.; Shang, Y. Influence of water management on the water cycle in a small watershed irrigation system based on a distributed hydrologic model. Agric. Water Manag. 2016, 174, 52–60. [Google Scholar] [CrossRef]
- Wu, D.; Cui, Y.; Wang, Y.; Chen, M.; Luo, Y.; Zhang, L. Reuse of return flows and its scale effect in irrigation systems based on modified SWAT model. Agric. Water Manag. 2019, 213, 280–288. [Google Scholar] [CrossRef]
- Li, Q.F.; Chen, C.M.; Li, D.X.; Cai, C.K.; Wang, S.W. Research on the calculation method of multi-scale irrigation water use in the irrigation system of plain river network based on system dynamics. China Rural Water Hydropower 2024, 1, 25–29+36. [Google Scholar]
- Wang, S.; Wang, C.; Zhang, C.; Xue, J.; Wang, P.; Wang, X.; Huo, Z. A classification-based spatiotemporal adaptive fusion model for the evaluation of remotely sensed evapotranspiration in heterogeneous irrigated agricultural area. Remote Sens. Environ. 2022, 273, 112962. [Google Scholar] [CrossRef]
- Xu, B.; Shao, D.; Fang, L.; Yang, X.; Chen, S.; Gu, W. Modelling Percolation and Lateral Seepage in a Paddy Field-Bund Landscape with a Shallow Groundwater Table. Agric. Water Manag. 2019, 214, 87–96. [Google Scholar] [CrossRef]
- Hama, T.; Nakamura, K.; Kawashima, S.; Kaneki, R.; Mitsuno, T. Effects of Cyclic Irrigation on Water and Nitrogen Mass Balances in a Paddy Field. Ecol. Eng. 2011, 37, 1563–1566. [Google Scholar] [CrossRef]
- Fanta, F.J. Impacts of Climate Variability on the Yield of Major Food Crops in the Gambia: Implications for Food Security. Ph.D. Thesis, Chinese Academy of Agricultural Sciences, Beijing, China, 2022. [Google Scholar]
- Cao, Y.; Zhang, Y.; Tian, J.; Li, X.; Tang, Z.; Yang, X.; Zhang, X.; Ma, N. Strong agricultural resilience to 2022 Southern China drought. Earth’s Future 2024, 12, e2023EF004243. [Google Scholar] [CrossRef]
- Liu, F.L.; Xiong, Y.J.; Fan, L.; Shao, P.Y. Characteristics and influencing factors of rainfall-runoff in rice irrigation district. China Rural Water Hydropower 2022, 5, 95–100. [Google Scholar]
- Yu, Y.; Xu, J.; Zhang, P.; Meng, Y.; Xiong, Y. Controlled irrigation and drainage reduce rainfall runoff and nitrogen loss in paddy fields. Int. J. Environ. Res. Public Health 2021, 18, 3348. [Google Scholar] [CrossRef]
- Li, Y.W.; Xu, J.Z.; Liu, W.H. Characteristics of water and nitrogen loss under subsurface pipe-open ditch controlled drainage in paddy fields. Trans. CSAE 2021, 37, 113–121. [Google Scholar]
- Li, J.Q.; Wang, Y.; Chen, X.D.; Fei, B.Y.; Guo, B.; Liu, C.; Li, H. The coupled effect of precipitation and fertilization on nitrogen loss via surface runoff from paddy fields. J. Irrig. Drain. 2023, 42, 39–45. [Google Scholar]
- Wang, X.X.; Zuo, T.; Wang, X.J.; Huang, S.; Wang, J.; Leng, M.Z.; Ni, W.Z. Comparative of two fertilization modes on crop yields and nitrogen/phosphorus runoff losses under rice-wheat rotation. J. Soil Water Conserv. 2020, 34, 20–27. [Google Scholar]
- Chen, H.R.; Huang, J.S.; Wu, J.W. Review of scale effect on the irrigation water use efficiency. Adv. Water Sci. 2011, 22, 872–880. [Google Scholar]
- Meng, Y.; Yu, Y.; Yu, S.; Zhang, P.; Xiong, Y. Simulation of Drainage Volume and Nitrogen Loss Load in Paddy Fields under Different Irrigation and Drainage Modes and Hydrological Years. Agronomy 2024, 14, 1095. [Google Scholar] [CrossRef]
- Dai, J.F.; Cui, Y.L. Distributed hydrological model for irrigation area based on SWAT I. Principle and method. J. Hydraul. 2009, 40, 145–152. [Google Scholar]
- Shao, P.Y.; Xiong, Y.J.; Yuan, N.N.; Peng, Z.Y.; Li, Y.L.; Su, P.L.; Wei, G.F.; Ye, L.; Lin, X.W. Hydrological cycle for Paddy-Ponds-Ditches system and reuse of return flow in Southern hilly irrigated areas. Trans. Chin. Soc. Agric. Eng. 2023, 39, 106–117. [Google Scholar]
- Shen, T.; Shen, R.; Yu, F.C. Optimization of the Control Scheme for the Main Drainage and Storage Based on MIKE Model. China Rural Water Hydropower 2022, 12, 156–161. [Google Scholar]






| Year | Rice Reason | Regreening | Early Tillering | Late Tillering | Jointing-Booting | Heading Flowering | Milky Ripening | Yellow Ripening |
|---|---|---|---|---|---|---|---|---|
| 2021 | Early rice | 4/3~5/5 | 5/6~5/16 | 5/17~6/2 | 6/3~6/18 | 6/19~6/30 | 7/1~7/10 | 7/11~7/16 |
| Late rice | 7/19~8/19 | 8/20~8/29 | 8/30~9/5 | 9/6~9/15 | 9/16~9/25 | 9/26~10/5 | 10/6~10/13 | |
| 2022 | Early rice | - | 5/19~5/27 | 5/28~6/11 | 6/12~6/28 | 6/29~7/6 | 7/7~7/16 | 7/17~7/31 |
| Late rice | 7/18~8/13 | 8/14~9/3 | 9/4~9/14 | 9/15~9/27 | 9/28~10/12 | 10/13~10/29 | 10/30~11/8 |
| Year | Date | Precipitation (mm) | Duration (d) | Intestine (mm/d) |
|---|---|---|---|---|
| 2021 | 7/18~7/25 | 66.60 | 2 | 33.30 |
| 2022 | 6/3~6/10 | 145.00 | 4 | 36.25 |
| Rice Reason | Growth Stages | Field Scale | Lateral Canal Scale | Main Canal Scale | Small Watershed Scale | ||||
|---|---|---|---|---|---|---|---|---|---|
| 2021 | 2022 | 2021 | 2022 | 2021 | 2022 | 2021 | 2022 | ||
| Early rice | Regreening | 406 | - | 334 | - | 130 | - | 0 | - |
| Early tillering | 755 | 180 | 470 | 257 | 865 | 85 | 0 | 112 | |
| Late tillering | 1245 | 2903 | 480 | 760 | 320 | 196 | 852 | 1205 | |
| Jointing-booting | 484 | 2053 | 398 | 909 | 320 | 514 | 2165 | 4935 | |
| Heading-flowering | 741 | 95 | 297 | 271 | 540 | 629 | 1525 | 884 | |
| Milky ripening | 1020 | 394 | 171 | 275 | 152 | 663 | 483 | 646 | |
| Yellow ripening | 0 | 0 | 0 | 877 | 4355 | 880 | 38 | 0 | |
| Late rice | Regreening | 151 | 482 | 1162 | 82 | 503 | 0 | 69 | 194 |
| Early tillering | 649 | 982 | 366 | 324 | 881 | 1783 | 217 | 38 | |
| Late tillering | 1646 | 128 | 232 | 163 | 779 | 1131 | 965 | 0 | |
| Jointing-booting | 607 | 737 | 289 | 250 | 1297 | 1317 | 940 | 0 | |
| Heading-flowering | 0 | 220 | 332 | 413 | 1177 | 1105 | 0 | 0 | |
| Milky ripening | 37 | 883 | 330 | 496 | 0 | 964 | 0 | 0 | |
| Yellow ripening | 0 | 0 | 0 | 212 | 0 | 516 | 0 | 0 | |
| Rice Reason | Growth Stages | Field—Lateral Scale | Lateral—Main Scale | Lateral—Small Watershed Scale | |||
|---|---|---|---|---|---|---|---|
| MAURF | RFUE | MAURF | RFUE | MAURF | RFUE | ||
| Early rice | Regreening | 405.7 | 17.7 | 334.0 | 61.2 | 129.8 | 100.0 |
| Early tillering | 467.1 | 22.1 | 363.9 | / | 474.7 | 88.2 | |
| Late tillering | 2074.1 | 70.1 | 620.2 | 58.4 | 258.0 | / | |
| Jointing-booting | 1268.4 | 48.5 | 653.5 | 36.2 | 416.8 | / | |
| Heading-flowering | 418.1 | 32.2 | 283.6 | / | 584.8 | / | |
| Milky ripening | 707.2 | 68.5 | 223.1 | / | 407.3 | / | |
| Yellow ripening | 0.0 | / | 438.5 | / | 2617.7 | 99.3 | |
| Late rice | Regreening | 316.2 | 0.0 | 622.1 | 59.6 | 251.4 | 47.6 |
| Early tillering | 815.8 | 57.7 | 345.2 | / | 1332.1 | 90.4 | |
| Late tillering | 886.9 | 77.7 | 197.5 | / | 954.8 | 49.5 | |
| Jointing-booting | 672.3 | 59.9 | 269.3 | / | 1306.8 | 64.0 | |
| Heading-flowering | 109.8 | / | 372.8 | / | 1141.0 | 100.0 | |
| Milky ripening | 460.1 | 10.3 | 412.8 | / | 481.8 | 100.0 | |
| Yellow ripening | 0.0 | / | 106.0 | / | 258.0 | 100.0 | |
Disclaimer/Publisher’s Note: The statements, opinions and data contained in all publications are solely those of the individual author(s) and contributor(s) and not of MDPI and/or the editor(s). MDPI and/or the editor(s) disclaim responsibility for any injury to people or property resulting from any ideas, methods, instructions or products referred to in the content. |
© 2025 by the authors. Licensee MDPI, Basel, Switzerland. This article is an open access article distributed under the terms and conditions of the Creative Commons Attribution (CC BY) license (https://creativecommons.org/licenses/by/4.0/).
Share and Cite
Zhang, J.; Xiong, Y.; Jiang, P.; Yuan, N.; Liu, F. Multiscale Water Cycle Mechanisms and Return Flow Utilization in Paddy Fields of Plain Irrigation Districts. Agriculture 2025, 15, 1178. https://doi.org/10.3390/agriculture15111178
Zhang J, Xiong Y, Jiang P, Yuan N, Liu F. Multiscale Water Cycle Mechanisms and Return Flow Utilization in Paddy Fields of Plain Irrigation Districts. Agriculture. 2025; 15(11):1178. https://doi.org/10.3390/agriculture15111178
Chicago/Turabian StyleZhang, Jie, Yujiang Xiong, Peihua Jiang, Niannian Yuan, and Fengli Liu. 2025. "Multiscale Water Cycle Mechanisms and Return Flow Utilization in Paddy Fields of Plain Irrigation Districts" Agriculture 15, no. 11: 1178. https://doi.org/10.3390/agriculture15111178
APA StyleZhang, J., Xiong, Y., Jiang, P., Yuan, N., & Liu, F. (2025). Multiscale Water Cycle Mechanisms and Return Flow Utilization in Paddy Fields of Plain Irrigation Districts. Agriculture, 15(11), 1178. https://doi.org/10.3390/agriculture15111178

