Effects of Cellulase and Lactiplantibacillus plantarum on Chemical Composition, Fermentation Characteristics, and Bacterial Community of Pennisetum giganteum z.x.lin Silage
Abstract
1. Introduction
2. Materials and Methods
2.1. Silage Preparation
2.2. Chemical Analysis
2.3. Bacterial Community Analysis
2.4. Statistical Analysis
3. Results
3.1. Effects of Additives on Chemical Composition and Fermentation Characteristics of Pennisetum giganteum z.x.lin Silage
3.2. Effects of Additives on Microbial Diversity of Pennisetum giganteum z.x.lin Silage
3.3. Correlation Analysis Between Silage Quality Characters and Bacterial Community
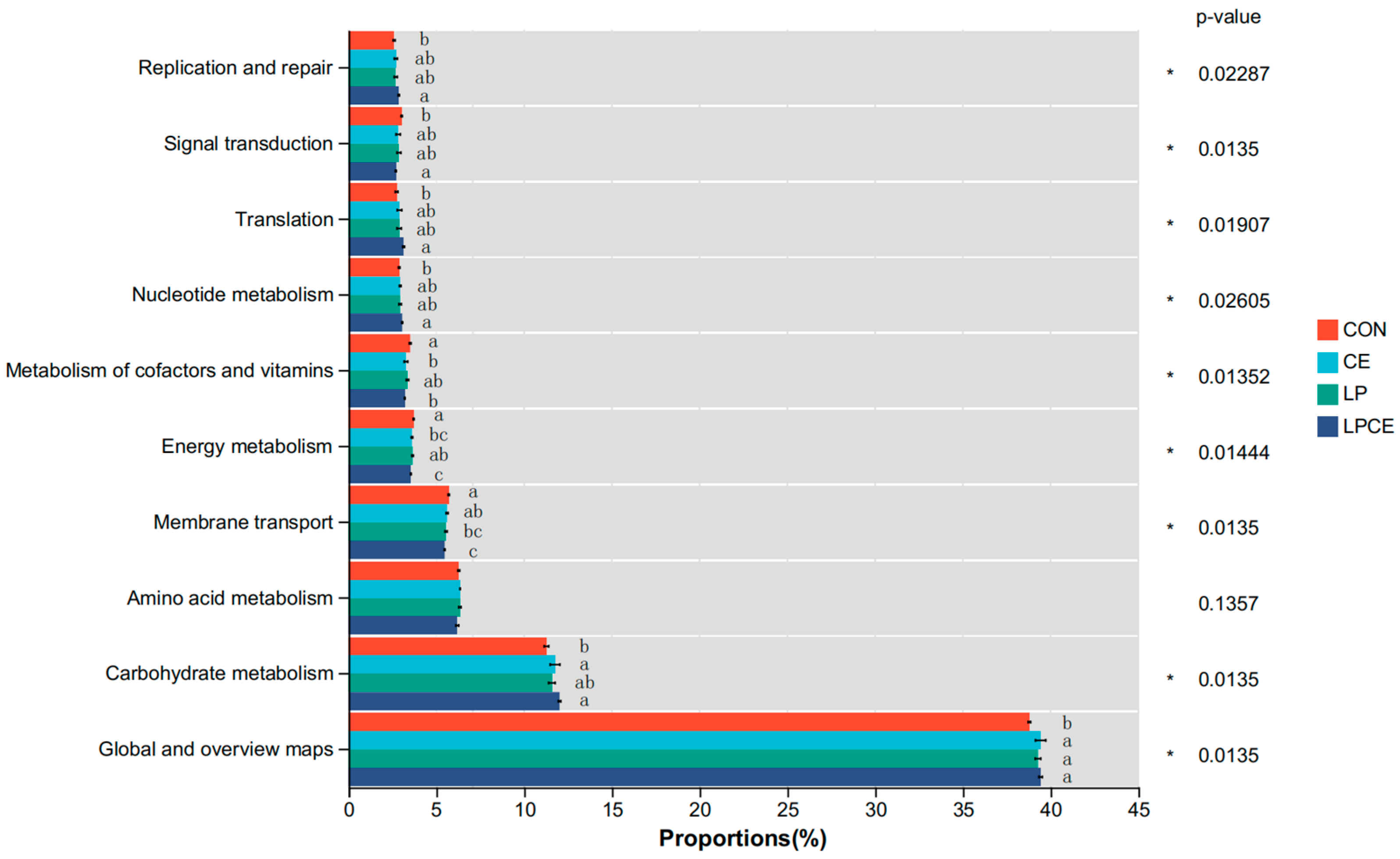
3.4. 16S rRNA Gene-Predicted Functional Profiles of Pennisetum giganteum z.x.lin Silage
4. Discussion
4.1. Effects of Additives on Silage Quality of Pennisetum giganteum z.x.lin
4.2. Effects of Additives on Bacterial Community of Pennisetum giganteum z.x.lin Silage
4.3. Effect of Bacterial Community on Silage Quality of Pennisetum giganteum z.x.lin
4.4. Effect of Additives on Function Shifts of Bacterial Community
5. Conclusions
Author Contributions
Funding
Institutional Review Board Statement
Data Availability Statement
Acknowledgments
Conflicts of Interest
References
- Liu, X.; Li, D.; Ge, Q.; Yang, B.; Li, S. Effects of Harvest Period and Mixed Ratio on the Characteristic and Quality of Mixed Silage of Alfalfa and Maize. Anim. Sci. Technol. 2023, 306, 115796. [Google Scholar] [CrossRef]
- Reed, M.S.; Stringer, L.C.; Dougill, A.J.; Perkins, J.S.; Atlhopheng, J.R.; Mulale, K.; Favretto, N. Reorienting Land Degradation towards Sustainable Land Management: Linking Sustainable Livelihoods with Ecosystem Services in Rangeland Systems. J. Environ. Manag. 2015, 151, 472–485. [Google Scholar] [CrossRef]
- Cui, Y.; Ouyang, S.; Zhao, Y.; Tie, L.; Shao, C.; Duan, H. Plant Responses to High Temperature and Drought: A Bibliometrics Analysis. Front. Plant Sci. 2022, 13, 1052660. [Google Scholar] [CrossRef] [PubMed]
- Zhou, J.; Chen, S.; Shi, W.; David-Schwartz, R.; Li, S.; Yang, F.; Lin, Z. Transcriptome Profiling Reveals the Effects of Drought Tolerance in Giant Juncao. BMC Plant Biol. 2021, 21, 2. [Google Scholar] [CrossRef] [PubMed]
- Jia, Y.; Liao, Z.; Chew, H.; Wang, L.; Lin, B.; Chen, C.; Lu, G.; Lin, Z. Effect of Pennisetum giganteum z.x.lin Mixed Nitrogen-Fixing Bacterial Fertilizer on the Growth, Quality, Soil Fertility and Bacterial Community of Pakchoi (Brassica chinensis L.). PLoS ONE 2020, 15, e0228709. [Google Scholar] [CrossRef]
- Qiu, Y.; Lei, Y.; Zhao, H.; He, X.; Liu, B.; Huang, Y. Mesophilic Anaerobic Digestion of Arundo donax Cv. Lvzhou No. 1 and Pennisetum giganteum for Biogas Production: Structure and Functional Analysis of Microbial Communities. Bioenerg. Res. 2023, 16, 1205–1216. [Google Scholar] [CrossRef]
- Yang, F.; Wang, Y.; Zhao, S.; Wang, Y. Lactobacillus plantarum Inoculants Delay Spoilage of High Moisture Alfalfa Silages by Regulating Bacterial Community Composition. Front. Microbiol. 2020, 11, 1989. [Google Scholar] [CrossRef] [PubMed]
- Dong, J.; Li, S.; Chen, X.; Sun, Z.; Sun, Y.; Zhen, Y.; Qin, G.; Wang, T.; Demelash, N.; Zhang, X. Effects of Lactiplantibacillus plantarum Inoculation on the Quality and Bacterial Community of Whole-Crop Corn Silage at Different Harvest Stages. Chem. Biol. Technol. Agric. 2022, 9, 57. [Google Scholar] [CrossRef]
- Du, Z.; Yamasaki, S.; Oya, T.; Cai, Y. Cellulase-Lactic Acid Bacteria Synergy Action Regulates Silage Fermentation of Woody Plant. Biotechnol. Biofuels Bioprod. 2023, 16, 125. [Google Scholar] [CrossRef] [PubMed]
- Zhong, C.; Wang, R.; Zhou, Z.; Jia, S.-R.; Tan, Z.-L.; Han, P.-P. Functional Properties of Protein Isolates from Caragana korshinskii Kom. Extracted by Three Different Methods. J. Agric. Food Chem. 2012, 60, 10337–10342. [Google Scholar] [CrossRef] [PubMed]
- Ju, J.; Zhang, G.; Xiao, M.; Dong, C.; Zhang, R.; Du, L.; Zheng, Y.; Wei, M.; Wei, M.; Wu, B. Effects of Cellulase and Lactiplantibacillus Plantarum on the Fermentation Quality, Microbial Diversity, Gene Function Prediction, and in Vitro Rumen Fermentation Parameters of Caragana korshinskii Silage. Front. Food. Sci. Technol. 2023, 2, 1108043. [Google Scholar] [CrossRef]
- Zhang, Y.; Wang, M.; Usman, S.; Li, F.; Bai, J.; Zhang, J.; Guo, X. Lignocellulose Conversion of Ensiled Caragana Korshinskii Kom. Facilitated by Pediococcus Acidilactici and Cellulases. Microb. Biotechnol. 2023, 16, 432–447. [Google Scholar] [CrossRef]
- Si, Q.; Wang, Z.; Liu, W.; Liu, M.; Ge, G.; Jia, Y.; Du, S. Influence of Cellulase or Lactiplantibacillus plantarum on the Ensiling Performance and Bacterial Community in Mixed Silage of Alfalfa and Leymus chinensis. Microorganisms 2023, 11, 426. [Google Scholar] [CrossRef]
- Hu, Z.; Niu, H.; Tong, Q.; Chang, J.; Yu, J.; Li, S.; Zhang, S.; Ma, D. The Microbiota Dynamics of Alfalfa Silage During Ensiling and After Air Exposure, and the Metabolomics After Air Exposure Are Affected by Lactobacillus casei and Cellulase Addition. Front. Microbiol. 2020, 11, 519121. [Google Scholar] [CrossRef] [PubMed]
- AOAC. Official Methods of Analysis, 17th ed.; Association of Official Analytical Chemists: Washington, DC, USA, 2000. [Google Scholar]
- Van Soest, P.J.; Robertson, J.B.; Lewis, B.A. Methods for Dietary Fiber, Neutral Detergent Fiber, and Nonstarch Polysaccharides in Relation to Animal Nutrition. J. Dairy Sci. 1991, 74, 3583–3597. [Google Scholar] [CrossRef]
- Xu, J.; Zhang, K.; Lin, Y.; Li, M.; Wang, X.; Yu, Q.; Sun, H.; Cheng, Q.; Xie, Y.; Wang, C.; et al. Effect of Cellulase and Lactic Acid Bacteria on the Fermentation Quality, Carbohydrate Conversion, and Microbial Community of Ensiling Oat with Different Moisture Contents. Front. Microbiol. 2022, 13, 1013258. [Google Scholar] [CrossRef]
- Wang, W.; Ungerfeld, E.M.; Degen, A.A.; Jing, X.; Guo, W.; Zhou, J.; Huang, X.; Mudassar, S.; Shi, F.; Bi, S.; et al. Ratios of Rumen Inoculum from Tibetan and Small-Tailed Han Sheep Influenced in Vitro Fermentation and Digestibility. Anim. Feed Sci. Technol. 2020, 267, 114562. [Google Scholar] [CrossRef]
- Broderick, G.A.; Kang, J.H. Automated Simultaneous Determination of Ammonia and Total Amino Acids in Ruminal Fluid and in Vitro Media. J. Dairy Sci. 1980, 63, 64–75. [Google Scholar] [CrossRef] [PubMed]
- Xu, F.; Liao, H.; Yang, J.; Zhang, Y.; Yu, P.; Cao, Y.; Fang, J.; Chen, S.; Li, L.; Sun, L.; et al. Auxin-Producing Bacteria Promote Barley Rhizosheath Formation. Nat. Commun. 2023, 14, 5800. [Google Scholar] [CrossRef]
- Bolyen, E.; Rideout, J.R.; Dillon, M.R.; Bokulich, N.A.; Abnet, C.C.; Al-Ghalith, G.A.; Alexander, H.; Alm, E.J.; Arumugam, M.; Asnicar, F.; et al. Reproducible, Interactive, Scalable and Extensible Microbiome Data Science Using QIIME 2. Nat. Biotechnol. 2019, 37, 852–857. [Google Scholar] [CrossRef] [PubMed]
- Qiu, Y.; Zhao, H.; He, X.; Zhu, F.; Zhang, F.; Liu, B.; Liu, Q. Effects of Fermented Feed of Pennisetum giganteum on Growth Performance, Oxidative Stress, Immunity and Gastrointestinal Microflora of Boer Goats under Thermal Stress. Front. Microbiol. 2022, 13, 1030262. [Google Scholar] [CrossRef] [PubMed]
- Zhao, J.; Liu, H.-P.; Yin, X.-J.; Dong, Z.-H.; Wang, S.-R.; Li, J.-F.; Shao, T. Dynamics of Phyllosphere Microbiota and Chemical Parameters at Various Growth Stages and Their Contribution to Anaerobic Fermentation of Pennisetum giganteum. Microbiol. Spectr. 2023, 11, e02288-22. [Google Scholar] [CrossRef] [PubMed]
- Lai, A.; Huang, Y.; Luo, H.; Jin, Y.; Wang, L.; Chen, B.; Deng, K.; Huang, W.; Zhang, Y. Ruminal Degradation Characteristics of Bagasse with Different Fermentation Treatments in the Rumen of Beef Cattle. Anim. Sci. J. 2024, 95, e13937. [Google Scholar] [CrossRef] [PubMed]
- Wang, Q.; Wang, R.; Wang, C.; Dong, W.; Zhang, Z.; Zhao, L.; Zhang, X. Effects of Cellulase and Lactobacillus plantarum on Fermentation Quality, Chemical Composition, and Microbial Community of Mixed Silage of Whole-Plant Corn and Peanut Vines. Appl. Biochem. Biotechnol. 2022, 194, 2465–2480. [Google Scholar] [CrossRef]
- Xiao, Y.; Sun, L.; Wang, Z.; Wang, W.; Xin, X.; Xu, L.; Du, S. Fermentation Characteristics, Microbial Compositions, and Predicted Functional Profiles of Forage Oat Ensiled with Lactiplantibacillus plantarum or Lentilactobacillus buchneri. Fermentation 2022, 8, 707. [Google Scholar] [CrossRef]
- Iannaccone, F.; Alborino, V.; Dini, I.; Balestrieri, A.; Marra, R.; Davino, R.; Di Francia, A.; Masucci, F.; Serrapica, F.; Vinale, F. In Vitro Application of Exogenous Fibrolytic Enzymes from Trichoderma spp. to Improve Feed Utilization by Ruminants. Agriculture 2022, 12, 573. [Google Scholar] [CrossRef]
- Guo, G.; Yuan, X.; Li, L.; Wen, A.; Shao, T. Effects of Fibrolytic Enzymes, Molasses and Lactic Acid Bacteria on Fermentation Quality of Mixed Silage of Corn and Hulless–Barely Straw in the Tibetan Plateau. Grassl. Sci. 2014, 60, 240–246. [Google Scholar] [CrossRef]
- Kung, L.; Shaver, R.D.; Grant, R.J.; Schmidt, R.J. Silage Review: Interpretation of Chemical, Microbial, and Organoleptic Components of Silages. J. Dairy Sci. 2018, 101, 4020–4033. [Google Scholar] [CrossRef]
- Li, F.; Ding, Z.; Ke, W.; Xu, D.; Zhang, P.; Bai, J.; Mudassar, S.; Muhammad, I.; Guo, X. Ferulic Acid Esterase-Producing Lactic Acid Bacteria and Cellulase Pretreatments of Corn Stalk Silage at Two Different Temperatures: Ensiling Characteristics, Carbohydrates Composition and Enzymatic Saccharification. Bioresour. Technol. 2019, 282, 211–221. [Google Scholar] [CrossRef]
- Mu, L.; Xie, Z.; Hu, L.; Chen, G.; Zhang, Z. Lactobacillus plantarum and Molasses Alter Dynamic Chemical Composition, Microbial Community, and Aerobic Stability of Mixed (Amaranth and Rice Straw) Silage. J. Sci. Food Agric. 2021, 101, 5225–5235. [Google Scholar] [CrossRef] [PubMed]
- Kung, J.R.L. Silage Fermentation End Products and Microbial Populations: Their Relationships to Silage Quality and Animal Productivity. In Proceedings of the Annual Conference of the American Association of Bovine Practitioners, Charlotte, NC, USA, 25–27 September 2008; Volume 25, p. 27. [Google Scholar]
- Li, F.; Ke, W.; Ding, Z.; Bai, J.; Zhang, Y.; Xu, D.; Li, Z.; Guo, X. Pretreatment of Pennisetum sinese Silages with Ferulic Acid Esterase-Producing Lactic Acid Bacteria and Cellulase at Two Dry Matter Contents: Fermentation Characteristics, Carbohydrates Composition and Enzymatic Saccharification. Bioresour. Technol. 2020, 295, 122261. [Google Scholar] [CrossRef] [PubMed]
- Guo, G.; Shen, C.; Liu, Q.; Zhang, S.L.; Wang, C.; Chen, L.; Xu, Q.F.; Wang, Y.X.; Huo, W.J. Fermentation Quality and in Vitro Digestibility of First and Second Cut Alfalfa (Medicago sativa L.) Silages Harvested at Three Stages of Maturity. Anim. Feed Sci. Technol. 2019, 257, 114274. [Google Scholar] [CrossRef]
- Li, H.; Zeng, T.; Du, Z.; Dong, X.; Xin, Y.; Wu, Y.; Huang, L.; Liu, L.; Kang, B.; Jiang, D.; et al. Assessment on the Fermentation Quality and Bacterial Community of Mixed Silage of Faba Bean with Forage Wheat or Oat. Front. Microbiol. 2022, 13, 875819. [Google Scholar] [CrossRef] [PubMed]
- Yang, L.; Yuan, X.; Li, J.; Dong, Z.; Shao, T. Dynamics of Microbial Community and Fermentation Quality during Ensiling of Sterile and Nonsterile Alfalfa with or without Lactobacillus plantarum Inoculant. Bioresour. Technol. 2019, 275, 280–287. [Google Scholar] [CrossRef] [PubMed]
- Chen, L.; Bai, S.; You, M.; Xiao, B.; Li, P.; Cai, Y. Effect of a Low Temperature Tolerant Lactic Acid Bacteria Inoculant on the Fermentation Quality and Bacterial Community of Oat Round Bale Silage. Anim. Feed Sci. Technol. 2020, 269, 114669. [Google Scholar] [CrossRef]
- Romero, J.J.; Zhao, Y.; Balseca-Paredes, M.A.; Tiezzi, F.; Gutierrez-Rodriguez, E.; Castillo, M.S. Laboratory Silo Type and Inoculation Effects on Nutritional Composition, Fermentation, and Bacterial and Fungal Communities of Oat Silage. J. Dairy Sci. 2017, 100, 1812–1828. [Google Scholar] [CrossRef] [PubMed]
- Cai, Y.; Benno, Y.; Ogawa, M.; Ohmomo, S.; Kumai, S.; Nakase, T. Influence of Lactobacillus spp. from an Inoculant and of Weissella and Leuconostoc spp. from Forage Crops on Silage Fermentation. Appl. Environ. Microbiol. 1998, 64, 2982–2987. [Google Scholar] [CrossRef]
- Tian, J.; Xu, N.; Liu, B.; Huan, H.; Gu, H.; Dong, C.; Ding, C. Interaction Effect of Silo Density and Additives on the Fermentation Quality, Microbial Counts, Chemical Composition and in Vitro Degradability of Rice Straw Silage. Bioresour. Technol. 2020, 297, 122412. [Google Scholar] [CrossRef] [PubMed]
- Bao, X.; Feng, H.; Guo, G.; Huo, W.; Li, Q.; Xu, Q.; Liu, Q.; Wang, C.; Chen, L. Effects of Laccase and Lactic Acid Bacteria on the Fermentation Quality, Nutrient Composition, Enzymatic Hydrolysis, and Bacterial Community of Alfalfa Silage. Front. Microbiol. 2022, 13, 1035942. [Google Scholar] [CrossRef] [PubMed]
- Ren, H.; Wang, C.; Fan, W.; Zhang, B.; Li, Z.; Li, D. Effects of Formic or Acetic Acid on the Storage Quality of Mixed Air-Dried Corn Stover and Cabbage Waste, and Microbial Community Analysis. Food Technol. Biotechnol. 2018, 56, 71–82. [Google Scholar] [CrossRef] [PubMed]
- Cai, Y.; Benno, Y.; Ogawa, M.; Kumai, S. Effect of Applying Lactic Acid Bacteria Isolated from Forage Crops on Fermentation Characteristics and Aerobic Deterioration of Silage. J. Dairy Sci. 1999, 82, 520–526. [Google Scholar] [CrossRef] [PubMed]
- Dong, Z.; Shao, T.; Li, J.; Yang, L.; Yuan, X. Effect of Alfalfa Microbiota on Fermentation Quality and Bacterial Community Succession in Fresh or Sterile Napier Grass Silages. J. Dairy Sci. 2020, 103, 4288–4301. [Google Scholar] [CrossRef] [PubMed]
- Khota, W.; Pholsen, S.; Higgs, D.; Cai, Y. Natural Lactic Acid Bacteria Population of Tropical Grasses and Their Fermentation Factor Analysis of Silage Prepared with Cellulase and Inoculant. J. Dairy Sci. 2016, 99, 9768–9781. [Google Scholar] [CrossRef]
- Li, P.; Liao, C.; Yan, L.; Zhang, C.; Chen, L.; You, M.; Cheng, Q.; Chen, C. Effects of Small-Scale Silo Types and Additives on Silage Fermentation and Bacterial Community of High Moisture Alfalfa on the Qinghai-Tibetan Plateau. Anim. Feed Sci. Technol. 2023, 299, 115594. [Google Scholar] [CrossRef]
- Zheng, Y.; Li, M.; Xu, J.; Sun, H.; Cheng, Q.; Xie, Y.; Wang, C.; Chen, C.; Li, P. Effects of Different Cutting Methods and Additives on the Fermentation Quality and Microbial Community of Saccharum arundinaceum Silage. Front. Microbiol. 2022, 13, 999881. [Google Scholar] [CrossRef]
- Slot, J.C. Fungal Gene Cluster Diversity and Evolution. Adv. Genet. 2017, 100, 141–178. [Google Scholar] [CrossRef]
- Kanehisa, M.; Goto, S. KEGG: Kyoto Encyclopedia of Genes and Genomes. Nucleic Acids Res. 2000, 28, 27–30. [Google Scholar] [CrossRef] [PubMed]
- Bai, J.; Franco, M.; Ding, Z.; Hao, L.; Ke, W.; Wang, M.; Xie, D.; Li, Z.; Zhang, Y.; Ai, L.; et al. Effect of Bacillus amyloliquefaciens and Bacillus Subtilis on Fermentation, Dynamics of Bacterial Community and Their Functional Shifts of Whole-Plant Corn Silage. J. Anim. Sci. Biotechnol. 2022, 13, 7. [Google Scholar] [CrossRef]
- Wang, H.; Hao, W.; Ning, T.; Zheng, M.; Xu, C. Characterization of Culturable Yeast Species Associating with Whole Crop Corn and Total Mixed Ration Silage. Asian-Australas. J. Anim. Sci. 2017, 31, 198–207. [Google Scholar] [CrossRef]
- Bai, J.; Ding, Z.; Ke, W.; Xu, D.; Wang, M.; Huang, W.; Zhang, Y.; Liu, F.; Guo, X. Different Lactic Acid Bacteria and Their Combinations Regulated the Fermentation Process of Ensiled Alfalfa: Ensiling Characteristics, Dynamics of Bacterial Community and Their Functional Shifts. Microb. Biotechnol. 2021, 14, 1171–1182. [Google Scholar] [CrossRef] [PubMed]
- Kilstrup, M.; Hammer, K.; Ruhdal Jensen, P.; Martinussen, J. Nucleotide Metabolism and Its Control in Lactic Acid Bacteria. FEMS Microbiol. Rev. 2005, 29, 555–590. [Google Scholar] [CrossRef] [PubMed]





| DM | CP | NDF | ADF | Hemicellulose | WSC |
|---|---|---|---|---|---|
| of g/kg FM | |||||
| 245.2 | 99.7 | 608.4 | 343.9 | 264.5 | 38.0 |
| Item | Treatments | SEM | p-Value | |||
|---|---|---|---|---|---|---|
| CON | CE | LP | LPCE | |||
| DM (g/kg FM) | 223.8 ab | 226.9 ab | 217.1 b | 229.5 a | 1.73 | 0.031 |
| CP (g/kg DM) | 95.2 b | 101.5 ab | 104.8 a | 103.5 ab | 1.38 | 0.032 |
| NDF (g/kg DM) | 607.2 a | 537.4 b | 588.1 a | 548.1 b | 9.34 | 0.001 |
| ADF (g/kg DM) | 390.7 a | 334.7 bc | 344.6 b | 306.1 c | 9.81 | <0.001 |
| Hemicellulose (g/kg DM) | 216.5 | 202.7 | 243.5 | 242.0 | 7.43 | 0.125 |
| WSC (g/kg DM) | 23.6 b | 29.8 ab | 34.2 a | 24.2 ab | 1.613 | 0.030 |
| Item | Treatments | SEM | p-Value | |||
|---|---|---|---|---|---|---|
| CON | CE | LP | LPCE | |||
| pH | 3.75 | 3.69 | 3.73 | 3.79 | 0.03 | 0.672 |
| LA (g/kg DM) | 9.10 b | 10.98 b | 22.56 a | 11.59 b | 1.69 | <0.001 |
| AA (g/kg DM) | 21.55 | 15.26 | 20.21 | 12.12 | 1.56 | 0.089 |
| PA (g/kg DM) | 0.23 | 0.25 | 0.20 | ND | - | - |
| BA (g/kg DM) | 0.08 | ND | ND | ND | - | - |
| Ratio of LA/AA | 0.42 b | 0.80 ab | 1.16 a | 0.98 ab | 0.10 | 0.037 |
| NH3-N (g/kg TN) | 81.3 b | 114.0 ab | 114.0 ab | 165.3 a | 11.31 | 0.034 |
| Items | Treatments | SEM | p-Value | |||
|---|---|---|---|---|---|---|
| CON | CE | LP | LPCE | |||
| Chao | 250.3 | 184.4 | 287.0 | 193.4 | 17.82 | 0.097 |
| Ace | 251.4 | 186.1 | 291.4 | 196.5 | 17.48 | 0.102 |
| Shannon | 3.008 a | 2.226 bc | 2.670 ab | 2.137 c | 0.1149 | 0.001 |
| Simpson | 0.1155 b | 0.2803 a | 0.1966 ab | 0.2609 a | 0.0223 | 0.008 |
| Coverage | 0.9998 | 0.9998 | 0.9993 | 0.9996 | 0.0001 | - |
Disclaimer/Publisher’s Note: The statements, opinions and data contained in all publications are solely those of the individual author(s) and contributor(s) and not of MDPI and/or the editor(s). MDPI and/or the editor(s) disclaim responsibility for any injury to people or property resulting from any ideas, methods, instructions or products referred to in the content. |
© 2025 by the authors. Licensee MDPI, Basel, Switzerland. This article is an open access article distributed under the terms and conditions of the Creative Commons Attribution (CC BY) license (https://creativecommons.org/licenses/by/4.0/).
Share and Cite
Wu, Z.; Zhang, X.; Li, R.; Hui, J.; Deng, L.; Kim, I.; Wei, J.; Yao, J.; Lei, X. Effects of Cellulase and Lactiplantibacillus plantarum on Chemical Composition, Fermentation Characteristics, and Bacterial Community of Pennisetum giganteum z.x.lin Silage. Agriculture 2025, 15, 97. https://doi.org/10.3390/agriculture15010097
Wu Z, Zhang X, Li R, Hui J, Deng L, Kim I, Wei J, Yao J, Lei X. Effects of Cellulase and Lactiplantibacillus plantarum on Chemical Composition, Fermentation Characteristics, and Bacterial Community of Pennisetum giganteum z.x.lin Silage. Agriculture. 2025; 15(1):97. https://doi.org/10.3390/agriculture15010097
Chicago/Turabian StyleWu, Zhili, Xiongfei Zhang, Rongnuo Li, Jingtao Hui, Lu Deng, Inho Kim, Jie Wei, Junhu Yao, and Xinjian Lei. 2025. "Effects of Cellulase and Lactiplantibacillus plantarum on Chemical Composition, Fermentation Characteristics, and Bacterial Community of Pennisetum giganteum z.x.lin Silage" Agriculture 15, no. 1: 97. https://doi.org/10.3390/agriculture15010097
APA StyleWu, Z., Zhang, X., Li, R., Hui, J., Deng, L., Kim, I., Wei, J., Yao, J., & Lei, X. (2025). Effects of Cellulase and Lactiplantibacillus plantarum on Chemical Composition, Fermentation Characteristics, and Bacterial Community of Pennisetum giganteum z.x.lin Silage. Agriculture, 15(1), 97. https://doi.org/10.3390/agriculture15010097

