Next Article in Journal
Investigation of Volatile Organic Compounds of Whole-Plant Corn Silage Using HS-SPME-GC-MS, HS-GC-IMS and E-Nose
Next Article in Special Issue
Twenty Years of Poland’s EU Membership: What Is Progress in the Agri-Food Sector?
Previous Article in Journal
Development of EV Crawler-Type Weeding Robot for Organic Onion
Previous Article in Special Issue
The Use of Agricultural Services in European Union Regions Differing in Selected Agricultural Characteristics
 
 
Font Type:
Arial Georgia Verdana
Font Size:
Aa Aa Aa
Line Spacing:
Column Width:
Background:
Article

Impact of Regional Location and Territorial Characteristics on Profitability in the Spanish Pig Farming Industry

1
Department of Economics and Business, Faculty of Law, Economics and Tourism, University of Lleida, 25001 Lleida, Spain
2
Department of Applied Economics, Faculty of Economics and Business, University of Zaragoza, 50005 Zaragoza, Spain
*
Author to whom correspondence should be addressed.
Agriculture 2025, 15(1), 3; https://doi.org/10.3390/agriculture15010003
Submission received: 20 November 2024 / Revised: 16 December 2024 / Accepted: 20 December 2024 / Published: 24 December 2024
(This article belongs to the Special Issue Agricultural Markets and Agrifood Supply Chains)

Abstract

This work aimed to identify the locational, territorial and financial characteristics that impact the profitability of companies in the Spanish pig sector. The data were extracted from the SABI database, which contains economic and financial information. A sample of 1247 Spanish companies (14,254 observations) was obtained, providing an unbalanced panel dataset for the 2004–2018 period. The statistical analysis considered factors that potentially influence the profitability of companies, considering the potential existence of endogeneity issues among some of the variables analyzed. Companies tended to be located in autonomous communities in inland areas, which had higher depopulation rates and shorter average distances from companies to feed mills and slaughterhouses. There was regional specialization, which was influenced by the ability to invest in infrastructure, proximity to the markets, farm size and efficiency in resource management, which had a positive influence on profitability. These factors led to differences between regions, together with the support of public administration for companies that invest in sparsely populated areas. The results obtained will be of interest to policymakers developing measures aimed at providing better access to inputs through proximity to feed mills and slaughterhouses, as well as to new entrepreneurs in the sector who want to establish their businesses in the most specialized regions.

1. Introduction

The pig production sector plays a pivotal role globally, providing an affordable source of protein. In recent years, this sector has experienced significant growth, positioning Spain as the fourth largest producer of pork in the world, behind China, the United States and Germany. This expansion has been driven mainly by exports and the high competitiveness of the Spanish pig production companies [1]. However, this growth also highlights a need to understand the factors that determine profitability within the sector, an issue that is critical not only for private actors seeking to optimize their operations but also for policymakers responsible for ensuring sustainable growth while addressing socio-environmental issues.
For private stakeholders, including both large-scale producers and small-scale operators, a detailed understanding of the determinants of profitability can directly inform investment strategies, operational decisions and overall competitiveness. In Spain, the predominant model of pig farming is intensive, with the animals housed in closed facilities. This system has allowed large producers to capitalize on investment opportunities and anticipate price fluctuations in local and European markets [2]. However, it has also posed challenges for smaller farms, which struggle to compete in terms of cost efficiency and sustainability, often resulting in consolidation or forced integration with larger companies. Identifying the factors that can enhance the competitiveness of small and medium-sized operations remains a key concern for private actors in the sector.
From a public policy perspective, the swine production industry plays a vital role in sustaining regional populations, particularly in rural and depopulated areas where the industry serves as an important economic and social driver. The concentration of pig farming in these regions provides employment and sustenance for rural communities [3]. However, the sector also faces significant environmental challenges, particularly in waste management and resource utilization. Policymakers must address these environmental impacts while supporting the sector’s continued economic contribution. This study provides critical insights into the spatial distribution of pig farming enterprises and the role that regional subsidies and planning policies play in shaping the sustainability and economic impact of the sector.
Beyond its practical implications for industry stakeholders and policymakers, this study contributes to the academic literature in two important areas: the evolution of the pig sector in Spain and profitability within the industrial and agricultural sectors. Previous studies have identified several key factors that influence profitability, including firm size, technology adoption, access to resources and cost structures [4,5,6]. However, research focused specifically on the pig production sector remains limited, particularly regarding research on the impact of geographical and regional factors on profitability. This study adds to the growing body of research aimed at understanding how spatial distribution, environmental regulations and regional policies affect financial performance in the pig industry [7,8].
Geographical research has shown that factors such as the number of pig farms in a given region, the average number of animals per farm and residential population density are interrelated factors that significantly influence farm operations [9]. Starting from this premise, the present study introduced new variables that quantify the impact of location on the profitability of pig farms. Specifically, the characteristics of firms within Spain’s livestock production sector were analyzed, focusing on pig farming as their main activity, and how geographical factors influence their financial performance was examined. To achieve this, an unbalanced panel dataset was proposed as a predictive model, designed to address potential survival-related biases and endogeneity concerns. This model enhances the robustness and realism of this study by incorporating location-specific and qualitative variables, which have often been overlooked in previous studies, such as [10], which failed to account for these crucial determinants.
By focusing on the Spanish pig sector, this research contributes to the existing literature in two key ways. First, it deepens the understanding of how regional and territorial factors influence profitability in the increasingly industrialized pig production sector. Second, it offers practical insights into enhancing the competitiveness of pig farming, with particular emphasis on the challenges faced by smaller producers. The findings are relevant not only for academics studying profitability in this sector but also for practitioners seeking to optimize their businesses and policymakers tasked with balancing economic growth and environmental sustainability.
In summary, this study goes beyond the mere analysis of the evolution of the swine sector in Spain. It provides a comprehensive analysis of the profitability determinants within a specific part of this large sector, with a focus on regional and territorial factors. This approach responds to the growing need for more targeted research in this area, as highlighted by studies such as [11], which emphasize the importance of considering territorial variables when evaluating efficiency in pig production.
This paper is structured as follows: Section 2 introduces the variables and datasets used in the analysis. Section 3 provides an overview of the statistical methodology applied. Section 4 presents the empirical results, followed by a discussion in Section 5. Finally, Section 6 concludes this paper and outlines potential avenues for future research. In addition, this research contains two appendices: Appendix A, which details a descriptive statistical analysis of the data used in this study, and Appendix B, which details a comparative study of the models estimated using the complete and imputed observations.

2. Materials

2.1. Data

Company data were extracted from the SABI database as the main data source. This database, generated by Bureau van Dijk, contains financial information on Spanish companies going back to 1990. Mainly, this is information about profit and loss accounts, as well as balance sheets. This database contains information on companies that have submitted their annual accounts to the Commercial Registry. Thus, all individual companies that do not make their financial statements public are excluded. Included within this database are companies that are dedicated to livestock production in the pig sector as a primary activity, which may or may not be vertically and horizontally integrated. The pork sector is made up of many organizations and a wide typology of companies. Furthermore, SABI contains data for each company, which gave us much more specific information that is not based on sector average figures.
The original data correspond to an unbalanced panel dataset of 1810 firms with a total of 18,701 observations about the variables listed in Table A1 during the years 2004 to 2018. The intention here was to exclude the last pre-pandemic year to prevent the study period from overlapping with the effects of COVID-19 and the evolution of the pandemic in subsequent years. Before starting this study, the database was refined to avoid biases in the results obtained and increase their robustness. Firms with missing data on distance to the feed factory and slaughterhouse were deleted, given that these variables were considered exogenous. Therefore, the sample size was reduced to 1598 firms and 16,756 observations. Subsequently, firms with fewer than four observed years for the company-level variables were eliminated due to the small number of observations available. In addition, companies from the autonomous communities of Asturias, País Vasco, Islas Baleares and Islas Canarias were also deleted due to the small number of companies in the sample. The intent here was to avoid possible biases in the estimation of the model parameters.
In total, 1247 companies were analyzed (N = 1247), with a total of 14,254 observations, and 32.02% of the missing data corresponding to the company-level variables (see Section 2.2.1). The imputation process was carried out using the R 4.1.3. package missMDA [12], which performs a principal component analysis (PCA) on the incomplete data using regularized methods and selects their number, minimizing the mean squared prediction error of the observed data based on estimated data, using the calculated components. This procedure was used because, for each case with missing data, it uses all their available information about the company-level variables. In this way, attempts were made to mitigate the loss of representativeness of the sample due to this problem. The imputation process for missing data was carried out with the imputePCA function using the regularized iterative PCA algorithm described in [13]. A comparative study of the estimated model using complete and imputed observations did not reveal significant differences (see Table A4 in Appendix B).

2.2. Variables

The definitions and descriptive statistics of the ROA and independent variables at the company, sector and territorial levels are provided in Table A1 in Appendix A.
The profitability of the companies was measured using ROA. This rate measures a firm’s success in using assets to generate earnings [14]. ROA takes, as given, the particular set of environmental factors and strategic choices that a firm makes and focuses on how well a firm has used its assets for a particular period. In this study, ROA was used because the dependent variable is required to calculate the total yield of the farm regardless of how the farm is financed [15]. Obtaining profitability is necessary for the survival of a business, and a business must be profitable enough to remunerate the resources contributed by the owners and the external financial resources and thus preserve a margin for self-financing. This ratio has proven useful in papers in the agri-food sector as the best indicator of company performance [16,17].
The evolution of the average ROA over the study period is shown in Figure 1.
A significant drop in profitability can be observed in 2007, which reached a minimum of −0.97%, coinciding with a period of overproduction at the European level and a rise in cereal and feed prices. Pork prices remained low in 2008, and from that point on, there was a relatively sustained increase in average returns that peaked at 7.37% in 2017, with a marked increase in sales. This allowed for stability in production that was later turned into profitability.

2.2.1. Firm Variables

At the company level, the following explanatory or independent variables were used:
  • Company size, measured by the total assets (in thousands of euros) and transformed logarithmically;
  • Increase in company size, measured by the increase in the logarithm of total assets;
  • Age (in years);
  • Increase in sales (in %);
  • Liquidity ratio, measured as the ratio of current assets to current liabilities and transformed logarithmically;
  • Debt ratio, which divides total long-term and short-term debt by the company’s total assets and is transformed logarithmically.
Company size is anticipated to exert a positive and significant effect on profitability. Larger pig companies benefit from economies of scale, which lead to greater market power, higher profit margins per unit of investment and enhanced productivity [18]. In many countries outside Europe, consumers tend to favor large industrial pig companies due to their superior sanitary conditions and adherence to stricter food safety standards [19,20]. These companies can produce pork more efficiently and at a lower cost per unit. Additionally, they have greater access to resources for research and development, which enables the implementation of advanced technologies [21]. Increases in company size also lead to increasing returns to scale, correlating with a higher market share for larger companies [22].
Furthermore, company age is expected to have a negative impact on ROA, as former firms may struggle to adapt to rapid technological advancements [23]. Sales growth, on the other hand, is predicted to positively affect the livestock turnover rate, thereby lowering the cost per pig raised and increasing overall pork production. Liquidity is also likely to have a significant influence on profitability. Firms with greater liquidity face reduced risk, allowing them to cover short-term liabilities more effectively and consequently improve profitability. Conversely, debt is expected to negatively influence profitability. Although financial expenses do not directly influence EBIT, they do reduce net profit, which in turn limits the resources available for renewing outdated investments, potentially reducing productivity. Previous studies have consistently demonstrated a negative relationship between farm debt and both productivity and profitability [24].

2.2.2. Sector Variables

To analyze the impact of the characteristics at the sector level, their concentration, size and growth were studied. The independent variables at this level were as follows:
  • Market concentration, measured through the Herfindhal–Hirschman Index (HHI), commonly used to determine the level and changes in market concentration;
  • Annual increase in the level of sector sales, calculated as Δlog (sector sales).
An increase in industry sales is expected to be unfavorable for a company’s financial returns in the future due to the possible effect of new companies being attracted to the industry and increasing competition, thus causing a decrease in expected returns.

2.2.3. Territorial Variables

At the territorial level, specific factors and macroeconomic variables were used. The independent variables at this level have been considered in relation to the previous literature and include the following:
  • Unemployment rate (in %), transformed logarithmically;
  • Education level (in %), estimated through knowledge indicators, such as the percentage of educational attainment of the population;
  • Percentage of foreigners (in %), measured as the foreign-born proportion of the total population.
The unemployment rate implies an availability of labor in the area where the company is located. Therefore, the presence of unemployed or immigrant workers will favor agro-industrial development (slaughterhouses, cutting plants, farm infrastructure, etc.), which will provide better conditions for the development of pig farm activity. Meanwhile, the education level of farmers is known to have a positive correlation with the adoption of new technologies in the meat industry [25]. For these reasons, the unemployment rate, education level and percentage of foreigners are expected to provide information about the characteristics of the labor force in the area where an enterprise is located and to significantly and positively influence its performance. These three variables were obtained from the National Institute of Statistics.
Other variables at the territorial level include the following:
  • Population density, or the number of inhabitants per square kilometer for the municipality in which the company operates, the data for which come from the Ministry of Development through the Digital Atlas of Urban Areas in Spain;
  • Distance from the company to the nearest feed mill, or the distance, in kilometers, between an individual company and the nearest feed mill—similarly to how the distance to the nearest slaughterhouse is measured.
Population density’s expected effect on profitability is ambiguous. On the one hand, many new companies are being built in regions with low population density, which decreases the rejection of these companies by society, with lower labor and operating costs. On the other hand, the availability of technical suppliers of industrial structures and access to professionals with better training, as well as veterinary and pharmaceutical care, is lower in depopulated areas, leading to higher costs [6,26].
The proximity of companies to key points of interest, such as feed mills and slaughterhouses, is expected to influence profitability by reducing transportation costs. Proximity also helps in determining the location patterns of the most profitable firms. According to regional differences, regional dummy variables were included, indicating the autonomous community in which each company is located.
A noticeable degree of specialization in livestock production is evident across various Spanish regions, with most pig farming companies concentrated in the Ebro Valley, which spans the autonomous communities of Aragon and Cataluña [11].
Additionally, certain provinces, including Murcia, Badajoz, Segovia and Toledo, are home to a high concentration of pig farming companies, suggesting the existence of several interconnected clusters of firms that benefit from shared externalities and geographical proximity.
In addition, there is a distinct geographical and climatic profile that affects both production costs and farm efficiency. The inland regions of Spain, such as Aragon and Castile, tend to experience a drier and less humid climate than northern regions such as Galicia. Heat during the summer months favors optimal conditions for pig growth, as the dry climate helps mitigate disease risks and reduces humidity, which is a known risk factor for pig farms.
Furthermore, the most profitable regions for pig production tend to have better infrastructure, which facilitates logistics, product distribution and efficient resource management. For example, Aragon and Catalonia are well connected to major transport networks and have easy access to ports and airports, enhancing the transport of pigs and pig-derived products to both national and international markets.
Additionally, regions located near the main areas of cereal and soybean production typically benefit from lower costs of animal feed ingredients. In contrast, Galicia and other northern regions have limited capacity for large-scale cereal production, resulting in higher feed costs. In certain areas of Spain, regional governments offer subsidies to the pig sector to encourage environmentally sustainable farming practices. As a result, the location of a company within a particular autonomous community can influence its profitability, as it may benefit from regional policies that support the sustainability and efficiency of pig farms. Therefore, the autonomous community in which a company is located is an element that has the potential to influence its profitability.
Figure 2 shows the geographic location of the companies in the sample.
Figure 3 illustrates the annual evolution of the average values of firm characteristics, along with their respective 95% confidence intervals. A shift in the growth rate of farm sizes can be observed, decreasing from high levels of around 13–15% to lower levels of approximately 5–7%. In terms of firm age, a clear upward trend is evident, indirectly indicating the continued presence of firms in the sector, likely driven by increasing profitability over the period analyzed. A downward trend in sales growth can be observed between 2004 and 2009, reaching a local minimum in 2009, potentially due to the 2008 economic crisis, followed by a recovery in the subsequent years [27].
Finally, the annual evolution of liquidity and debt ratios shows clearly opposite trends: they increase in the case of liquidity and decrease in the case of the debt ratio, reflecting an inverse relationship. This inverse relationship implies that companies have been becoming less dependent on external financing in favor of equity, indicating that companies in the pig farming sector have experienced growing capitalization, with bank loans having less weight, favoring higher profitability. At the same time, liquidity has increased over time, indicating a certain level of economic recovery for the companies studied, which has enabled them to improve their balance sheets and reduce the need for external financing to meet their payment commitments.
Figure 4 shows the annual evolution of the HHI and the annual growth of total sales in the sector. In general, the HHI showed an increasing trend, with the sole exception being 2014, when there was a drop in the level of concentration, which continued until 2016 and then increased again until 2018. The annual level of sales growth was positive, except for in 2018, which was not significantly related (correlation coefficient equal to 0.069 with p value = 0.8156) to the HHI and peaked in 2017.
The total number of registered pig farms in December 2014 amounted to 86,552. Most recently, at the beginning of 2023, this figure was 88,437. A 13% decrease was observed between 2007 and 2014, although a recovery trend was observed throughout 2014, with an increase of 1.3% in the total number of pig farms compared with the December 2013 figures. The cumulative decrease was mainly due to the reduced number of smaller companies, a consequence of the sector’s restructuring. The change in the following years might have been due to welfare standards requirements, which involved the closure of some companies due to legal requirements regarding surface area and the number of animals per square meter [28].
Since 2018, the swine industry has been undergoing a progressive concentration process based on successive mergers, which has meant that the top ten companies now account for nearly 70% of total activity. There is every indication that this process will continue in the coming years in pursuit of greater size to gain competitiveness on a global scale.
Table A2 in Appendix A shows the companies’ location by autonomous community and calculates their representativeness (what percentage of the companies in each autonomous community is included in the sample). Most of the companies were located in inland communities (Aragón, Castilla y León, Castilla–La Mancha, Andalucía and Extremadura) and in Cataluña, reflecting, appropriately, the geographical distribution of the companies as shown in Figure 2.
Figure 5 and Figure 6 show the annual evolution of the socio-demographic characteristics of the companies’ locations, allowing a comparative study on autonomous communities. Figure 5 shows the evolution of educational levels and the percentage of foreigners. The lowest education levels tended to be in the communities located in the south and east (Andalucía, Extremadura, Castilla–La Mancha and Murcia), while the highest were in Madrid and the north-eastern communities (Cataluña, Aragón, Navarra). In all cases, however, there was an upward trend in education level, with a clear downward trend in the percentages of people with primary education and an upward trend in percentages of people with secondary and university education. In addition, with respect to the percentage of foreigners, an increasing trend was observed until 2013, with a subsequent stagnation from 2014 onwards. The highest percentages corresponded to Cataluña, Murcia, Madrid and Comunidad Valenciana—all regions with strong economic dynamism—while the lowest were observed in regions such as Galicia and Extremadura.
Figure 6 shows the evolution of the unemployment rate and population density. The unemployment rate reached a low in 2007, a year of great economic prosperity in Spain, followed by an upward trend that peaked in 2013 due to the crisis of 2008 and 2012 and a subsequent economic recovery that led to a clear downward trend in unemployment from 2014 onward. Meanwhile, population density remained constant throughout the period analyzed, with the highest levels of density observed in Madrid, Galicia, Andalucía and Cataluña, and the lowest in Aragón, Castilla y León, Extremadura and Castilla–La Mancha, which are the communities with the greatest challenges in terms of depopulation and aging.
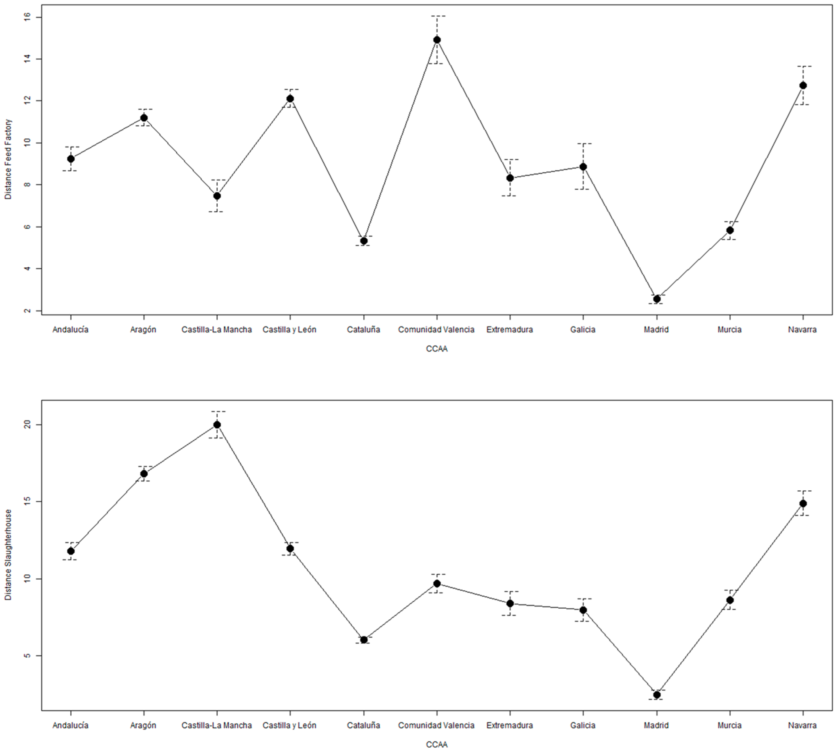
Figure 7 shows the average distances between the sample companies and their feed mills and slaughterhouses. The distances ranged between 5 and 8.5 km (see Table A1, median), but with widely dispersed values. Companies in the communities of Madrid, Cataluña and Murcia tended to be the closest to their feed mills and slaughterhouses.
Finally, Table A3 in Appendix A shows the average returns and standard deviations of the companies grouped by autonomous communities. Likewise, Figure 8 shows the annual evolution of average returns. The most profitable companies tended to be located in Aragón and Comunidad Valenciana, while the least profitable were in Galicia, Madrid and Navarra. However, the level of variability was high, which means that, although their evolution over the study period was similar, no community was clearly superior to the rest.

3. Methods

Given that the dataset corresponds to an unbalanced dynamic panel, dynamic models for panel data were used [29,30,31,32], whose statistical treatment was carried out using the plm statistical package of the R program [32]. The main advantages of these types of models include the possibility of controlling for unobservable heterogeneity and modeling dynamic responses with microdata. Equations with lags in exogenous and endogenous variables can be specified, allowing for the possibility of adjustment processes [29].
The data correspond to an unbalanced panel of N firms, each observed over T periods. The dependent variable was Y, and there were K independent variables observed at the firm level and year X = (X1, …, XK)′. More specifically, p variables were observed at the firm level, U = (U1, …, UP)′; Q at the year level, V = (V1, …, VQ)′; and R independent variables at the geographical location and year levels, W = (W1, …, WR)′.
In our case, the study period was reduced by one year (2005 to 2018) using one-period lagged covariates. In addition, for this reason, 6 companies were eliminated, as their number of observations was reduced to fewer than 4. Thus, N = 1241 and T = 14 (years 2005 to 2018), bringing the total number of observations to 12,505. The dependent and independent variables used in the model were as follows:
Y = ROA, K = 12, X = (LSize, LSize2 ΔLSize, (ΔLSize)2, Age, Age2, Sales_Incr, Sales_Incr2, LLiquidity, LLiquidity2, LIndeb, LIndeb2); p = 12, U = (Dist. Feed Factory, Dist. Slaughterhouse, ICCAAAndalucía, ICCAACataluña, ICCAACastillayLeon, ICCAACastillaLaMancha, ICCAAComunidadValenciana, ICCAAExtremadura, ICCAAGalicia, ICCAAMadrid, ICCAAMurcia, ICCAANavarra), where ICCAA are dummy variables corresponding to the CCAAs, taking Aragón as a reference; Q = 2, V = (HHI, ΔLSales_Sector)′ and R = 5, W = (LDensity, LUnemp, EdPrim, EdSec, Foreign)′, where Δ is the difference operator.
Notice that quadratic terms were used for the company-level observed variables to try to capture the existence of possible non-linear effects in the ROA evolution.
The observed data are given by:
{yit, Xi,t = (Xi,t,1, …, Xi,t,K)′, Ui,t = (Ui,1, …, Ui,P)’, Vt = (Vt,1, …, Vt,Q)′
W t = ( W g 1 i , t , 1 , , W g R i , t , R ) , t T i { 1 , , T } ; i = { 1 , , N }
where gr(i) = the geographical location of the i-th company associated with the Wr variable (CCAA in the case of EdPrim and EdHigh; a province in the case of foreign and LUnemp and a municipality in the case of LDensity). Ti is the set of periods for which the i-th company had complete data on all variables and which, in all cases analyzed, had a cardinal number greater than or equal to four.
The model used in this study is a dynamic panel model with fixed effects and time effects given by:
y i , t = α i + δ t + ρ y i , t 1 + k = 1 K β k X i , t 1 , k + p = 1 P γ p U i , p + r = 1 R φ r W g r ( i ) , t 1 , r + q = 1 Q ϕ q V t 1 , q + ε i , t
where
β = (β1, …, βK)′ reflects the effects of company X’s characteristics, changing over time, on its profitability.
γ = (γ1, …, γP)′ reflects the effects of company U’s covariates, constant over time, on its profitability.
φ = (φ1, …, φR)′ reflects the effects of company W’s covariates, dependent on the geographical areas in which the company operates, on its profitability.
ϕ = (ϕ1, …, ϕQ)′ reflects the effects of company V’s temporal covariates, dependent on its sector of activity, on its profitability.
δ = (δ1, …, δT)′ reflects the effect of omitted temporal variables. These effects can be fixed or random depending on whether they are correlated with the rest of the independent variables in the model.
α = (α1, …, αN)′ reflects the effect of fixed company characteristics omitted from the model. These effects can be fixed or random depending on whether they are correlated with the other independent variables in the model.
ρ reflects the dynamic effect of the profitability obtained in past periods.
Notice that independent variables were lagged in one period to avoid possible endogeneity problems and evaluate the predictive power of the independent variables. (Only one lagged period was considered so as not to further reduce the number of companies analyzed, which could reduce the level of generality of the results obtained.)
The models were estimated by means of the quasi-maximum likelihood method, using the plm function of the plm package of the R statistical program [32]. The significance of the model parameters was analyzed using the F test and the goodness of fit using the adjusted multiple correlation coefficient R2.
The model comparison and selection processes in panel data models involve performing pool ability tests that analyze, by means of F tests, the joint significance of the fixed or random, individual or temporal effects included in the model. In this case, these tests were performed using the pFtest function of the plm package.
The comparison of models with fixed or random effects, which analyzes whether random- or fixed-effects models should be applied, was performed using the Hausman test [33] by applying the phtest function of the plm package.
The existence of serial correlation problems was analyzed using the Wooldridge test [31], which performs well for panels with few time observations. For this purpose, the pwartest function of the plm package was used and generated using the statistical value and the p value of the contrast. Here, given the small number of time observations of some of the series analyzed in this paper, the alternative hypothesis for these contrasts is the existence of second-order autoregressive dependence.
Finally, the model was simplified by eliminating its non-significant regression coefficients so that there were no significant differences at 5% between the simplified model and model (1). For this purpose, the F test for nested models was applied.

4. Results

Table 1 shows the estimated coefficients of model (1) containing all the variables, except for the fixed effects per company, and the simplified model obtained through a variable selection process that eliminates variables and fixed effects that are not significant at 5%. Table 2 shows the results of the goodness-of-fit test of the general model and the comparative study of the simplified model and the general model.
First, a company’s characteristics were found to have a significant influence on profitability. These influences were, in general, of a quadratic type, having a U-shape in the variables LSize, ΔLSize and the debt ratio and an inverted U-shape in the variable age. Finally, the effects of the increase in sales and the liquidity ratio increased and decreased linearly, respectively. These results are concordant with previous studies in the literature, for instance, those on the influence of size on firm profitability in the swine industry ([10,34,35] or for general firms [36]) that highlight that size exerts a significant effect, but that this influence could be non-linear. The results also agree with previous studies with regard to financial variables [10,37]. For example, a recent paper by Tisouni et al. [37] highlights the use of financial indicators to manage economic sustainability in pig farms, suggesting that careful analysis of the relationships between liquidity, debt structure and profit margins can optimize profitability.
These findings are important for understanding the scale effects of firms in the pig sector. For example, while larger companies tend to benefit from economies of scale, their profitability begins to decrease beyond a certain threshold, likely due to the declining returns on investment as they grow.
This suggests that, while growth is essential, it must be accompanied by efficient resource management and strategic investments. Moreover, the U-shaped relationship observed for variables such as company size and size changes implies that small firms have the potential to see significant profitability gains if they grow efficiently. However, after a certain point, these profits begin to decline due to the complexities and challenges of managing larger operations. For policymakers, these results could inform policies that promote optimal firm sizes and investment strategies that maximize profitability in the sector.
The increase in sales had, essentially, an increasing effect on profitability, with an estimated growth in profitability of 0.78% if the level of sales grew by 1%. However, the effect of the increase in size on profitability was essentially decreasing (the minimum increase in size to achieve increasing effects on profitability was estimated at 154%), with an estimated reduction in profitability of −0.73% if size grew by 1%. This is most likely because firms tend to devote their profits to reducing their debt levels (see Figure 3).
The direct relationship between sales growth and profitability is another key finding, as a 1% increase in sales led to an estimated 0.78% increase in profitability. This highlights the importance of market expansion and increased demand for the profitability of firms in the sector. However, the negative relationship observed between the growth rate of sector-wide sales and profitability suggests that an increase in market size and competition can reduce profitability. This could be due to a decrease in sector concentration, which tends to lower individual companies’ pricing power and increase competitive pressure. Thus, regional policies that balance growth with the concentration of businesses could help mitigate this effect.
Regarding size, a minimum company size of around EUR 1.93 million is estimated to be able to achieve increased profitability. This is most likely because in small companies, a growth in asset size implies a slowdown in the increase in profitability due to the effect of fixed asset depreciation on profits.
The effect of age increased profitability in companies up to 24.56 years of age, when it peaked at 1.55% and then began to decrease, most likely due to the lack of renewal of tangible fixed assets in the oldest companies.
Finally, it was observed that debt and liquidity, whose components are inversely related, had a direct leverage effect on profitability, as companies with liquidity problems use debt as a resource to increase funds allocated to investment and obtain larger profits. In this case, firms in the pig sector tend to take on debt, increasing their profitability with debt ratios above 0.11. This relationship underlines the fundamental role of financial strategies and resource management in the sector. For firms operating with limited liquidity, strategic borrowing can be a necessary tool for growth, but it carries risks. Policymakers could consider facilitating access to financing for smaller firms in the sector, particularly those in sparsely populated areas, to boost their operational capacity without exacerbating financial instability. The graphs in Figure 1 and Figure 3 show that these increases in profitability allow them to reduce their debt ratios while improving their liquidity ratios.
The effect of the annual growth rate of the sector’s total sales was significantly negative, with an estimated 0.1663% decrease in the expected profitability of the sector for each 1% increase in such sales. This seemingly counterintuitive effect is most likely because a positive growth rate in the sector would increase the sector’s attractiveness, which would cause a decrease in the degree of concentration by increasing the number of companies. This would lead to an increase in the sector’s degree of competition, which would manifest itself through a decrease in the expected level of profitability in the future.
No significant effects were observed for education levels, the percentage of foreigners or the unemployment rate. This is most likely due to the high level of aggregation of these variables, which are measured not at the municipal level but at the provincial or regional level. No significant effects of density were observed either.
The effects of geographic location arise from the distances between the companies and the feed mills and slaughterhouses, and they were negative in nature: the greater the distance, the lower the profitability. The distance to the closest feed mill had a greater impact (with an expected decrease in profitability of 0.33% for each 1 km increase in distance) than the distance to the closest slaughterhouse (with an expected decrease in profitability of 0.22% for each 1 km increase in distance). This highlights the importance of infrastructure in enhancing the competitiveness of firms in the pig sector. The cost of transporting feed and livestock, combined with the associated logistics challenges, underscores the economic benefits of regional investments in infrastructure.
Likewise, the autonomous community in which a farm is located had a significant effect, so, ceteris paribus, companies located in Andalucía, Aragón and Castilla y León tended to be the most profitable, while those located in Galicia and Extremadura tended to be the least profitable. These regional disparities are likely influenced by factors such as access to infrastructure, specialized knowledge and economies of scale that are more readily available in certain areas. For policymakers, this emphasizes the need for targeted interventions that improve infrastructure and market access in less profitable regions, ensuring that companies in these areas can compete more effectively.
The analysis of goodness of fit (see Table 2) of the estimated models demonstrated an adequate goodness of fit, but with a low explanatory level (adjusted R2 coefficient of 25.83%), with both time-related fixed effects and individual fixed effects being significant, and no significant residual correlation at 1%.
Table 3 shows the results of a dynamic study on the spatial dependency of the residuals of the model. The values are shown with their Moran spatial autocorrelation corresponding to each year and using the inverse of Euclidean distance between farms as weights. The values of these autocorrelations are small (less than 0.05 in all years), and most of them are statistically not significant.
Finally, to analyze the robustness of our results to alternative specifications of the model, we compared our model with two alternative models: the first one assumes that the coefficients of the model (1) depend on the CCAA; the second one assumes that these coefficients depend on time. In the first model, we eliminated the firm effects, while in the second model, we eliminated the time effects and the sector covariates, whose values depend solely on time, to avoid multicollinearity problems. The comparison was made using the adjusted R2 and the AIC and BIC criteria, which take into account the fitness and the parsimony of the compared models. The results of this study are shown in Table 4. For all these criteria, the model proposed in this paper demonstrated a better performance than the other two models, which supports the robustness of the obtained results to alternative specifications.
The model’s goodness-of-fit indicators, including the adjusted R2 of 25.83%, showed that while the model provides valuable insights into the factors affecting profitability, there are additional unobserved factors or complexities that could further explain profitability in this sector. The analysis of spatial autocorrelation confirmed that residuals showed no significant spatial dependency, suggesting that the results are not unduly influenced by geographic clustering.
Furthermore, the comparison with alternative models further strengthens the robustness of the results, confirming that the proposed model offers the best balance between explanatory power and parsimony. This reinforces the reliability of the findings and supports the policy recommendations derived from the analysis.

5. Discussion

This study looked at the characteristics of pig companies in Spain. Using an unbalanced panel data predictive model, locational, territorial and financial determinants of profitability were obtained. First, a relatively low positive significant persistence was detected, which in quantitative terms was estimated at around 15% of previous profitability. This was likely caused by the strong bargaining power pig companies hold with meat processors [38].
According to [39], company size has a positive effect on performance measures. Similarly, ref. [40] demonstrated that larger companies tend to perform better than smaller companies in net value and efficiency. Furthermore, ref. [21] highlighted the advantage of large-scale pig farms, which can produce pork more efficiently and at a lower cost per unit of production. Additionally, ref. [35], using profitability indices, labor productivity and operational metrics, analyzed the performance of firms in the pork sector according to their size. Stronger financial performance was observed in larger firms compared to smaller ones. Our results are in line with [21,35,40] since the largest values in profitability tended to occur in the large firms.
Regarding the age of the firm (Age), a significant effect was observed, but not a linear relationship. This implies that a company would reach its maximum profitability at around 24–25 years. In general, the companies in this study had an average age of around 14–15 years, which implies that they are in a stage of expected growth. It could be assumed that the organizational rigidities, slower growth and obsolete assets [6] of former firms tend to have a negative and proportional impact on profitability [41]. Thereafter, profitability would decrease due to the lack of quality in terms of innovation [42], inertia and bureaucracy [43]. The presence of any of these factors may reduce firms’ ability to react to adverse economic circumstances.
Regarding the sales growth variable, a significantly positive relationship with increasing yields was identified. This result suggests an association between sales growth and the probability of survival. This is because sales growth leads to increases in investment and thus size, reducing the risk of firm closure [6,44,45,46,47]. Since these estimates were found to have a predictive effect, it can be inferred that prior growth leads to future growth in both sales and profitability. These results are in line with those of other authors who have also observed this predictive effect [44].
From the relationship between financial variables in companies’ balance sheets, an inverse relationship between liquidity and profitability was obtained. This inverse relationship implies that a decrease in the corporate liquidity ratio leads to an increase in the profitability of investments made in the future. Conversely, the higher the liquidity ratio, the lower the profitability will tend to be. This effect may be a consequence of the appearance of so-called idle resources, which condition the future profitability of investments that could be made at the present time. In general terms, debt has a positive effect on profitability, despite the risk assumed, which the analyzed companies attempted to mitigate by reducing their debt levels in the period studied (see Figure 3). In contrast, liquidity showed an increasing trend. When reducing debt levels, companies tended to become more liquid and therefore reduced their financial risk. Previous studies show that the companies that are less vulnerable to crisis situations are those that maintain stable profitability levels and are characterized by growth in their assets and a reduction in their debt levels [6,16].
The demographic and labor variables (education, unemployment rate, percentage of foreigners, density) did not show a significant influence in this study. Their low influence may be due to the high level of aggregation in each autonomous community. This was the case with the variables related to education and province, which did not show a significant effect that, perhaps, would have been seen at the municipal level. In the case of population density, its non-significant effect has also appeared in previous studies [6] and may reflect its own ambiguity. On the one hand, it could have been negative due to environmental reasons, given that companies tended to be located in sparsely populated areas with lower labor and production costs. On the other hand, for companies located in high-density areas, with more qualified labor and greater proximity to points of interest (suppliers of raw materials, veterinary medicine, facilities, etc.), this effect could have been expected to be positive.
Additionally, the variable of sales growth in the sector and its relationship with profitability in the following year was analyzed. Our results show a negative effect, which means that when sales decrease in the sector, a company’s expected profitability increases. This fact can be explained by the variations in “market share”—one of the variables used in empirical studies of structure and performance to explain the differences in profitability between companies [48]. In a study on Spanish manufacturing, the authors of [48] found a positive correlation between profitability and market share. Market share is determined by dividing a firm’s sales by the industry total for an entire fiscal period. Specifically, as market share increases, a company is likely to have a higher profit margin, a decreasing purchase-to-sales ratio, higher quality and higher-priced products [49]. In our case, the changes that the sector underwent during the period under study were observed, with a notable decrease in the total number of smaller companies, while larger companies increased in a clear restructuring of the sector [1]. Thus, in the years the sector’s sales decreased, the company’s market share grew, with companies obtaining higher rates of profitability in the following years.
From a territorial point of view, variables such as the distance between the company and the nearest feed mill [50], as well as the distance to the nearest slaughterhouse, have been widely used. Closer proximity to these key locations means lower transportation costs, as well as a decrease in time, processing and risk to animal health [51]. The relationship and effects of both variables were negative and significant, so the shorter the distance to the nearest feed mill or slaughterhouse, the higher the profitability.
The importance of intraregional differences in terms of incentives, legislation, concentration of pig production, etc., influences the costs and profitability of companies [52]; therefore, we incorporated the regional variable into the analysis. The community taken as a reference was Aragón, because it has the highest number of pig production companies [53]. Our results indicate that belonging to a certain autonomous community in Spain has a significant effect, as we observed that the communities of Castilla y León, Aragón and Andalucía tended to have, ceteris paribus, higher levels of profitability, while Galicia tended to have lower levels of profitability. Note that our sample is not completely representative of all the regions of Spain, such as Asturias, País Vasco, Islas Baleares and Islas Canarias, due to the small number of relevant companies in some areas.

6. Conclusions

This paper analyzes the impact of several factors related to the firm, sector, territory and location that affect the profitability of pig farming companies.
For this purpose, unbalanced panel data analysis techniques were applied to a sample of companies extracted from the SABI database, thus mitigating possible survival biases. The proposed model is a dynamic panel data model with fixed effects (both temporal and individual), in which the independent variables are lagged in one period to, on the one hand, reduce possible problems of endogeneity and, on the other hand, lend a predictive character to this study, which increases its levels of reliability and realism.
Over the years, there has been a remarkable increase in the average size of companies, as well as an increase in sales figures. As demand continues to grow, it is important to emphasize that companies with assets exceeding EUR two million tend to increase their profitability as they expand their economic infrastructure. In contrast, smaller firms face challenges due to economic conditions and stringent environmental regulations, which often result in lower profitability. Interestingly, younger companies tend to achieve higher profitability rates, while former firms tend to experience a decline because of organizational rigidities, slower growth and obsolete assets.
Throughout the period studied, the companies in the sector reduced their debt levels, with a consequent reduction in the financial risk that could compromise the profitability of the business in the future. Finally, pig sector showed sales growth that corroborates the current growing demand; however, as explained in the Discussion, this growth had a negative effect on profitability.
At the regional level, there were significant differences in the profitability of companies due to their location, and companies close to feed mills and slaughterhouses experienced a positive effect due to reduced transport costs, time and risk. The autonomous community in which a company was based also affected profitability; we observed that companies in inland communities (Andalucía, Aragón, Castilla–La Mancha and Castilla y León) tended to be more profitable, which explains the clustering dynamics and tendencies of companies at the Spanish regional level. This was the case in Aragon, a highly important region in the swine industry, which allows economies of scale. Having large farms and a high production volume means fixed costs are spread over more units produced, which increases profitability. In Galicia, production was more dispersed, and there was a greater presence of small farms, which makes it difficult to achieve these economies of scale. Furthermore, it is possible that clusters most likely arise due to environmental issues, legislation and other aspects that would be interesting to explore in future research. Over the years, the existence of a significant positive persistence in the profitability of businesses has been observed, which has provided security and stability in terms of investment. However, the current situation implies a change in the decision-making capacity of small business owners, where companies with great financial capacity have transformed the role of the farmer into a subcontractor for large firms.
However, no significant demographic variables (level of education, unemployment rate, percentage of foreigners, density) were observed to affect profitability. For the first three variables, this is probably due to the high level of aggregation with which they were measured. This is a limitation in our work that should be improved in subsequent studies. There is also a limitation regarding the high percentage of missing data, which means that the results obtained should be interpreted with caution. In particular, even though our results do not reveal any significant spatial effects, this is an issue that should be analyzed in more depth in future papers using a larger and more balanced sample.
Additionally, the fact that individual companies are not required to make their financial statements public means that some could not be studied. In this sector, there are also many different types of companies, which may or may not be vertically or horizontally integrated and practicing different types of activity. In this sense, an attempt was made to demonstrate, by studying livestock production in pig farming, how this sector is organized territorially and companies’ proximity to selected points of interest. However, other databases could be considered to obtain data with more precise information about the activities that each company carries out and their importance in terms of the turnover rate. Moreover, the post-COVID-19 years were excluded, which is a limitation in this study but will be considered in the future research.
These findings have several important implications for policy development. Governments and regional authorities can use these insights to design support measures that enhance profitability and competitiveness in the Spanish pig sector.
Potential policy recommendations include the following: investments in infrastructure to reduce transportation costs and facilitate easier access to feed mills and slaughterhouses; support for small and medium-sized enterprises (SMEs) by offering financial incentives, training programs and access to capital, particularly for companies in less profitable regions; and promotion of regional specialization to encourage the development of specialized knowledge, efficient resource management and the use of economies of scale in profitable regions to strengthen competitiveness.
Finally, the results of this study offer a comprehensive understanding of the factors driving profitability in the Spanish pig sector. From the characteristics of individual companies to geographical and sectoral factors, each plays a pivotal role in shaping the economic landscape of the industry. A final policy recommendation is as follows: regulation of market entry to avoid oversaturation in certain regions and help maintain healthy competition levels, ensuring that companies can maintain profitability as the sector grows.

Author Contributions

Conceptualization, A.C. and J.L.G.; Data curation, A.C. and M.S.; Formal analysis, M.S.; Investigation, A.C.; Methodology, M.S.; Resources, A.C.; Supervision, J.L.G. and M.S.; Validation, J.L.G.; Writing—original draft, A.C.; Writing—review and editing, A.C. and J.L.G. All authors have read and agreed to the published version of the manuscript.

Funding

This research was funded by Gobierno de Aragón: Project S41-23R.

Institutional Review Board Statement

Not applicable.

Data Availability Statement

The data will be made available on request from the corresponding author.

Conflicts of Interest

The authors declare no conflicts of interest.

Appendix A

Table A1. Descriptive statistics of the variables analyzed.
Table A1. Descriptive statistics of the variables analyzed.
VariableMeaningMeanMedianStd.MinMaxSkewnessKurtosis
ROAReturn on Assets0.03870.03360.1051−0.96180.9951−0.0114.67
LSizeLog(Size)65.51064.92413.5760.170912.270.151.07
ΔLSizeΔLog(Size)0.06750.01480.3482−30.34870.6675.9076.94
AgeAge14.4213.008.671.0067.001.122.19
Sales IncrSales Increase0.02850.03750.4601−81.81023.901−3.4844.77
LiquidityLiquidity Ratio2.031.185.630.00340.2335.781839.00
IndebDebt Ratio0.700.690.340.009.633.3348.75
HHIMarket Concentration165.3626.92120.06137.99171.90185.34218.46
ΔLSales_SectorΔLog(Sales_Sector)0.08290.08960.05890.00590.21350.5521−0.3894
UnemploymentUnemployment Rate16.1215.197.293.0342.310.54−0.21
Primary Education%Primary Education45.9545.007.2327.1068.300.28−0.16
Secondary Education%Secondary Education22.0021.862.6912.8327.40−0.270.09
High Education%High Education32.0532.225.1518.7547.210.100.07
ForeignForeigners Rate10.7211.234.551.5421.09−0.14−0.65
DensityPopulation Density563.4646.201721.101.4017,041.505.6742.11
Dist. Feed FactoryDistance to Feed Factory9.085.1910.390.0073.861.673.53
Dist. SlaughterhouseDistance to Slaughterhouse11.508.4011.210.0061.921.211.36
Table A2. Frequency distribution of the companies’ CCAA and representativeness of the SABI sample.
Table A2. Frequency distribution of the companies’ CCAA and representativeness of the SABI sample.
CCAAFrequencyPercentage (%)Representativity (%)
Andalucía1209.621.03
Aragón28723.026.27
Castilla y León22017.642.67
Castilla–La Mancha816.505.62
Cataluña27121.734.55
Comunidad Valenciana504.015.18
Extremadura554.410.41
Galicia383.050.13
Madrid403.2133.61
Murcia594.734.09
Navarra262.092.21
Total1247100.005.84
Table A3. Average profitability of companies grouped by CCAA.
Table A3. Average profitability of companies grouped by CCAA.
CCAAMeanStd.
Andalucía3.23%10.51%
Aragón4.50%8.81%
Castilla y León4.14%11.80%
Castilla–La Mancha4.19%9.18%
Cataluña3.43%9.77%
Comunidad Valenciana4.58%11.70%
Extremadura4.95%12.47%
Galicia1.23%11.63%
Madrid1.92%12.98%
Murcia4.31%12.19%
Navarra2.91%10.50%
España3.87%10.51%

Appendix B

Table A4. Estimates of regression coefficients of model (1) with complete and imputed observations (significant negative coefficients are shown in red and significant positive coefficients in blue).
Table A4. Estimates of regression coefficients of model (1) with complete and imputed observations (significant negative coefficients are shown in red and significant positive coefficients in blue).
General Model with Complete ObservationsGeneral Model with Imputed Observations
EstimateSEPr (>|z|)EstimateSEPr (>|z|)
Intercept0.73090.36450.04501.11550.46070.0155
ROAt−10.15830.01120.00000.15300.00930.0000
LSizet−1−0.05910.01470.0001−0.03140.00880.0003
(LSizet−1)20.00250.00110.01820.00120.00070.0759
ΔLSizet−1−0.01370.00520.0079−0.00930.00360.0099
LSizet−1)20.01720.00500.00070.00310.00110.0036
Aget−10.03290.00690.00000.00390.00640.5415
(Aget−1)20.00000.00000.0211−3.72 × 10−50.00000.0130
Sales_Incrt−10.00930.00220.00000.00940.00220.0000
(Sales_Incrt−1)20.00130.00080.08400.00180.00070.0156
LLiquidityt−1−0.00560.00150.0003−0.00580.00140.0000
(LLiquidityt−1)20.00020.00040.6129−0.00020.00040.6523
LIndebt−10.07460.00580.00000.05280.00450.0000
(LIndebt−1)20.01800.00230.00000.01210.00150.0000
LUnempt−1−0.00620.00150.00010.00000.00140.9772
EdPrimt−10.23920.11100.0312−0.18420.10170.0701
EdSect−10.00460.00840.58370.00320.00800.6878
Foreignt−10.00080.00130.51960.00080.00120.4926
LDensityt−1−0.00120.00100.2398−0.00030.00100.7968
HHIt−10.00030.00210.8865−0.00010.00190.9673
ΔLSales Sectort−1−0.02680.02690.3195−0.00120.02470.9627
Dist. Feed Factory−0.00050.00950.9610−0.04480.01790.0121
Dist. Slaughterhouse0.01130.01350.40000.04080.02180.0619
Andalucía0.30330.10760.00480.00910.12090.9400
Cataluña0.04480.07340.5411−0.55040.27290.0438
Castilla y León−0.05680.15310.71080.08710.10800.4199
Castilla–La Mancha−0.37890.14310.0081−0.52670.22810.0210
Cdad. Valenciana0.21050.15000.1606−0.67440.33710.0455
Extremadura0.16250.21020.4395−0.49240.29250.0923
Galicia−0.35920.11510.0018−0.75500.24680.0022
Madrid0.29800.13730.0300−0.55560.30520.0688
Murcia0.51270.34500.1373−0.88090.41260.0328
Navarra0.14980.08810.0892−0.14360.09530.1320

References

  1. Giménez, R.; Espejo, C.; García, R.; Ruiz, V. The pig sector in Spain: Characterization, production, trade and derived environmental problems. TERRA 2021, 8, 194–230. [Google Scholar] [CrossRef]
  2. Horrillo, A.; Gaspar, P.; Muñoz, Á.; Escribano, M.; González, E. Fattening Iberian Pigs Indoors vs. Outdoors: Production Performance and Market Value. Animals 2023, 13, 506. [Google Scholar] [CrossRef] [PubMed]
  3. Doyle, C.; Mitchell, M.; Topp, K. Effectiveness of farm policies on social and economic development in rural areas. Eur. Rev. Agric. Econ. 1997, 24, 530–546. [Google Scholar] [CrossRef]
  4. Claver, E.; Molina, J.; Tarí, J. Firm and Industry Effects on Firm Profitability: A Spanish Empirical Analysis. Eur. Manag. J. 2002, 20, 321–328. [Google Scholar] [CrossRef]
  5. Pindado, E.; Alarcon, S. Quality strategies and profitability: A multilevel analysis in the meat industry. In Business Strategies. Types, Benefits and Effects on Firm Performance; Porter, C., Ed.; Nova Publisher: Hauppauge, NY, USA, 2015; pp. 51–72. [Google Scholar]
  6. Zouaghi, F.; Sánchez-García, M.; Hirsch, S. What drives firm profitability? A multilevel approach to the Spanish agri-food sector. Span. J. Agric. Res. 2017, 15, e0117. [Google Scholar] [CrossRef]
  7. Usai, S.; Paci, R. Externalities and local economic growth in manufacturing industries. In European Regional Growth; Fingleton, B., Ed.; Springer: Berlin/Heidelberg, Germany, 2003; pp. 293–321. [Google Scholar]
  8. Frederiksen, P.; Langer, V. Localisation and Concentration of Organic Farming in the 1990s. The Danish Case. J. Econ. Hum. Geogr. 2004, 95, 539–549. [Google Scholar] [CrossRef]
  9. Peplinski, B. Location of Cows and Pigs in Suburban Areas of Polish Metropolitan Centers. Sustainability 2020, 12, 2619. [Google Scholar] [CrossRef]
  10. Cardil, A.; Gallizo, J.L.; Salvador, M. Factors that affect profitability in the Spanish pig farming industry. Span. J. Agric. Res. 2023, 21, e0106. [Google Scholar] [CrossRef]
  11. Cabas, J.; Guesmi, B.; Sidhoum, A.; Gil, J.M. Measuring technical efficiency of Spanish pig farming: Quantile stochastic frontier approach. Aust. J. Agric. Resour. Econ. 2023, 67, 688–703. [Google Scholar]
  12. Josse, J.; Husson, F. Handling missing values in exploratory multivariate data analysis methods. J. Soc. Fr. Stat. 2012, 153, 79–99. [Google Scholar]
  13. Josse, J.; Husson, F. missMDA: A Package for Handling Missing Values in Multivariate Data Analysis. J. Stat. Softw. 2016, 70, 1–31. [Google Scholar] [CrossRef]
  14. Whalen, J.; Baginski, S.; Bradshaw, M. Financial Reporting, Financial Statement Analysis and Valuation; Cengage Learning: Boston, MA, USA, 2018. [Google Scholar]
  15. Hedija, V.; Kuncová, M. Relationship between efficiency and profitability: The case of Czech swine sector. Span. J. Agric. Res. 2021, 19, e0102. [Google Scholar] [CrossRef]
  16. Grau, A.J.; Reig, A. Vertical integration and profitability of the agrifood industry in an economic crisis context. Span. J. Agric. Res. 2015, 13, e0107. [Google Scholar] [CrossRef]
  17. Gallizo, J.L.; Moreno, J.; Salvador, M. The influence of family ownership in the profitability of vertically integrated companies. Evidence from the Spanish agri-food industry. Span. J. Agric. Res. 2019, 17, e0108. [Google Scholar] [CrossRef]
  18. Gardebroek, C.; Lansink, A.O. Estimating Farm Productivity Differentials using Panel Data: The Hausman-Taylor Approach. J. Agric. Econ. 2003, 54, 397–415. [Google Scholar] [CrossRef]
  19. Sato, P.; Hötzel, M.J.; Von Keyserlingk, M.A. American citizens’ views of an ideal pig farm. Animals 2017, 7, 64. [Google Scholar] [CrossRef]
  20. Krystallis, A.; de Barcellos, M.D.; Kügler, J.O.; Verbeke, W.; Grunert, K.G. Attitudes of European citizens towards pig production systems. Livest. Sci. 2009, 126, 46–56. [Google Scholar] [CrossRef]
  21. Galnaitytė, A.; Kriščiukaitienė, I.; Namiotko, V.; Dabkienė, V. Assessment of the Lithuanian Pig Farming Sector via Prospective Farm Size. Agriculture 2024, 14, 32. [Google Scholar] [CrossRef]
  22. Yu, L.; Ozarem, P.F. O-Ring production on U.S. hog farms: Joint choices of farm size, technology, and compensation. Agric. Econ. 2014, 45, 431–442. [Google Scholar] [CrossRef][Green Version]
  23. Baráth, L.; Fertő, I.; Staniszewski, J. Technological Heterogeneity in Pig Farming: A Metafrontier Approach Perspectives from Hungary and Poland. Agriculture 2021, 11, 961. [Google Scholar] [CrossRef]
  24. Ma, W.; Renwick, A.; Zhou, X. The relationship between farm debt and dairy productivity and profitability in New Zealand. J. Dairy Sci. 2020, 103, 8251–8256. [Google Scholar] [CrossRef]
  25. Savian, M.; Simon, C.; Holden, N.M. Evaluating environmental, economic, and social aspects of an intensive pig production farm in the south of Brazil: A case study. Int. J. Life Cycle Assess 2023, 28, 1544–1560. [Google Scholar] [CrossRef]
  26. Fearne, A.; García Álvarez-Coque, J.M.; López García Usach, T.; Sánchez García, M. Innovative firms and the urban/rural divide: The case of agro-food system in the Valencia region. Manag. Decis. 2013, 51, 1293–1310. [Google Scholar] [CrossRef]
  27. OECD/FAO. Agricultural Outlook 2021–2030; OECD Publishing: Paris, France, 2021. [Google Scholar] [CrossRef]
  28. Spain Updates Its Regulation for Pig Farm Management. Ministerie van Landbouw, Visserij, Voedselzekerheid en Natuur. Available online: https://www.agroberichtenbuitenland.nl/actueel/nieuws/2020/08/04/spain-updates-its-regulation-for-pig-farm-management (accessed on 4 August 2020).
  29. Arellano, M. La econometría de datos de panel. Investig. Econ. 1990, 14, 3–45. [Google Scholar]
  30. Baltagi, B. Econometric Analysis of Panel Data, 3rd ed.; John Wiley & Sons Ltd.: Chichester, UK, 2005. [Google Scholar]
  31. Wooldridge, J. Econometric Analysis of Cross-Section and Panel Data, 2nd ed.; MIT Press: Cambridge, MA, USA, 2002. [Google Scholar]
  32. Croissant, Y.; Millo, G. Panel Data Econometrics in R: The plm Package. J. Stat. Softw. 2008, 27, 1–43. [Google Scholar] [CrossRef]
  33. Hausman, J. Specification Test in Econometrics. Econometrica 1978, 46, 1251–1271. [Google Scholar] [CrossRef]
  34. Rajcániová, M.; Bielik, P. Determinants of Variations inf Firm-Level Performance. Acta Oecon. Inform. 2008, 11, 1–4. [Google Scholar]
  35. Kuncová, M.; Hedija, V.; Fiala, R. Firm size as a determinant of firm performance: The case of swine raising. Agris Line Pap. Econ. Inform. 2016, 8, 77–89. [Google Scholar] [CrossRef]
  36. Lee, J. Does Size Matter in Firm Performance? Evidence from US Public Firms. Int. J. Econ. Bus. 2009, 16, 189–203. [Google Scholar] [CrossRef]
  37. Tisouni, M.; Kountios, G.; Koursenidis, K.; Koursenidis, D.; Tzamaloukas, O.; Simitzis, P. Financial Ratio Analysis as an Advisory Tool for Sustainable Pig Farm Management in Greece. Sustainability 2023, 15, 15536. [Google Scholar] [CrossRef]
  38. Hirsch, S.; Lanter, D.; Finger, R. Profitability and profit persistence in EU food retailing: Differences between top competitors and fringe firms. Agribusiness 2020, 37, 235–263. [Google Scholar] [CrossRef]
  39. Rocadembosch, J.; Amador, J.; Bernaus, J.; Font, J.; Fraile, L.J. Production parameters and pig production cost: Temporal evolution 2010–2014. Porc. Health Manag. 2016, 2, 11. [Google Scholar] [CrossRef] [PubMed]
  40. Garzón-Delvaux, P.A.; Riesgo, L.; Gómez y Paloma, S. Farm Size-Performance Relationship: A Review; EU Science Hub: Brussels, Belgium, 2020. [Google Scholar] [CrossRef]
  41. Loderer, C.; Waelchli, U. Firm age and performance. In SSRN Electronic Journal; Working Paper; University of Bern: Bern, Switzerland, 2010; ISSN 1556-5068. [Google Scholar]
  42. Balasubramanian, N.; Lee, J. Firm age and innovation. Ind. Corp. Change 2008, 17, 1019–1047. [Google Scholar] [CrossRef]
  43. Majumdar, S. The Impact of Size and Age on Firm-Level Performance: Some Evidence from India. Rev. Ind. Organ. 1993, 12, 231–241. [Google Scholar] [CrossRef]
  44. Delmar, F.; McKelvie, A.; Wennberg, K. Untangling the relationships among growth, profitability and survival in new firms. Technovation 2013, 33, 276–291. [Google Scholar] [CrossRef]
  45. Pál, R.; Ferrando, A. Financing constraints and firms’ cash policy in the euro area. Eur. J. Financ. 2010, 16, 153–171. [Google Scholar] [CrossRef]
  46. Pattitoni, P.; Petracci, B.; Spisni, M. Determinants of profitability in the EU-15 area. Appl. Financ. Econ. 2014, 24, 763–775. [Google Scholar] [CrossRef]
  47. Rassier, D.G.; Earnhart, D. Effects of environmental regulation on actual and expected profitability. Ecol. Econ. 2015, 112, 129–140. [Google Scholar] [CrossRef]
  48. Mazón, C. Is Profitability Related to Market Share? An Intra-Industry Study in Spanish Manufacturing; Bank of Spain, Studies Service: Madrid, Spain, 1993; n. 9327. [Google Scholar]
  49. Thaxton, R. How Does Market Share Determine Profitability? Financial Writer 2022. City Index. Available online: https://www.cityindex.com/en-uk/news-and-analysis/how-does-market-share-determine-profitability/ (accessed on 29 July 2024).
  50. Sanders, D.; Altman, I.; Apgar, G. Determinants of Profitability in Niche Swine Production. J. ASFMRA 2012, 12, 68–79. [Google Scholar] [CrossRef]
  51. Beam, A.L.; Thilmany, D.D.; Pritchard, R.W.; Garber, L.P.; Van Metre, D.C.; Olea-Popelka, F.J. Distance to slaughter, markets and feed sources used by small-scale food animal operations in the United States. Renew. Agric. Food Syst. 2016, 31, 49–59. [Google Scholar] [CrossRef]
  52. OECD. Agriculture Trade and The Environment: The Pig Sector; OECD Organisation for Economic Cooperation and Development: Paris, France, 2003. [Google Scholar]
  53. Valiño, L.; Sarasa, C.; Duarte, R. Economy-wide effects of a sustainable pathway in the pig sector: A case study in Aragon (Spain). J. Environ. Manag. 2019, 239, 84–89. [Google Scholar] [CrossRef]
Figure 1. Annual evolution of the average ROA (2004–2018).
Figure 1. Annual evolution of the average ROA (2004–2018).
Agriculture 15 00003 g001
Figure 2. Map of companies classified under NACE 0146. Pig farming. Source: Our own data, and ESRI-based map.
Figure 2. Map of companies classified under NACE 0146. Pig farming. Source: Our own data, and ESRI-based map.
Agriculture 15 00003 g002
Figure 3. Annual evolution of average company characteristics.
Figure 3. Annual evolution of average company characteristics.
Agriculture 15 00003 g003
Figure 4. Top: annual evolution of the HHI and annual growth rate of total sales in the pig sector. Bottom: scatter plot of the HHI versus annual growth rate of total sales.
Figure 4. Top: annual evolution of the HHI and annual growth rate of total sales in the pig sector. Bottom: scatter plot of the HHI versus annual growth rate of total sales.
Agriculture 15 00003 g004
Figure 5. From left to right and top to bottom: annual evolution of the composition of CCAA populations according to their education level (primary, secondary and university education) and the percentage of foreigners.
Figure 5. From left to right and top to bottom: annual evolution of the composition of CCAA populations according to their education level (primary, secondary and university education) and the percentage of foreigners.
Agriculture 15 00003 g005
Figure 6. Annual evolution of the unemployment rate (left) and population density in the CCAA (right).
Figure 6. Annual evolution of the unemployment rate (left) and population density in the CCAA (right).
Agriculture 15 00003 g006
Figure 7. Average distances between companies and feed mills (top) and slaughterhouses (bottom) by CCAA.
Figure 7. Average distances between companies and feed mills (top) and slaughterhouses (bottom) by CCAA.
Agriculture 15 00003 g007
Figure 8. Annual changes in average farm profitability by CCAA.
Figure 8. Annual changes in average farm profitability by CCAA.
Agriculture 15 00003 g008
Table 1. Estimates of regression coefficients (significant negative coefficients are shown in red and significant positive coefficients in blue).
Table 1. Estimates of regression coefficients (significant negative coefficients are shown in red and significant positive coefficients in blue).
General ModelSimplified Model
EstimateSEPr (>|z|)EstimateSEPr (>|z|)
Intercept1.11550.46070.01550.26850.01670.0000
ROAt−10.15300.00930.00000.20240.00880.0000
LSizet−1−0.03140.00880.0003−0.03850.00460.0000
(LSizet−1)20.00120.00070.07590.00250.00030.0000
ΔLSizet−1−0.00930.00360.0099−0.01080.00340.0016
LSizet−1)20.00310.00110.00360.00350.00100.0005
Aget−10.00390.00640.54150.00130.00030.0002
(Aget−1)2−3.72 × 10−50.00000.0130−2.57 × 10−50.00000.0008
Sales_Incrt−10.00940.00220.00000.00780.00210.0002
(Sales_Incrt−1)20.00180.00070.01560.00130.00070.0828
LLiquidityt−1−0.00580.00140.0000−0.00300.00100.0035
(LLiquidityt−1)2−0.00020.00040.6523
LIndebt−10.05280.00450.00000.03230.00350.0000
(LIndebt−1)20.01210.00150.00000.00740.00120.0000
LUnempt−10.00000.00140.9772
EdPrimt−1−0.18420.10170.0701
EdSect−10.00320.00800.6878
Foreignt−10.00080.00120.4926
LDensityt−1−0.00030.00100.7968
HHIt−1−0.00010.00190.9673
ΔLSales Sectort−1−0.00120.02470.9627−0.16630.02100.0000
Dist. Feed Factory−0.04480.01790.0121−0.00330.00020.0000
Dist. Slaughterhouse−0.04080.02180.0619−0.00220.00010.0000
Andalucía0.00910.12090.9400
Cataluña−0.55040.27290.0438−0.04270.00340.0000
Castilla y León0.08710.10800.41990.00590.00340.0864
Castilla–La Mancha−0.52670.22810.0210−0.04720.00580.0000
Cdad. Valenciana−0.67440.33710.0455−0.02060.00640.0013
Extremadura−0.49240.29250.0923−0.05370.00580.0000
Galicia−0.75500.24680.0022−0.07110.00740.0000
Madrid−0.55560.30520.0688−0.04380.00640.0000
Murcia−0.88090.41260.0328−0.04500.00550.0000
Navarra−0.14360.09530.1320−0.04250.00860.0000
Table 2. Goodness-of-fit results and model comparisons.
Table 2. Goodness-of-fit results and model comparisons.
Within ModelSimplified Model
R2 adjusted0.2583R2 adjusted0.2544
F statistic4.4259F statistic7.8482
p value0.0000p value0.0000
n1241
Observations12,505
Comparison pooling modelComparison within model
F statistic2.5252F statistic1.0961
p value0.0000p value0.0500
Comparison time effects model
F statistic2.1746
p value0.0000
Comparison fixed effects model
F statistic32.9770
p value0.0000
Hausman Test
Chisq576.98
p value0.0000
Wooldrige test of serial correlation
F Statistic4.0514
p value0.0442
Table 3. Dynamic study of residual spatial autocorrelation.
Table 3. Dynamic study of residual spatial autocorrelation.
YearIMoranExpectedSdp Value
20050.0154−0.00160.01990.3923
20060.0438−0.00150.01910.0175
20070.0237−0.00160.01930.1909
20080.0252−0.00160.01980.1764
20090.0363−0.00130.01780.0342
20100.0222−0.00120.01650.1571
20110.0054−0.00110.01600.6843
20120.0137−0.00100.01510.3292
20130.0016−0.00100.01450.8613
20140.0194−0.00090.01410.1493
20150.0429−0.00090.01340.0011
20160.0050−0.00080.01300.6522
20170.0261−0.00090.01390.0520
20180.0130−0.00100.01460.3386
Table 4. Results of model comparison.
Table 4. Results of model comparison.
ModelAdjusted R2AICBIC
Constant Coefficients0.2585−118,744.3−109,288.4
CCAA-Changing Coefficients0.1955−116,825.2−105,109.4
Time-Changing Coefficients0.1979−116,509.5−104,161.8
Disclaimer/Publisher’s Note: The statements, opinions and data contained in all publications are solely those of the individual author(s) and contributor(s) and not of MDPI and/or the editor(s). MDPI and/or the editor(s) disclaim responsibility for any injury to people or property resulting from any ideas, methods, instructions or products referred to in the content.

Share and Cite

MDPI and ACS Style

Cardil, A.; Gallizo, J.L.; Salvador, M. Impact of Regional Location and Territorial Characteristics on Profitability in the Spanish Pig Farming Industry. Agriculture 2025, 15, 3. https://doi.org/10.3390/agriculture15010003

AMA Style

Cardil A, Gallizo JL, Salvador M. Impact of Regional Location and Territorial Characteristics on Profitability in the Spanish Pig Farming Industry. Agriculture. 2025; 15(1):3. https://doi.org/10.3390/agriculture15010003

Chicago/Turabian Style

Cardil, Alba, José Luis Gallizo, and Manuel Salvador. 2025. "Impact of Regional Location and Territorial Characteristics on Profitability in the Spanish Pig Farming Industry" Agriculture 15, no. 1: 3. https://doi.org/10.3390/agriculture15010003

APA Style

Cardil, A., Gallizo, J. L., & Salvador, M. (2025). Impact of Regional Location and Territorial Characteristics on Profitability in the Spanish Pig Farming Industry. Agriculture, 15(1), 3. https://doi.org/10.3390/agriculture15010003

Note that from the first issue of 2016, this journal uses article numbers instead of page numbers. See further details here.

Article Metrics

Back to TopTop