Direct Conversion of Minimally Pretreated Corncob by Enzyme-Intensified Microbial Consortia
Abstract
1. Introduction
2. Materials and Methods
2.1. Strains and Chemicals
2.2. Media Preparation and Bacteria Inoculation
2.3. Bioinformatics Analysis
2.4. Chemical Analysis
2.5. Enzymatic Assay
2.6. Structure and Composition Analysis of Biomass
2.7. Quantitative Polymerase Chain Reaction (qPCR) Analysis
2.8. Statistical Analysis
3. Results
3.1. Chemical Productions
3.2. Enzymatic Activities
3.3. SEM Investigation of the Corncob Residuals
3.4. FTIR Analysis of the Corncob Residuals
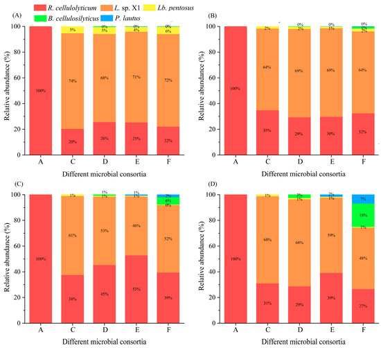
3.5. Dynamics of the Microbial Populations
3.6. Enhancement of Degradation by Fungal Cellulases
4. Discussion
5. Conclusions
Supplementary Materials
Author Contributions
Funding
Data Availability Statement
Conflicts of Interest
References
- Zou, Y.; Fu, J.; Chen, Z.; Ren, L. Field decomposition of corn cob in seasonally frozen soil and its intrinsic influencing factors: The case of northeast China. Agriculture 2021, 11, 556. [Google Scholar] [CrossRef]
- Capanoglu, E.; Nemli, E.; Tomas-Barberan, F. Novel approaches in the valorization of agricultural wastes and their applications. J. Agric. Food Chem. 2022, 70, 6787–6804. [Google Scholar] [CrossRef] [PubMed]
- Gharechahi, J.; Vahidi, M.F.; Sharifi, G.; Ariaeenejad, S.; Ding, X.-Z.; Han, J.-L.; Salekdeh, G.H. Lignocellulose degradation by rumen bacterial communities: New insights from metagenome analyses. Environ. Res. 2023, 229, 115925. [Google Scholar] [CrossRef] [PubMed]
- Voragen, A.G.J.; Coenen, G.-J.; Verhoef, R.P.; Schols, H.A. Pectin, a versatile polysaccharide present in plant cell walls. Struct. Chem. 2009, 20, 263–275. [Google Scholar] [CrossRef]
- Ndeh, D.; Rogowski, A.; Cartmell, A.; Luis, A.S.; Baslé, A.; Gray, J.; Venditto, I.; Briggs, J.; Zhang, X.; Labourel, A.; et al. Complex pectin metabolism by gut bacteria reveals novel catalytic functions. Nature 2017, 544, 65–70. [Google Scholar] [CrossRef]
- Beri, D.; Herring, C.D.; Blahova, S.; Poudel, S.; Giannone, R.J.; Hettich, R.L.; Lynd, L.R. Coculture with hemicellulose-fermenting microbes reverses inhibition of corn fiber solubilization by Clostridium thermocellum at elevated solids loadings. Biotechnol. Biofuels 2021, 14, 1–13. [Google Scholar] [CrossRef]
- Guigon, V.; Chirat, C.; Fort, L.; Lachenal, D. Characterization of enzyme-resistant xylooligosaccharides extracted from hardwood chips by pre-hydrolysis and further depolymerized by enzymatic treatment. Holzforschung 2020, 74, 123–130. [Google Scholar] [CrossRef]
- Kawaguchi, H.; Hasunuma, T.; Ogino, C.; Kondo, A. Bioprocessing of bio-based chemicals produced from lignocellulosic feedstocks. Curr. Opin. Biotechnol. 2016, 42, 30–39. [Google Scholar] [CrossRef]
- Ma, Q.; Ji, Q.; Chen, L.; Zhu, Z.; Tu, S.; Okonkwo, C.E.; Out, P.; Zhou, C. Multimode ultrasound and ternary deep eutectic solvent sequential pretreatments enhanced the enzymatic saccharification of corncob biomass. Ind. Crop. Prod. 2022, 188, 115574. [Google Scholar] [CrossRef]
- Kumar, V.; Yadav, S.K.; Kumar, J.; Ahluwalia, V. A critical review on current strategies and trends employed for removal of inhibitors and toxic materials generated during biomass pretreatment. Bioresour. Technol. 2019, 299, 122633. [Google Scholar] [CrossRef]
- Nazar, M.; Xu, Q.; Zahoor; Ullah, M.W.; Khan, N.A.; Iqbal, B.; Zhu, D. Integrated laccase delignification with improved lignocellulose recalcitrance for enhancing enzymatic saccharification of ensiled rice straw. Ind. Crop. Prod. 2023, 202, 116987. [Google Scholar] [CrossRef]
- Roell, G.W.; Zha, J.; Carr, R.R.; Koffas, M.A.; Fong, S.S.; Tang, Y.J. Engineering microbial consortia by division of labor. Microb. Cell Factories 2019, 18, 35. [Google Scholar] [CrossRef] [PubMed]
- Lin, L. Bottom-up synthetic ecology study of microbial consortia to enhance lignocellulose bioconversion. Biotechnol. Biofuels Bioprod. 2022, 15, 14. [Google Scholar] [CrossRef] [PubMed]
- Beri, D.; York, W.S.; Lynd, L.R.; Peña, M.J.; Herring, C.D. Development of a thermophilic coculture for corn fiber conversion to ethanol. Nat. Commun. 2020, 11, 1937. [Google Scholar] [CrossRef]
- Shahab, R.L.; Brethauer, S.; Davey, M.P.; Smith, A.G.; Vignolini, S.; Luterbacher, J.S.; Studer, M.H. A heterogeneous microbial consortium producing short-chain fatty acids from lignocellulose. Science 2020, 369, 1073. [Google Scholar] [CrossRef]
- Qian, X.; Chen, L.; Sui, Y.; Chen, C.; Zhang, W.; Zhou, J.; Dong, W.; Jiang, M.; Xin, F.; Ochsenreither, K. Biotechnological potential and applications of microbial consortia. Biotechnol. Adv. 2019, 40, 107500. [Google Scholar] [CrossRef]
- Sadalage, P.S.; Dar, M.A.; Chavan, A.R.; Pawar, K.D. Formulation of synthetic bacterial consortia and their evaluation by principal component analysis for lignocellulose rich biomass degradation. Renew. Energy 2020, 148, 467–477. [Google Scholar] [CrossRef]
- Puentes-Téllez, P.E.; Falcao Salles, J. Construction of effective minimal active microbial consortia for lignocellulose degradation. Microb. Ecol. 2018, 76, 419–429. [Google Scholar] [CrossRef]
- Froese, A.; Schellenberg, J.; Sparling, R. Enhanced depolymerization and utilization of raw lignocellulosic material by co-cultures of Ruminiclostridium thermocellum with hemicellulose-utilizing partners. Can. J. Microbiol. 2019, 65, 296–307. [Google Scholar] [CrossRef]
- Sun, Y.; Li, X.; Wu, L.; Li, Y.; Li, F.; Xiu, Z.; Tong, Y. The advanced performance of microbial consortium for simultaneous utilization of glucose and xylose to produce lactic acid directly from dilute sulfuric acid pretreated corn stover. Biotechnol. Biofuels 2021, 14, 233. [Google Scholar] [CrossRef]
- Kampik, C.; Liu, N.; Mroueh, M.; Franche, N.; Borne, R.; Denis, Y.; Gagnot, S.; Tardif, C.; Pagès, S.; Perret, S.; et al. Handling several sugars at a time: A case study of xyloglucan utilization by Ruminiclostridium cellulolyticum. mBio 2021, 12, e02206-21. [Google Scholar] [CrossRef] [PubMed]
- Li, N.; Geng, A.; Tu, Z.; Fan, Y.; Xie, R.; Li, X.; Sun, J. Isolation of Lactococcus sp. X1 from termite gut, and its application in lactic acid production. Fermentation 2023, 9, 85. [Google Scholar] [CrossRef]
- Garde, A.; Jonsson, G.; Schmidt, A.S.; Ahring, B.K. Lactic acid production from wheat straw hemicellulose hydrolysate by Lactobacillus pentosus and Lactobacillus brevis. Bioresour. Technol. 2002, 81, 217–223. [Google Scholar] [CrossRef] [PubMed]
- Robert, C.; Chassard, C.; Lawson, P.A.; Bernalier-Donadille, A. Bacteroides cellulosilyticus sp. nov., a cellulolytic bacterium from the human gut microbial community. Int. J. Syst. Evol. Microbiol. 2007, 57 Pt 7, 1516–1520. [Google Scholar] [CrossRef] [PubMed]
- Heyndrickx, M.; Vandemeulebroecke, K.; Scheldeman, P.; Kersters, K.; de Vos, P.; Logan, N.A.; Aziz, A.M.; Ali, N.; Berkeley, R.C.W. A polyphasic reassessment of the genus Paenibacillus, reclassification of Bacillus lautus (Nakamura 1984) as Paenibacillus lautus comb. nov. and of Bacillus peoriae (Montefusco et al. 1993) as Paenibacillus peoriae comb. nov., and emended descriptions of P. lautus and of P. peoriae. Int. J. Syst. Evol. Microbiol. 1996, 46, 988–1003. [Google Scholar] [CrossRef]
- Geng, A.; He, Y.; Qian, C.; Yan, X.; Zhou, Z. Effect of key factors on hydrogen production from cellulose in a co-culture of Clostridium thermocellum and Clostridium thermopalmarium. Bioresour. Technol. 2010, 101, 4029–4033. [Google Scholar] [CrossRef]
- Zhang, H.; Yohe, T.; Huang, L.; Entwistle, S.; Wu, P.; Yang, Z.; Busk, P.K.; Xu, Y.; Yin, Y. dbCAN2: A meta server for automated carbohydrate-active enzyme annotation. Nucleic Acids Res. 2018, 46, W95–W101. [Google Scholar] [CrossRef]
- Tang, D.; Chen, M.; Huang, X.; Zhang, G.; Zeng, L.; Zhang, G.; Wu, S.; Wang, Y. SRplot: A free online platform for data visualization and graphing. PLoS ONE 2023, 18, e0294236. [Google Scholar] [CrossRef]
- Geng, A.; Jin, M.; Li, N.; Tu, Z.; Zhu, D.; Xie, R.; Wang, Q.; Sun, J. Arabinan hydrolysis by GH43 enzymes of Hungateiclostridium clariflavum and the potential synergistic mechanisms. Appl. Microbiol. Biotechnol. 2022, 106, 7793–7803. [Google Scholar] [CrossRef]
- Breuil, C.; Saddler, J. Comparison of the 3, 5-dinitrosalicylic acid and Nelson-Somogyi methods of assaying for reducing sugars and determining cellulase activity. Enzym. Microb. Tech. 1985, 7, 327–332. [Google Scholar] [CrossRef]
- Sluiter, A.; Hames, B.; Ruiz, R.; Scarlata, C.; Sluiter, J.; Templeton, D. Determination of Sugars, Byproducts, and Degradation Products in Liquid Fraction Process Samples; Technical report NREL/TP-510-42623; National Renewable Energy Laboratory: Golden, CO, USA, 2006; Volume 11, pp. 65–71. [Google Scholar]
- Tu, Z.; Geng, A.; Xiang, Y.; Zayas-Garriga, A.; Guo, H.; Zhu, D.; Xie, R.; Sun, J. Lignin degradation by Klebsiella aerogenes TL3 under anaerobic conditions. Molecules 2024, 29, 2177. [Google Scholar] [CrossRef] [PubMed]
- Blagodatskaya, E.V.; Blagodatskii, S.A.; Anderson, T.-H. Quantitative isolation of microbial DNA from different types of soils of natural and agricultural ecosystems. Microbiology 2003, 72, 744–749. [Google Scholar] [CrossRef]
- Zou, L.; Jin, X.; Tao, Y.; Zheng, Z.; Ouyang, J. Recent advances in the exploitation and application of coculture systems for the bioconversion of lignocellulosic feedstocks. Ind. Crops Prod. 2023, 203, 117117. [Google Scholar] [CrossRef]
- Levasseur, A.; Drula, E.; Lombard, V.; Coutinho, P.M.; Henrissat, B. Expansion of the enzymatic repertoire of the CAZy database to integrate auxiliary redox enzymes. Biotechnol. Biofuels 2013, 6, 41. [Google Scholar] [CrossRef]
- Geng, A.; Jin, M.; Li, N.; Zhu, D.; Xie, R.; Wang, Q.; Lin, H.; Sun, J. New insights into the co-occurrences of glycoside hydrolase genes among prokaryotic genomes through network analysis. Microorganisms 2021, 9, 427. [Google Scholar] [CrossRef]
- Malgas, S.; Mafa, M.S.; Mathibe, B.N.; Pletschke, B.I. Unraveling synergism between various GH family Xylanases and debranching enzymes during hetero-xylan degradation. Molecules 2021, 26, 6770. [Google Scholar] [CrossRef]
- Hirano, K.; Kurosaki, M.; Nihei, S.; Hasegawa, H.; Shinoda, S.; Haruki, M.; Hirano, N. Enzymatic diversity of the Clostridium thermocellum cellulosome is crucial for the degradation of crystalline cellulose and plant biomass. Sci. Rep. 2016, 6, 35709. [Google Scholar] [CrossRef]
- Gehin, A.; Gelhaye, E.; Raval, G.; Petitdemange, H. Clostridium cellulolyticum viability and sporulation under cellobiose starvation conditions. Appl. Environ. Microbiol. 1995, 61, 868–871. [Google Scholar] [CrossRef]
- Lu, J.; Lv, Y.; Jiang, Y.; Wu, M.; Xu, B.; Zhang, W.; Zhou, J.; Dong, W.; Xin, F.; Jiang, M. Consolidated bioprocessing of hemicellulose-enriched lignocellulose to succinic acid through a microbial cocultivation system. ACS Sustain. Chem. Eng. 2020, 8, 9035–9045. [Google Scholar] [CrossRef]
- Baral, P.; Kumar, V.; Agrawal, D. Emerging trends in high-solids enzymatic saccharification of lignocellulosic feedstocks for developing an efficient and industrially deployable sugar platform. Crit. Rev. Biotechnol. 2021, 42, 873–891. [Google Scholar] [CrossRef]
- Fernandez-Julia, P.; Commane, D.M.; van Sinderen, D.; Munoz-Munoz, J. Cross-feeding interactions between human gut commensals belonging to the Bacteroides and Bifidobacterium genera when grown on dietary glycans. Microbiome Res. Rep. 2022, 1, 12. [Google Scholar] [CrossRef] [PubMed]
- Catlett, J.L.; Carr, S.; Cashman, M.; Smith, M.D.; Walter, M.; Sakkaff, Z.; Kelley, C.; Pierobon, M.; Cohen, M.B.; Buan, N.R. Metabolic synergy between human symbionts Bacteroides and Methanobrevibacter. Microbiol. Spectr. 2022, 10, e01067-22. [Google Scholar] [CrossRef] [PubMed]






| Microbial Consortia | Microbial/Enzyme Constitutions |
|---|---|
| A | R. cellulolyticum alone |
| B | R. cellulolyticum + Lactococcus sp. X1 |
| C | Consortium B + Lb. pentosus |
| D | Consortium C + B. cellulosilyticus |
| E | Consortium C + P. lautus |
| F | Consortium D + P. lautus |
| Cs | Consortium C + CTec2 |
| Fs | Consortium F + CTec2 |
| Gs | Lactococcus sp. X1 + Lb. pentosus + CTec2 |
Disclaimer/Publisher’s Note: The statements, opinions and data contained in all publications are solely those of the individual author(s) and contributor(s) and not of MDPI and/or the editor(s). MDPI and/or the editor(s) disclaim responsibility for any injury to people or property resulting from any ideas, methods, instructions or products referred to in the content. |
© 2024 by the authors. Licensee MDPI, Basel, Switzerland. This article is an open access article distributed under the terms and conditions of the Creative Commons Attribution (CC BY) license (https://creativecommons.org/licenses/by/4.0/).
Share and Cite
Geng, A.; Li, N.; Zayas-Garriga, A.; Xie, R.; Zhu, D.; Sun, J. Direct Conversion of Minimally Pretreated Corncob by Enzyme-Intensified Microbial Consortia. Agriculture 2024, 14, 1610. https://doi.org/10.3390/agriculture14091610
Geng A, Li N, Zayas-Garriga A, Xie R, Zhu D, Sun J. Direct Conversion of Minimally Pretreated Corncob by Enzyme-Intensified Microbial Consortia. Agriculture. 2024; 14(9):1610. https://doi.org/10.3390/agriculture14091610
Chicago/Turabian StyleGeng, Alei, Nana Li, Anaiza Zayas-Garriga, Rongrong Xie, Daochen Zhu, and Jianzhong Sun. 2024. "Direct Conversion of Minimally Pretreated Corncob by Enzyme-Intensified Microbial Consortia" Agriculture 14, no. 9: 1610. https://doi.org/10.3390/agriculture14091610
APA StyleGeng, A., Li, N., Zayas-Garriga, A., Xie, R., Zhu, D., & Sun, J. (2024). Direct Conversion of Minimally Pretreated Corncob by Enzyme-Intensified Microbial Consortia. Agriculture, 14(9), 1610. https://doi.org/10.3390/agriculture14091610

