Intercropping in Coconut Plantations Regulate Soil Characteristics by Microbial Communities
Abstract
1. Introduction
2. Materials and Methods
2.1. Intercropping Treatment and Sample Collection
2.2. Determination of Soil Properties
2.3. High-Throughput Sequencing and Data Analysis
2.3.1. DNA Extraction and Sequencing
2.3.2. Raw Data Assembly and Annotation
2.4. Statistical Analysis
3. Results
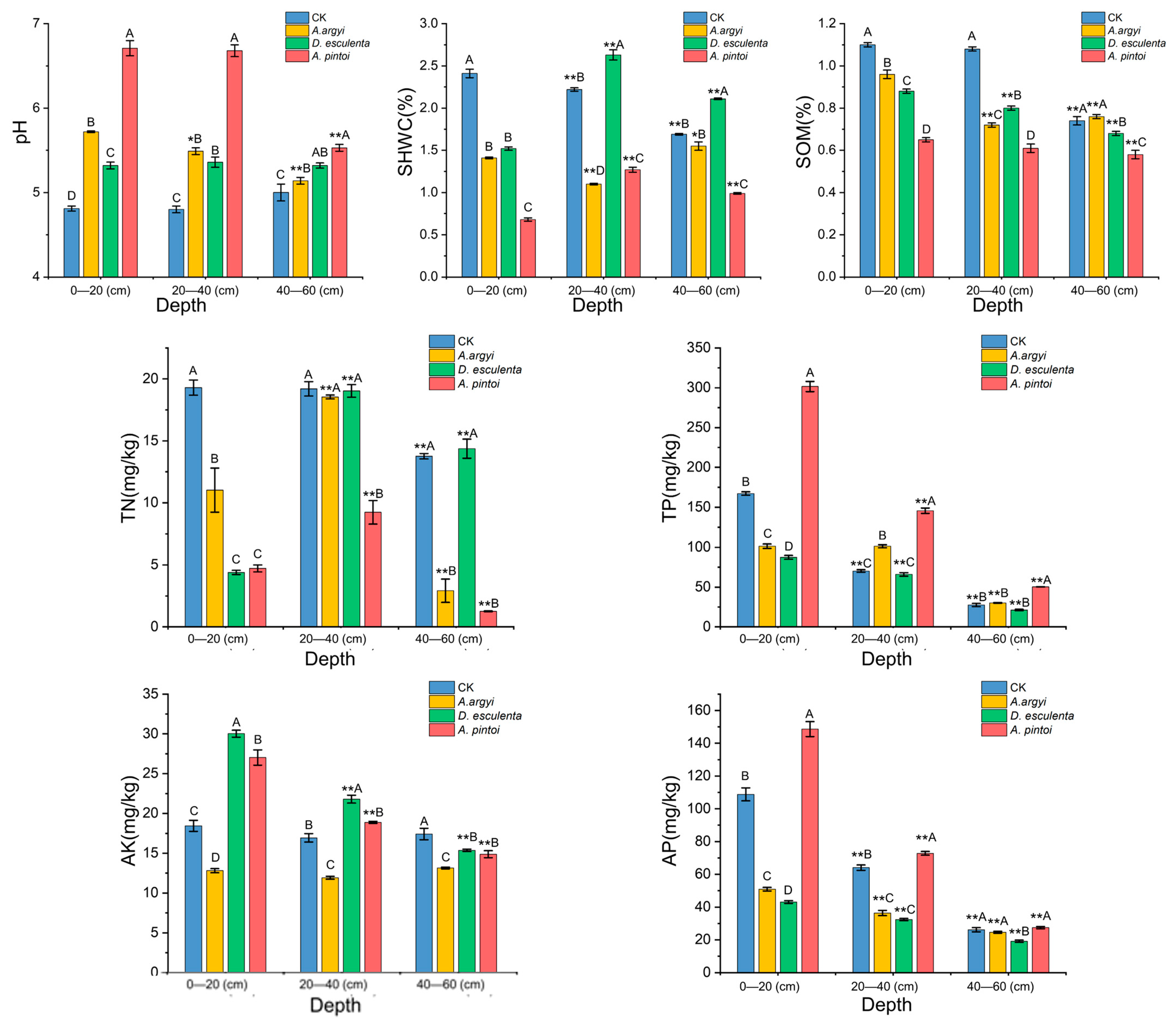
3.1. Effect of Intercropping on Soil Properties
3.2. Effect of Intercropping on Soil Microbial Community Structure
3.3. Correlation Analysis of Microbial Communities and Soil Properties in Intercropping Treatments
3.4. Intercropping Affected Soil Microbial Communities by Regulating Soil Properties
4. Discussion
5. Conclusions
Supplementary Materials
Author Contributions
Funding
Institutional Review Board Statement
Data Availability Statement
Conflicts of Interest
References
- Liu, C.; Meng, Z.; Cao, P.; Jiang, J.; Liang, X.; Piatko, M.; Campbell, S.; Lo, S.K.; Liu, Y. Visualized phase behavior of binary blends of coconut oil and palm stearin. Food Chem. 2018, 266, 66–72. [Google Scholar] [CrossRef] [PubMed]
- Rabe, S.; Sanchez-Olivares, G.; Pérez-Chávez, R.; Schartel, B. Natural Keratin and Coconut Fibres from Industrial Wastes in Flame Retarded Thermoplastic Starch Biocomposites. Materials 2019, 12, 344. [Google Scholar] [CrossRef]
- Xu, C.; Zhu, S.; Xing, C.; Li, D.; Zhu, N.; Zhou, H. Isolation and properties of cellulose nanofibrils from coconut palm petioles by different mechanical process. PLoS ONE 2015, 10, e0122123. [Google Scholar] [CrossRef]
- Rodsamran, P.; Sothornvit, R. Physicochemical and functional properties of protein concentrate from by-product of coconut processing. Food Chem. 2018, 241, 364–371. [Google Scholar] [CrossRef] [PubMed]
- Arumugam, T.; Hatta, M.A.M. Improving Coconut Using Modern Breeding Technologies: Challenges and Opportunities. Plants 2022, 11, 3414. [Google Scholar] [CrossRef] [PubMed]
- Duan, Y.; Wang, T.; Lei, X.; Cao, Y.; Liu, L.; Zou, Z.; Ma, Y.; Zhu, X.; Fang, W. Leguminous green manure intercropping changes the soil microbial community and increases soil nutrients and key quality components of tea leaves. Hortic. Res. 2024, 11, uhae018. [Google Scholar] [CrossRef]
- Wang, T.; Duan, Y.; Liu, G.; Shang, X.; Liu, L.; Zhang, K.; Li, J.; Zou, Z.; Zhu, X.; Fang, W. Tea plantation intercropping green manure enhances soil functional microbial abundance and multifunctionality resistance to drying-rewetting cycles. Sci. Total Environ. 2022, 810, 151282. [Google Scholar] [CrossRef] [PubMed]
- Cong, W.-F.; Hoffland, E.; Li, L.; Six, J.; Sun, J.-H.; Bao, X.-G.; Zhang, F.-S.; Van Der Werf, W. Intercropping enhances soil carbon and nitrogen. Glob. Chang. Biol. 2015, 21, 1715–1726. [Google Scholar] [CrossRef]
- Chen, N.; Li, X.; Šimůnek, J.; Shi, H.; Hu, Q.; Zhang, Y. Evaluating soil nitrate dynamics in an intercropping dripped ecosystem using HYDRUS-2D. Sci. Total Environ. 2020, 718, 137314. [Google Scholar] [CrossRef]
- Acosta-Martínez, V.; Burow, G.; Zobeck, T.M.; Allen, V.G. Soil Microbial Communities and Function in Alternative Systems to Continuous Cotton. Soil Sci. Soc. Am. J. 2010, 74, 1181–1192. [Google Scholar] [CrossRef]
- Zhou, X.; Liu, J.; Wu, F. Soil microbial communities in cucumber monoculture and rotation systems and their feedback effects on cucumber seedling growth. Plant Soil 2017, 415, 507–520. [Google Scholar] [CrossRef]
- He, Y.; Ding, N.; Shi, J.; Wu, M.; Liao, H.; Xu, J. Profiling of microbial PLFAs: Implications for interspecific interactions due to intercropping which increase phosphorus uptake in phosphorus limited acidic soils. Soil Biol. Biochem. 2013, 57, 625–634. [Google Scholar] [CrossRef]
- Farooq, T.H.; Kumar, U.; Mo, J.; Shakoor, A.; Wang, J.; Rashid, M.H.U.; Tufail, M.A.; Chen, X.; Yan, W. Intercropping of Peanut–Tea Enhances Soil Enzymatic Activity and Soil Nutrient Status at Different Soil Profiles in Subtropical Southern China. Plants 2021, 10, 881. [Google Scholar] [CrossRef]
- Li, N.; Gao, D.; Zhou, X.; Chen, S.; Li, C.; Wu, F. Intercropping with Potato-Onion Enhanced the Soil Microbial Diversity of Tomato. Microorganisms 2020, 8, 834. [Google Scholar] [CrossRef] [PubMed]
- Wu, X.; Wu, F.; Zhou, X.; Fu, X.; Tao, Y.; Xu, W.; Pan, K.; Liu, S. Effects of Intercropping with Potato Onion on the Growth of Tomato and Rhizosphere Alkaline Phosphatase Genes Diversity. Front. Plant Sci. 2016, 7, 846. [Google Scholar] [CrossRef] [PubMed]
- Huang, D.; Liu, X.; Huan, H.; Liu, G.; Hu, A. Intercropping of Stylosanthes green manure could improve the organic nitrogen fractions in a coconut plantation with acid soil. PLoS ONE 2023, 18, e0277944. [Google Scholar] [CrossRef]
- Xie, Z.; He, Y.; Tu, S.; Xu, C.; Liu, G.; Wang, H.; Cao, W.; Liu, H. Chinese Milk Vetch Improves Plant Growth, Development and 15N Recovery in the Rice-Based Rotation System of South China. Sci. Rep. 2017, 7, 3577. [Google Scholar] [CrossRef]
- Duan, Q.; Hu, A.; Yang, W.; Yu, R.; Liu, G.; Huan, H.; Dong, R.; Li, X. Effects of grazing on vegetation diversity and soil multifunctionality in coconut plantations. Front. Plant Sci. 2022, 13, 1109877. [Google Scholar] [CrossRef]
- Magoč, T.; Salzberg, S.L. FLASH: Fast length adjustment of short reads to improve genome assemblies. Bioinformatics 2011, 27, 2957–2963. [Google Scholar] [CrossRef]
- Caporaso, J.G.; Kuczynski, J.; Stombaugh, J.; Bittinger, K.; Bushman, F.D.; Costello, E.K.; Fierer, N.; Peña, A.G.; Goodrich, J.K.; Gordon, J.I.; et al. QIIME allows analysis of high-throughput community sequencing data. Nat. Methods 2010, 7, 335–336. [Google Scholar] [CrossRef]
- Edgar, R.C.; Haas, B.J.; Clemente, J.C.; Quince, C.; Knight, R. UCHIME improves sensitivity and speed of chimera detection. Bioinformatics 2011, 27, 2194–2200. [Google Scholar] [CrossRef]
- Edgar, R.C. UPARSE: Highly accurate OTU sequences from microbial amplicon reads. Nat. Methods 2013, 10, 996–998. [Google Scholar] [CrossRef]
- Quast, C.; Pruesse, E.; Yilmaz, P.; Gerken, J.; Schweer, T.; Yarza, P.; Peplies, J.; Glöckner, F.O. The SILVA ribosomal RNA gene database project: Improved data processing and web-based tools. Nucleic Acids Res. 2013, 41, D590–D596. [Google Scholar] [CrossRef] [PubMed]
- Lucero, C.T.; Lorda, G.S.; Anzuay, M.S.; Ludueña, L.M.; Taurian, T. Peanut Endophytic Phosphate Solubilizing Bacteria Increase Growth and P Content of Soybean and Maize Plants. Curr. Microbiol. 2021, 78, 1961–1972. [Google Scholar] [CrossRef]
- Sekaran, U.; Loya, J.R.; Abagandura, G.O.; Subramanian, S.; Owens, V.; Kumar, S. Intercropping of kura clover (Trifolium ambiguum M. Bieb) with prairie cordgrass (Spartina pectinata link.) enhanced soil biochemical activities and microbial community structure. Appl. Soil Ecol. 2020, 147, 103427. [Google Scholar] [CrossRef]
- Shirima, D.D.; Totland, Ø.; Moe, S.R. The relative importance of vertical soil nutrient heterogeneity, and mean and depth-specific soil nutrient availabilities for tree species richness in tropical forests and woodlands. Oecologia 2016, 182, 877–888. [Google Scholar] [CrossRef] [PubMed]
- He, Y.; Mo, Y.; Zheng, D.; Li, Q.; Lin, W.; Yuan, G. Different Sequevars of Ralstonia pseudosolanacearum Causing Bacterial Wilt of Bidens pilosa in China. Plant Dis. 2020, 104, 2768–2773. [Google Scholar] [CrossRef]
- Chen, C.-C.; Lin, C.-Y.; Lu, H.-Y.; Liou, C.-H.; Ho, Y.-N.; Huang, C.-W.; Zhang, Z.-F.; Kao, C.-H.; Yang, W.-C.; Gong, H.-Y. Transcriptomics and gut microbiome analysis of the edible herb Bidens pilosa as a functional feed additive to promote growth and metabolism in tilapia (Oreochromis spp.). BMC Genom. 2024, 25, 785. [Google Scholar] [CrossRef] [PubMed]
- He, C.; Zhou, B.; Wang, H.; Wei, Y.; Huang, J. A first-year maize/cassava relay intercropping system improves soil nutrients and changes the soil microbial community in the symbiotic period. Front. Microbiol. 2023, 14, 1087202. [Google Scholar] [CrossRef]
- Anzuay, M.S.; Ciancio, M.G.R.; Ludueña, L.M.; Angelini, J.G.; Barros, G.; Pastor, N.; Taurian, T. Growth promotion of peanut (Arachis hypogaea L.) and maize (Zea mays L.) plants by single and mixed cultures of efficient phosphate solubilizing bacteria that are tolerant to abiotic stress and pesticides. Microbiol. Res. 2017, 199, 98–109. [Google Scholar] [CrossRef]
- Zheng, Y.M.; Du, L.T.; Wang, C.X.; Wu, Z.F.; Sun, X.W.; Yu, T.Y.; Shen, P.; Wang, C.B. Nitrogen fixation characteristics of root nodules in different peanut varieties and their relationship with yield. Ying Yong Sheng Tai Xue Bao = J. Appl. Ecol. 2019, 30, 961–968. [Google Scholar] [CrossRef]
- Naz, M.; Dai, Z.; Hussain, S.; Tariq, M.; Danish, S.; Khan, I.U.; Qi, S.; Du, D. The soil pH and heavy metals revealed their impact on soil microbial community. J. Environ. Manag. 2022, 321, 115770. [Google Scholar] [CrossRef] [PubMed]
- Zhai, X.; Zhang, L.; Wu, R.; Wang, M.; Liu, Y.; Lian, J.; Munir, M.A.M.; Chen, D.; Liu, L.; Yang, X. Molecular composition of soil organic matter (SOM) regulate qualities of tobacco leaves. Sci. Rep. 2022, 12, 15317. [Google Scholar] [CrossRef] [PubMed]
- Zhang, J.; Feng, Y.; Wu, M.; Chen, R.; Li, Z.; Lin, X.; Zhu, Y.; Delgado-Baquerizo, M. Evaluation of Microbe-Driven Soil Organic Matter Quantity and Quality by Thermodynamic Theory. mBio 2021, 12, e03252-20. [Google Scholar] [CrossRef]
- Wagg, C.; Bender, S.F.; Widmer, F.; van der Heijden, M.G.A. Soil biodiversity and soil community composition determine ecosystem multifunctionality. Proc. Natl. Acad. Sci. USA 2014, 111, 5266–5270. [Google Scholar] [CrossRef]
- Zhang, W.-J.; You, C.-X.; Yang, K.; Chen, R.; Wang, Y.; Wu, Y.; Geng, Z.-F.; Chen, H.-P.; Jiang, H.-Y.; Su, Y.; et al. Bioactivity of essential oil of Artemisia argyi Lévl. et Van. and its main compounds against Lasioderma serricorne. J. Oleo Sci. 2014, 63, 829–837. [Google Scholar] [CrossRef]
- Shi, X.-S.; Meng, L.-H.; Li, X.-M.; Li, X.; Wang, D.-J.; Li, H.-L.; Zhou, X.-W.; Wang, B.-G. Trichocadinins B-G: Antimicrobial Cadinane Sesquiterpenes from Trichoderma virens QA-8, an Endophytic Fungus Obtained from the Medicinal Plant Artemisia argyi. J. Nat. Prod. 2019, 82, 2470–2476. [Google Scholar] [CrossRef]
- Gu, H.; Zhang, S.; Liu, L.; Yang, Z.; Zhao, F.; Tian, Y. Antimicrobial Potential of Endophytic Fungi from Artemisia argyi and Bioactive Metabolites from Diaporthe sp. AC1. Front. Microbiol. 2022, 13, 908836. [Google Scholar] [CrossRef]
- Jones, R.T.; Robeson, M.S.; Lauber, C.L.; Hamady, M.; Knight, R.; Fierer, N. A comprehensive survey of soil acidobacterial diversity using pyrosequencing and clone library analyses. ISME J. 2009, 3, 442–453. [Google Scholar] [CrossRef]
- Fu, X.; Cheng, Z.; Ni, H.; Zhang, R. Latitude variations of soil bacterial community diversity and composition in three typical forests of temperate, northeastern of China. Front. Earth Sci. 2023, 10, 1096931. [Google Scholar] [CrossRef]
- Khan, N.; Martínez-Hidalgo, P.; Ice, T.A.; Maymon, M.; Humm, E.A.; Nejat, N.; Sanders, E.R.; Kaplan, D.; Hirsch, A.M. Antifungal Activity of Bacillus Species against Fusarium and Analysis of the Potential Mechanisms Used in Biocontrol. Front. Microbiol. 2018, 9, 2363. [Google Scholar] [CrossRef] [PubMed]
- Drenovsky, R.E.; Vo, D.; Graham, K.J.; Scow, K.M. Soil water content and organic carbon availability are major determinants of soil microbial community composition. Microb. Ecol. 2004, 48, 424–430. [Google Scholar] [CrossRef] [PubMed]
- Fierer, N.; Jackson, R.B. The diversity and biogeography of soil bacterial communities. Proc. Natl. Acad. Sci. USA 2006, 103, 626–631. [Google Scholar] [CrossRef] [PubMed]
- Zhi, R.; Deng, J.; Xu, Y.; Xu, M.; Zhang, S.; Han, X.; Yang, G.; Ren, C. Altered microbial P cycling genes drive P availability in soil after afforestation. J. Environ. Manag. 2023, 328, 116998. [Google Scholar] [CrossRef]
- Li, Q.; Chen, J.; Wu, L.; Luo, X.; Li, N.; Arafat, Y.; Lin, S.; Lin, W. Belowground Interactions Impact the Soil Bacterial Community, Soil Fertility, and Crop Yield in Maize/Peanut Intercropping Systems. Int. J. Mol. Sci. 2018, 19, 622. [Google Scholar] [CrossRef]






Disclaimer/Publisher’s Note: The statements, opinions and data contained in all publications are solely those of the individual author(s) and contributor(s) and not of MDPI and/or the editor(s). MDPI and/or the editor(s) disclaim responsibility for any injury to people or property resulting from any ideas, methods, instructions or products referred to in the content. |
© 2024 by the authors. Licensee MDPI, Basel, Switzerland. This article is an open access article distributed under the terms and conditions of the Creative Commons Attribution (CC BY) license (https://creativecommons.org/licenses/by/4.0/).
Share and Cite
Tong, C.; Yu, R.; Chen, S.; Hu, A.; Dong, Z.; Tang, L.; Lu, L.; Yang, W.; Dong, R. Intercropping in Coconut Plantations Regulate Soil Characteristics by Microbial Communities. Agriculture 2024, 14, 1564. https://doi.org/10.3390/agriculture14091564
Tong C, Yu R, Chen S, Hu A, Dong Z, Tang L, Lu L, Yang W, Dong R. Intercropping in Coconut Plantations Regulate Soil Characteristics by Microbial Communities. Agriculture. 2024; 14(9):1564. https://doi.org/10.3390/agriculture14091564
Chicago/Turabian StyleTong, Chaoqun, Ruoyun Yu, Siting Chen, An Hu, Zhiguo Dong, Longxiang Tang, Lilan Lu, Weibo Yang, and Rongshu Dong. 2024. "Intercropping in Coconut Plantations Regulate Soil Characteristics by Microbial Communities" Agriculture 14, no. 9: 1564. https://doi.org/10.3390/agriculture14091564
APA StyleTong, C., Yu, R., Chen, S., Hu, A., Dong, Z., Tang, L., Lu, L., Yang, W., & Dong, R. (2024). Intercropping in Coconut Plantations Regulate Soil Characteristics by Microbial Communities. Agriculture, 14(9), 1564. https://doi.org/10.3390/agriculture14091564

