Effect of Muddy Water Characteristics on Infiltration Laws and Stratum Compactum Soil Particle Composition under Film Hole Irrigation
Abstract
1. Introduction
2. Materials and Methods
2.1. Experimental Soil
2.2. Experimental Muddy Water Sediment
2.3. Experiment Device
2.4. Measurements and Calculations
2.5. Fractal Dimension Calculation
2.6. Data Analysis
3. Results
3.1. Cumulative Infiltration Amount
3.2. Wetting Front Distance
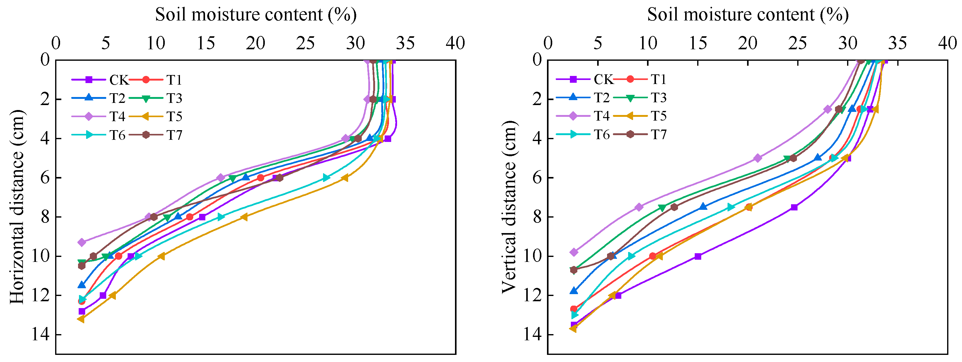
3.3. Soil Moisture Content Distribution
3.4. Deposition Layer Thickness
3.5. Composition of Stratum Compactum Soil Particles
3.5.1. Deposition Layer Soil Particles
3.5.2. Stranded Layer Soil Particles
3.5.3. Soil Particle Fractal Dimension of the Stranded Layer
4. Discussion
5. Conclusions
Author Contributions
Funding
Institutional Review Board Statement
Data Availability Statement
Conflicts of Interest
References
- Liu, S.S.; Gao, S.H.; Hsu, W.L.; Shiau, Y.C.; Liu, H.L. Mechanism Study on the Impact of China Population Structure Change on the Water Use of the Three Main Industries. Sustainability 2022, 14, 204. [Google Scholar] [CrossRef]
- Delpasand, M.; Bozorg-Haddad, O.; Loáiciga, H.A. Integrated virtual water trade management considering self-sufficient production of strategic agricultural and industrial products. Sci. Total Environ. 2020, 743, 140797. [Google Scholar] [CrossRef] [PubMed]
- Chen, L.N.; Zhao, Z.L.; Li, J.; Wang, H.M.; Guo, G.M.; Wu, W.B. Effects of muddy water irrigation with different sediment particle sizes and sediment concentrations on soil microbial communities in the Yellow River Basin of China. Agric. Water Manag. 2022, 270, 107750. [Google Scholar] [CrossRef]
- Chen, L.; Zhao, Z.L.; Guo, G.M.; Li, J.; Wu, W.B.; Zhang, F.X.; Zhang, X. Effects of muddy water irrigation with different sediment gradations on nitrogen transformation in agricultural soil of Yellow River Basin. Water Sci. Eng. 2022, 15, 228–236. [Google Scholar] [CrossRef]
- Chen, B.Q.; Liu, E.K.; Mei, X.R.; Yan, C.R.; Garré, S. Modelling soil water dynamic in rain-fed spring maize field with plastic mulching. Agric. Water Manag. 2018, 198, 19–27. [Google Scholar] [CrossRef]
- Yuan, Z.Q.; Zhang, R.; Wang, B.X.; Gao, B.Q.; Ayana, G.; Abera, D.; Ashraf, M.; Li, F.M. Film mulch with irrigation and rainfed cultivations improves maize production and water use efficiency in Ethiopia. Ann. Appl. Biol. 2019, 175, 215–227. [Google Scholar] [CrossRef]
- Wei, J.X.; Fei, L.J.; Liang, S.; Jie, F.L. Influence of Sediment Particle Size Distribution on Intermittent Infiltration of Water under Surge irrigation. J. Irrig. Drain. 2023, 42, 57–62. [Google Scholar] [CrossRef]
- Bouwer, H.; Ludke, J.; Rice, R.C. Sealing pond bottoms with muddy water. Ecol. Eng. 2001, 18, 233–238. [Google Scholar] [CrossRef]
- Nasirian, A.; Maghrebi, M.F.; Mohtashami, A. Numerical and Experimental Assessment of Suspended Material Effects on Water Loss Reduction from Irrigation Channels. Iran. J. Sci. Technol.-Trans. Civ. Eng. 2022, 46, 2483–2493. [Google Scholar] [CrossRef]
- Kang, S.X.; Fei, L.J.; Zhong, Y.; Zhao, P.H.; Yang, Z.; Fan, Q.W. A modified Green-Ampt infiltration model for muddy water. J. Hydrol. 2024, 629, 1306. [Google Scholar] [CrossRef]
- Jiang, R.R.; Fei, L.J.; Jin, S.J.; Fu, Y.L.; Zhong, Y. Effects of Silt Content and Clay and Sand Grade on Freedom Infiltration Characteristics of Muddy Water Film Hole irrigation. J. Soil Water Conserv. 2018, 32, 157–161. [Google Scholar] [CrossRef]
- Fei, L.J.; Wang, J.H. Effect of Clay and Sand Grades on Single-line Interference infiltration Characteristics of Muddy Water Film Hole Irrigation. Trans. Chin. Soc. Agric. Mach. 2016, 47, 105–112. [Google Scholar] [CrossRef]
- Zhong, Y.; Fel, L.J.; Kang, S.X.; He, J.; Zhu, S.J. Effect of soil bulk density on one-dimensional vertical infiltration and dense layer formation characteristics of muddy water. J. Arid Land Resour. Environ. 2022, 36, 91–98. [Google Scholar] [CrossRef]
- Liu, L.H.; Fei, L.J.; Chen, L.; Hao, K.; Zhang, Q.J. Effects of initial soil moisture content on soil water and nitrogen transport under muddy water film hole infiltration. Int. J. Agric. Biol. Eng. 2021, 14, 182–189. [Google Scholar] [CrossRef]
- Liu, L.H.; Fei, L.J.; Zhu, H.Y.; Hao, K.; Jie, F.L. Study on the Influence of Fertilizer Solution Concentration on Soil Water and Nitrogen Transport Characteristics Under Film Hole Irrigation. J. Soil Sci. Plant Nutr. 2021, 21, 1653–1665. [Google Scholar] [CrossRef]
- Wen, Z.C.; Xu, H.J.; Bai, Y.C. Criterion for stability of suspension-fluid mud stratified flow. Chin. J. Hydrodyn. 2021, 36, 252–264. [Google Scholar] [CrossRef]
- Bian, Y.L.; Cao, H.T.; Zhang, H.M.; Huang, F.G.; Song, C.J. An Experimental Study of Muddy Water Infiltration Affected by Sediment Concentration and Size. Water Sav. Irrig. 2018, 11, 39–47+50. Available online: https://kns.cnki.net/kcms2/article/abstract?v=jkwd3qsBIEJJv1ZYBSkWV143nT1kmJhe525ZgjUzPlrhNPwbeYNffO1ant4fiSgq_tB2LaWY81mbljsn-yo5swlk5NgPwjQrdjJRKzMvHJwh98c2Cvcz7Il_G2B1AjYnh6ldRIgO4DuZt10BT2XEWA==&uniplatform=NZKPT&language=CHS (accessed on 5 November 2018).
- Wang, J.; Na, W. Relationship between the Flood Cement and Cement Sand in the Yellow River Helong Reach Based on the Typical Sediment Content. J. Irrig. Drain. 2019, 38 (Suppl. S1), 107–110. [Google Scholar] [CrossRef]
- Chen, C.X.; Fu, J.; Wu, M.X.; Gao, X.; Ma, L.M. High-efficiency Sediment Transport Requirements for operation of the Xiaolangdi Reservoir in the Lower Yellow River. Water Supply 2022, 22, 8572–8586. [Google Scholar] [CrossRef]
- Su, W.; Gao, Y.M.; Gao, P.; Dong, X.D.; Wang, G.F.; Dun, X.J.; Xu, J.W. Effects of Different Vegetation Restoration Types on the Fractal Characteristics of Soil Particles in Earthy-Rocky Mountain Area of Northern China. Forests 2022, 13, 1246. [Google Scholar] [CrossRef]
- Kumar, M.; Sihag, P. Assessment of Infiltration Rate of Soil Using Empirical and Machine Learning-Based Models. Irrig. Drain. 2019, 68, 588–601. [Google Scholar] [CrossRef]
- Mendonça, S.R.; Avila, M.C.R.; Vital, R.G.; Evangelista, Z.R.; Pontes, N.D.; Nascimento, A.D. The effect of different mulching on tomato development and yield. Sci. Hortic. 2021, 275, 109657. [Google Scholar] [CrossRef]
- Jacquiod, S.; Bouchard, E.; Beguet, J.; Roure, F.; Cheviron, N.; Mougin, C.; Coffin, A.; Blouin, M.; Martin-Laurent, F. Effect of plastic film and hemp canvas mulching on soil properties, microbial diversity and lettuce yield. Plant Soil 2024. [Google Scholar] [CrossRef]
- Zhao, P.H.; Fel, L.J.; Liu, D.Y. Distribution of water and nitrogen in soil infiltration by fertilizer film hole irrigation under formation of soil dense layer. J. Drain. Irrig. Mach. Eng. 2023, 41, 709–715. [Google Scholar] [CrossRef]
- Zhong, Y.; Fel, L.J.; Zhu, S.J.; Kang, S.X.; Liu, L.H.; Hao, K.; Jie, F.L. Infiltration Characteristics of Muddy Water Film-Hole irrigation and Formation Characteristics of Dense Layers. J. Soil Water Conserv. 2022, 36, 238–246+254. [Google Scholar] [CrossRef]
- Feng, X.; Qu, J.J.; Tan, L.; Fan, Q.; Niu, Q.H. Fractal features of sandy soil particle-size distributions during the rangeland desertification process on the eastern Qinghai-Tibet Plateau. J. Soils Sediments 2020, 20, 472–485. [Google Scholar] [CrossRef]
- Dong, Z.; Mao, D.; Ye, M.; Li, S.; Ma, X.; Liu, S. Fractal features of soil grain-size distribution in a typical Tamarix cones in the Taklimakan Desert, China. Sci. Rep. 2022, 12, 16461. [Google Scholar] [CrossRef] [PubMed]
- Bai, Y.F.; Qin, Y.; Lu, X.R.; Zhang, J.T.; Chen, G.S.; Li, X.J. Fractal dimension of particle-size distribution and their relationships with alkalinity properties of soils in the western Songnen Plain, China. Sci. Rep. 2020, 10, 20603. [Google Scholar] [CrossRef]
- Li, H.; Zhang, Z.; Zhai, J.; Yang, L.; Long, H.C. Correlation between Soil Structural Parameters and Soil Adhesion Based on Water Film Theory. Coatings 2022, 12, 1743. [Google Scholar] [CrossRef]









| Muddy Cement Sand Types | Clay Content/%0~0.002 mm | Silt Content/%0.002~0.02 mm | Sand Content/%0.02~2 mm | Physical Clay Content d0.01/%0~0.01 mm |
|---|---|---|---|---|
| A | 3.59 | 13.39 | 83.03 | 9.13 |
| B | 5.5 | 20.86 | 73.64 | 16.46 |
| C | 8.06 | 31.33 | 60.61 | 27.34 |
| D | 11.64 | 43.34 | 45.02 | 44.02 |
| Treatment | Muddy Water Sediment Concentration/% | Physical Clay Content/% |
|---|---|---|
| CK | 0 | / |
| T1 | 3 | 27.34 |
| T2 | 6 | |
| T3 | 9 | |
| T4 | 12 | |
| T5 | 6 | 9.13 |
| T6 | 16.46 | |
| T7 | 44.02 |
| Treatment | K | α | R2 |
|---|---|---|---|
| CK | 0.8669 a | 0.5783 c | 0.9999 |
| T1 | 0.7768 c | 0.5780 c | 0.9995 |
| T2 | 0.6637 e | 0.5776 c | 0.9999 |
| T3 | 0.6074 f | 0.5718 d | 0.9999 |
| T4 | 0.5666 g | 0.5514 e | 0.9981 |
| T5 | 0.7965 b | 0.5854 b | 0.9982 |
| T6 | 0.7367 d | 0.5768 c | 0.9990 |
| T7 | 0.4367 h | 0.6229 a | 0.9997 |
| Treatment | a | b | R2 |
|---|---|---|---|
| T1 | 1.4690 d | 0.3361 d | 0.9998 |
| T2 | 1.6089 c | 0.3727 dc | 0.9999 |
| T3 | 1.7191 b | 0.3847 b | 0.9999 |
| T4 | 1.7917 b | 0.3991 a | 0.9999 |
| T5 | 1.9300 a | 0.3764 bc | 0.9999 |
| T6 | 1.7500 b | 0.3747 bc | 0.9999 |
| T7 | 1.4401 d | 0.3689 c | 0.9997 |
| Stranded Layer Depth/cm | Treatment | Fractal Dimension | R2 | Stranded Layer Depth/cm | Treatment | Fractal Dimension | R2 |
|---|---|---|---|---|---|---|---|
| 0–1 | T1 | 2.5526 | 0.8697 | 3–4 | T1 | 2.5086 | 0.8951 |
| T2 | 2.5648 | 0.8633 | T2 | 2.5266 | 0.8896 | ||
| T3 | 2.5806 | 0.8595 | T3 | 2.521 | 0.8863 | ||
| T4 | 2.5914 | 0.3891 | T4 | 2.5248 | 0.8849 | ||
| T5 | 2.5344 | 0.8829 | T5 | 2.5001 | 0.8983 | ||
| T6 | 2.5562 | 0.8741 | T6 | 2.5154 | 0.8932 | ||
| T7 | 2.5856 | 0.8582 | T7 | 2.5391 | 0.8799 | ||
| 1–2 | T1 | 2.5400 | 0.8768 | 4–5 | T1 | 2.5004 | 0.9001 |
| T2 | 2.5535 | 0.8708 | T2 | 2.5065 | 0.8998 | ||
| T3 | 2.5632 | 0.8657 | T3 | 2.4998 | 0.9005 | ||
| T4 | 2.5755 | 0.8617 | T4 | 2.4983 | 0.8991 | ||
| T5 | 2.5251 | 0.8876 | T5 | 2.4979 | 0.8989 | ||
| T6 | 2.5496 | 0.8789 | T6 | 2.5003 | 0.8996 | ||
| T7 | 2.5709 | 0.8639 | T7 | 2.5218 | 0.8939 | ||
| 2–3 | T1 | 2.5213 | 0.8906 | 5–6 | T1 | 2.4988 | 0.9002 |
| T2 | 2.541 | 0.8801 | T2 | 2.4999 | 0.9000 | ||
| T3 | 2.5514 | 0.8719 | T3 | 2.4983 | 0.9000 | ||
| T4 | 2.5622 | 0.8701 | T4 | 2.499 | 0.9002 | ||
| T5 | 2.5125 | 0.8917 | T5 | 2.4968 | 0.8995 | ||
| T6 | 2.5312 | 0.8895 | T6 | 2.5004 | 0.9002 | ||
| T7 | 2.5545 | 0.869 | T7 | 2.502 | 0.8999 |
Disclaimer/Publisher’s Note: The statements, opinions and data contained in all publications are solely those of the individual author(s) and contributor(s) and not of MDPI and/or the editor(s). MDPI and/or the editor(s) disclaim responsibility for any injury to people or property resulting from any ideas, methods, instructions or products referred to in the content. |
© 2024 by the authors. Licensee MDPI, Basel, Switzerland. This article is an open access article distributed under the terms and conditions of the Creative Commons Attribution (CC BY) license (https://creativecommons.org/licenses/by/4.0/).
Share and Cite
Peng, Y.; Fei, L.; Xue, R.; Shen, F.; Zhen, R.; Wang, Q. Effect of Muddy Water Characteristics on Infiltration Laws and Stratum Compactum Soil Particle Composition under Film Hole Irrigation. Agriculture 2024, 14, 1377. https://doi.org/10.3390/agriculture14081377
Peng Y, Fei L, Xue R, Shen F, Zhen R, Wang Q. Effect of Muddy Water Characteristics on Infiltration Laws and Stratum Compactum Soil Particle Composition under Film Hole Irrigation. Agriculture. 2024; 14(8):1377. https://doi.org/10.3390/agriculture14081377
Chicago/Turabian StylePeng, Youliang, Liangjun Fei, Renming Xue, Fangyuan Shen, Runqiao Zhen, and Qian Wang. 2024. "Effect of Muddy Water Characteristics on Infiltration Laws and Stratum Compactum Soil Particle Composition under Film Hole Irrigation" Agriculture 14, no. 8: 1377. https://doi.org/10.3390/agriculture14081377
APA StylePeng, Y., Fei, L., Xue, R., Shen, F., Zhen, R., & Wang, Q. (2024). Effect of Muddy Water Characteristics on Infiltration Laws and Stratum Compactum Soil Particle Composition under Film Hole Irrigation. Agriculture, 14(8), 1377. https://doi.org/10.3390/agriculture14081377

