Reactivating the Potential of Lima Bean (Phaseolus lunatus) for Enhancing Soil Quality and Sustainable Soil Ecosystem Stability
Abstract
1. Introduction
2. Materials and Methods
2.1. Study Location and Experimental Layout
2.2. Determination of Soil Microbiological Indicators
2.3. Determination of Soil Physicochemical Indicators
2.4. Assessment of Soil Quality
2.5. Statistical Analysis
3. Results
3.1. Influence of Lima Bean on Soil Microbial Indicators of Soil Quality
3.1.1. Influence of Lima Bean on Soil Microbial Respiration
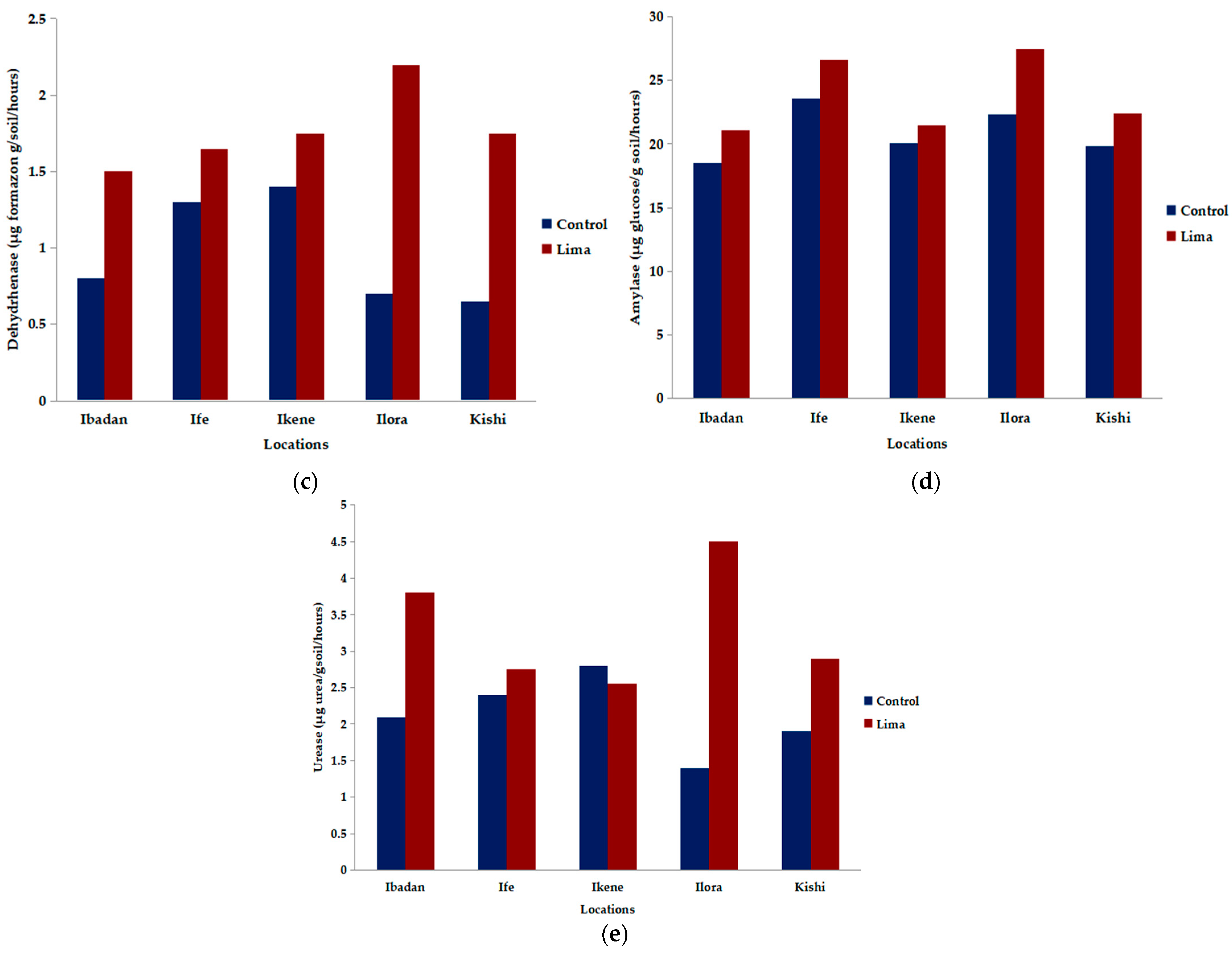
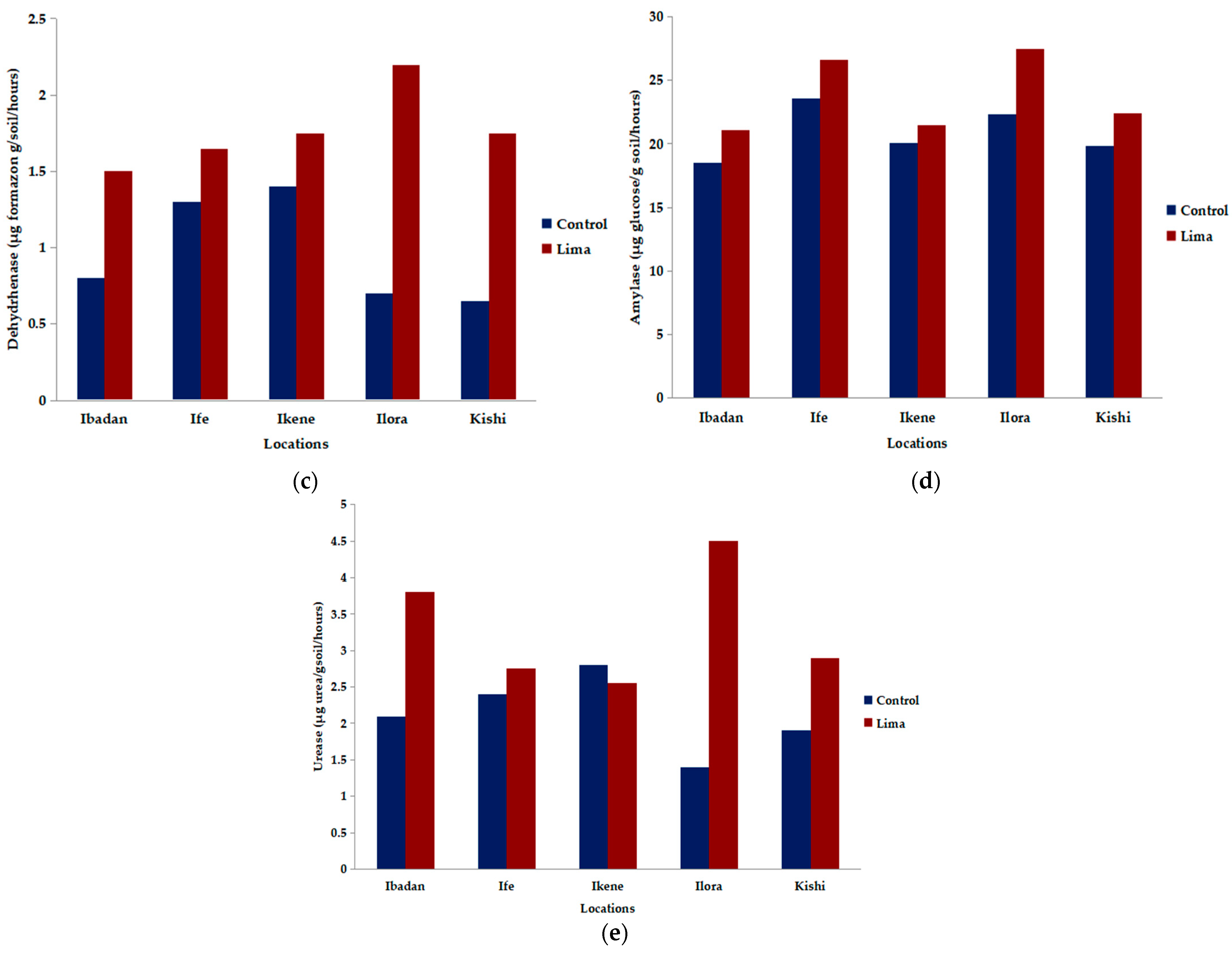
3.1.2. Influence of Lima Bean on Soil Microbial Enzymes
3.2. Correlation of Soil Respiration and Enzyme Activities
3.3. Influence of Lima Bean on Soil Chemical Indicators of Soil Quality
3.4. Correlation of Microbial Activities and Soil Chemical Indicators of Soil Quality
3.5. Influence of Lima Bean on Soil Physical Indicators of Soil Quality
3.6. Influence of Lima Bean on Soil Quality
3.7. Soil Quality and Total Nitrogen
4. Discussion
5. Conclusions
Author Contributions
Funding
Institutional Review Board Statement
Data Availability Statement
Acknowledgments
Conflicts of Interest
References
- Philippot, L.; Chenu, C.; Kappler, A.; Rillig, M.C.; Fierer, N. The interplay between microbial communities and soil properties. Nat. Rev. Microbiol. 2024, 22, 226–239. [Google Scholar] [CrossRef] [PubMed]
- Lehman, R.M.; Cambardella, C.A.; Stott, D.E.; Acosta-Martinez, V.; Manter, D.K.; Buyer, J.S.; Maul, J.E.; Smith, J.L.; Collins, H.P.; Halvorson, J.J.; et al. Understanding and Enhancing Soil Biological Health: The Solution for Reversing Soil Degradation. Sustainability 2015, 7, 988–1027. [Google Scholar] [CrossRef]
- Kumar, U.; Mishra, V.N.; Kumar, N.; Srivastava, L.K.; Bajpai, R.K. Soil Physical and Chemical Quality under Long-Term Rice-based Cropping System in Hot Humid Eastern Plateau of India. Commun. Soil Sci. Plant Anal. 2020, 51, 1930–1945. [Google Scholar] [CrossRef]
- Tahat, M.M.; Alananbeh, K.M.; Othman, Y.A.; Leskovar, D.I. Soil Health and Sustainable Agriculture. Sustainability 2020, 12, 4859. [Google Scholar] [CrossRef]
- Kumar, S.; Gopinath, K.A.; Sheoran, S.; Meena, R.S.; Srinivasarao, C.; Bedwal, S.; Jangir, C.K.; Mrunalini, K.; Jat, R.; Praharaj, C.S. Pulse-based cropping systems for soil health restoration, resources conservation, and nutritional and environmental security in rainfed agroecosystems. Front. Microbiol. 2023, 13, 1041124. [Google Scholar] [CrossRef] [PubMed]
- Burns, R.G.; DeForest, J.L.; Marxsen, J.; Sinsabaugh, R.L.; Stromberger, M.E.; Wallenstein, M.D.; Weintraub, M.N.; Zoppini, A. Soil enzymes in a changing environment: Current knowledge and future directions. Soil Biol. Biochem. 2013, 58, 216–234. [Google Scholar] [CrossRef]
- Nielsen, U.N.; Wall, D.H.; Six, J. Soil Biodiversity and the Environment. Annu. Rev. Environ. Resour. 2015, 40, 63–90. [Google Scholar] [CrossRef]
- Hu, Q.; Zhao, Y.; Hu, X.; Qi, J.; Suo, L.; Pan, Y.; Song, B.; Chen, X. Effect of saline land reclamation by constructing the “Raised Field-Shallow Trench” pattern on agroecosystems in Yellow River Delta. Agric. Water Manag. 2022, 261, 107345. [Google Scholar] [CrossRef]
- Abdulraheem, M.I.; Naqvi, S.M.Z.A.; Li, L.; Ahmed, S.; Wei, W.; Su, R.; Li, B.; Li, C.; Zhang, Y.; Feng, Y. Soil fertility management: Issues and challenges in tropical areas of Nigeria. In Ecosystem Services: Types, Management and Benefits; Jatav, H.S., Rajput, V.D., Eds.; Agriculture Issues and Policies; Nova Science Publishers: New York, NY, USA, 2022; pp. 313–326. [Google Scholar]
- Bhaduri, D.; Sihi, D.; Bhowmik, A.; Verma, B.C.; Munda, S.; Dari, B. A review on effective soil health bio-indicators for ecosystem restoration and sustainability. Front. Microbiol. 2022, 13, 938481. [Google Scholar] [CrossRef]
- Philippot, L.; Griffiths Bryan, S.; Langenheder, S. Microbial Community Resilience across Ecosystems and Multiple Disturbances. Microbiol. Mol. Biol. Rev. 2021, 85, e00026-20. [Google Scholar] [CrossRef]
- Chen, J.; Zhao, Z.; Yang, Y.; Li, C.; Yin, Y.; Zhao, X.; Zhao, N.; Tian, J.; Li, H. Metallogenic prediction based on fractal theory and machine learning in Duobaoshan Area, Heilongjiang Province. Ore Geol. Rev. 2024, 168, 106030. [Google Scholar] [CrossRef]
- Khan, S.; Irshad, S.; Mehmood, K.; Hasnain, Z.; Nawaz, M.; Rais, A.; Gul, S.; Wahid, M.A.; Hashem, A.; Abd_Allah, E.F.; et al. Biochar Production and Characteristics, Its Impacts on Soil Health, Crop Production, and Yield Enhancement: A Review. Plants 2024, 13, 166. [Google Scholar] [CrossRef] [PubMed]
- Ghimire, R.; Thapa, V.R.; Acosta-Martinez, V.; Schipanski, M.; Slaughter, L.C.; Fonte, S.J.; Shukla, M.K.; Bista, P.; Angadi, S.V.; Mikha, M.M.; et al. Soil Health Assessment and Management Framework for Water-Limited Environments: Examples from the Great Plains of the USA. Soil Syst. 2023, 7, 22. [Google Scholar] [CrossRef]
- Callaham, M.A.; Stanturf, J.A. Soil ecology and restoration science. In Soils and Landscape Restoration; Stanturf, J.A., Callaham, M.A., Eds.; Academic Press: Cambridge, MA, USA, 2021; pp. 39–62. [Google Scholar]
- Thapa, V.R.; Ghimire, R.; Mikha, M.M.; Idowu, O.J.; Marsalis, M.A. Land Use Effects on Soil Health in Semiarid Drylands. Agric. Environ. Lett. 2018, 3, 180022. [Google Scholar] [CrossRef]
- Aguilar-Paredes, A.; Valdés, G.; Araneda, N.; Valdebenito, E.; Hansen, F.; Nuti, M. Microbial Community in the Composting Process and Its Positive Impact on the Soil Biota in Sustainable Agriculture. Agronomy 2023, 13, 542. [Google Scholar] [CrossRef]
- Jia, Q.; Sun, J.; Gan, Q.; Shi, N.-N.; Fu, S. Zea mays cultivation, biochar, and arbuscular mycorrhizal fungal inoculation influenced lead immobilization. Microbiol. Spectr. 2024, 12, e03427-23. [Google Scholar] [CrossRef] [PubMed]
- Zhao, Y.; Wang, H.; Song, B.; Xue, P.; Zhang, W.; Peth, S.; Lee Hill, R.; Horn, R. Characterizing uncertainty in process-based hydraulic modeling, exemplified in a semiarid Inner Mongolia steppe. Geoderma 2023, 440, 116713. [Google Scholar] [CrossRef]
- Li, H.; Zhang, T.; Shaheen, S.M.; Abdelrahman, H.; Ali, E.F.; Bolan, N.S.; Li, G.; Rinklebe, J. Microbial inoculants and struvite improved organic matter humification and stabilized phosphorus during swine manure composting: Multivariate and multiscale investigations. Bioresour. Technol. 2022, 351, 126976. [Google Scholar] [CrossRef] [PubMed]
- Martínez-Castillo, J.; Araujo, A.S.F.; Chacón-Sánchez, M.I.; Santos, L.G.; Lopes, A.C.A.; Gibson, K.; Gomes, R.L.F.; Andueza-Noh, R.H.; Bitochi, E.; Ballina-Gómez, H.S.; et al. International Lima Bean Network: From the origin of the species to modern plant breeding. Genet. Resour. Crop Evol. 2023, 70, 1575–1583. [Google Scholar] [CrossRef]
- Martins da Costa, E.; de Almeida Ribeiro, P.R.; de Lima, W.; Palhares Farias, T.; de Souza Moreira, F.M. Lima bean nodulates efficiently with Bradyrhizobium strains isolated from diverse legume species. Symbiosis 2017, 73, 125–133. [Google Scholar] [CrossRef]
- Louzada Rodrigues, T.; Martins da Costa, E.; de Almeida Ribeiro, P.R.; de Carvalho, F.; Rufini, M.; Oliveira Silva, A.; dos Santos Teixeira, A.F.; de Assis Pereira, T.; Reis Sales, F.; de Souza Moreira, F.M. Diversity and biotechnological potential of rhizobia isolated from lima bean nodules collected at a semiarid region. Soil Sci. Soc. Am. J. 2021, 85, 1663–1678. [Google Scholar] [CrossRef]
- Ibeawuchi, I.I. Landrace legumes: Synopsis of the culture, importance, potentials and roles in agricultural production systems. J. Biol. Sci. 2007, 7, 464–474. [Google Scholar] [CrossRef]
- Liu, J.; Wang, Y.; Li, Y.; Peñuelas, J.; Zhao, Y.; Sardans, J.; Tetzlaff, D.; Liu, J.; Liu, X.; Yuan, H.; et al. Soil ecological stoichiometry synchronously regulates stream nitrogen and phosphorus concentrations and ratios. CATENA 2023, 231, 107357. [Google Scholar] [CrossRef]
- Abdulraheem, M.I.; Xiong, Y.; Moshood, A.Y.; Cadenas-Pliego, G.; Zhang, H.; Hu, J. Mechanisms of Plant Epigenetic Regulation in Response to Plant Stress: Recent Discoveries and Implications. Plants 2024, 13, 163. [Google Scholar] [CrossRef] [PubMed]
- Yi, J.; Li, H.; Zhao, Y.; Shao, M.a.; Zhang, H.; Liu, M. Assessing soil water balance to optimize irrigation schedules of flood-irrigated maize fields with different cultivation histories in the arid region. Agric. Water Manag. 2022, 265, 107543. [Google Scholar] [CrossRef]
- Abdulraheem, M.I.; Zhang, W.; Li, S.; Moshayedi, A.J.; Farooque, A.A.; Hu, J. Advancement of Remote Sensing for Soil Measurements and Applications: A Comprehensive Review. Sustainability 2023, 15, 5444. [Google Scholar] [CrossRef]
- Wen, Z.; Han, J.; Shang, Y.; Tao, H.; Fang, C.; Lyu, L.; Li, S.; Hou, J.; Liu, G.; Song, K. Spatial variations of DOM in a diverse range of lakes across various frozen ground zones in China: Insights into molecular composition. Water Res. 2024, 252, 121204. [Google Scholar] [CrossRef] [PubMed]
- Yang, T.; Zhang, Y.; Guo, L.; Li, D.; Liu, A.; Bilal, M.; Xie, C.; Yang, R.; Gu, Z.; Jiang, D. Antifreeze Polysaccharides from Wheat Bran: The Structural Characterization and Antifreeze Mechanism. Biomacromolecules 2024. [Google Scholar] [CrossRef]
- Huang, J.; Gómez-Dans, J.L.; Huang, H.; Ma, H.; Wu, Q.; Lewis, P.E.; Liang, S.; Chen, Z.; Xue, J.-H.; Wu, Y.; et al. Assimilation of remote sensing into crop growth models: Current status and perspectives. Agric. For. Meteorol. 2019, 276–277, 107609. [Google Scholar] [CrossRef]
- Eze, C.N.; Ogbonna, J.C.; Anyanwu, C.U.; Eze, E.A. Determination of the relative abundance and distribution of bacteria and fungi in Bonny light crude oil-contaminated sandy loam soil. Sci. Res. Essays 2013, 8, 375–381. [Google Scholar] [CrossRef]
- Dindar, E.; Topaç Şağban, F.O.; Başkaya, H.S. Variations of soil enzyme activities in petroleum-hydrocarbon contaminated soil. Int. Biodeterior. Biodegrad. 2015, 105, 268–275. [Google Scholar] [CrossRef]
- Bedaiwy, M.; Naguib, A. A simplified approach for determining the hydrometer's dynamic settling depth in particle-size analysis. CATENA 2012, 97, 95–103. [Google Scholar] [CrossRef]
- Li, X.; Fan, G. On strain localization of aeolian sand in true triaxial apparatus. Acta Geotech. 2024, 19, 3115–3128. [Google Scholar] [CrossRef]
- Liang, S.; Zhao, Z.; Li, C.; Yin, Y.; Li, H.; Zhou, J. Age and petrogenesis of ore–forming volcanic–subvolcanic rocks in the Yidonglinchang Au deposit, Lesser Xing’an Range: Implications for late Mesozoic Au mineralization in NE China. Ore Geol. Rev. 2024, 165, 105875. [Google Scholar] [CrossRef]
- Grossman, R.B.; Reinsch, T.G. Bulk density and linear extensibility: Core method. In Methods of Soil Analysis: Part 4—Physical Methods; Dane, J.H., Clarke Topp, G., Eds.; Soil Science Society of America, Inc.: Madison, WI, USA, 2002; pp. 208–228. [Google Scholar]
- Du, C.; Bai, X.; Li, Y.; Tan, Q.; Zhao, C.; Luo, G.; Wu, L.; Chen, F.; Li, C.; Ran, C.; et al. Storage, form, and influencing factors of karst inorganic carbon in a carbonate area in China. Sci. China Earth Sci. 2024, 67, 725–739. [Google Scholar] [CrossRef]
- Hillel, D. Introduction to Soil Physics; Academic Press: New York, NY, USA, 2013. [Google Scholar]
- Reynolds, W.D.; Elrick, D.E.; Youngs, E.G.; Booltink, H.W.G.; Bouma, J.; Dane, J.H. Saturated and field-saturated water flow parameters. 2. Laboratory methods. In Methods of Soil Analysis: Part 4—Physical Methods; Dane, J.H., Clarke Topp, G., Eds.; Soil Science Society of America, Inc.: Madison, WI, USA, 2002; pp. 797–878. [Google Scholar]
- Karlen, D.L.; Stott, D.E. A Framework for Evaluating Physical and Chemical Indicators of Soil Quality. In Defining Soil Quality for a Sustainable Environment; Doran, J.W., Coleman, D.C., Bezdicek, D.F., Stewart, B.A., Eds.; SSSA Special Publications; Soil Science Society of America, Inc.: Madison, WI, USA, 1994; Volume 35, pp. 53–72. [Google Scholar]
- Statistical Analysis System (SAS) Institute. SAS/STAT User’s Guide, Version 8. 2; Cary, S.I., Ed.; Statistical Analysis System (SAS) Institute: Cary, NC, USA, 2002. [Google Scholar]
- Tu, C.; Ristaino, J.B.; Hu, S. Soil microbial biomass and activity in organic tomato farming systems: Effects of organic inputs and straw mulching. Soil Biol. Biochem. 2006, 38, 247–255. [Google Scholar] [CrossRef]
- Govaerts, B.; Verhulst, N.; Castellanos-Navarrete, A.; Sayre, K.D.; Dixon, J.; Dendooven, L. Conservation Agriculture and Soil Carbon Sequestration: Between Myth and Farmer Reality. Crit. Rev. Plant Sci. 2009, 28, 97–122. [Google Scholar] [CrossRef]
- Huang, J.; Ma, H.; Sedano, F.; Lewis, P.; Liang, S.; Wu, Q.; Su, W.; Zhang, X.; Zhu, D. Evaluation of regional estimates of winter wheat yield by assimilating three remotely sensed reflectance datasets into the coupled WOFOST–PROSAIL model. Eur. J. Agron. 2019, 102, 1–13. [Google Scholar] [CrossRef]
- Zhao, Q.; Wang, Y.; Zhu, Z.; Zhao, Q.; Zhu, L.; Jiang, L. Efficient reduction of β-lactoglobulin allergenicity in milk using Clostridium tyrobutyricum Z816. Food Sci. Hum. Wellness 2023, 12, 809–816. [Google Scholar] [CrossRef]
- Meena, A.; Rao, K.S. Assessment of soil microbial and enzyme activity in the rhizosphere zone under different land use/cover of a semiarid region, India. Ecol. Process. 2021, 10, 16. [Google Scholar] [CrossRef]
- Diógenes, L.C.; Lustosa Filho, J.F.; da Silva, A.F.T.; Nóbrega, J.C.A.; Nóbrega, R.S.A.; Irene Filho, J.; de Andrade Junior, A.S. Microbial activities, carbon, and nitrogen in an irrigated Quartzarenic Neosol cultivated with cowpea in southwest Piauí. Semin. Ciências Agrárias 2017, 38, 1765–1773. [Google Scholar] [CrossRef]
- Balota, E.L.; Chaves, J.C.D. Microbial activity in soil cultivated with different summer legumes in coffee crop. Braz. Arch. Biol. Technol. 2011, 54, 35–44. [Google Scholar] [CrossRef]
- Tian, J.; Ge, F.; Zhang, D.; Deng, S.; Liu, X. Roles of Phosphate Solubilizing Microorganisms from Managing Soil Phosphorus Deficiency to Mediating Biogeochemical P Cycle. Biology 2021, 10, 158. [Google Scholar] [CrossRef] [PubMed]
- Zhu, J.; Qu, B.; Li, M. Phosphorus mobilization in the Yeyahu Wetland: Phosphatase enzyme activities and organic phosphorus fractions in the rhizosphere soils. Int. Biodeterior. Biodegrad. 2017, 124, 304–313. [Google Scholar] [CrossRef]
- Zhang, T.; Li, H.; Yan, T.; Shaheen, S.M.; Niu, Y.; Xie, S.; Zhang, Y.; Abdelrahman, H.; Ali, E.F.; Bolan, N.S.; et al. Organic matter stabilization and phosphorus activation during vegetable waste composting: Multivariate and multiscale investigation. Sci. Total Environ. 2023, 891, 164608. [Google Scholar] [CrossRef] [PubMed]
- Polacco, J.C.; Mazzafera, P.; Tezotto, T. Opinion—Nickel and urease in plants: Still many knowledge gaps. Plant Sci. 2013, 199–200, 79–90. [Google Scholar] [CrossRef] [PubMed]
- Sun, X.; Sun, M.; Chao, Y.; Shang, X.; Wang, H.; Pan, H.; Yang, Q.; Lou, Y.; Zhuge, Y. Effects of lead pollution on soil microbial community diversity and biomass and on invertase activity. Soil Ecol. Lett. 2023, 5, 118–127. [Google Scholar] [CrossRef]
- Klose, S.; Tabatabai, M.A. Urease activity of microbial biomass in soils. Soil Biol. Biochem. 1999, 31, 205–211. [Google Scholar] [CrossRef]
- Biederbeck, V.O.; Zentner, R.P.; Campbell, C.A. Soil microbial populations and activities as influenced by legume green fallow in a semiarid climate. Soil Biol. Biochem. 2005, 37, 1775–1784. [Google Scholar] [CrossRef]
- Nweke, I.A. Influence of different leguminous crop on the ultisol that had been continuously cropped to cassava/maize for over six years. J. Soil Sci. Environ. Manag. 2016, 7, 222–229. [Google Scholar] [CrossRef]
- Armstrong, R.D.; Kuskopf, B.J.; Millar, G.; Whitbread, A.M.; Standley, J. Changes in soil chemical and physical properties following legumes and opportunity cropping on a cracking clay soil. Aust. J. Exp. Agric. 1999, 39, 445–456. [Google Scholar] [CrossRef]
- Thapa, S.; Bhandari, A.; Ghimire, R.; Xue, Q.; Kidwaro, F.; Ghatrehsamani, S.; Maharjan, B.; Goodwin, M. Managing Micronutrients for Improving Soil Fertility, Health, and Soybean Yield. Sustainability 2021, 13, 1766. [Google Scholar] [CrossRef]
- Wang, Q.; Guo, Q.; Niu, W.; Wu, L.; Gong, W.; Yan, S.; Nishinari, K.; Zhao, M. The pH-responsive phase separation of type-A gelatin and dextran characterized with static multiple light scattering (S-MLS). Food Hydrocoll. 2022, 127, 107503. [Google Scholar] [CrossRef]
- Fageria, N.K.; Baligar, V.C.; Bailey, B.A. Role of Cover Crops in Improving Soil and Row Crop Productivity. Commun. Soil Sci. Plant Anal. 2005, 36, 2733–2757. [Google Scholar] [CrossRef]
- de Jesus Dantas, S.; Torres, M.F.O.; Silva-Mann, R.; Vargas, P.F. Phaseolus lunatus L.: Pulse seeds phenotype image analysis. Genet. Resour. Crop Evol. 2023, 70, 2555–2565. [Google Scholar] [CrossRef]
- Stagnari, F.; Maggio, A.; Galieni, A.; Pisante, M. Multiple benefits of legumes for agriculture sustainability: An overview. Chem. Biol. Technol. Agric. 2017, 4, 2. [Google Scholar] [CrossRef]




| Soil Quality-Related Soil to Processes | Weight (g) | Indicators (Soil Quality) | Relative Weight (%) |
|---|---|---|---|
| Nutrient availability | 0.3 | pH | 0.25 |
| Avail. P | 0.30 | ||
| K | 0.25 | ||
| CEC | 0.20 | ||
| Nutrient retention | 0.3 | Organic matter | 0.50 |
| ECEC | 0.30 | ||
| SHC | 0.20 | ||
| Root penetration | 0.2 | Bulk density Total | 0.40 |
| Porosity | 0.40 | ||
| SHC | 0.20 | ||
| Biotic environment | 0.2 | Soil respiration | 0.25 |
| Phosphatase activity | 0.25 | ||
| Urease activity | 0.20 | ||
| Dehydrogenase activity | 0.30 |
| Soil Microbial Respiration | Amylase | Phosphatase | Dehydrogenase | |
|---|---|---|---|---|
| Amylase | −0.20 | |||
| Phosphatase | 0.15 | −0.17 | ||
| Dehydrogenase | 0.03 | 0.37 * | 0.04 | |
| Urease | 0.03 | 0.41 ** | 0.32 | 0.73 ** |
| Agroecology | Location | Treatment | H+ | CEC cmol/Kg | Mn ppm | B ppm | Cu ppm | Fe ppm | Zn ppm |
|---|---|---|---|---|---|---|---|---|---|
| Transition zone | Ibadan | WLB | 0.120 a | 7.52 a | 54.8 a | 0.07 a | 1.66 a | 146.4 a | 2.85 a |
| LB | 0.130 a | 8.37 a | 54.9 a | 0.08 a | 1.26 b | 159.1 b | 1.17 b | ||
| High-rain forest | Ife | WLB | 0.085 b | 2.73 b | 58.0 b | 0.09 a | 0.71 c | 123.4 c | 1.54 b |
| LB | 0.095 b | 3.95 b | 59.2 b | 0.10 b | 0.85 c | 145.5 ab | 1.40 b | ||
| Derived savannah | Ilora | WLB | 0.130 c | 5.1 c | 40.0 c | 0.16 c | 0.92 d | 148.1 ab | 2.30 ab |
| LB | 0.130 c | 6.67 d | 41.3 c | 0.19 c | 1.02 d | 157.9 bc | 1.53 b | ||
| Rainforest | Ikenne | WLB | 0.090 d | 3.61 e | 50.8 d | 0.02 d | 0.63 e | 116.3 d | 1.20 b |
| LB | 0.135 e | 4.75 e | 51.8 d | 0.04 e | 0.86 e | 166.8 e | 2.15 c | ||
| Guinea Savannah | Kishi | WLB | 0.125 f | 2.36 f | 55.0 e | 0.03 de | 0.30 f | 153.6 f | 1.01 d |
| LB | 0.130 f | 4.66 g | 56.7 e | 0.05 f | 0.73 g | 162.5 g | 1.38 d |
| Chemical Indicators | Amylase | Phosphatase | Dehydrogenase | Urease | CO2 Evolution |
|---|---|---|---|---|---|
| pH (H2O) | 0.66 | 0.46 | 0.37 | 0.34 | 0.12 |
| Ca | −0.13 | 0.39 | −0.08 | 0.13 | 0.30 |
| Mg | −0.28 | 0.18 | −0.39 | −0.14 | −0.14 |
| K | −0.27 | 0.06 | 0.05 | −0.03 | 0.31 |
| Na | −0.03 | −0.21 | −0.51 | −0.31 | −0.03 |
| H+ | −0.06 | −0.46 | −0.37 | −0.34 | −0.12 |
| CEC | −0.21 | 0.33 | −0.20 | 0.03 | 0.23 |
| P | −0.20 | −0.08 | 0.13 | 0.09 | 0.15 |
| Org. carbon | −0.01 | −0.09 | −0.63 | −0.24 | 0.05 |
| % Total N | −0.16 | −0.16 | −0.66 ** | −0.33 | 0.02 |
| Mn | −0.14 | 0.07 | −0.55 | −0.37 | −0.28 |
| S | −0.12 | 0.02 | −0.60 ** | −0.25 | 0.14 |
| B | −0.14 | −0.25 | −0.53 | −0.53 | −0.49 |
| Cu | −0.08 | 0.13 | −0.41 | −0.12 | 0.19 |
| Fe | 0.30 | −0.13 | −0.06 | 0.20 | −0.25 |
| Zn | 0.16 | 0.14 | −0.51 | −0.08 | 0.20 |
| Agroecology | Location | Treatment | Texture | Bulk Density (Mg m−3) | Total Porosity (m−3 m−3) | Saturated Hydraulic Conductivity (10−3 cm s−1) | Available Water Capacity (%) |
|---|---|---|---|---|---|---|---|
| Transition zone | Ibadan | LB | SCL | 1.32 ab | 0.502 ab | 2.39 c | 12 a |
| WLB | SCL | 1.43 a | 0.460 b | 8.10 a | 11 ab | ||
| High-rain forest | Ife | LB | SL | 1.20 b | 0.547 a | 8.72 a | 16 a |
| WLB | SL | 1.33 ab | 0.498 ab | 9.81 a | 14 a | ||
| Derived Savannah | Ilora | LB | SL | 1.58 a | 0.404 c | 3.01 b | 12 a |
| WLB | SL | 1.38 ab | 0.479 b | 4.92 b | 10 ab | ||
| Rainforest | Ikenne | LB | SCL | 1.27 b | 0.521 a | 3.90 b | 12 a |
| WLB | SCL | 1.37 ab | 0.483 ab | 8.21 a | 11 ab | ||
| Guinea Savannah | Kishi | LB | SL | 1.49 a | 0.438 b | 0.71 d | 9 b |
| WLB | SL | 1.53 a | 0.423 bc | 1.42 cd | 9 b |
Disclaimer/Publisher’s Note: The statements, opinions and data contained in all publications are solely those of the individual author(s) and contributor(s) and not of MDPI and/or the editor(s). MDPI and/or the editor(s) disclaim responsibility for any injury to people or property resulting from any ideas, methods, instructions or products referred to in the content. |
© 2024 by the authors. Licensee MDPI, Basel, Switzerland. This article is an open access article distributed under the terms and conditions of the Creative Commons Attribution (CC BY) license (https://creativecommons.org/licenses/by/4.0/).
Share and Cite
Abdulraheem, M.I.; Moshood, A.Y.; Li, L.; Taiwo, L.B.; Oyedele, A.O.; Ezaka, E.; Chen, H.; Farooque, A.A.; Raghavan, V.; Hu, J. Reactivating the Potential of Lima Bean (Phaseolus lunatus) for Enhancing Soil Quality and Sustainable Soil Ecosystem Stability. Agriculture 2024, 14, 976. https://doi.org/10.3390/agriculture14070976
Abdulraheem MI, Moshood AY, Li L, Taiwo LB, Oyedele AO, Ezaka E, Chen H, Farooque AA, Raghavan V, Hu J. Reactivating the Potential of Lima Bean (Phaseolus lunatus) for Enhancing Soil Quality and Sustainable Soil Ecosystem Stability. Agriculture. 2024; 14(7):976. https://doi.org/10.3390/agriculture14070976
Chicago/Turabian StyleAbdulraheem, Mukhtar Iderawumi, Abiodun Yusuff Moshood, Linze Li, Lateef Bamidele Taiwo, Adedayo Omowumi Oyedele, Emmanuel Ezaka, Hongjun Chen, Aitazaz A. Farooque, Vijaya Raghavan, and Jiandong Hu. 2024. "Reactivating the Potential of Lima Bean (Phaseolus lunatus) for Enhancing Soil Quality and Sustainable Soil Ecosystem Stability" Agriculture 14, no. 7: 976. https://doi.org/10.3390/agriculture14070976
APA StyleAbdulraheem, M. I., Moshood, A. Y., Li, L., Taiwo, L. B., Oyedele, A. O., Ezaka, E., Chen, H., Farooque, A. A., Raghavan, V., & Hu, J. (2024). Reactivating the Potential of Lima Bean (Phaseolus lunatus) for Enhancing Soil Quality and Sustainable Soil Ecosystem Stability. Agriculture, 14(7), 976. https://doi.org/10.3390/agriculture14070976

