Nitrogen Reduction and Organic Fertiliser Application Benefits Growth, Yield, and Economic Return of Cotton
Abstract
1. Introduction
2. Materials and Methods
2.1. Biological Material and Field Experiment
2.2. Sampling and Measurement
2.2.1. Agronomic Trait
2.2.2. Photosynthetic Performance
2.2.3. Spatial Distribution of Cotton Bolls
2.2.4. Measure Yield
2.2.5. Economic Analysis
2.3. Statistical Analysis
3. Results
3.1. Changes in Agronomic Traits
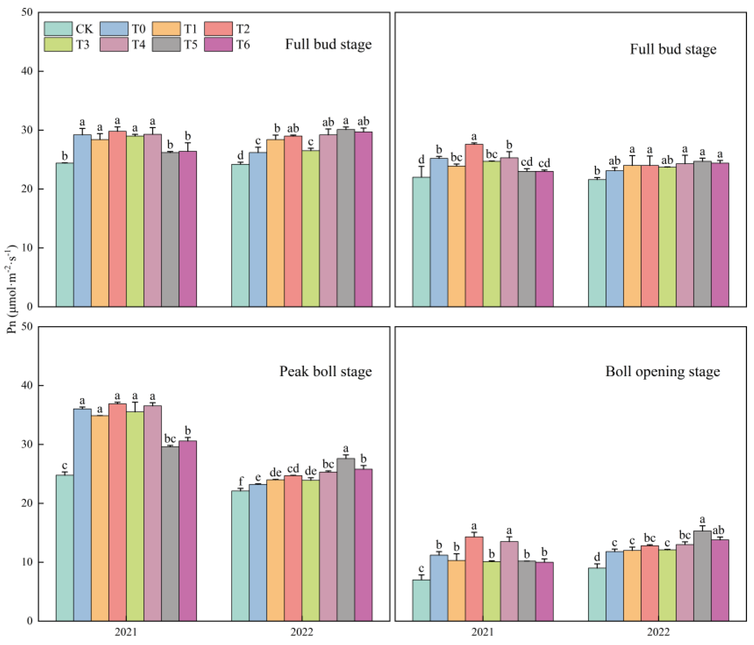
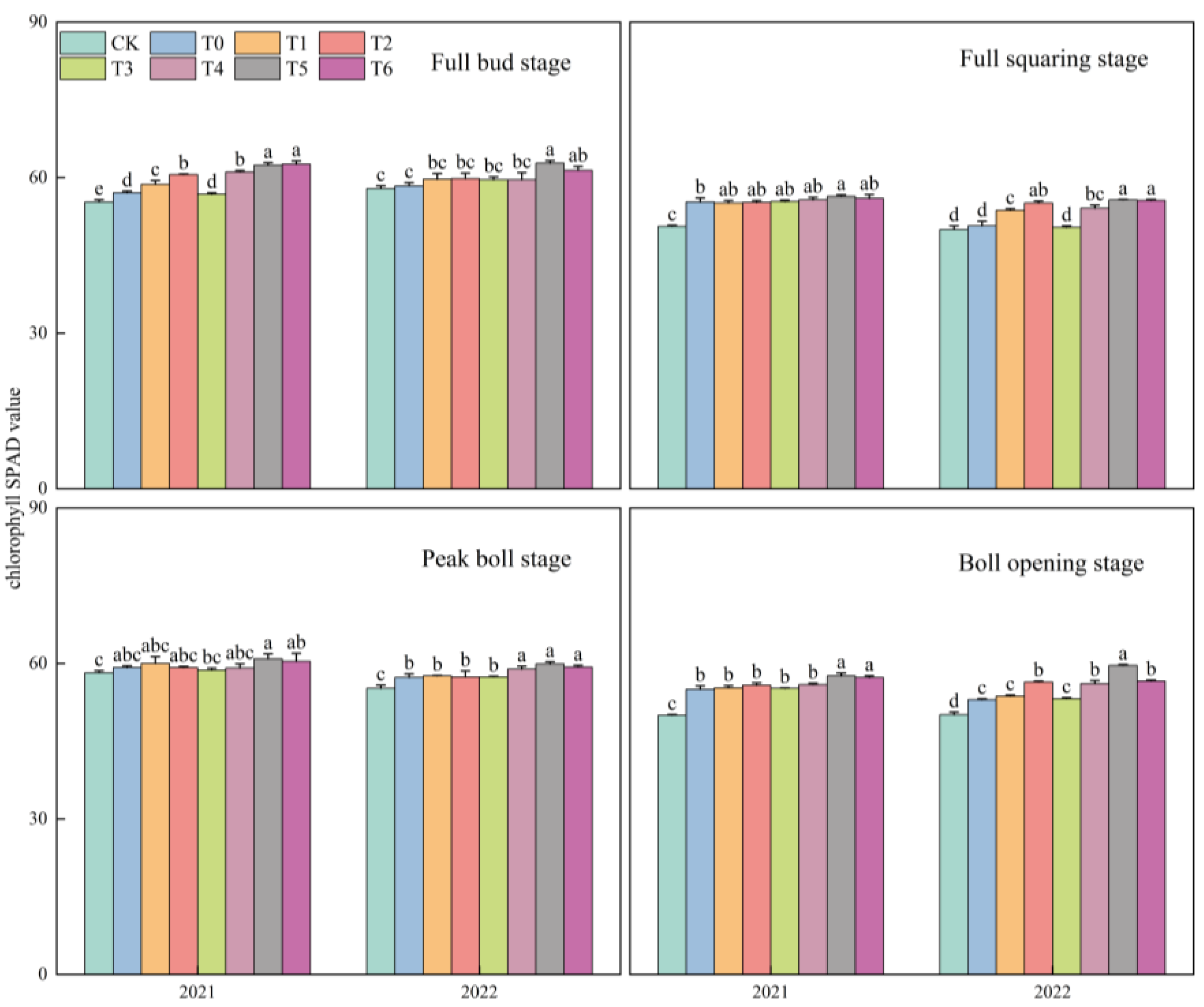
3.2. Changes in Photosynthetic Physiological Characteristics
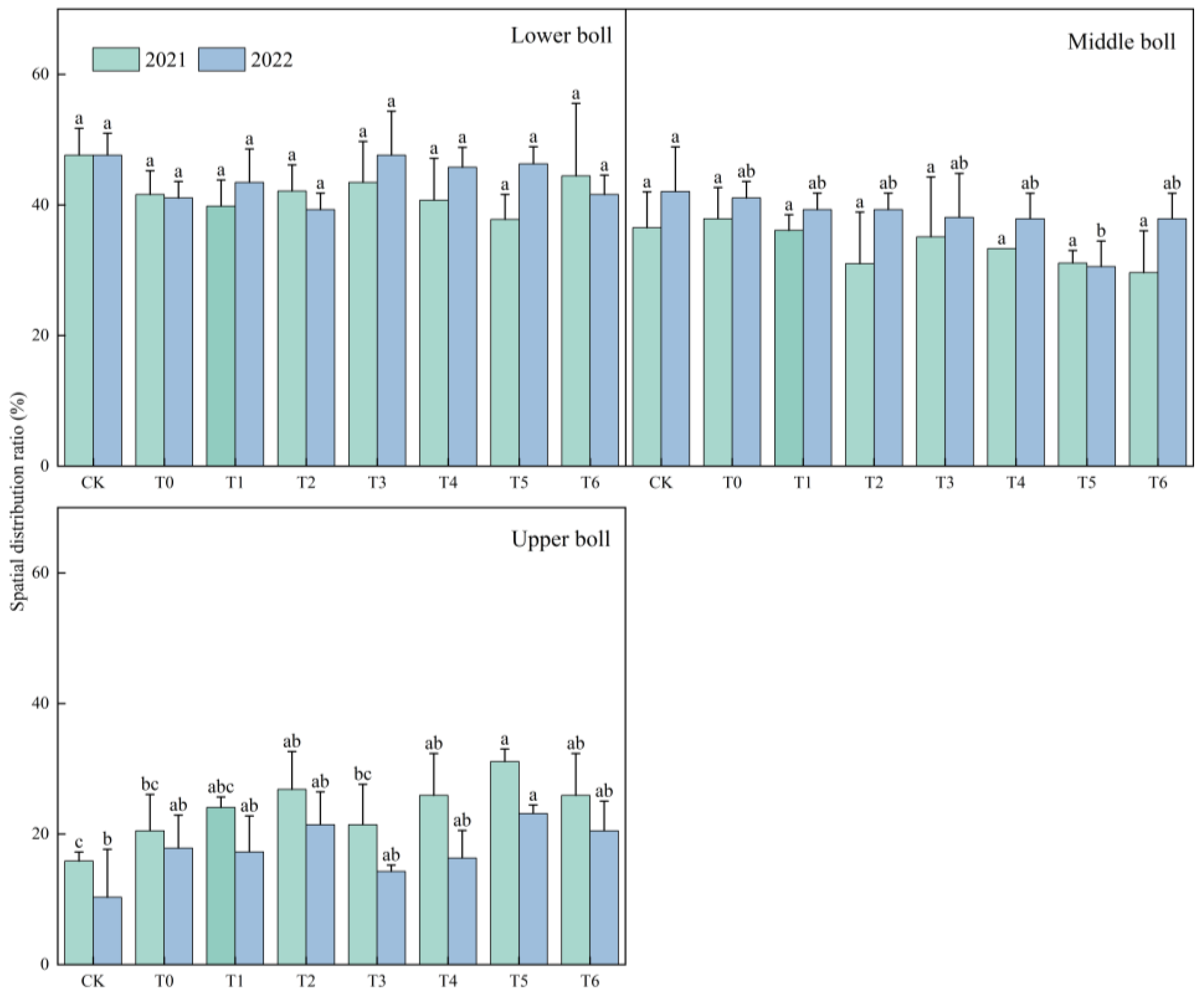
3.3. Spatial Distribution of Cotton Bolls during Flocculation
3.4. Changes in the Components of Cotton Yield and Overall Yield
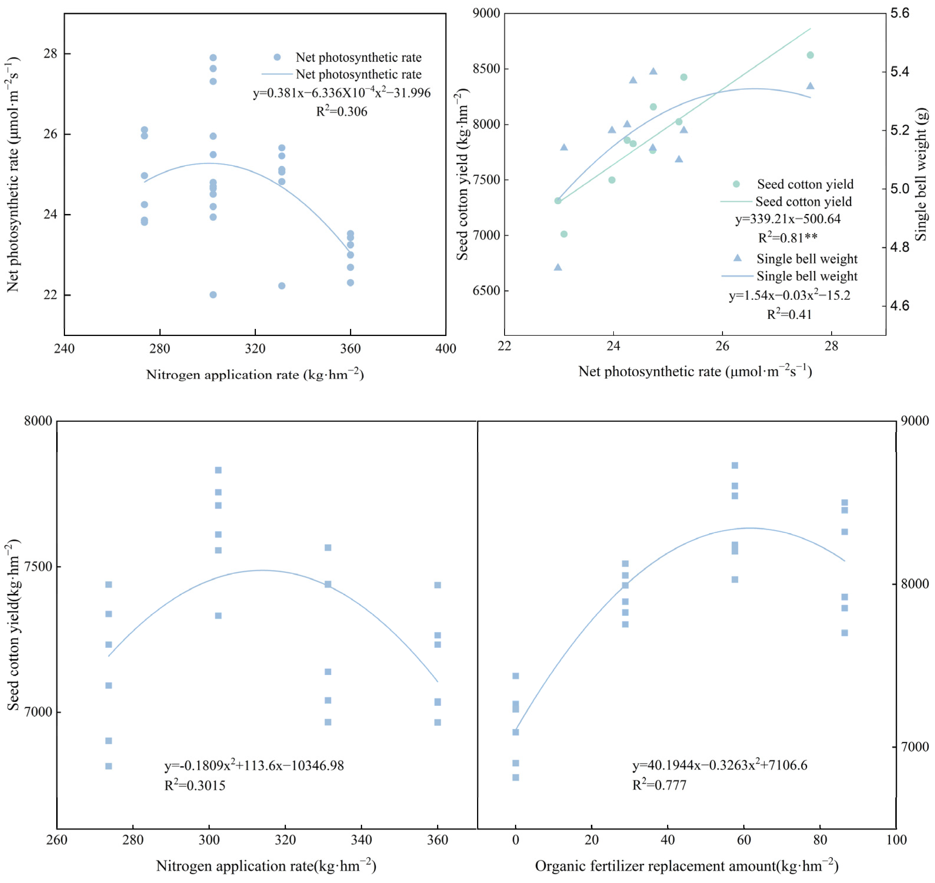
3.5. Regression Equation for the Relationship between Yield, Photosynthesis, and Nitrogen Application
3.6. Economic Benefit Analysis
4. Discussion
4.1. Effect of Nmin Reduction and Organic Fertiliser on the Growth and Developmental Characteristics of Cotton
4.2. Effect of Nmin Reduction and Organic Fertiliser Application on the Net Photosynthetic Rate in Cotton
4.3. Effect of Nmin Reduction and Organic Fertiliser on Cotton Yield Composition and Nitrogen Utilisation in Cotton
4.4. Effect of Different Nmin Reduction and Organic Fertiliser Treatments on the Economic Efficiency of Cotton
5. Conclusions
Author Contributions
Funding
Institutional Review Board Statement
Data Availability Statement
Conflicts of Interest
References
- Han, Z.; Hu, Y.; Tian, Q.; Cao, Y.; Si, A.; Si, Z.; Zang, Y.; Xu, C.; Shen, W.; Dai, F.; et al. Genomic signatures and candidate genes of lint yield and fibre quality improvement in Upland cotton in Xinjiang. Plant Biotechnol. J. 2020, 18, 2002–2014. [Google Scholar] [CrossRef]
- Li, N.; Lin, H.; Wang, T.; Li, Y.; Liu, Y.; Chen, X.; Hu, X. Impact of climate change on cotton growth and yields in Xinjiang, China. Field Crop Res. 2020, 247, 107590. [Google Scholar] [CrossRef]
- Gu, X.; Cai, H.; Du, Y.; Li, Y. Effects of film mulching and nitrogen fertilization on rhizosphere soil environment, root growth and nutrient uptake of winter oilseed rape in northwest China. Soil Tillage Res. 2019, 187, 194–203. [Google Scholar] [CrossRef]
- Cui, Z.; Zhang, F.; Chen, X.; Dou, Z.; Li, J. In-season nitrogen management strategy for winter wheat: Maximizing yields, minimizing environmental impact in an over-fertilization context. Field Crop Res. 2010, 116, 140–146. [Google Scholar] [CrossRef]
- Dong, X.; Zhang, Z.; Wang, S.; Shen, Z.; Cheng, X.; Lv, X.; Pu, X. Soil properties, root morphology and physiological responses to cotton stalk biochar addition in two continuous cropping cotton field soils from Xinjiang, China. PeerJ 2022, 10, e12928. [Google Scholar] [CrossRef]
- Tian, Y.; Tian, L.; Wang, F.; Shi, X.; Shi, F.; Hao, X.; Li, N.; Chenu, K.; Luo, H.; Yang, G. Optimizing nitrogen application improves its efficiency by higher allocation in bolls of cotton under drip fertigation. Field Crop Res. 2023, 298, 108968. [Google Scholar] [CrossRef]
- Abdo, A.I.; Shi, D.; Li, J.; Yang, T.; Wang, X.; Li, H.; Abdel-Hamed, E.M.W.; Merwad, A.M.A.; Wang, L. Ammonia emission from staple crops in China as response to mitigation strategies and agronomic conditions: Meta-analytic study. J. Clean. Prod. 2021, 279, 123835. [Google Scholar] [CrossRef]
- Wang, J.; Hussain, S.; Sun, X.; Zhang, P.; Javed, T.; Dessoky, E.S.; Ren, X.; Chen, X. Effects of Nitrogen Application Rate under Straw Incorporation on Photosynthesis, Productivity and Nitrogen Use Efficiency in Winter Wheat. Front. Plant Sci. 2022, 13, 862088. [Google Scholar] [CrossRef] [PubMed]
- Chen, J.; Liu, L.; Wang, Z.; Sun, H.; Zhang, Y.; Bai, Z.; Song, S.; Lu, Z.; Li, C. Nitrogen Fertilization Effects on Physiology of the Cotton Boll-Leaf System. Agronomy 2019, 9, 271. [Google Scholar] [CrossRef]
- Zhou, C.; Jia, B.; Wang, S.; Huang, Y.; Wang, Y.; Han, K.; Wang, W. Effects of Nitrogen Fertilizer Applications on Photosynthetic Production and Yield of Japonica Rice. Int. J. Plant Prod. 2021, 15, 599–613. [Google Scholar] [CrossRef]
- Hou, X.; Xiang, Y.; Fan, J.; Zhang, F.; Hu, W.; Yan, F.; Guo, J.; Xiao, C.; Li, Y.; Cheng, H.; et al. Evaluation of cotton N nutrition status based on critical N dilution curve, N uptake and residual under different drip fertigation regimes in Southern Xinjiang of China. Agric. Water Manag. 2021, 256, 107134. [Google Scholar] [CrossRef]
- Wang, H.; Xu, J.; Liu, X.; Zhang, D.; Li, L.; Li, W.; Sheng, L. Effects of long-term application of organic fertilizer on improving organic matter content and retarding acidity in red soil from China. Soil Tillage Res. 2019, 195, 104382. [Google Scholar] [CrossRef]
- Adekiya, A.O.; Ejue, W.S.; Olayanju, A.; Dunsin, O.; Aboyeji, C.M.; Aremu, C.; Adegbite, K.; Akinpelu, O. Different organic manure sources and NPK fertilizer on soil chemical properties, growth, yield and quality of okra. Sci. Rep. 2020, 10, 16083. [Google Scholar] [CrossRef]
- Du, T.; He, H.; Zhang, Q.; Lu, L.; Mao, W.; Zhai, M. Positive effects of organic fertilizers and biofertilizers on soil microbial community composition and walnut yield. Appl. Soil. Ecol. 2022, 175, 104457. [Google Scholar] [CrossRef]
- Ye, L.; Zhao, X.; Bao, E.; Li, J.; Zou, Z.; Cao, K. Bio-organic fertilizer with reduced rates of chemical fertilization improves soil fertility and enhances tomato yield and quality. Sci. Rep. 2020, 10, 177. [Google Scholar] [CrossRef]
- Guo, J.; Fan, J.; Zhang, F.; Yan, S.; Zheng, J.; Wu, Y.; Li, J.; Wang, Y.; Sun, X.; Liu, X.; et al. Blending urea and slow-release nitrogen fertilizer increases dryland maize yield and nitrogen use efficiency while mitigating ammonia volatilization. Sci. Total Environ. 2021, 790, 148058. [Google Scholar] [CrossRef]
- Liu, J.; Shu, A.; Song, W.; Shi, W.; Li, M.; Zhang, W.; Li, Z.; Liu, G.; Yuan, F.; Zhang, S.; et al. Long-term organic fertilizer substitution increases rice yield by improving soil properties and regulating soil bacteria. Geoderma 2021, 404, 115287. [Google Scholar] [CrossRef]
- Duncan, E.G.; O’Sullivan, C.A.; Roper, M.M.; Biggs, J.S.; Peoples, M.B. Influence of co-application of nitrogen with phosphorus, potassium and sulphur on the apparent efficiency of nitrogen fertiliser use, grain yield and protein content of wheat: Review. Field Crop Res. 2018, 226, 56–65. [Google Scholar] [CrossRef]
- He, H.; Peng, M.; Lu, W.; Hou, Z.; Li, J. Commercial organic fertilizer substitution increases wheat yield by improving soil quality. Sci. Total Environ. 2022, 851, 158132. [Google Scholar] [CrossRef]
- Shi, X.; Hao, X.; Li, N.; Li, J.; Shi, F.; Han, H.; Tian, Y.; Chen, Y.; Wang, J.; Luo, H. Organic Liquid Fertilizer Coupled with Single Application of Chemical Fertilization Improves Growth, Biomass, and Yield Components of Cotton under Mulch Drip Irrigation. Front. Plant Sci. 2022, 12, 763525. [Google Scholar] [CrossRef]
- Bai, Z.; Bai, W.; Xie, C.; Yu, J.; Dai, Y.; Pei, S.; Zhang, F.; Li, Y.; Fan, J.; Yin, F. Irrigation depth and nitrogen rate effects on seed cotton yield, fiber quality and water-nitrogen utilization efficiency in southern Xinjiang, China. Agric. Water Manag. 2023, 290, 108583. [Google Scholar] [CrossRef]
- Hassanzadehdelouei, M.; Ul-Allah, S.; Madani, A. Cotton fiber quality response to nitrogen depends on source-sink process, boll growth habit, and weather condition. Ind. Crop Prod. 2022, 186, 115279. [Google Scholar] [CrossRef]
- Yao, R.; Bai, R.; Yu, Q.; Bao, Y.; Yang, W. The Effect of Nitrogen Reduction and Applying Bio-Organic Fertilisers on Soil Nutrients and Apple Fruit Quality and Yield. Agronomy 2024, 14, 345. [Google Scholar] [CrossRef]
- Liu, Z.; Gao, J.; Gao, F.; Liu, P.; Zhao, B.; Zhang, J. Photosynthetic Characteristics and Chloroplast Ultrastructure of Summer Maize Response to Different Nitrogen Supplies. Front. Plant Sci. 2018, 9, 576. [Google Scholar] [CrossRef] [PubMed]
- Du, X.; Xi, M.; Wei, Z.; Chen, X.; Wu, W.; Kong, L. Raised bed planting promotes grain number per spike in wheat grown after rice by improving spike differentiation and enhancing photosynthetic capacity. J. Integr. Agric. 2023, 22, 1631–1644. [Google Scholar] [CrossRef]
- Muharam, F.M.; Bronson, K.F.; Maas, S.J.; Ritchie, G.L. Inter-relationships of cotton plant height, canopy width, ground cover and plant nitrogen status indicators. Field Crop Res. 2014, 169, 58–69. [Google Scholar] [CrossRef]
- Li, H.; Liu, Z.; Zhang, X.; Chen, D.; Chen, Y. A positive correlation between seed cotton yield and high-efficiency leaf area index in directly seeded short-season cotton after wheat. Field Crop Res. 2022, 285, 108594. [Google Scholar] [CrossRef]
- Huang, L.; Cheng, S.; Liu, H.; Zhao, Z.; Wei, S.; Sun, S. Effects of nitrogen reduction combined with organic fertilizer on growth and nitrogen fate in banana at seedling stage. Environ. Res. 2022, 214, 113826. [Google Scholar] [CrossRef]
- Yang, H.; Yang, B.; Dai, Y.; Xu, M.; Koide, R.T.; Wang, X.; Liu, J.; Bian, X. Soil nitrogen retention is increased by ditch-buried straw return in a rice-wheat rotation system. Eur. J. Agron. 2015, 69, 52–58. [Google Scholar] [CrossRef]
- Wang, Z.; Wang, Z.; Ma, L.; Lv, X.; Meng, Y.; Zhou, Z. Straw returning coupled with nitrogen fertilization increases canopy photosynthetic capacity, yield and nitrogen use efficiency in cotton. Eur. J. Agron. 2021, 126, 126267. [Google Scholar] [CrossRef]
- Sperling, O.; Karunakaran, R.; Erel, R.; Yasuor, H.; Klipcan, L.; Yermiyahu, U. Excessive nitrogen impairs hydraulics, limits photosynthesis, and alters the metabolic composition of almond trees. Plant Physiol. Biochem. 2019, 143, 265–274. [Google Scholar] [CrossRef] [PubMed]
- Salvagiotti, F.; Cassman, K.G.; Specht, J.E.; Walters, D.T.; Weiss, A.; Dobermann, A. Nitrogen uptake, fixation and response to fertilizer N in soybeans: A review. Field Crop Res. 2008, 108, 1–13. [Google Scholar] [CrossRef]
- Thind, H.S.; Aujla, M.S.; Buttar, G.S. Response of cotton to various levels of nitrogen and water applied to normal and paired sown cotton under drip irrigation in relation to check-basin. Agric. Water Manag. 2008, 95, 25–34. [Google Scholar] [CrossRef]
- Ding, B.; Cao, H.; Zhang, J.; Bai, Y.; He, Z.; Guo, S.; Wang, B.; Jia, Z.; Liu, H. Biofertilizer application improved cotton growth, nitrogen use efficiency, and yield in saline water drip-irrigated cotton fields in Xinjiang, China. Ind. Crop Prod. 2023, 205, 117553. [Google Scholar] [CrossRef]
- Li, X.; Li, B.; Chen, L.; Liang, J.; Huang, R.; Tang, X.; Zhang, X.; Wang, C. Partial substitution of chemical fertilizer with organic fertilizer over seven years increases yields and restores soil bacterial community diversity in wheat–rice rotation. Eur. J. Agron. 2022, 133, 126445. [Google Scholar] [CrossRef]
- Agegnehu, G.; Nelson, P.N.; Bird, M.I. The effects of biochar, compost and their mixture and nitrogen fertilizer on yield and nitrogen use efficiency of barley grown on a Nitisol in the highlands of Ethiopia. Sci. Total Environ. 2016, 569, 869–879. [Google Scholar] [CrossRef]
- Qiao, J.; Yang, L.; Yan, T.; Xue, F.; Zhao, D. Nitrogen fertilizer reduction in rice production for two consecutive years in the Taihu Lake area. Agric. Ecosyst. Environ. 2012, 146, 103–112. [Google Scholar] [CrossRef]
- Agegnehu, G.; Nelson, P.N.; Bird, M.I. Crop yield, plant nutrient uptake and soil physicochemical properties under organic soil amendments and nitrogen fertilization on Nitisols. Soil Tillage Res. 2016, 160, 1–13. [Google Scholar] [CrossRef]
- Pabuayon, I.L.B.; Lewis, K.L.; Ritchie, G.L. Dry matter and nutrient partitioning changes for the past 30 years of cotton production. Agron. J. 2020, 112, 4373–4385. [Google Scholar] [CrossRef]
- Pabuayon, I.L.B.; Mitchell-McCallister, D.; Lewis, K.L.; Ritchie, G.L. Yield and Economic Response of Modern Cotton Cultivars to Nitrogen Fertilizer. Agronomy 2021, 11, 2149. [Google Scholar] [CrossRef]
- Snider, J.; Harris, G.; Roberts, P.; Meeks, C.; Chastain, D.; Bange, M.; Virk, G. Cotton physiological and agronomic response to nitrogen application rate. Field Crop Res. 2021, 270, 108194. [Google Scholar] [CrossRef]









| Year | Ammonium Nitrogen (mg·kg−1) | Nitrate Nitrogen (mg·kg−1) | Organic Carbon (g·kg−1) | pH | Conductivity (μs·cm−1) |
|---|---|---|---|---|---|
| 2021 | 13.09 | 40.04 | 11.20 | 7.78 | 248.42 |
| 2022 | 14.32 | 43.30 | 12.87 | 7.75 | 282.50 |
| Treatment | N Amount (kg·hm−2) | P2O5 Rate (kg·hm−2) | K2O Rate (kg·hm−2) | ||
|---|---|---|---|---|---|
| Fertiliser N Rate | Organic Fertiliser N Rate | Overall Rate | |||
| CK | 0 | 0 | 0 | 0 | 0 |
| T0 | 360 | 0 | 360 | 144 | 144 |
| T1 | 331.2 | 0 | 331.2 | ||
| T2 | 302.4 | 0 | 302.4 | ||
| T3 | 273.6 | 0 | 273.6 | ||
| T4 | 331.2 | 28.8 | 360 | ||
| T5 | 302.4 | 57.6 | 360 | ||
| T6 | 273.6 | 86.4 | 360 | ||
| Treatment | Yield Composition and Yield | ||||||
|---|---|---|---|---|---|---|---|
| Number of Bolls per Plant/Bolls | Single-Boll Weight/g | Cotton Yield/(kg·hm−2) | |||||
| 2021 | 2022 | 2021 | 2022 | 2021 | 2022 | ||
| CK | 6.00 ± 0.82 c | 6.00 ± 0.82 c | 5.06 ± 0.05 d | 4.73 ± 0.09 d | 5886.00 ± 99.84 f | 5319.33 ± 88.64 e | |
| T0 | 8.00 ± 0.82 b | 7.67 ± 0.47 ab | 5.25 ± 0.04 c | 5.14 ± 0.04 c | 7311.67 ± 89.58 e | 7011.67 ± 33.04 d | |
| T1 | 8.33 ± 0.47 ab | 7.67 ± 0.47 ab | 5.27 ± 0.06 bc | 5.10 ± 0.02 c | 7482.00 ± 59.40 e | 7048.67 ± 70.83 d | |
| T2 | 8.67 ± 0.47 ab | 8.00 ± 0.82 ab | 5.35 ± 0.05 bc | 5.20 ± 0.04 c | 7766.33 ± 49.94 d | 7499.67 ± 120.67 c | |
| T3 | 8.00 ± 0.82 b | 7.00 ± 0.00 bc | 5.27 ± 0.02 bc | 5.10 ± 0.18 c | 7336.33 ± 47.37 e | 6936.33 ± 115.66 d | |
| T4 | 9.33 ± 0.47 ab | 7.67 ± 0.47 ab | 5.38 ± 0.07 b | 5.22 ± 0.02 bc | 8024.67 ± 97.76 c | 7858.00 ± 100.00 b | |
| T5 | 9.67 ± 0.47 a | 8.67 ± 0.47 a | 5.52 ± 0.07 a | 5.40 ± 0.06 a | 8624.67 ± 77.86 a | 8158.00 ± 92.60 a | |
| T6 | 9.33 ± 0.47 ab | 8.00 ± 0.00 ab | 5.51 ± 0.02 a | 5.37 ± 0.01 ab | 8426.00 ± 76.11 b | 7826.00 ± 91.97 b | |
| Analysis of variance | |||||||
| N | NF | ** | ** | ** | |||
| OF | ** | ** | ** | ||||
| Y | * | ** | ns | ||||
| N × Y | ns | ns | * | ||||
| Year | Treatment | Average Yield (kg·ha−1) | Total Income (CNY·ha−1) | Total Cost (CNY·ha−1) | Net Benefit (CNY·ha−1) | Change in Net Benefit (CNY·ha−1) |
|---|---|---|---|---|---|---|
| 2021 | CK | 5886.00 | 50,619.60 | 27,000.00 | 23,619.60 | -- |
| T0 | 7311.67 | 62,880.36 | 29,191.30 | 33,689.06 | -- | |
| T1 | 7482.00 | 64,345.20 | 29,016.00 | 35,329.20 | 1640.14 | |
| T2 | 7766.33 | 66,790.44 | 28,840.70 | 37,949.74 | 4260.68 | |
| T3 | 7336.33 | 63,092.44 | 28,665.39 | 34,427.05 | 737.99 | |
| T4 | 8024.67 | 69,012.16 | 29,592.00 | 39,420.16 | 5731.10 | |
| T5 | 8624.67 | 74,172.16 | 29,992.70 | 44,179.46 | 10,490.40 | |
| T6 | 8426.00 | 72,463.60 | 30,393.39 | 42,070.21 | 8381.15 | |
| 2022 | CK | 5319.33 | 38,831.11 | 27,000.00 | 11,831.11 | -- |
| T0 | 7011.67 | 51,185.19 | 29,191.30 | 21,993.89 | -- | |
| T1 | 7048.67 | 51,455.29 | 29,016.00 | 22,439.29 | 445.40 | |
| T2 | 7499.67 | 54,747.59 | 28,840.70 | 25,906.89 | 3913.00 | |
| T3 | 6936.33 | 50,635.21 | 28,665.39 | 21,969.82 | −24.07 | |
| T4 | 7858.00 | 57,363.40 | 29,592.00 | 27,771.40 | 5777.51 | |
| T5 | 8158.00 | 59,553.40 | 29,992.70 | 29,560.70 | 7566.81 | |
| T6 | 7826.00 | 57,129.80 | 30,393.39 | 26,736.41 | 4742.52 |
Disclaimer/Publisher’s Note: The statements, opinions and data contained in all publications are solely those of the individual author(s) and contributor(s) and not of MDPI and/or the editor(s). MDPI and/or the editor(s) disclaim responsibility for any injury to people or property resulting from any ideas, methods, instructions or products referred to in the content. |
© 2024 by the authors. Licensee MDPI, Basel, Switzerland. This article is an open access article distributed under the terms and conditions of the Creative Commons Attribution (CC BY) license (https://creativecommons.org/licenses/by/4.0/).
Share and Cite
He, H.; Lou, X.; Liu, J. Nitrogen Reduction and Organic Fertiliser Application Benefits Growth, Yield, and Economic Return of Cotton. Agriculture 2024, 14, 1073. https://doi.org/10.3390/agriculture14071073
He H, Lou X, Liu J. Nitrogen Reduction and Organic Fertiliser Application Benefits Growth, Yield, and Economic Return of Cotton. Agriculture. 2024; 14(7):1073. https://doi.org/10.3390/agriculture14071073
Chicago/Turabian StyleHe, Huangcheng, Xuemei Lou, and Jianguo Liu. 2024. "Nitrogen Reduction and Organic Fertiliser Application Benefits Growth, Yield, and Economic Return of Cotton" Agriculture 14, no. 7: 1073. https://doi.org/10.3390/agriculture14071073
APA StyleHe, H., Lou, X., & Liu, J. (2024). Nitrogen Reduction and Organic Fertiliser Application Benefits Growth, Yield, and Economic Return of Cotton. Agriculture, 14(7), 1073. https://doi.org/10.3390/agriculture14071073

