Effect of Buried Straw Bioreactor Technology on CO2 Efflux and Indian Cowpea Yields
Abstract
1. Introduction
2. Materials and Methods
2.1. Study Site
2.2. Experiment Design
2.3. Soil CO2 Efflux Measurement
2.4. Soil Temperature
2.5. Soil Sampling and Soil Properties Analysis
2.6. Data Analysis
3. Results
3.1. Biomass of Indian Cowpea
3.2. Soil Temperature
3.3. Soil Physicochemical Properties
3.4. Soil CO2 Fluxes and Seasonal Variation
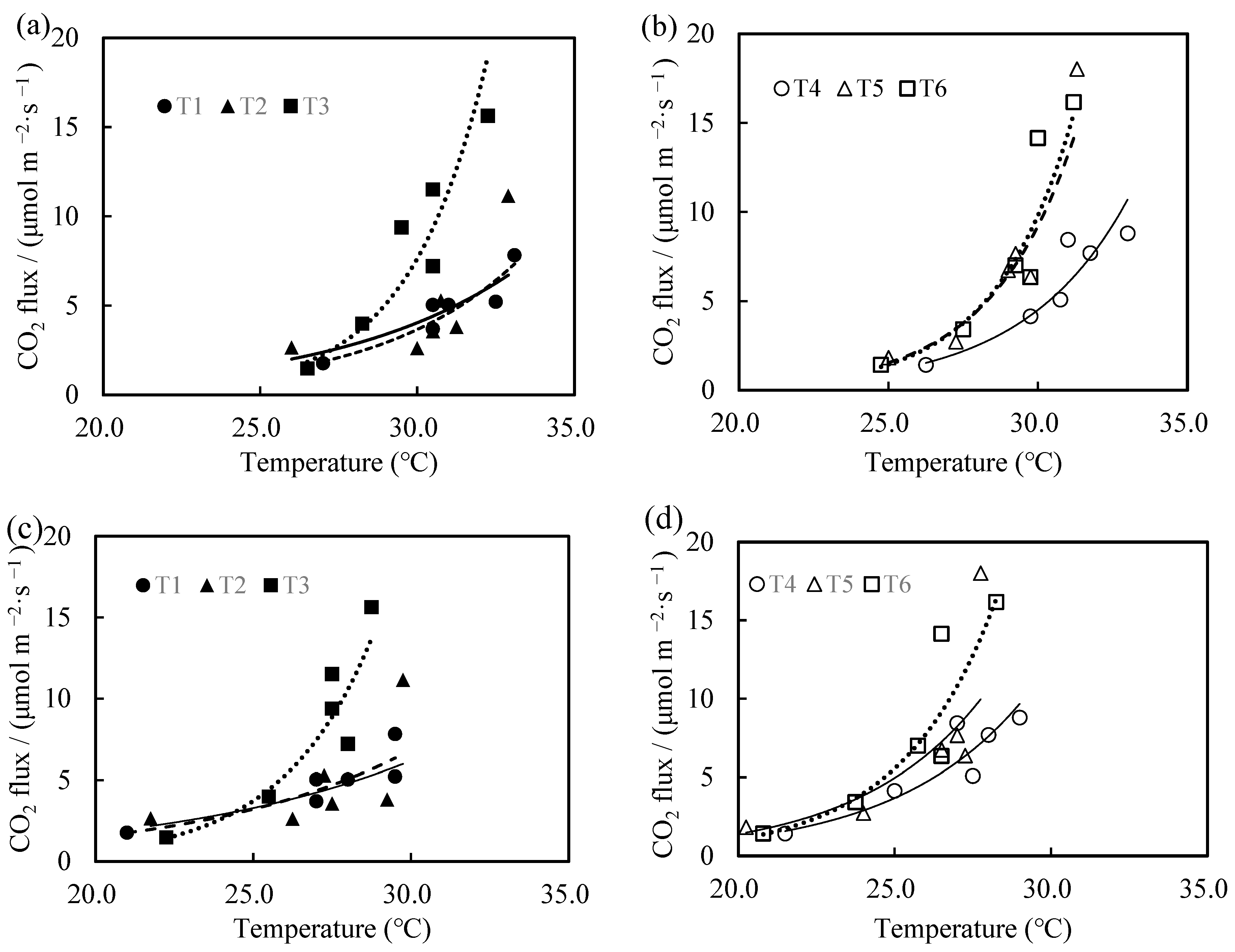
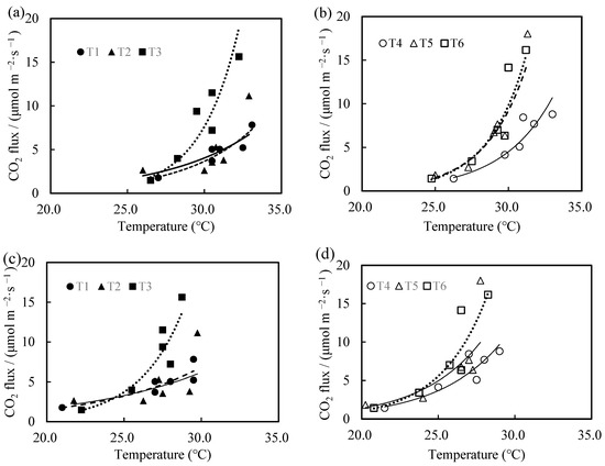
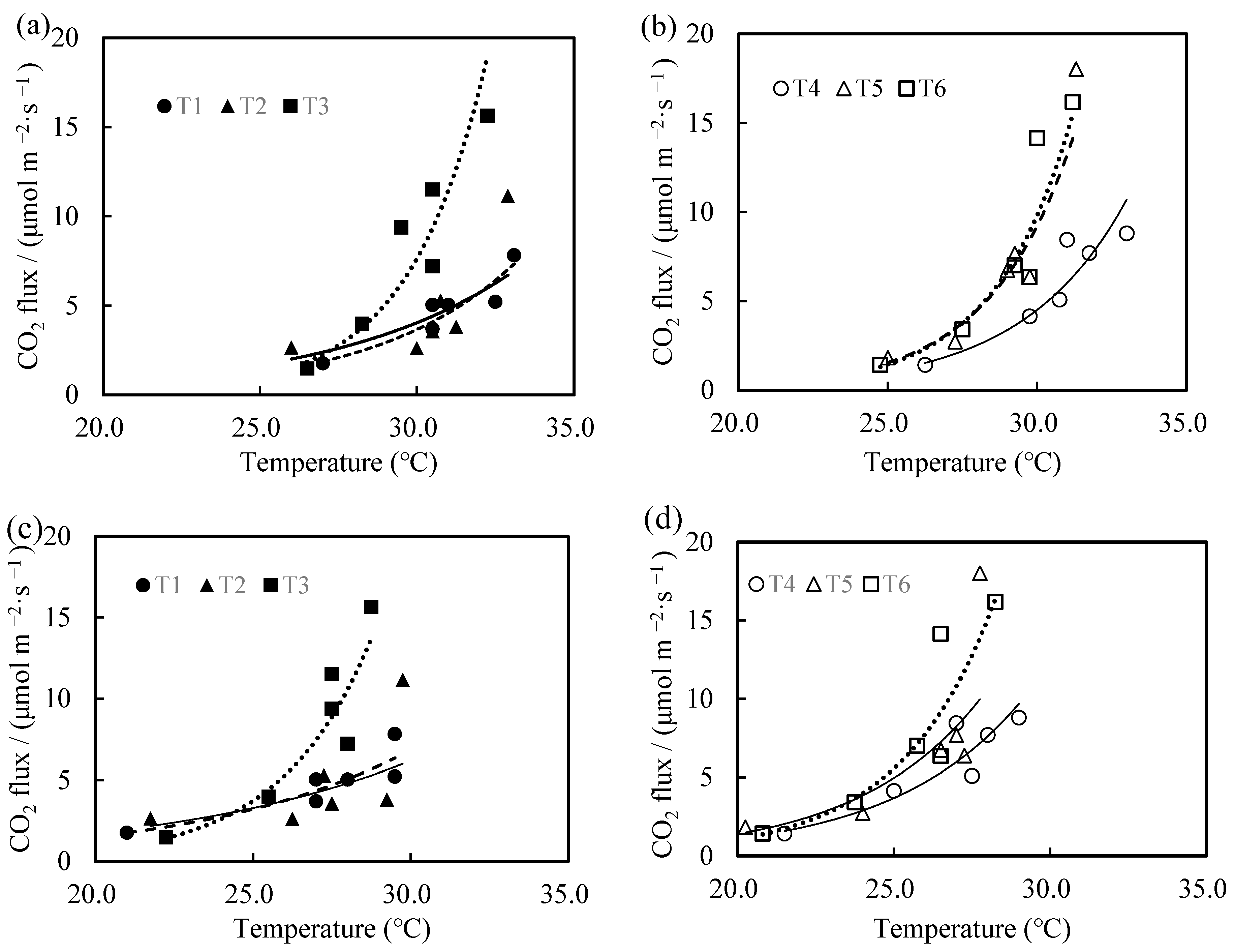
3.5. Effect of Soil Temperature on Soil CO2 Fluxes
3.6. Soil Total Organic Carbon (TOC)
4. Discussion
5. Conclusions
Author Contributions
Funding
Institutional Review Board Statement
Data Availability Statement
Conflicts of Interest
References
- Li, N.; Wen, S.; Wei, S.; Li, H.; Feng, Y.; Ren, G.; Yang, G.; Han, X.; Wang, X.; Ren, C. Straw incorporation plus biochar addition improved the soil quality index focused on enhancing crop yield and alleviating global warming potential. Environ. Technol. Innov. 2021, 21, 101316. [Google Scholar] [CrossRef]
- Fischer, R.; Connor, D. Issues for cropping and agricultural science in the next 20 years. Field Crop. Res. 2018, 222, 121–142. [Google Scholar] [CrossRef]
- Liu, P.; He, J.; Li, H.; Wang, Q.; Lu, C.; Zheng, K.; Liu, W.; Zhao, H.; Lou, S. Effect of straw retention on crop yield, soil properties, water use efficiency and greenhouse gas emission in China: A meta-analysis. Int. J. Plant Prod. 2019, 13, 347–367. [Google Scholar] [CrossRef]
- Cui, Z.; Dou, Z.; Chen, X.; Ju, X.; Zhang, F. Managing agricultural nutrients for food security in China: Past, present, and future. Agron. J. 2014, 106, 191–198. [Google Scholar] [CrossRef]
- He, K.; Zhang, J.; Zeng, Y. Rural households’ willingness to accept compensation for energy utilization of crop straw in China. Energy 2018, 165, 562–571. [Google Scholar] [CrossRef]
- Zhao, X.; Liu, B.Y.; Liu, S.L.; Qi, J.; Wang, X.; Pu, C.; Li, S.; Zhang, X.; Yang, X.; Lal, R.; et al. Sustaining crop production in China’s cropland by crop residue retention: A meta-analysis. Land Degrad. Dev. 2020, 31, 694–709. [Google Scholar] [CrossRef]
- Zhu, L.; Hu, N.; Zhang, Z.; Xu, J.; Tao, B.; Meng, Y. Short-term responses of soil organic carbon and carbon pool management index to different annual straw return rates in a rice-heat cropping system. Catena 2015, 135, 283–289. [Google Scholar] [CrossRef]
- Tian, F.; Xia, K.; Wang, J.; Song, Z.; Yan, Y.; Li, F.; Wang, F. Design and experiment of self-propelled straw forage crop harvester. Adv. Mech. Eng. 2021, 13, 16878140211024455. [Google Scholar] [CrossRef]
- Zhang, S.; Li, M.; Cui, X.; Pan, Y. Effect of different straw retention techniques on soil microbial community structure in wheat-maize rotation system. Front. Microbiol. 2023, 13, 1069458. [Google Scholar] [CrossRef] [PubMed]
- Meng, X.; Guo, Z.; Yang, X.; Su, W.; Li, Z.; Wu, X.; Pu, C.; Li, S.; Zhang, X.; Yang, X.; et al. Straw incorporation helps inhibit nitrogen leaching in maize season to increase yield and efficiency in the Loess Plateau of China. Soil Tillage Res. 2021, 211, 105006. [Google Scholar] [CrossRef]
- Liang, X.; Lin, L.; Ye, Y.; Gu, J.; Wang, Z.; Xu, L.; Jin, Y.; Ru, Q.; Tian, G. Nutrient removal efficiency in a rice-straw denitrifying bioreactor. Bioresour. Technol. 2015, 198, 746–754. [Google Scholar] [CrossRef] [PubMed]
- Sun, J.; Tian, Y.; Gao, L.; Peng, X.; Tong, E. Effects of straw biological reactor and microbial agents on physicochemical properties and microbial diversity of tomato soil in solar greenhouse. Trans. Chin. Soc. Agric. Eng. 2014, 6, 153–164, (In Chinese with English Abstract). [Google Scholar]
- Cao, Y.; Tian, Y.; Gao, L.; Chen, Q. Attenuating the negative effects of irrigation with saline water on cucumber (Cucumis sativus L.) by application of straw biological-reactor. Agric. Water Manag. 2016, 163, 169–179. [Google Scholar]
- Ji, M.; Xu, J.; Zhan, G.; Yang, F.; Liu, J. Effects of built-in biological reactor with different crop straws on sugar content and yield of watermelon. Mater. Res. Innov. 2015, 19, S8-470–S8-473. [Google Scholar] [CrossRef]
- Zhu, K.; Tan, X.; Gu, B.; Lin, J. Evaluation of Potential Amounts of Crop Straw Available for Bioenergy Production and Bio-Technology Spatial Distribution in China Under Ecological and Cost Constraints. J. Clean. Prod. 2021, 292, 125958. [Google Scholar] [CrossRef]
- Singh, R.J.; Deshwal, J.; Sharma, N.; Ghosh, B.; Bhattacharyya, R. Effects of conservation tillage based agro-geo-textiles on resource conservation in sloping croplands of Indian Himalayan Region. Soil Tillage Res. 2019, 191, 37–47. [Google Scholar] [CrossRef]
- Zuo, Q.; Kuai, J.; Zhao, L.; Hu, Z.; Wu, J.; Zhou, G. The effect of sowing depth and soil compaction on the growth and yield of rapeseed in rice straw returning field. Field Crop. Res. 2017, 203, 47–54. [Google Scholar] [CrossRef]
- Zhang, G.; Liu, F.; Gu, J.; Song, Y.; Mou, J. Effects of biological reactor technology on yield and quality of tomato. Jiangsu Agric. Sci. 2013, 41, 116–117, (In Chinese with English Abstract). [Google Scholar]
- Goyal, K.; Singh, N.; Jindal, S.; Kaur, R.; Goya, A.; Awasthi, R. Kjeldahl method. Adv. Tech. Anal. Chem. 2022, 1, 105–112. [Google Scholar]
- Saudner, D.H. Determination of available phosphorus in tropical soils by extraction with sodium hydroxide. Soil Sci. 1956, 82, 457–464. [Google Scholar] [CrossRef]
- Yang, H.; Zhai, S.; Li, Y.; Zhou, J.; He, R.; Liu, J.; Xue, Y.; Meng, Y. Waterlogging Reduction and Wheat Yield Increase through Long-Term Ditch-Buried Straw Return in a Rice-wheat Rotation System. Field Crop. Res. 2017, 209, 189–197. [Google Scholar] [CrossRef]
- Zhang, M.; Han, X.; Dang, P.; Wang, H.; Chen, Y.; Qin, X.; Siddique, K.H.M. Decreased Carbon Footprint and In-creased Grain Yield Under Ridge–furrow Plastic Film Mulch with Ditch-Buried Straw Returning: A Sustainable Option for Spring Maize Production in China. Sci. Total Environ. 2022, 838, 156412. [Google Scholar] [CrossRef] [PubMed]
- Qin, X.; Li, Y.; Han, Y.; Hu, Y.; Li, Y.; Wen, X.; Liao, Y.; Siddique, K.H. Ridge-furrow mulching with black plastic film improves maize yield more than white plastic film in dry areas with adequate accumulated temperature. Agric. For. Meteorol. 2018, 262, 206–214. [Google Scholar] [CrossRef]
- Xiong, L.; Liang, C.; Ma, B.; Shah, F.; Wu, W. Carbon footprint and yield performance assessment under plastic film mulching for winter wheat production. J. Clean. Prod. 2020, 270, 122468. [Google Scholar] [CrossRef]
- Chen, P.-Z.; Cui, J.-Y.; Hu, L.; Zheng, M.-Z.; Cheng, S.-P.; Huang, J.-W.; Mu, K.-G. Nitrogen Removal Improvement by Adding Peat in Deep Soil of Subsurface Wastewater Infiltration System. J. Integr. Agric. 2014, 13, 1113–1120. [Google Scholar] [CrossRef]
- Li, Y.; Hu, Y.; Song, D.; Liang, S.; Qin, X.; Siddique, K.H.M. The Effects of Straw Incorporation with Plastic Film Mulch on Soil Properties and Bacterial Community Structure on the Loess Plateau. Eur. J. Soil Sci. 2021, 72, 979–994. [Google Scholar] [CrossRef]
- Stagnari, F.; Galieni, A.; Speca, S.; Cafiero, G.; Pisante, M. Effects of straw mulch on growth and yield of durum wheat during transition to conservation agriculture in Mediterranean environment. Field Crop. Res. 2014, 167, 51–63. [Google Scholar] [CrossRef]
- Latifmanesh, H.; Deng, A.; Li, L.; Chen, Z.; Zheng, Y.; Bao, X.; Zheng, C.; Zhang, W. How incorporation depth of corn straw affects straw decomposition rate and C&N release in the wheat-corn cropping system. Agric. Ecosyst. Environ. 2020, 300, 107000. [Google Scholar] [CrossRef]
- Gao, X.; Liu, W.; Li, X.; Zhang, W.; Bu, S.; Wang, A. A Novel Fungal Agent for Straw Returning to Enhance Straw Decomposition and Nutrients Release. Environ. Technol. Innov. 2023, 30, 103064. [Google Scholar] [CrossRef]
- Li, Y.; Song, D.; Dang, P.; Wei, L.; Qin, X.; Siddique, K.H. Combined ditch buried straw return technology in a ridge–furrow plastic film mulch system: Implications for crop yield and soil organic matter dynamics. Soil Tillage Res. 2020, 199, 104596. [Google Scholar] [CrossRef]
- West, T.O.; Marland, G. A synthesis of carbon sequestration, carbon emissions, and net carbon flux in agriculture: Comparing tillage practices in the United States. Agric. Ecosyst. Environ. 2002, 91, 217–232. [Google Scholar] [CrossRef]
- Lal, R. Soil carbon sequestration impacts on global climate change and food security. Science 2004, 304, 1623–1627. [Google Scholar] [CrossRef] [PubMed]
- Zhang, P.; Chen, X.; Wei, T.; Yang, Z.; Jia, Z.; Yang, B.; Han, Q.; Ren, X. Effects of straw incorporation on the soil nutrient contents, enzyme activities, and crop yield in a semiarid region of China. Soil Tillage Res. 2016, 160, 65–72. [Google Scholar] [CrossRef]
- Song, W.; Tong, X.; Zhang, J.; Meng, P.; Li, J. Autotrophic and heterotrophic components of soil respiration caused by rhizosphere priming effects in a plantation. Plant Soil Environ. 2017, 63, 295–299. [Google Scholar] [CrossRef]
- Badia, D.; Marti, M.C.; Aguirre, A.J. Straw management effects on CO2 efflux and C storage in different Mediterranean agricultural soils. Sci. Total Environ. 2013, 465, 233–239. [Google Scholar] [CrossRef] [PubMed]
- Zavalloni, C.; Vicca, S.; Büscher, M.; de la Providencia, I.E.; de Boulois, H.D.; Declerck, S.; Nijs, I.; Ceulemans, R. Exposure to Warming and CO2 Enrichment Promotes Greater Above-Ground Biomass, Nitrogen, Phosphorus and Arbuscular Mycorrhizal Colonization in Newly Established Grasslands. Plant Soil 2012, 359, 121–136. [Google Scholar] [CrossRef]
- Casals, P.; Lopez-Sangil, L.; Carrara, A.; Gimeno, C.; Nogués, S. Autotrophic and heterotrophic contributions to short-term soil CO2 efflux following simulated summer precipitation pulses in a Mediterranean dehesa. Glob. Biogeochem. Cycles 2011, 25, 3012. [Google Scholar] [CrossRef]
- Wang, X.; Wang, J.; Wang, J. Seasonality of Soil Respiration Under Gypsum and Straw Amendments in an Arid Saline-Alkali Soil. J. Environ. Manag. 2021, 277, 111494. [Google Scholar] [CrossRef] [PubMed]
- Yu, Y.; Zhao, C.; Jia, H.; Niu, B.; Sheng, Y.; Shi, F. Effects of nitrogen fertilizer, soil temperature and moisture on the soil-surface CO2 efflux and production in an oasis cotton field in arid northwestern China. Geoderma 2017, 308, 93–103. [Google Scholar] [CrossRef]
- Casals, P.; Romanyà, J.; Cortina, J.; Bottner, P.; Coûteaux, M.-M.; Vallejo, V.R. CO2 efflux from a Mediterranean semi-arid forest soil. I. Seasonality and effects of stoniness. Biogeochemistry 2000, 48, 261–281. [Google Scholar] [CrossRef]




| Treatment | Burial Depth (cm) | Amount of Straw (kg m−2) |
|---|---|---|
| CK | 0 | 0 |
| T1 | 20 | 4.5 |
| T2 | 6 | |
| T3 | 7.5 | |
| T4 | 30 | 4.5 |
| T5 | 6 | |
| T6 | 7.5 |
| Treatment | Total Number of Beans | Fresh Weight of Root (g per Plant) | Fresh Weight of Stem Leaf (kg per Plant) | Dry Weight of Root (g per Plant) | Dry Weight of Stem Leaf (kg per Plant) |
|---|---|---|---|---|---|
| CK | 39 ± 3 b | 76.7 ± 9.1 e | 0.74 ± 0.07 e | 61.4 ± 7.3 e | 0.6 ± 0.02 e |
| T1 | 27 ± 3 d | 140.5 ± 11.5 d | 2.3 ± 0.05 a | 118.0 ± 9.2 d | 1.9 ± 0.04 a |
| T2 | 33 ± 0 c | 484.0 ± 10.5 c | 5.3 ± 0.1 c | 411.4 ± 8.7 c | 4.2 ± 0.12 c |
| T3 | 43 ± 1 b | 613.0 ± 8.0 a | 5.5 ± 0.1 c | 508.8 ± 6.2 a | 4.5 ± 0.09 c |
| T4 | 34 ± 2 b | 491.0 ± 31.0 c | 6.0 ± 0.2 b | 427.2 ± 25.4 c | 4.8 ± 0.17 b |
| T5 | 39 ± 2 b | 593.5 ± 20.5 b | 6.5 ± 0.4 a | 522.3 ± 17.2 b | 4.6 ± 0.34 a |
| T6 | 47 ± 2 a | 516.0 ± 47.0 b | 5.0 ± 0.08 d | 438.6 ± 37.1 b | 2.6 ± 0.06 d |
| Treatments | EC (μs cm−1) | pH | Water Content (%) | NH4+-N (mg kg−1) | NO3−-N (mg kg−1) | Total Nitrogen (g kg−1) | Available Phosphorus (mg kg−1) |
|---|---|---|---|---|---|---|---|
| CK | 42.0 ± 4.8 a | 6.2 ± 0.2 d | 18.7 ± 0.3 d | 2.3 ± 0.8 c | 5.9 ± 0.4 d | 0.17 ± 0.004 a | 72.3 ± 4.7 b |
| T1 | 35.7 ± 1.5 b | 7.0 ± 0.05 a | 25.5 ± 0.3 b | 4.3 ± 0.4 ab | 10.1 ± 2.1 ab | 0.18 ± 0.006 a | 79.9 ± 5.2 a |
| T2 | 32.0 ± 1.4 b | 7.1 ± 0.04 a | 26.6 ± 0.27 b | 3.8 ± 2.1 b | 9.4 ± 1.8 b | 0.17 ± 0.001 a | 78.3 ± 7.0 a |
| T3 | 32.0 ± 1.8 b | 7.0 ± 0.03 a | 24.8 ± 0.8 bc | 3.8 ± 1.8 b | 8.2 ± 0.3 c | 0.17 ± 0.005 a | 76.9 ± 2.8 a |
| T4 | 31.0 ± 0 b | 6.6 ± 0.07 c | 32.5 ± 1.0 a | 5.3 ± 0.9 a | 10.8 ± 2.4 a | 0.18 ± 0.005 a | 79.2 ± 6.6 a |
| T5 | 31.7 ± 0.5 b | 6.8 ± 0.06 b | 27.9 ± 0.2 b | 4.9 ± 0.7 a | 9.1 ± 1.7 b | 0.18 ± 0.006 a | 78.7 ± 8.8 a |
| T6 | 34.2 ± 2.2 b | 6.9 ± 0.04 ab | 23.6 ± 1.0 c | 4.9 ± 1.8 a | 11.3 ± 1.7 a | 0.17 ± 0.008 a | 78.2 ± 9.1 a |
| Temperature | TOC | NO3−-N | NH4+-N | AP | TN | Yield | Water Content | |
|---|---|---|---|---|---|---|---|---|
| Temperature | ||||||||
| TOC | 0.95 ** | |||||||
| NO3−-N | 0.86 ** | 0.19 | ||||||
| NH4+-N | 0.39 | 0.49 | 0.019 | |||||
| AP | 0.37 | 0.86 ** | 0.12 | 0.51 | ||||
| TN | 0.18 | 0.71 ** | 0.55 | 0.75 * | 0.002 | |||
| Yield | 0.002 | 0.61 | 0.47 | 0.7 * | 0.53 | 0.02 | ||
| Water content | 0.014 | 0.89 ** | 0.1 | 0.29 | 0.02 | 0.009 | 0.02 | |
| pH | 0.001 | 0.67 | 0.71 | 0.69 | 0.21 | 0.037 | 0.001 | 0.004 |
Disclaimer/Publisher’s Note: The statements, opinions and data contained in all publications are solely those of the individual author(s) and contributor(s) and not of MDPI and/or the editor(s). MDPI and/or the editor(s) disclaim responsibility for any injury to people or property resulting from any ideas, methods, instructions or products referred to in the content. |
© 2024 by the authors. Licensee MDPI, Basel, Switzerland. This article is an open access article distributed under the terms and conditions of the Creative Commons Attribution (CC BY) license (https://creativecommons.org/licenses/by/4.0/).
Share and Cite
Liu, C.; Ye, J.; Zhang, B.; Lin, Y.; Wang, Y. Effect of Buried Straw Bioreactor Technology on CO2 Efflux and Indian Cowpea Yields. Agriculture 2024, 14, 1072. https://doi.org/10.3390/agriculture14071072
Liu C, Ye J, Zhang B, Lin Y, Wang Y. Effect of Buried Straw Bioreactor Technology on CO2 Efflux and Indian Cowpea Yields. Agriculture. 2024; 14(7):1072. https://doi.org/10.3390/agriculture14071072
Chicago/Turabian StyleLiu, Cenwei, Jing Ye, Bangwei Zhang, Yi Lin, and Yixiang Wang. 2024. "Effect of Buried Straw Bioreactor Technology on CO2 Efflux and Indian Cowpea Yields" Agriculture 14, no. 7: 1072. https://doi.org/10.3390/agriculture14071072
APA StyleLiu, C., Ye, J., Zhang, B., Lin, Y., & Wang, Y. (2024). Effect of Buried Straw Bioreactor Technology on CO2 Efflux and Indian Cowpea Yields. Agriculture, 14(7), 1072. https://doi.org/10.3390/agriculture14071072

