Effect of Near-Freezing Temperature Storage on the Quality and Organic Acid Metabolism of Apple Fruit
Abstract
1. Introduction
2. Materials and Methods
2.1. Plant Materials and Experiment Design
2.2. Measurement of Fruit Quality Parameters
2.3. Respiratory Rate and Ethylene Production Determination
2.4. Consumer Tests
2.5. Assayment of Organic Acid Content
2.6. Malate Metabolism-Related Enzyme Activity Determination
2.7. Real-Time Quantitative PCR
2.8. Data Analysis
3. Result and Discussion
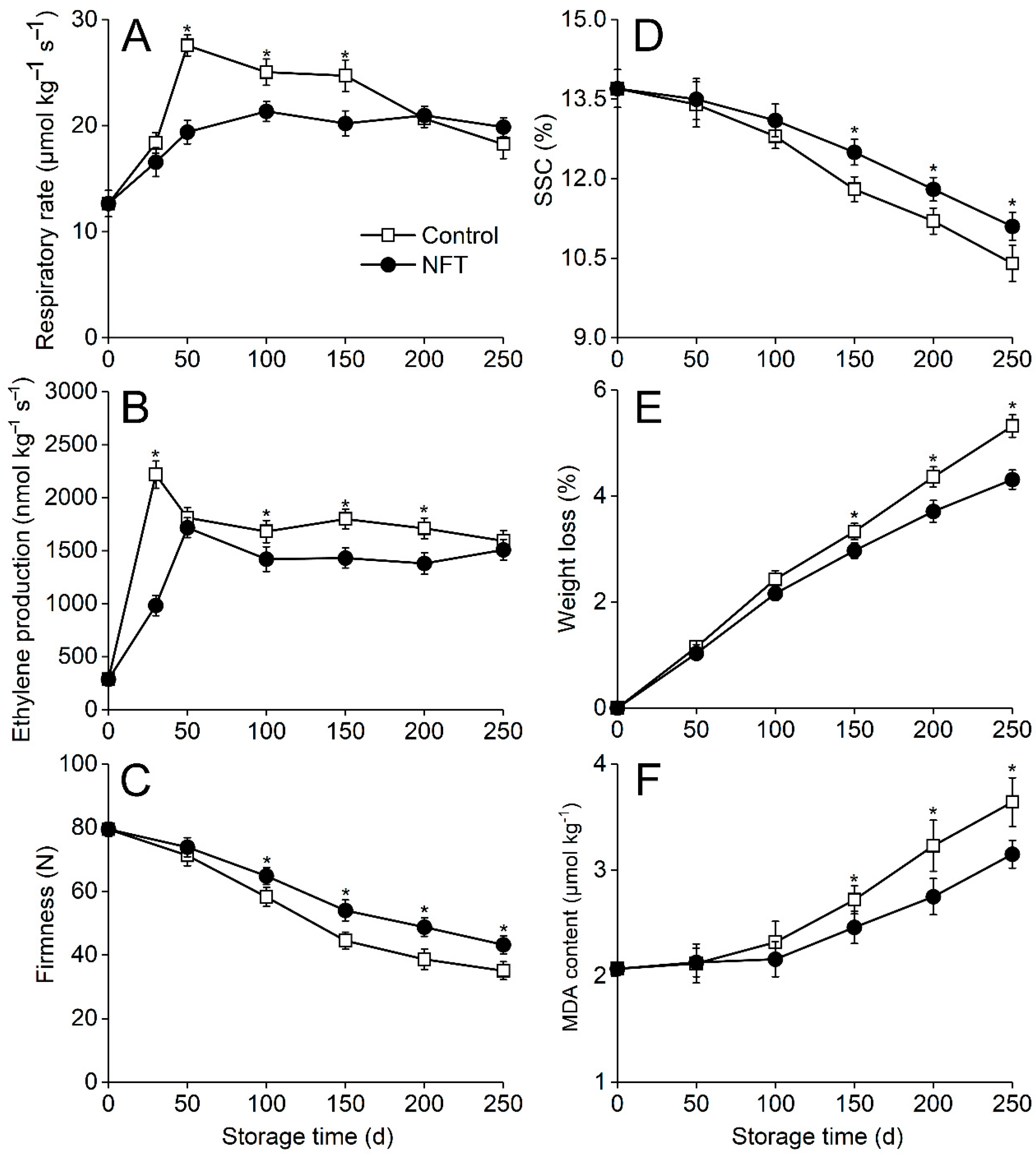
3.1. Effects of NFT Storage on Fruit Quality
3.2. Effects of NFT Storage on Fruit Organic Acid Content
3.3. Effects of NFT Storage on the Activities of Enzymes Involved in Malate Metabolism
3.4. Gene Expression Involved in Malate Metabolism
3.5. Clustering and Correlation Analysis
4. Conclusions
Supplementary Materials
Author Contributions
Funding
Data Availability Statement
Conflicts of Interest
References
- Bondonno, N.P.; Bondonno, C.P.; Ward, N.C.; Hodgson, J.M.; Croft, K.D. The Cardiovascular Health Benefits of Apples: Whole Fruit vs. Isolated Compounds. Trends Food Sci. Technol. 2017, 69, 243–256. [Google Scholar] [CrossRef]
- da Rocha Neto, A.C.; Beaudry, R.; Maraschin, M.; Di Piero, R.M.; Almenar, E. Double-Bottom Antimicrobial Packaging for Apple Shelf-Life Extension. Food Chem. 2019, 279, 379–388. [Google Scholar] [CrossRef] [PubMed]
- Paul, V.; Pandey, R. Delaying Tomato Fruit Ripening by Using 1-Methylcyclopropene (1-MCP) for Better Postharvest Management: Current Status and Prospects in India. Indian J. Plant Physiol. 2013, 18, 195–207. [Google Scholar] [CrossRef]
- Ma, Y.; Zhang, C.; Chen, G.; Jiang, W.; Cao, J. Controlled Freezing Storge (CFS) Maintains Quality of Fresh Edible Buds of Daylily (Hemerocallis citrina) by Enhancing Antioxidant Capacity, Energy Charge and Unsaturation of Fatty Acids. Postharvest Biol. Technol. 2024, 213, 112932. [Google Scholar] [CrossRef]
- Jiang, H.; Hong, W.; Zhang, Y.; Liu, S.; Jiang, H.; Xia, S.; Si, X.; Li, B. Effects of Static Magnetic Field-Prolonged Supercooling Preservation on Blueberry Quality. Food Biosci. 2024, 59, 103771. [Google Scholar] [CrossRef]
- Fan, X.; Xi, Y.; Zhao, H.; Liu, B.; Cao, J.; Jiang, W. Improving Fresh Apricot (Prunus armeniaca L.) Quality and Antioxidant Capacity by Storage at near Freezing Temperature. Sci. Hortic. 2018, 231, 1–10. [Google Scholar] [CrossRef]
- Qin, J.; Chen, X.; Tang, X.; Shao, X.; Lai, D.; Xiao, W.; Zhuang, Q.; Wang, W.; Dong, T. Near-Freezing Temperature Suppresses Avocado (Persea americana Mill.) Fruit Softening and Chilling Injury by Maintaining Cell Wall and Reactive Oxygen Species Metabolism during Storage. Plant Physiol. Biochem. 2024, 210, 108621. [Google Scholar] [CrossRef]
- Xiao, J.; Gu, C.; Zhu, D.; Chao, H.; Liang, Y.; Quan, S. Near-Freezing Temperature (NFT) Storage Alleviates Chilling Injury by Enhancing Antioxidant Metabolism of Postharvest Guava (Psidium guajava L.). Sci. Hortic. 2022, 305, 111395. [Google Scholar] [CrossRef]
- Zhao, H.; Jiao, W.; Cui, K.; Fan, X.; Shu, C.; Zhang, W.; Cao, J.; Jiang, W. Near-Freezing Temperature Storage Enhances Chilling Tolerance in Nectarine Fruit through Its Regulation of Soluble Sugars and Energy Metabolism. Food Chem. 2019, 289, 426–435. [Google Scholar] [CrossRef]
- Zhao, H.; Liu, B.; Zhang, W.; Cao, J.; Jiang, W. Enhancement of Quality and Antioxidant Metabolism of Sweet Cherry Fruit by Near-Freezing Temperature Storage. Postharvest Biol. Technol. 2019, 147, 113–122. [Google Scholar] [CrossRef]
- Elfalleh, W.; Guo, L.; He, S.; Wang, P.; Cui, J.; Ma, Y. Characteristics of Cell Wall Structure of Green Beans during Controlled Freezing Point Storage. Int. J. Food Prop. 2015, 18, 1756–1772. [Google Scholar] [CrossRef]
- Etienne, A.; Génard, M.; Lobit, P.; Mbeguié-A-Mbéguié, D.; Bugaud, C. What Controls Fleshy Fruit Acidity? A Review of Malate and Citrate Accumulation in Fruit Cells. J. Exp. Bot. 2013, 64, 1451–1469. [Google Scholar] [CrossRef]
- Liu, B.; Jiao, W.; Wang, B.; Shen, J.; Zhao, H.; Jiang, W. Near Freezing Point Storage Compared with Conventional Low Temperature Storage on Apricot Fruit Flavor Quality (Volatile, Sugar, Organic Acid) Promotion during Storage and Related Shelf Life. Sci. Hortic. 2019, 249, 100–109. [Google Scholar] [CrossRef]
- Kader, A.A. Flavor Quality of Fruits and Vegetables. J. Sci. Food Agric. 2008, 88, 1863–1868. [Google Scholar] [CrossRef]
- Yun, Z.; Jin, S.; Ding, Y.; Wang, Z.; Gao, H.; Pan, Z.; Xu, J.; Cheng, Y.; Deng, X. Comparative Transcriptomics and Proteomics Analysis of Citrus Fruit, to Improve Understanding of the Effect of Low Temperature on Maintaining Fruit Quality during Lengthy Post-Harvest Storage. J. Exp. Bot. 2012, 63, 2873–2893. [Google Scholar] [CrossRef] [PubMed]
- Kweon, H.J.; Kang, I.K.; Kim, M.J.; Lee, J.; Moon, Y.S.; Choi, C.; Choi, D.G.; Watkins, C.B. Fruit Maturity, Controlled Atmosphere Delays and Storage Temperature Affect Fruit Quality and Incidence of Storage Disorders of “Fuji” Apples. Sci. Hortic. 2013, 157, 60–64. [Google Scholar] [CrossRef]
- Guo, L.X.; Shi, C.Y.; Liu, X.; Ning, D.Y.; Jing, L.F.; Yang, H.; Liu, Y.Z. Citrate Accumulation-Related Gene Expression and/or Enzyme Activity Analysis Combined with Metabolomics Provide a Novel Insight for an Orange Mutant. Sci. Rep. 2016, 6, 29343. [Google Scholar] [CrossRef] [PubMed]
- Onik, J.C.; Xie, Y.; Duan, Y.; Hu, X.; Wang, Z.; Lin, Q. UV-C Treatment Promotes Quality of Early Ripening Apple Fruit by Regulating Malate Metabolizing Genes during Postharvest Storage. PLoS ONE 2019, 14, e0215472. [Google Scholar] [CrossRef]
- Zhao, J.; Quan, P.; Liu, H.; Li, L.; Qi, S.; Zhang, M.; Zhang, B.; Li, H.; Zhao, Y.; Ma, B.; et al. Transcriptomic and Metabolic Analyses Provide New Insights into the Apple Fruit Quality Decline during Long-Term Cold Storage. J. Agric. Food Chem. 2020, 68, 4699–4716. [Google Scholar] [CrossRef]
- Bai, Y.; Dougherty, L.; Cheng, L.; Xu, K. A Co-Expression Gene Network Associated with Developmental Regulation of Apple Fruit Acidity. Mol. Genet. Genom. 2015, 290, 1247–1263. [Google Scholar] [CrossRef]
- Yao, Y.-X.; Li, M.; Zhai, H.; You, C.-X.; Hao, Y.-J. Isolation and Characterization of an Apple Cytosolic Malate Dehydrogenase Gene Reveal Its Function in Malate Synthesis. J. Plant Physiol. 2011, 168, 474–480. [Google Scholar] [CrossRef] [PubMed]
- Yao, Y.-X.; Li, M.; Liu, Z.; You, C.-X.; Wang, D.-M.; Zhai, H.; Hao, Y.-J. Molecular Cloning of Three Malic Acid Related Genes MdPEPC, MdVHA-A, MdcyME and Their Expression Analysis in Apple Fruits. Sci. Hortic. 2009, 122, 404–408. [Google Scholar] [CrossRef]
- Batista-Silva, W.; Nascimento, V.L.; Medeiros, D.B.; Nunes-Nesi, A.; Ribeiro, D.M.; Zsögön, A.; Araújo, W.L. Modifications in Organic Acid Profiles During Fruit Development and Ripening: Correlation or Causation? Front. Plant Sci. 2018, 9, 1689. [Google Scholar] [CrossRef] [PubMed]
- Liu, R.; Wang, Y.; Qin, G.; Tian, S. Molecular Basis of 1-Methylcyclopropene Regulating Organic Acid Metabolism in Apple Fruit during Storage. Postharvest Biol. Technol. 2016, 117, 57–63. [Google Scholar] [CrossRef]
- Han, S.; Nan, Y.; Qu, W.; He, Y.; Ban, Q.; Lv, Y.; Rao, J. Exogenous γ-Aminobutyric Acid Treatment That Contributes to Regulation of Malate Metabolism and Ethylene Synthesis in Apple Fruit during Storage. J. Agric. Food Chem. 2018, 66, 13473–13482. [Google Scholar] [CrossRef] [PubMed]
- Fan, X.; Zhao, H.; Wang, X.; Cao, J.; Jiang, W. Sugar and Organic Acid Composition of Apricot and Their Contribution to Sensory Quality and Consumer Satisfaction. Sci. Hortic. 2017, 225, 553–560. [Google Scholar] [CrossRef]
- Mikulic-Petkovsek, M.; Ivancic, A.; Schmitzer, V.; Veberic, R.; Stampar, F. Comparison of Major Taste Compounds and Antioxidative Properties of Fruits and Flowers of Different Sambucus Species and Interspecific Hybrids. Food Chem. 2016, 200, 134–140. [Google Scholar] [CrossRef] [PubMed]
- Terrier, N.; Sauvage, F.X.; Ageorges, A.; Romieu, C. Changes in Acidity and in Proton Transport at the Tonoplast of Grape Berries during Development. Planta 2001, 213, 20–28. [Google Scholar] [CrossRef]
- Merlo, L.; Ferretti, M.; Ghisi, R.; Passera, C. Developmental Changes of Enzymes of Malate Metabolism in Relation to Respiration, Photosynthesis and Nitrate Assimilation in Peach Leaves. Physiol. Plant. 1993, 89, 71–76. [Google Scholar] [CrossRef]
- Walker, R.; Chen, Z.; Técsi, L.; Famiani, F.; Lea, P.; Leegood, R. Phosphoenolpyruvate Carboxykinase Plays a Role in Interactions of Carbon and Nitrogen Metabolism during Grape Seed Development. Planta 1999, 210, 9–18. [Google Scholar] [CrossRef]
- Liu, H.; Liu, Y.; Yu, B.; Liu, Z.; Zhang, W. Increased Polyamines Conjugated to Tonoplast Vesicles Correlate with Maintenance of the H+-ATPase and H+-PPase Activities and Enhanced Osmotic Stress Tolerance in Wheat. J. Plant Growth Regul. 2004, 23, 156–165. [Google Scholar] [CrossRef]
- Ohnishi, T.; Gall, R.S.; Mayer, M.L. An Improved Assay of Inorganic Phosphate in the Presence of Extralabile Phosphate Compounds: Application to the ATPase Assay in the Presence of Phosphocreatine. Anal. Biochem. 1975, 69, 261–267. [Google Scholar] [CrossRef] [PubMed]
- Bradford, M.M. A Rapid and Sensitive Method for the Quantitation of Microgram Quantities of Protein Utilizing the Principle of Protein-Dye Binding. Anal. Biochem. 1976, 72, 248–254. [Google Scholar] [CrossRef] [PubMed]
- Livak, K.J.; Schmittgen, T.D. Analysis of Relative Gene Expression Data Using Real-Time Quantitative PCR and the 2−ΔΔCT Method. Methods 2001, 25, 402–408. [Google Scholar] [CrossRef] [PubMed]
- Mditshwa, A.; Fawole, O.A.; Opara, U.L. Recent Developments on Dynamic Controlled Atmosphere Storage of Apples—A Review. Food Packag. Shelf Life 2018, 16, 59–68. [Google Scholar] [CrossRef]
- Gago, C.M.L.; Guerreiro, A.C.; Miguel, G.; Panagopoulos, T.; da Silva, M.M.; Antunes, M.D.C. Effect of Calcium Chloride and 1-MCP (SmartfreshTM) Postharvest Treatment on ‘Golden Delicious’ Apple Cold Storage Physiological Disorders. Sci. Hortic. 2016, 211, 440–448. [Google Scholar] [CrossRef]
- Marin, A.B.; Colonna, A.E.; Kudo, K.; Kupferman, E.M.; Mattheis, J.P. Measuring Consumer Response to ‘Gala’ Apples Treated with 1-Methylcyclopropene (1-MCP). Postharvest Biol. Technol. 2009, 51, 73–79. [Google Scholar] [CrossRef]
- Both, V.; Brackmann, A.; Thewes, F.R.; Weber, A.; Schultz, E.E.; Ludwig, V. The Influence of Temperature and 1-MCP on Quality Attributes of ‘Galaxy’ Apples Stored in Controlled Atmosphere and Dynamic Controlled Atmosphere. Food Packag. Shelf Life 2018, 16, 168–177. [Google Scholar] [CrossRef]
- Douglas Goff, H. Low-Temperature Stability and the Glassy State in Frozen Foods. Food Res. Int. 1992, 25, 317–325. [Google Scholar] [CrossRef]
- Teixeira, A.S.; Elena González-Benito, M.; Molina-García, A.D. Glassy State and Cryopreservation of Mint Shoot Tips. Biotechnol. Prog. 2013, 29, 707–717. [Google Scholar] [CrossRef]
- Cárdenas-Pérez, S.; Chanona-Pérez, J.; Méndez-Méndez, J.V.; Calderón-Domínguez, G.; López-Santiago, R.; Perea-Flores, M.J.; Arzate-Vázquez, I. Evaluation of the Ripening Stages of Apple (Golden Delicious) by Means of Computer Vision System. Biosyst. Eng. 2017, 159, 46–58. [Google Scholar] [CrossRef]
- Gwanpua, S.G.; Verlinden, B.E.; Hertog, M.L.A.T.M.; Nicolai, B.M.; Hendrickx, M.; Geeraerd, A. Slow Softening of Kanzi Apples (Malus × domestica L.) Is Associated with Preservation of Pectin Integrity in Middle Lamella. Food Chem. 2016, 211, 883–891. [Google Scholar] [CrossRef] [PubMed]
- Li, Y.; Zhao, Y.; Zhang, Z.; He, H.; Shi, L.; Zhu, X.; Cui, K. Near-Freezing Temperature Storage Improves Shelf-Life and Suppresses Chilling Injury in Postharvest Apricot Fruit (Prunus armeniaca L.) by Regulating Cell Wall Metabolism. Food Chem. 2022, 387, 132921. [Google Scholar] [CrossRef] [PubMed]
- Hoehn, E.; Gasser, F.; Guggenbühl, B.; Künsch, U. Efficacy of Instrumental Measurements for Determination of Minimum Requirements of Firmness, Soluble Solids, and Acidity of Several Apple Varieties in Comparison to Consumer Expectations. Postharvest Biol. Technol. 2003, 27, 27–37. [Google Scholar] [CrossRef]
- Cohen, S.; Itkin, M.; Yeselson, Y.; Tzuri, G.; Portnoy, V.; Harel-Baja, R.; Lev, S.; Saâ Ar, U.; Davidovitz-Rikanati, R.; Baranes, N.; et al. The PH Gene Determines Fruit Acidity and Contributes to the Evolution of Sweet Melons. Nat. Commun. 2014, 5, 4026. [Google Scholar] [CrossRef]
- Sweetman, C.; Deluc, L.G.; Cramer, G.R.; Ford, C.M.; Soole, K.L. Regulation of Malate Metabolism in Grape Berry and Other Developing Fruits. Phytochemistry 2009, 70, 1329–1344. [Google Scholar] [CrossRef]
- Zheng, L.; Ma, W.; Liu, P.; Song, S.; Wang, L.; Yang, W.; Ren, H.; Wei, X.; Zhu, L.; Peng, J.; et al. Transcriptional Factor MdESE3 Controls Fruit Acidity by Activating Genes Regulating Malic Acid Content in Apple. Plant Physiol. 2024, kiae282. [Google Scholar] [CrossRef] [PubMed]









| Gene | Forward Primer (5′-3′) | Reverse Primer (5′-3′) |
|---|---|---|
| MdActin | CTCCCAGGGCTGTGTTTCCTA | GGCATCCTTCTGACCCATACC |
| MdcyMDH | AGCCGCAGGACAAATTGGAT | GTTGACTCCAGTGCATGCCTC |
| MdcyME | GCTGAAAGCTGTATGTACAGCCC | CTCCTAACCCAGCTACCTGC |
| MdPEPC | CAAGCCGGCTAATGAACTTG | GGCATCATCCACTTTCGGGT |
| MdPEPCK | GTCAGGTACTGGAAAGACGACTC | CCAACGCATGGTATCTTTGC |
| MdVHA-A | TGGCTGAAATGCCTGCAGAT | TTTACCCGCCCGTTCGTAA |
| MdVHP | CTGGTGCTGCAACGAACGT | AAACGCAATGGCGAACACA |
Disclaimer/Publisher’s Note: The statements, opinions and data contained in all publications are solely those of the individual author(s) and contributor(s) and not of MDPI and/or the editor(s). MDPI and/or the editor(s) disclaim responsibility for any injury to people or property resulting from any ideas, methods, instructions or products referred to in the content. |
© 2024 by the authors. Licensee MDPI, Basel, Switzerland. This article is an open access article distributed under the terms and conditions of the Creative Commons Attribution (CC BY) license (https://creativecommons.org/licenses/by/4.0/).
Share and Cite
Shu, C.; Liu, B.; Zhao, H.; Cui, K.; Jiang, W. Effect of Near-Freezing Temperature Storage on the Quality and Organic Acid Metabolism of Apple Fruit. Agriculture 2024, 14, 1057. https://doi.org/10.3390/agriculture14071057
Shu C, Liu B, Zhao H, Cui K, Jiang W. Effect of Near-Freezing Temperature Storage on the Quality and Organic Acid Metabolism of Apple Fruit. Agriculture. 2024; 14(7):1057. https://doi.org/10.3390/agriculture14071057
Chicago/Turabian StyleShu, Chang, Bangdi Liu, Handong Zhao, Kuanbo Cui, and Weibo Jiang. 2024. "Effect of Near-Freezing Temperature Storage on the Quality and Organic Acid Metabolism of Apple Fruit" Agriculture 14, no. 7: 1057. https://doi.org/10.3390/agriculture14071057
APA StyleShu, C., Liu, B., Zhao, H., Cui, K., & Jiang, W. (2024). Effect of Near-Freezing Temperature Storage on the Quality and Organic Acid Metabolism of Apple Fruit. Agriculture, 14(7), 1057. https://doi.org/10.3390/agriculture14071057

