Lime and Gypsum Rates Effects in New Soybean Areas in the Cerrado of Matopiba, Brazil
Abstract
1. Introduction
2. Materials and Methods
2.1. Description of the Experimental Area
2.2. Experimental Design, Treatments, and Management
2.3. Attributes Analyzed
2.4. Data Analysis
3. Results
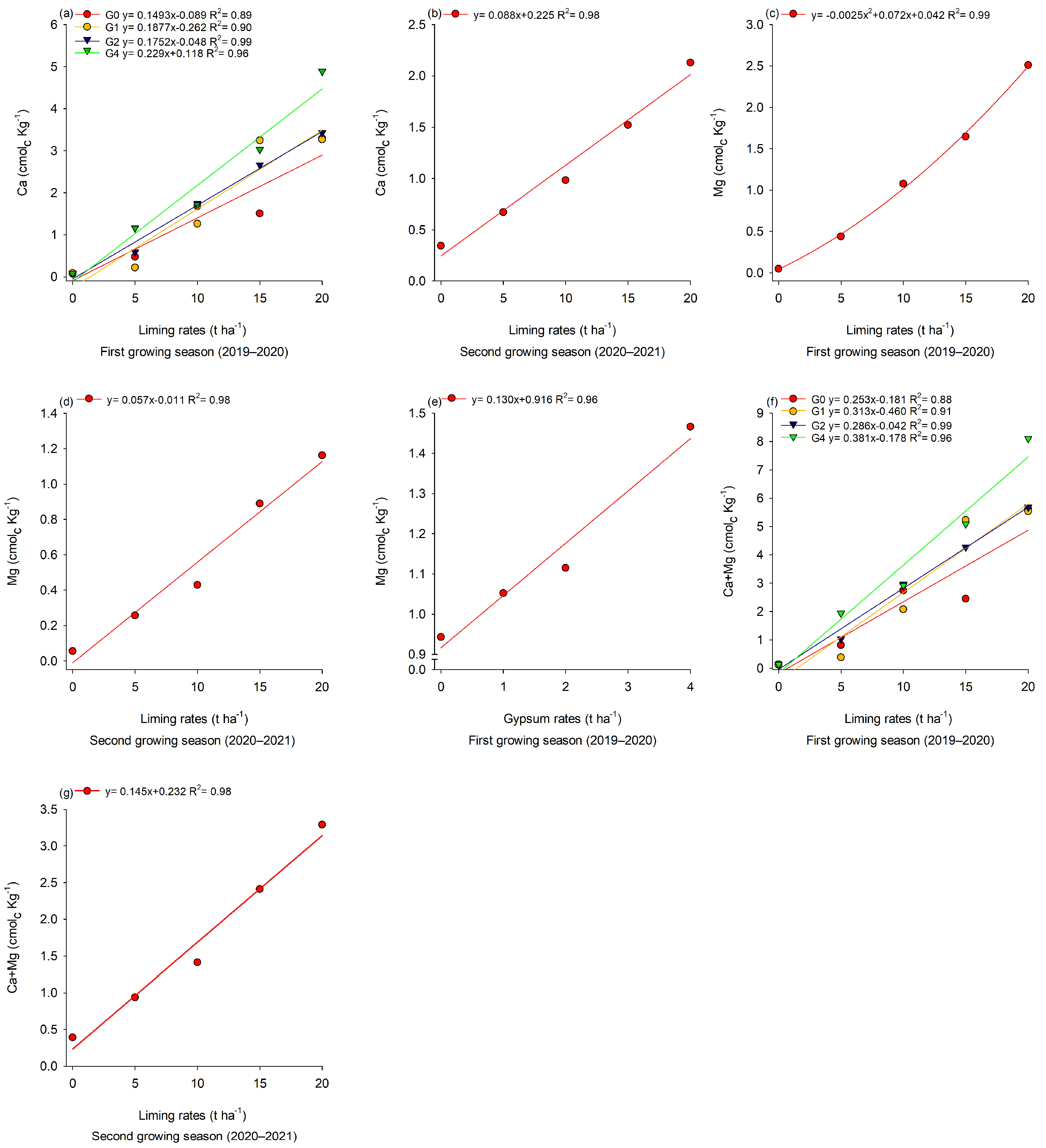
3.1. Soil Fertility in the First Growing Season
3.2. Soil Fertility in the Second Growing Season
3.3. Non-Exchangeable Calcium and Magnesium in the First and Second Growing Season
3.4. Nutritional Status of Soybeans in the First and Second Growing Season
3.5. Soybean Yield in the First and Second Growing Season
4. Discussion
5. Conclusions
Supplementary Materials
Author Contributions
Funding
Data Availability Statement
Acknowledgments
Conflicts of Interest
References
- Conab Produção Nacional de Grãos é Estimada em 312,2 Milhões de Toneladas Na Safra 2022/23. Available online: https://www.conab.gov.br/ultimas-noticias/4971-producao-de-graos-esta-estimada-em-312-5-milhoes-de-toneladas-na-safra-2022-23 (accessed on 26 July 2023).
- Valdes, C.; Gillespie, J.; Dohlman, E.N.; United States Department of Agriculture Economic Research Service. Soybean Production, Marketing Costs, and Export Competitiveness in Brazil and the United States; Economic Research Service, U.S. Department of Agriculture: Washington, DC, USA, 2023.
- Lima, M.; Silva Junior, C.A.d.; Rausch, L.; Gibbs, H.K.; Johann, J.A. Demystifying Sustainable Soy in Brazil. Land Use Policy 2019, 82, 349–352. [Google Scholar] [CrossRef]
- Instituto Brasileiro de Geografia e Estatística—IBGE Levantamento Sistemático Da Produção Agrícola. Available online: https://sidra.ibge.gov.br/home/lspa (accessed on 26 July 2023).
- Pires, G.F.; Abrahão, G.M.; Brumatti, L.M.; Oliveira, L.J.C.; Costa, M.H.; Liddicoat, S.; Kato, E.; Ladle, R.J. Increased Climate Risk in Brazilian Double Cropping Agriculture Systems: Implications for Land Use in Northern Brazil. Agric. For. Meteorol. 2016, 228–229, 286–298. [Google Scholar] [CrossRef]
- Lustosa Filho, J.F.; Souza, H.A.d.; Aalmeida, R.E.M.D.; Leite, L.F.C. Conservação e Manejo da Fertilidade do Solo No Cerrado do Matopiba; Ed Paco Editorial: Jundiaí, Brazil, 2021; Chapter 2; pp. 75–97. ISBN 978-65-5840-421-7. [Google Scholar]
- Lumbreras, J.F.; Carvalho Filho, A.D.; Motta, P.E.F.D.; Barros, A.H.C.; Aglio, M.L.D.; Dart, R.D.O.; Silveira, H.L.F.D.; Quartaroli, C.F.; Almeida, R.E.M.D.; Freitas, P.L.D. Aptidão Agrícola Das Terras Do Matopiba. Embrapa Solos. Doc. 2015, 179, 48. [Google Scholar]
- Donagemma, G.K.; de Freitas, P.L.; Balieiro, F.D.C.; Fontana, A.; Spera, S.T.; Lumbreras, J.F.; Viana, J.H.M.; Filho, J.C.D.A.; dos Santos, F.C.; de Albuquerque, M.R.; et al. Characterization, Agricultural Potential, and Perspectives for the Management of Light Soils in Brazil. Pesqui. Agropecuária Bras. 2016, 51, 1003–1020. [Google Scholar] [CrossRef]
- Moore, G. Soil Guide: A Handbook for Understanding and Managing Agricultural Soils; Department of Agriculture and Food: South Pert, WA, Australia, 2001; Volume 4343, ISBN 0730700577.
- Bonfim-Silva, E.M.; Guimarães, S.L.; Farias, L.N.; de Oliveira, J.R.; Bosa, C.K.; Fontenelli, J.V. Phosphorus Fertilization on the Development and Production of Pigeonpea in the Cerrado Oxisol in First Cultivation. Biosci. J. 2014, 30, 1380–1388. [Google Scholar]
- Bohn, N.P.; Filho, J.F.L.; Nóbrega, J.C.A.; Campos, A.R.; Nóbrega, R.S.A.; Pacheco, L.P. Indentificação de Cultivares de Soja Para a Região Sudoeste Do Cerrado Piauiense. Rev. Agro@Mbiente on-Line 2016, 10, 10. [Google Scholar] [CrossRef][Green Version]
- Oliveira, I.B.R.; Moura, J.Z.; Moura, S.G.; Brito, W.C.; Sousa, A.A.; Santana, J.d.D.P.; Maggioni, K. Diversidade Da Entomofauna Em Uma Área de Caatinga No Município de Bom Jesus-PI, Brasil. Científica 2013, 41, 150–155. [Google Scholar]
- Sousa, D.M.G.D.; Lobato, E. Cerrado: Correção Do Solo e Adubação, 2nd ed.; Embrapa Informaçoes Tecnológicas: Brasilia, Brazil, 2004; ISBN 85-7075-230-4. [Google Scholar]
- Nduwumuremyi, A. Soil Acidification and Lime Quality: Sources of Soil Acidity, Effects on Plant Nutrients, Efficiency of Lime and Liming Requirements. J. Agric. Allied Sci. 2013, 2, 26–34. [Google Scholar]
- Li, Y.; Cui, S.; Chang, S.X.; Zhang, Q. Liming Effects on Soil PH and Crop Yield Depend on Lime Material Type, Application Method and Rate, and Crop Species: A Global Meta-Analysis. J. Soils Sediments 2019, 19, 1393–1406. [Google Scholar] [CrossRef]
- Salvador, J.T.; Carvalho, T.C.; Lucchesi, L.A.C. Relações Cálcio e Magnésio Presentes No Solo e Teores Foliares de Macronutrientes. Rev. Acadêmica Ciências Agrárias Ambient. 2011, 9, 27–32. [Google Scholar] [CrossRef][Green Version]
- Carneiro, J.S.D.S.; Sousa, S.A.D.; Nikkel, M.; Deusdará, T.T.; Machado, Â.F.; Silva, R.R.D. Supercalagem: Alterações Em Atributos Químicos de Um Latossolo Vermelho-Amarelo Distrófico. Rev. Ciências Agroambientais 2018, 16, 31–38. [Google Scholar] [CrossRef]
- Ritchey, K.D.; Souza, D.M.G.; Lobato, E.; Correa, O. Calcium Leaching to Increase Rooting Depth in a Brazilian Savannah Oxisol. Agron. J. 1980, 72, 40–44. [Google Scholar] [CrossRef]
- Pavan, M. Comportamento Do Gesso Nos Solos Ácidos Das Regiões Tropicais e Subtropicais. Informações Agronômicas 1986, 35, 1–2. [Google Scholar]
- Müller, M.; Schneider, J.R.; Klein, V.A.; da Silva Júnior, J.P.; Chavarria, G. Root Growth and Crop Performance of Soybean under Chemical, Physical, and Biological Changes after Subsoiling. Agron. J. 2020, 112, 932–947. [Google Scholar] [CrossRef]
- Pauletti, V.; Motta, A.C. Manual de Adubação e Calagem Para o Estado do Paraná, 2nd ed.; SBCS; Ed NEPAR: Curitiba, Brazil, 2014; ISBN 978-85-69416-07-0. [Google Scholar]
- Xiong, R.; Liu, S.; Considine, M.J.; Siddique, K.H.M.; Lam, H.M.; Chen, Y. Root System Architecture, Physiological and Transcriptional Traits of Soybean (Glycine max L.) in Response to Water Deficit: A Review. Physiol. Plant. 2021, 172, 405–418. [Google Scholar] [CrossRef]
- Evangelista, B.A.; Silva, F.A.M.D.; Simon, J.; Campos, L.J.M.; Vale, T.M.d. Zoneamento de Risco Climático para Determinação de Épocas de Semeadura da Cultura da Soja Na Região MATOPIBA; Embrapa Pesca e Aquicultura: Palmas, Brazil, 2017; 44p. [Google Scholar]
- Alvares, C.A.; Stape, J.L.; Sentelhas, P.C.; De Moraes Gonçalves, J.L.; Sparovek, G. Köppen’s Climate Classification Map for Brazil. Meteorol. Z. 2013, 22, 711–728. [Google Scholar] [CrossRef]
- Pragana, R.B.; Sousa Junior, V.S.d.; Moura, R.d.S.; Soares, J.M. Characterization of Yellow Latosols (Oxisols) of Serra do Quilombo, in Piauí State Savanna Woodlands—Brazil. Rev. Caatinga 2016, 29, 832–840. [Google Scholar] [CrossRef]
- WRB. International Soil Classification System for Naming Soils and Creating Legends for Soil Maps; FAO: Rome, Italy, 2015; ISBN 9789251083697. [Google Scholar]
- Furley, P.A. The Nature and Diversity of Neotropical Savanna Vegetation with Particular Reference to the Brazilian Cerrados. Glob. Ecol. Biogeogr. 1999, 8, 223–241. [Google Scholar] [CrossRef]
- Liu, M.; Kissel, D.E.; Cabrera, M.L.; Vendrell, P.F. Soil Lime Requirement by Direct Titration with a Single Addition of Calcium Hydroxide. Soil Sci. Soc. Am. J. 2005, 69, 522–530. [Google Scholar] [CrossRef]
- Teixeira, P.C.; Donagemma, G.K.; Fontana, A.; Teixeira, W.G. Manual de Métodos de Análise de Solo; Embrapa: Brasília, Brazil, 2017; ISBN 9788570357717. [Google Scholar]
- Raij, B.V.; De, A.J.C.; Cantarella, H.; Quaggio, J.A. Análise Química para Avaliação da Fertilidade de Solos Tropicais; IAC Instituto Agronômico: Campinas, Brazil, 2001; ISBN 85-85564-05-9. [Google Scholar]
- Caires, E.; Guimarães, A.M. A Novel Phosphogypsum Application Recommendation Method under Continuous No-Till Management in Brazil. Agron. J. 2018, 110, 1987–1995. [Google Scholar] [CrossRef]
- Raij, B.V.; Cantarella, M.V.; Camargo, A.; Soares, E. Perdas de Cálcio e Magnésio Durante Cinco Anos Em Ensaio de Calagem. Rev. Bras. Cienc. Solo 1982, 6, 33–37. [Google Scholar]
- Quaggio, J.A.; Gallo, P.B.; Mascarenhas, H.A.A. Agronomic Efficiency of Limestones with Different Acid-Neutralizing Capacity, under Field Condition. In Plant-Soil Interactions at Low pH: Principles and Management; Springer: Berlin/Heidelberg, Germany, 1995; pp. 491–496. [Google Scholar] [CrossRef]
- Soratto, R.P.; Crusciol, C.A.C. Métodos de Determinação de Cálcio e Magnésio Trocáveis e Estimativa Do Calcário Residual Em Um Latossolo Submetido à Aplicação de Calcário e Gesso Em Superfície. Rev. Bras. Ciência Solo 2008, 32, 663–673. [Google Scholar] [CrossRef]
- Oliveira Junior, A.; Castro, C.; Oliveira, F.; Klepker, D. Fertilidade do Solo e Avaliação do Estado Nutricional da Soja. Tecnologias de Produção de Soja. In Sistemas de Produção; Embrapa Soja: Londrina, Brasil, 2020; p. 347. [Google Scholar]
- Bataglia, O.C.; Furlani, A.M.C.; Teixeira, J.P.F.; Furlani, P.R.; Gallo, J. Métodos de Análise Química de Plantas Campinas; Boletim Tecnico-Instituto Agronomico: Campinas, Brazil, 1983. [Google Scholar]
- Ferreira, D.F. Sisvar: A Computer Analysis System To Fixed Effects Split Plot Type Designs. Rev. Bras. Biom. 2019, 37, 529–535. [Google Scholar] [CrossRef]
- Costa, C.; Crusciol, C. Long-Term Effects of Lime and Phosphogypsum Application on Tropical No-till Soybean-Oat-Sorghum Rotation and Soil Chemical Properties. Eur. J. Agron. 2016, 74, 119–132. [Google Scholar] [CrossRef]
- Opala, P.A. Influence of Lime and Phosphorus Application Rates on Growth of Maize in an Acid Soil. Adv. Agric. 2017, 2017, 7083206. [Google Scholar] [CrossRef]
- Nora, D.D.; Amado, T.; Nicoloso, R.S.; Gruhn, E. Modern High-Yielding Maize, Wheat and Soybean Cultivars in Response to Gypsum and Lime Application on No-Till Oxisol. Rev. Bras. Cienc. Solo 2017, 41, e0160504. [Google Scholar] [CrossRef]
- Auler, A.C.; Caires, E.F.; Pires, L.F.; Galetto, S.L.; Romaniw, J.; Charnobay, A.C. Lime Effects in a No-Tillage System on Inceptisols in Southern Brazil. Geoderma Reg. 2019, 16, e00206. [Google Scholar] [CrossRef]
- Penn, C.J.; Camberato, J.J. A Critical Review on Soil Chemical Processes That Control How Soil Ph Affects Phosphorus Availability to Plants. Agriculture 2019, 9, 120. [Google Scholar] [CrossRef]
- Barrow, N.J.; Hartemink, A.E. The Effects of PH on Nutrient Availability Depend on Both Soils and Plants. Plant Soil 2023, 487, 21–37. [Google Scholar] [CrossRef]
- Moreira, A.; Moraes, L.A.C.; Navroski, D. Lime and Micronutrients Interaction in Soybean Genotypes Adapted to Tropical and Subtropical Conditions. Commun. Soil Sci. Plant Anal. 2017, 48, 792–800. [Google Scholar] [CrossRef]
- Moraes, F.A.d.; Moreira, S.G.; Peixoto, D.S.; Resende Silva, J.C.; Macedo, J.R.; Silva, M.M.; Silva, B.M.; Sanchez, P.A.; Nunes, M.R. Lime Incorporation up to 40 Cm Deep Increases Root Growth and Crop Yield in Highly Weathered Tropical Soils. Eur. J. Agron. 2023, 144, 126763. [Google Scholar] [CrossRef]
- Cherian, C.; Arnepalli, D.N. A Critical Appraisal of the Role of Clay Mineralogy in Lime Stabilization. Int. J. Geosynth. Ground Eng. 2015, 1, 8. [Google Scholar] [CrossRef]
- Pias, O.H.D.C.; Tiecher, T.; Cherubin, M.; Silva, A.G.B.; Bayer, C. Does Gypsum Increase Crop Grain Yield on No-tilled Acid Soils? A Meta-analysis. Agron. J. 2020, 112, 675–692. [Google Scholar] [CrossRef]
- Tiecher, T.; Pias, O.H.d.C.; Bayer, C.; Martins, A.P.; Denardin, L.G.d.O.; Anghinoni, I. Crop Response to Gypsum Application to Subtropical Soils under No-till in Brazil: A Systematic Review. Rev. Bras. Cienc. Solo 2018, 42, e0170025. [Google Scholar] [CrossRef]
- Reis, L.C.d.; Silva, C.M.S.E.; Bezerra, B.G.; Mutti, P.R.; Spyrides, M.H.C.; da Silva, P.E. Analysis of Climate Extreme Indices in the MATOPIBA Region, Brazil. Pure Appl. Geophys. 2020, 177, 4457–4478. [Google Scholar] [CrossRef]
- Santiago, D.d.B.; Barbosa, H.A.; Correia Filho, W.L.F.; Oliveira-Júnior, J.F.d. Interactions of Environmental Variables and Water Use Efficiency in the Matopiba Region via Multivariate Analysis. Sustainability 2022, 14, 8758. [Google Scholar] [CrossRef]
- de Oliveira Aparecido, L.E.; Dutra, A.F.; Lorençone, P.A.; de Alcântara Neto, F.; Lorençone, J.A.; Leite, M.R.L. Climate Change in MATOPIBA Region of Brazil: A Study on Climate Extremes in Agriculture. Theor. Appl. Climatol. 2023, 153, 87–100. [Google Scholar] [CrossRef]
- Vicensi, M.; Lopes, C.; Koszalka, V.; Umburanas, R.C.; Kawakami, J.; Pott, C.A.; Müller, M.M.L. Gypsum Rates and Splitting Under No-Till: Soil Fertility, Corn Performance, Accumulated Yield and Profits. J. Soil Sci. Plant Nutr. 2020, 20, 690–702. [Google Scholar] [CrossRef]
- Alves, L.A.; Tiecher, T.L.; Flores, J.P.M.; Filippi, D.; Gatiboni, L.C.; Bayer, C.; Pias, O.H.d.C.; Marquez, A.A.; Bordignon, V.; Goulart, R.Z.; et al. Soil Chemical Properties and Crop Response to Gypsum and Limestone on a Coarse-Textured Ultisol under No-till in the Brazilian Pampa Biome. Geoderma Reg. 2021, 25, e00372. [Google Scholar] [CrossRef]
- Cantarella, H.; Quaggio, J.A.; Mattos JR, D.; Boaretto, R.M.; Raij, B.v. Recomendação de Adubação e Calagem para o Estado de São Paulo; IAC: Campinas, Brazil, 2022. [Google Scholar]
- Bossolani, J.W.; Crusciol, C.A.C.; Portugal, J.R.; Moretti, L.G.; Garcia, A.; Rodrigues, V.A.; da Fonseca, M.d.C.; Bernart, L.; Vilela, R.G.; Mendonça, L.P.; et al. Long-Term Liming Improves Soil Fertility and Soybean Root Growth, Reflecting Improvements in Leaf Gas Exchange and Grain Yield. Eur. J. Agron. 2021, 128, 126308. [Google Scholar] [CrossRef]
- Schenfert, T.A.; Ratke, R.F.; Casarin, V.; Barbosa, J.M.; Chaves, D.V.; Holanda Neto, M.R.d.; Roque, C.G.; Carlos, H.C.V. Lime and Gypsum in the Implantation No-till System Promote the Nutrition and Yield of Soybean. J. Plant Nutr. 2020, 43, 641–654. [Google Scholar] [CrossRef]
- dos Santos, F.C.; Mendes, S.M.; da Silva, A.F.; da Silva, D.D.; dos Passos, A.M.A.; Resende, R.; Pessoa, S.T.; Pimentel, M.A.G.; de Oliveira, I.R.; Rodrigues, J.A.S.; et al. A Agropecuária do Sul do Matopiba em Perspectiva: Circuito Solos Arenosos da Região Cocos-Jaborandi; Embrapa Milho e Sorgo: Sete Lagoas, Brazil, 2018; 67p. [Google Scholar]








| Layers | pH CaCl2 | pH H2O | TOC | N | C/N | P | K+ | Ca2+ | Mg2+ | Al3+ | H + Al | BC | CEC | V | m |
|---|---|---|---|---|---|---|---|---|---|---|---|---|---|---|---|
| m | g kg−1 | mg kg−1 | % | ||||||||||||
| 0–0.2 | 3.76 | 4.45 | 7.94 | 0.45 | 17.6 | 1.56 | 0.02 | 0.41 | 0.12 | 0.96 | 3.37 | 0.40 | 3.91 | 13.8 | 64.1 |
| 0.2–0.4 | 3.89 | 4.48 | 5.16 | 0.39 | 13.2 | 0.65 | 0.00 | 0.01 | 0.00 | 0.56 | 2.05 | 0.01 | 2.07 | 0.3 | 98.8 |
| 0.4–0.6 | 3.98 | 4.55 | 4.17 | 0.42 | 9.9 | 0.62 | 0.00 | 0.01 | 0.02 | 0.47 | 1.50 | 0.02 | 1.52 | 1.6 | 95.2 |
| B | Cu | Fe | Mn | Zn | S-SO42− | Coarse sand | Fine sand | Total sand | Clay | Silt | |||||
| mg kg−1 | % | ||||||||||||||
| 0–0.2 | 0.18 | 0.01 | 66.41 | 0.02 | 0.31 | 0.79 | 44.2 | 39.4 | 83.6 | 15.5 | 0.9 | ||||
| 0.2–0.4 | 0.15 | 0.01 | 59.67 | 0.18 | 0.16 | 1.24 | 41.9 | 39.5 | 81.4 | 17.1 | 1.5 | ||||
| 0.4–0.6 | 0.15 | 0.02 | 34.35 | 0.01 | 0.46 | 2.29 | 39.7 | 36.2 | 75.9 | 22.3 | 1.8 | ||||
Disclaimer/Publisher’s Note: The statements, opinions and data contained in all publications are solely those of the individual author(s) and contributor(s) and not of MDPI and/or the editor(s). MDPI and/or the editor(s) disclaim responsibility for any injury to people or property resulting from any ideas, methods, instructions or products referred to in the content. |
© 2024 by the authors. Licensee MDPI, Basel, Switzerland. This article is an open access article distributed under the terms and conditions of the Creative Commons Attribution (CC BY) license (https://creativecommons.org/licenses/by/4.0/).
Share and Cite
Oliveira, D.B.d.; Lacerda, J.J.d.J.; Cavalcante, A.P.; Bezerra, K.G.; Silva, A.P.M.d.; Miranda, A.C.G.; Rambo, T.P.; Maschio, R.; Andrade, H.A.F.d.; Costa, P.M.; et al. Lime and Gypsum Rates Effects in New Soybean Areas in the Cerrado of Matopiba, Brazil. Agriculture 2024, 14, 1034. https://doi.org/10.3390/agriculture14071034
Oliveira DBd, Lacerda JJdJ, Cavalcante AP, Bezerra KG, Silva APMd, Miranda ACG, Rambo TP, Maschio R, Andrade HAFd, Costa PM, et al. Lime and Gypsum Rates Effects in New Soybean Areas in the Cerrado of Matopiba, Brazil. Agriculture. 2024; 14(7):1034. https://doi.org/10.3390/agriculture14071034
Chicago/Turabian StyleOliveira, Doze Batista de, Julian Junio de Jesus Lacerda, Adenilson Pereira Cavalcante, Karmem Guimarães Bezerra, Allana Pereira Moura da Silva, Ana Caroline Guimarães Miranda, Tiago Pieta Rambo, Rafael Maschio, Hosana Aguiar Freitas de Andrade, Paula Muniz Costa, and et al. 2024. "Lime and Gypsum Rates Effects in New Soybean Areas in the Cerrado of Matopiba, Brazil" Agriculture 14, no. 7: 1034. https://doi.org/10.3390/agriculture14071034
APA StyleOliveira, D. B. d., Lacerda, J. J. d. J., Cavalcante, A. P., Bezerra, K. G., Silva, A. P. M. d., Miranda, A. C. G., Rambo, T. P., Maschio, R., Andrade, H. A. F. d., Costa, P. M., Sousa, C. A. F. d., Oliveira Júnior, J. O. L. d., Sagrilo, E., & Souza, H. A. d. (2024). Lime and Gypsum Rates Effects in New Soybean Areas in the Cerrado of Matopiba, Brazil. Agriculture, 14(7), 1034. https://doi.org/10.3390/agriculture14071034

