Systematic Analysis of the Effects of Different Green Manure Crop Rotations on Soil Nutrient Dynamics and Bacterial Community Structure in the Taihu Lake Region, Jiangsu
Abstract
1. Introduction
2. Materials and Methods
2.1. Experimental Site
2.2. Experiment Design
2.3. Soil Sample Collection and Measurement
2.3.1. Soil Sample Collection
2.3.2. Measurement of Soil Chemical Properties
2.3.3. Soil DNA Extraction, PCR Amplification, and Sequencing
2.4. Data Statistical Analysis
3. Results
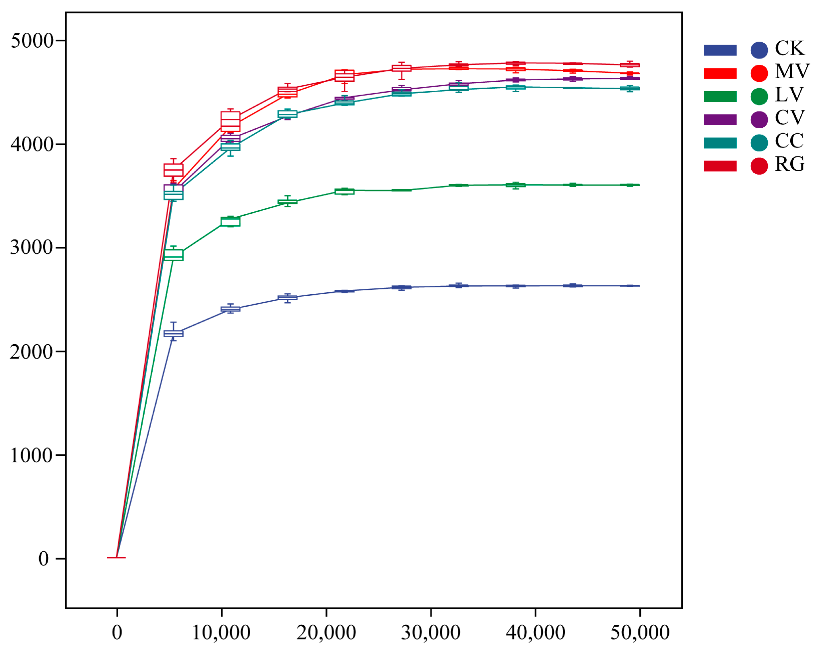
3.1. Analysis of the Differences in Soil Nutrient Levels and Enzyme Activity among Various Green Manures
| Treatment | SC /[(mg/(g 24 h)] | UE /[(mg/(g 24 h)] | CAT /[(0.1 mol/L KMnO4/(g 24 h)] | NEP /[(mg/(g 24 h)] |
|---|---|---|---|---|
| CK | 3.54 ± 0.32 c | 3.85 ± 0.62 c | 2.38 ± 0.05 cd | 0.56 ± 0.11 b |
| MV | 5.25 ± 0.23 a | 4.14 ± 0.22 bc | 2.91 ± 0.50 b | 0.95 ± 0.12 a |
| LV | 4.61 ± 0.24 b | 5.12 ± 0.25 a | 4.53 ± 0.10 a | 1.01 ± 0.13 a |
| CV | 5.60 ± 0.43 a | 4.26 ± 0.13 bc | 2.43 ± 0.11 c | 0.91 ± 0.10 a |
| CC | 3.65 ± 0.18 c | 4.65 ± 0.09 ab | 2.26 ± 0.10 de | 0.85 ± 0.79 a |
| RG | 4.40 ± 0.43 b | 4.10 ± 0.08 c | 2.17 ± 0.03 e | 0.84 ± 0.12 a |
| Treatments | F1 | F2 | F3 | Fsynthesis | Sequence |
|---|---|---|---|---|---|
| CK | −5.93 | −0.93 | −0.34 | −3.97 | 6 |
| MV | 2.00 | 0.63 | −1.44 | 1.31 | 1 |
| LV | −0.3 | 3.70 | 1.09 | 1.02 | 2 |
| CV | 1.34 | 0.23 | −1.02 | 0.81 | 3 |
| CC | 0.96 | −1.12 | 0.77 | 0.31 | 5 |
| RG | 1.94 | −2.51 | 0.94 | 0.51 | 4 |
3.2. Analysis of the Differences in Bacterial Community Composition in Soil Amended with Various Green Manures




3.3. Analysis of Soil Bacterial Diversity in Various Green Manures


3.4. Analysis of the Relationship between Soil Microbial Community Structure and Environmental Factors
3.5. Comprehensive Evaluation of Soil Improvement Effects of Different Green Manures Based on PCA
4. Discussion
4.1. Soil Nutrient and Enzyme Dynamics
4.2. Soil Bacterial Community Structure
4.3. Interactions between Green Manure, Soil Nutrients, and Soil Bacteria
5. Conclusions
Author Contributions
Funding
Institutional Review Board Statement
Data Availability Statement
Acknowledgments
Conflicts of Interest
Correction Statement
References
- Francioli, D.; Schulz, E.; Lentendu, G.; Wubet, T.; Buscot, F.; Reitz, T. Mineral vs. Organic amendments: Microbial community structure, activity and abundance of agriculturally relevant microbes are driven by long-term fertilization strategies. Front. Microbiol. 2016, 7, 1446. [Google Scholar] [CrossRef]
- Hu, X.; Liu, J.; Wei, D.; Zhu, P.; Cui, X.A.; Zhou, B.; Chen, X.; Jin, J.; Liu, X.; Wang, G. Effects of over 30-year of different fertilization regimes on fungal community compositions in the black soils of northeast china. Agric. Ecosyst. Environ. 2017, 248, 113–122. [Google Scholar] [CrossRef]
- Yan, T.; Xue, J.; Zhou, Z.; Wu, Y. Biochar-based fertilizer amendments improve the soil microbial community structure in a karst mountainous area. Sci. Total Environ. 2021, 794, 148757. [Google Scholar] [CrossRef]
- Guo, K.; Zhao, Y.; Liu, Y.; Chen, J.; Wu, Q.; Ruan, Y.; Li, S.; Shi, J.; Zhao, L.; Sun, X.; et al. Pyrolysis temperature of biochar affects ecoenzymatic stoichiometry and microbial nutrient-use efficiency in a bamboo forest soil. Geoderma 2020, 363, 114162. [Google Scholar] [CrossRef]
- Wu, X.; Zhang, T.; Zhao, J.; Wang, L.; Yang, D.; Li, G.; Xiu, W. Variation of soil bacterial and fungal communities from fluvo-aquic soil under chemical fertilizer reduction combined with organic materials in north china plain. J. Soil Sci. Plant Nutr. 2021, 21, 349–363. [Google Scholar] [CrossRef]
- Kim, Y.; Cho, Y.; Lee, J.; Seo, H.; Kim, B.; Lee, D.; Lee, Y.B.; Kim, K. Short-term responses of soil organic carbon pool and crop performance to different fertilizer applications. Agronomy 2022, 12, 1106. [Google Scholar] [CrossRef]
- Tejada, M.; Gonzalez, J.L.; García-Martínez, A.M.; Parrado, J. Application of a green manure and green manure composted with beet vinasse on soil restoration: Effects on soil properties. Bioresour. Technol. 2008, 99, 4949–4957. [Google Scholar] [CrossRef]
- Pittelkow, C.M.; Liang, X.; Linquist, B.A.; van Groenigen, K.J.; Lee, J.; Lundy, M.E.; van Gestel, N.; Six, J.; Venterea, R.T.; van Kessel, C. Productivity limits and potentials of the principles of conservation agriculture. Nature 2015, 517, 365–368. [Google Scholar] [CrossRef]
- Lei, B.; Wang, J.; Yao, H. Ecological and environmental benefits of planting green manure in paddy fields. Agriculture 2022, 12, 223. [Google Scholar] [CrossRef]
- Li, X.; Chen, Q.; He, C.; Shi, Q.; Chen, S.; Reid, B.J.; Zhu, Y.; Sun, G. Organic carbon amendments affect the chemodiversity of soil dissolved organic matter and its associations with soil microbial communities. Environ. Sci. Technol. 2019, 53, 50–59. [Google Scholar] [CrossRef]
- Zhang, X.; Zhang, R.; Gao, J.; Wang, X.; Fan, F.; Ma, X.; Yin, H.; Zhang, C.; Feng, K.; Deng, Y. Thirty-one years of rice-rice-green manure rotations shape the rhizosphere microbial community and enrich beneficial bacteria. Soil Biol. Biochem. 2017, 104, 208–217. [Google Scholar] [CrossRef]
- Xu, X.; Thornton, P.E.; Post, W.M. A global analysis of soil microbial biomass carbon, nitrogen and phosphorus in terrestrial ecosystems. Glob. Ecol. Biogeogr. 2013, 22, 737–749. [Google Scholar] [CrossRef]
- Bai, N.; Lv, W.; Chu, X.; Fan, H.; Li, S.; Zheng, X.; Zhang, J.; Zhang, H.; Zhang, H. Comparison of soil microbial community and physicochemical properties between rice–fallow and rice–bean (green manure) rotation. Soil Sci. Soc. Am. J. 2022, 86, 593–603. [Google Scholar] [CrossRef]
- Bardgett, R.D.; Freeman, C.; Ostle, N.J. Microbial contributions to climate change through carbon cycle feedbacks. ISME J. 2008, 2, 805–814. [Google Scholar] [CrossRef]
- Chatterjee, A.; Vance, G.F.; Pendall, E.; Stahl, P.D. Timber harvesting alters soil carbon mineralization and microbial community structure in coniferous forests. Soil Biol. Biochem. 2008, 40, 1901–1907. [Google Scholar] [CrossRef]
- Yang, Z.; Xu, M.; Zheng, S.; Nie, J.; Gao, J.; Liao, Y.; Xie, J. Effects of long-term winter planted green manure on physical properties of reddish paddy soil under a double-rice cropping system. J. Integr. Agric. 2012, 11, 655–664. [Google Scholar] [CrossRef]
- Hallama, M.; Pekrun, C.; Lambers, H.; Kandeler, E. Hidden miners—The roles of cover crops and soil microorganisms in phosphorus cycling through agroecosystems. Plant Soil. 2019, 434, 7–45. [Google Scholar] [CrossRef]
- Lyu, H.; Li, Y.; Wang, Y.; Wang, P.; Shang, Y.; Yang, X.; Wang, F.; Yu, A. Drive soil nitrogen transformation and improve crop nitrogen absorption and utilization—A review of green manure applications. Front. Plant Sci. 2023, 14, 1305600. [Google Scholar] [CrossRef]
- Bending, G.D.; Turner, M.K.; Rayns, F.; Marx, M.; Wood, M. Microbial and biochemical soil quality indicators and their potential for differentiating areas under contrasting agricultural management regimes. Soil Biol. Biochem. 2004, 36, 1785–1792. [Google Scholar] [CrossRef]
- de Graaff, M.; Hornslein, N.; Throop, H.L.; Kardol, P.; van Diepen, L.T.A. Chapter one—Effects of agricultural intensification on soil biodiversity and implications for ecosystem functioning: A meta-analysis. Adv. Agron. 2019, 155, 1–44. [Google Scholar]
- Dinesh, R.; Srinivasan, V.; Hamza, S.; Manjusha, A. Short-term incorporation of organic manures and biofertilizers influences biochemical and microbial characteristics of soils under an annual crop [Turmeric (Curcuma longa L.)]. Bioresour. Technol. 2010, 101, 4697–4702. [Google Scholar] [CrossRef]
- Melero, S.; López-Bellido, R.J.; López-Bellido, L.; Muñoz-Romero, V.; Moreno, F.; Murillo, J.M. Long-term effect of tillage, rotation and nitrogen fertiliser on soil quality in a mediterranean vertisol. Soil Tillage Res. 2011, 114, 97–107. [Google Scholar] [CrossRef]
- Crews, T.E.; Peoples, M.B. Legume versus fertilizer sources of nitrogen: Ecological tradeoffs and human needs. Agric Ecosyst. Environ. 2004, 102, 279–297. [Google Scholar] [CrossRef]
- Li, F.; Wang, Z.; Dai, J.; Li, Q.; Wang, X.; Xue, C.; Liu, H.; He, G. Fate of nitrogen from green manure, straw, and fertilizer applied to wheat under different summer fallow management strategies in dryland. Biol. Fertil. Soils 2015, 51, 769–780. [Google Scholar] [CrossRef]
- Liu, L.; Zhu, K.; Krause, S.M.B.; Li, S.; Wang, X.; Zhang, Z.; Shen, M.; Yang, Q.; Lian, J.; Wang, X.; et al. Changes in assembly processes of soil microbial communities during secondary succession in two subtropical forests. Soil Biol. Biochem. 2021, 154, 108144. [Google Scholar] [CrossRef]
- Guan, S. Soil Enzymes and Their Research Methods; Agricultural Press: Berlin, Germany, 1986. [Google Scholar]
- Han, D.; Wang, N.; Sun, X.; Hu, Y.; Feng, F. Biogeographical distribution of bacterial communities in Changbai Mountain, Northeast China. Microbiol. Open 2018, 7, e529. [Google Scholar] [CrossRef]
- Estaki, M.; Jiang, L.; Bokulich, N.A.; McDonald, D.; Gonzalez, A.; Kosciolek, T.; Martino, C.; Zhu, Q.; Birmingham, A.; Vazquez-Baeza, Y.; et al. QIIME 2 Enables Comprehensive End-to-End Analysis of Diverse Microbiome Data and Comparative Studies with Publicly Available Data. Curr. Protoc. Bioinform. 2020, 70, e100. [Google Scholar] [CrossRef]
- Medina, M.A.P. Applied Statistics for Environmental Science; CMU Press: Bukidnon, Philippines, 2015. [Google Scholar]
- Du, T.Q.; Xue, N.W. Effects of green manures during fallow on moisture and nutrients of soil and winter wheat yield on the loss plateau of china. Emir. J. Food Agric. 2017, 29, 978–987. [Google Scholar]
- Hu, A.; Huang, R.; Liu, G.; Huang, D.; Huan, H. Effects of green manure combined with phosphate fertilizer on movement of soil organic carbon fractions in tropical sown pasture. Agronomy 2022, 12, 1101. [Google Scholar] [CrossRef]
- Haruna, S. Influence of winter wheat on soil thermal properties of a paleudalf. Int. Agrophys. 2019, 33, 389–395. [Google Scholar] [CrossRef]
- Gao, X.; Shi, D.; Lv, A.; Wang, S.; Yuan, S.; Zhou, P.; An, Y. Increase phosphorus availability from the use of alfalfa (medicago sativa l) green manure in rice (Oryza sativa L.). Agroecosyst. Sci Rep. 2016, 6, 36981. [Google Scholar] [CrossRef] [PubMed]
- Ding, T.; Yan, Z.; Zhang, W.; Duan, T. Green manure crops affected soil chemical properties and fungal diversity and community of apple orchard in the loess plateau of china. J. Soil Sci. Plant Nutr. 2021, 21, 1089–1102. [Google Scholar] [CrossRef]
- Asghar, W.; Kataoka, R. Green manure incorporation accelerates enzyme activity, plant growth, and changes in the fungal community of soil. Arch. Microbiol. 2021, 204, 7. [Google Scholar] [CrossRef] [PubMed]
- Piotrowska, A.; Wilczewski, E. Effects of catch crops cultivated for green manure and mineral nitrogen fertilization on soil enzyme activities and chemical properties. Geoderma 2012, 189–190, 72–80. [Google Scholar] [CrossRef]
- Bowles, T.M.; Acosta-Martínez, V.; Calderón, F.; Jackson, L.E. Soil enzyme activities, microbial communities, and carbon and nitrogen availability in organic agroecosystems across an intensively-managed agricultural landscape. Soil Biol. Biochem. 2014, 68, 252–262. [Google Scholar] [CrossRef]
- Chavarría, D.N.; Verdenelli, R.A.; Serri, D.L.; Restovich, S.B.; Andriulo, A.E.; Meriles, J.M.; Vargas-Gil, S. Effect of cover crops on microbial community structure and related enzyme activities and macronutrient availability. Eur. J. Soil Biol. 2016, 76, 74–82. [Google Scholar] [CrossRef]
- Jimenez, D.J.; Andreote, F.D.; Chaves, D.; Montana, J.S.; Osorio-Forero, C.; Junca, H.; Zambrano, M.M.; Baena, S. Structural and functional insights from the metagenome of an acidic hot spring microbial planktonic community in the colombian andes. PLoS ONE 2012, 7, e52069. [Google Scholar] [CrossRef] [PubMed]
- Sapp, M.; Harrison, M.; Hany, U.; Charlton, A.; Thwaites, R. Comparing the effect of digestate and chemical fertiliser on soil bacteria. Appl. Soil Ecol. 2015, 86, 1–9. [Google Scholar] [CrossRef]
- Fierer, N. Finding a place for microorganisms in the field of ecology. Ecology 2007, 88, 1336–1337. [Google Scholar] [CrossRef]
- He, H.; Li, W.; Zhang, Y.; Cheng, J.; Jia, X.; Li, S.; Yang, H.; Chen, B.; Xin, G. Effects of italian ryegrass residues as green manure on soil properties and bacterial communities under an italian ryegrass (Lolium multiflorum L.)-Rice (Oryza sativa L.) Rotation. Soil Tillage Res. 2020, 196, 104487. [Google Scholar] [CrossRef]
- Gao, S.; Zhang, R.; Cao, W.; Fan, Y.; Gao, J.; Huang, J.; Bai, J.; Zeng, N.; Chang, D.; Katsu-Yoshi, S.; et al. Long-term rice-rice-green manure rotation changing the microbial communities in typical red paddy soil in south china. J. Integr. Agric. 2015, 14, 2512–2520. [Google Scholar] [CrossRef]
- Yuan, K.; Miwa, H.; Iizuka, M.; Yokoyama, T.; Fujii, Y.; Okazaki, S. Genetic diversity and symbiotic phenotype of hairy vetch rhizobia in japan. Microbes Environ. 2016, 31, 121–126. [Google Scholar] [CrossRef] [PubMed][Green Version]
- Wanic, M.; Żuk-Gołaszewska, K.; Orzech, K. Catch crops and the soil environment—A review of the literature. J. Elem. 2019, 24, 3145. [Google Scholar] [CrossRef]
- Caban, J.R.; Kuppusamy, S.; Kim, J.H.; Yoon, Y.; Kim, S.Y.; Lee, Y.B. Green manure amendment enhances microbial activity and diversity in antibiotic-contaminated soil. Appl. Soil Ecol. 2018, 129, 72–76. [Google Scholar] [CrossRef]
- Qaswar, M.; Huang, J.; Ahmed, W.; Liu, S.; Li, D.; Zhang, L.; Liu, L.; Xu, Y.; Han, T.; Du, J.; et al. Substitution of inorganic nitrogen fertilizer with green manure (gm) increased yield stability by improving c input and nitrogen recovery efficiency in rice based cropping system. Agronomy 2019, 9, 609. [Google Scholar] [CrossRef]
- Solangi, F.; Bai, J.; Gao, S.; Yang, L.; Zhou, G.; Cao, W. Improved accumulation capabilities of phosphorus and potassium in green manures and its relationship with soil properties and enzymatic activities. Agronomy 2019, 9, 708. [Google Scholar] [CrossRef]
- Jamal, A.; Saeed, M.F.; Mihoub, A.; Hopkins, B.G.; Ahmad, I.; Naeem, A. Integrated use of phosphorus fertilizer and farmyard manure improves wheat productivity by improving soil quality and p availability in calcareous soil under subhumid conditions. Front. Plant Sci. 2023, 14, 1034421. [Google Scholar] [CrossRef]
- Ma, D.; Yin, L.; Ju, W.; Li, X.; Liu, X.; Deng, X.; Wang, S. Meta-analysis of green manure effects on soil properties and crop yield in northern china. Field Crop Res. 2021, 266, 108146. [Google Scholar] [CrossRef]
- Balser, T.C.; Firestone, M.K. Linking microbial community composition and soil processes in a California annual grassland and mixed-conifer forest. Biogeochemistry 2005, 73, 395–415. [Google Scholar] [CrossRef]
- Lucas, R.W.; Casper, B.B.; Jackson, J.K.; Balser, T.C. Soil microbial communities and extracellular enzyme activity in the new jersey pinelands. Soil. Biol Biochem. 2007, 39, 2508–2519. [Google Scholar] [CrossRef]
- Loeuille, N.; Le Mao, T.; Barot, S. Effects of plant evolution on nutrient cycling couple aboveground and belowground processes. Theor. Ecol. 2017, 10, 117–127. [Google Scholar] [CrossRef]
- Fukami, T.; Dickie, I.A.; Wilkie, J.P.; Paulus, B.C.; Park, D.; Roberts, A.; Buchanan, P.K.; Allen, R.B. Assembly history dictates ecosystem functioning: Evidence from wood decomposer communities. Ecol. Lett. 2010, 13, 675–684. [Google Scholar] [CrossRef] [PubMed]
- Six, J.; Frey, S.D.; Thiet, R.K.; Batten, K.M. Bacterial and fungal contributions to carbon sequestration in agroecosystems. Soil Sci. Soc. Am. J. 2006, 70, 555–569. [Google Scholar] [CrossRef]
- Zhu, B.; Yi, L.; Hu, Y.; Zeng, Z.; Lin, C.; Tang, H.; Yang, G.; Xiao, X. Nitrogen release from incorporated 15n-labelled chinese milk vetch (Astragalus sinicus L.) Residue and its dynamics in a double rice cropping system. Plant Soil. 2014, 374, 331–344. [Google Scholar] [CrossRef]
- Van Zwieten, L.; Singh, B.P.; Kimber, S.W.L.; Murphy, D.V.; Macdonald, L.M.; Rust, J.; Morris, S. An incubation study investigating the mechanisms that impact n2o flux from soil following biochar application. Agric. Ecosyst. Environ. 2014, 191, 53–62. [Google Scholar] [CrossRef]


| pH | Organic Matter (g/kg) | Total Nitrogen (g/kg) | Total Phosphorus (g/kg) | Total Potassium (g/kg) | Alkali-Hydrolyzed Nitrogen (mg/kg) | Available Phosphorus (mg/kg) | Available Potassium (mg/kg) |
|---|---|---|---|---|---|---|---|
| 6.50 ± 0.47 | 14.86 ± 1.11 | 1.21 ± 0.50 | 0.73 ± 0.22 | 9.12 ± 2.04 | 140.69 ± 21.88 | 10.78 ± 1.43 | 90.27 ± 8.13 |
| Treatment | pH | SOM /(g kg−1) | AN /(mg kg −1) | AP /(mg kg−1) | AK /(mg kg−1) |
|---|---|---|---|---|---|
| CK | 6.46 ± 0.05 e | 15.15 ± 0.94 b | 135.21 ± 2.76 d | 11.42 ± 1.28 c | 95.16 ± 11.78 c |
| MV | 6.78 ± 0.06 c | 15.52 ± 0.49 ab | 173.64 ± 1.05 a | 15.76 ± 1.28 ab | 131.26 ± 9.86 a |
| LV | 7.11 ± 0.06 a | 15.19 ± 0.30 b | 171.23 ± 1.22 ab | 18.02 ± 2.24 a | 117.59 ± 9.21 ab |
| CV | 6.95 ± 0.06 b | 15.58 ± 0.60 ab | 164.29 ± 1.89 c | 14.15 ± 1.41 bc | 114.47 ± 6.51 abc |
| CC | 6.59 ± 0.06 d | 16.00 ± 0.70 ab | 163.53 ± 2.89 c | 13.78 ± 1.61 bc | 113.40 ± 12.4 abc |
| RG | 6.56 ± 0.07 de | 16.56 ± 0.35 a | 169.14 ± 1.43 b | 13.86 ± 1.58 bc | 106.94 ± 12.4 bc |
Disclaimer/Publisher’s Note: The statements, opinions and data contained in all publications are solely those of the individual author(s) and contributor(s) and not of MDPI and/or the editor(s). MDPI and/or the editor(s) disclaim responsibility for any injury to people or property resulting from any ideas, methods, instructions or products referred to in the content. |
© 2024 by the authors. Licensee MDPI, Basel, Switzerland. This article is an open access article distributed under the terms and conditions of the Creative Commons Attribution (CC BY) license (https://creativecommons.org/licenses/by/4.0/).
Share and Cite
Wang, H.; Zhong, L.; Liu, J.; Liu, X.; Xue, W.; Liu, X.; Yang, H.; Shen, Y.; Li, J.; Sun, Z. Systematic Analysis of the Effects of Different Green Manure Crop Rotations on Soil Nutrient Dynamics and Bacterial Community Structure in the Taihu Lake Region, Jiangsu. Agriculture 2024, 14, 1017. https://doi.org/10.3390/agriculture14071017
Wang H, Zhong L, Liu J, Liu X, Xue W, Liu X, Yang H, Shen Y, Li J, Sun Z. Systematic Analysis of the Effects of Different Green Manure Crop Rotations on Soil Nutrient Dynamics and Bacterial Community Structure in the Taihu Lake Region, Jiangsu. Agriculture. 2024; 14(7):1017. https://doi.org/10.3390/agriculture14071017
Chicago/Turabian StyleWang, Huiyan, Liang Zhong, Junhai Liu, Xiaoyu Liu, Wei Xue, Xinbao Liu, He Yang, Yixin Shen, Jianlong Li, and Zhengguo Sun. 2024. "Systematic Analysis of the Effects of Different Green Manure Crop Rotations on Soil Nutrient Dynamics and Bacterial Community Structure in the Taihu Lake Region, Jiangsu" Agriculture 14, no. 7: 1017. https://doi.org/10.3390/agriculture14071017
APA StyleWang, H., Zhong, L., Liu, J., Liu, X., Xue, W., Liu, X., Yang, H., Shen, Y., Li, J., & Sun, Z. (2024). Systematic Analysis of the Effects of Different Green Manure Crop Rotations on Soil Nutrient Dynamics and Bacterial Community Structure in the Taihu Lake Region, Jiangsu. Agriculture, 14(7), 1017. https://doi.org/10.3390/agriculture14071017

