Screening Lactic Acid Bacteria Strains for Their Tolerance to Increased Osmotic Pressure and Their Suitability to Ensile High Dry Matter Forages
Abstract
1. Introduction
- (1)
- Developing a standardized medium (liquid as broth and solid with agar) for LAB with an osmolality of 2.4 osmol/kg (simulating about 45% DM in a temperate grass) without provoking salt stress.
- (2)
- Testing the growth of different LAB strains on the solid medium developed in step (1) compared to an unmodified MRS (de Man, Rogosa, Sharpe [20]) medium, and measuring the acidification in the liquid medium (from step (1)) compared to the unmodified MRS broth. This two-track approach was followed to indicate metabolic activity in possible contrast to cell propagation.
- (3)
- Validating the ensiling capacity of the selected LAB strains in low and high DM forage compared to the laboratory results, i.e., whether there were statistical effects of the DM level or medium on the final pH across all strains.
2. Materials and Methods
2.1. Step 1 Development of a Medium for LAB with Increased Osmolality and Limited Salt Concentration
2.2. Step 2 Evaluation of Growth of and Acidification by Different LAB Strains in the Modified Media
2.3. Step 3 Comparison of In Vitro pH Decreases in Growth Medium and In Situ in Temperate Grass at Two Wilting Levels
2.4. Statistical Analysis
3. Results
3.1. Step 1 A Medium for LAB with Increased Osmolality
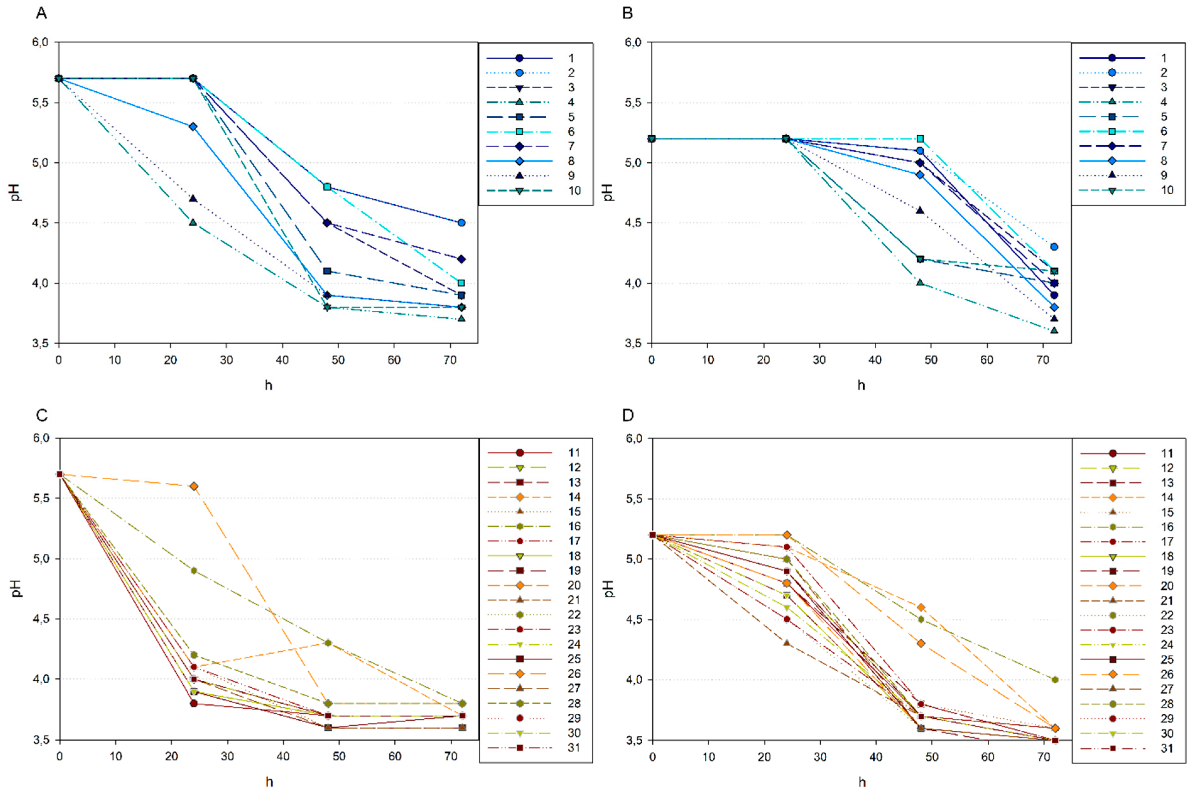
3.2. Step 2 Growth of and Acidification by Different LAB Strains in the Modified Media
3.3. Step 3 In Vitro pH Decrease in Growth Medium and In Situ
3.3.1. Products Containing Homofermentative LAB Species
3.3.2. Products Containing Predominantly Heterofermentative LAB Species
4. Discussion
5. Conclusions
Supplementary Materials
Author Contributions
Funding
Institutional Review Board Statement
Data Availability Statement
Acknowledgments
Conflicts of Interest
Abbreviations
References
- Buxton, D.R.; O’Kiely, P. Preharvest Plant Factors Affecting Ensiling. In Silage Science and Technology; Buxton, D.R., Muck, R.E., Harrison, J.H., Eds.; American Society of Agronomy, Crop Science Society of America, Soil Science Society of America: Madison, WI, USA, 2003; pp. 199–250. [Google Scholar]
- Muck, R.E.; Moser, L.E.; Pitt, R.E. Postharvest Factors Affecting Ensiling. In Silage Science and Technology; Buxton, D.R., Muck, R.E., Harrison, J.H., Eds.; American Society of Agronomy, Crop Science Society of America, Soil Science Society of America: Madison, WI, USA, 2003; pp. 251–304. [Google Scholar]
- DLG e.V. Praxishandbuch Futter—Und Substratkonservierung; DLG-Verlag: Frankfurt, Germany, 2012; p. 416. [Google Scholar]
- Mitrik, T. Ensilage; Wageningen Academic Publishers: Wageningen, The Netherlands, 2021; p. 280. [Google Scholar]
- Wieringa, G.W. The Effect of Wilting on Butyric Acid Fermentation in Silage. Neth. J. Agric. Sci. 1958, 6, 204–210. [Google Scholar] [CrossRef]
- Lanigan, G.W. Silage Bacteriology I. Water Activity and Temperature Relationships of Silage Strains of Lactobacillus plantarum, Lactobacillus brevis, and Pediococcus cerevisiae. Aust. J. Biol. Sci. 1963, 16, 606–615. [Google Scholar] [CrossRef]
- Hoedtke, S. Die Quantifizierung der Osmolalität in Futterpflanzen und ihre Veränderung in verschiedenen Stadien der Silierung. Ph.D. Thesis, University of Rostock, Rostock, Germany, 2008. [Google Scholar]
- Atkins, P.W. Einführung in Die Physikalische Chemie. Ein Lehrbuch Für Alle Naturwissenschaftler; VCH Verlagsgesellschaft: Weinheim, Germany, 1994; p. 472. [Google Scholar]
- Levine, I.N. Physical Chemistry; McGraw-Hill: New York, NY, USA, 2022; p. 989. [Google Scholar]
- Weissbach, F. Beziehungen zwischen Ausgangsmaterial und Gärungsverlauf bei der Grünfuttersilierung. Post-Doctoral Thesis, University of Rostock, Rostock, Germany, 1968. [Google Scholar]
- DLG TestService GmbH. DLG Testing Guidelines for the Award and Use of the DLG Quality Mark for Ensiling Agents; DLG TestService GmbH: Frankfurt, Germany, 2018. [Google Scholar]
- Pieper, B.; Hoedtke, S.; Wensch-Dorendorf, M.; Korn, U.; Wolf, P.; Zeyner, A. Validation of the Rostock Fermentation Test As an in-vitro method to estimate ensilability of forages using glass jar model silages as a basis for comparison. Grass Forage Sci. 2016, 72, 568–580. [Google Scholar] [CrossRef]
- Glaasker, E.; Tjan, F.S.B.; Ter Steeg, P.F.; Konings, W.N.; Poolman, B. Physiological response of Lactobacillus plantarum to salt and nonelectrolyte stress. J. Bacter. 1998, 180, 4718–4723. [Google Scholar] [CrossRef] [PubMed]
- Atlas, R.M. Handbook of Microbiological Media; CRC Press: Boca Raton, FL, USA, 2010; p. 2040. [Google Scholar]
- Beker, M.E.; Vigant, A.K.; Marauska, M.K.; Klintsare, A.A. Osmotic sensitivity of the bacterium Lactobacillus casei var. alactosus. Prikl. Biokhimiia Mikrobiol. 1998, 34, 161–163. [Google Scholar]
- Marauska, M.; Vigants, A.; Klincare, D.; Upite, D.; Kaminska, E.; Bekers, M. Influence of Water Activity and Medium Osmolality on the Growth and Acid Production of Lactobacillus casei var. alactosus. Proc. Latv. Acad. Sci. Sect. B 1996, 50, 144–146. [Google Scholar]
- Schuster, M.; Kolln, K.; Baranowski, A.; Richter, W.I.F.; Spiekers, H. Method and range of applications of the “Rostocker Fermentation Test”. Ubers. Zur Tierernährung 2007, 35, 103–116. [Google Scholar]
- Zierenberg, B. In Vitro Method to Determine the Fermentation Performance of Lactic Acid Bacteria and Their Influence on the Metabolic Activity of Other Microorganisms Relevant for Ensiling Under Varying Fermentation Conditions; University of Rostock: Rostock, Germany, 2000. [Google Scholar]
- Pieper, B.; Müller, T.; Robowsky, K.-D.; Seyfarth, W. Rapid Fermentation Test as a Method for Assessing the Ensiling Potential of Herbage. In Proceedings of the XIth International Silage Conference, Wales, UK, 8–11 September 1996; pp. 120–121. [Google Scholar]
- de Man, J.C.; Rogosa, M.; Sharpe, M.E. A medium for the cultivation of Lactobacilli. J. Appl. Bacteriol. 1960, 23, 130. [Google Scholar] [CrossRef]
- Weissbach, F. Die Bestimmung der Pufferkapazität in Futterpflanzen und ihre Bedeutung für die Beurteilung der Vergärbarkeit. Tagungsbericht 1967, 92, 211–220. [Google Scholar]
- Pahlow, G. Application of a New Concept for the Estimation of the Ensiling Potential of Forages for a Range of Crops. In Proceedings of the XIIIth International Silage Conference, Auchincruive, Scotland, UK, 11–13 September 2002; pp. 361–371. [Google Scholar]
- Baird-Parker, A.C.; Freame, B. Combined effect of water activity, pH and temperature on the growth of Clostridium botulinum from spore and vegetative cell inocula. J. Appl. Bacteriol. 1967, 30, 420–429. [Google Scholar] [CrossRef] [PubMed]
- Rehacek, J.; Sozzi, T.; Studer, P. Effect of water activity on the development of lactic acid bacteria and yeast utilized in the food industry. Milchwissenschaft 1982, 37, 151–154. [Google Scholar]
- Strong, D.H.; Foster, E.F.; Duncan, C.L. Influence of water activity on the growth of Clostridium perfringens. Appl. Microbiol. 1970, 19, 980–987. [Google Scholar] [CrossRef] [PubMed]
- Vinderola, G.; Champagne, C.P.; Desfosses-Foucault, E. The Production of Lactic Acid Bacteria Starters and Probiotic Cultures: An Industrial Perspective. In Lactic Acid Bacteria; CRC Press: Boca Raton, FL, USA, 2019; pp. 317–336. [Google Scholar]
- von Wright, A.; Axelsson, L. Lactic Acid Bacteria. An Introduction. In Lactic Acid Bacteria: Microbiological and Functional Aspects, 5th ed.; Vinderola, G., Ouwehand, A., Salminen, S., von Wright, A., Eds.; CRC Press: Boca Raton, FL, USA, 2019; Chapter 1; pp. 1–16. [Google Scholar]
- Elferink, S.J.W.H.O.; Driehuis, F.; Krooneman, J.; Gottschal, J.C.; Spoelstra, S.F. Lactobacillus buchneri can improve the aerobic stability of silage via a novel fermentation pathway: The anaerobic degradation of lactic acid to acetic acid and 1,2-propanediol. In Proceedings of the XII International Silage Conference, Uppsala, Sweden, 5–7 July 1999; pp. 266–267. [Google Scholar]
- Kleinschmit, D.H.; Kung, L. The effects of Lactobacillus buchneri 40788 and Pediococcus pentosaceus R1094 on the fermentation of corn silage. J. Dairy Sci. 2006, 89, 3999–4004. [Google Scholar] [CrossRef] [PubMed]




| Item | Mean | SEM | Median | Minimum | Maximum |
|---|---|---|---|---|---|
| Sugar (g/kg) | 83.5 | 3.09 | 82.9 | 34.9 | 153 |
| Sodium (g/kg) | 0.34 | 0.039 | 0.20 | 0.05 | 1.80 |
| Potassium (g/kg) | 11.7 | 0.36 | 11.8 | 5.51 | 18.0 |
| Chloride (g/kg) | 2.56 | 0.178 | 2.06 | 0.53 | 6.09 |
| Salts (sum) (g/kg) | 14.6 | 14.1 | 6.09 | 25.8 |
| Level | +Glucose | +Fructose | +KCl |
|---|---|---|---|
| 0 | 0 | 0 | 0 |
| 1 | 10 | 0 | 0 |
| 2 | 10 | 10 | 0 |
| 3 | 10 | 20 | 0 |
| 4 | 10 | 30 | 0 |
| 5 | 10 | 30 | 14 |
| 6 | 10 | 30 | 28 |
| 7 | 30 | 30 | 0 |
| 8 | 30 | 60 | 0 |
| 9 | 30 | 60 | 14 |
| 10 | 30 | 60 | 28 |
| 11 | 60 | 30 | 0 |
| 12 | 60 | 60 | 0 |
| 13 | 60 | 60 | 14 |
| 14 | 60 | 60 | 28 |
| 15 | 80 | 80 | 28 |
| 16 | 100 | 100 | 28 |
| 17 | 110 | 110 | 28 |
| 18 | 120 | 120 | 28 |
| 19 | 130 | 130 | 28 |
| Additive No. | 1 L. buchneri | L. plantarum | E. faecium | P. acidilactici | L. paracasei | L. lactis | L. rhamnosus | P. pentosaceus | 1 L. brevis | 1 L. diolivorans | L. kefir. |
|---|---|---|---|---|---|---|---|---|---|---|---|
| 1 | x | ||||||||||
| 2 | x | ||||||||||
| 3 | x | ||||||||||
| 4 | x | ||||||||||
| 5 * | x | ||||||||||
| 6 | x | ||||||||||
| 7 # | x | ||||||||||
| 8 | x | ||||||||||
| 9 | x | ||||||||||
| 10 | x | x | x | ||||||||
| 11 | x | ||||||||||
| 12 +# | x | x | x | ||||||||
| 13 | x | x | |||||||||
| 14 * | x | ||||||||||
| 15 | x | x | x | ||||||||
| 16 +# | x | x | x | ||||||||
| 17 | x | x | x | ||||||||
| 18 | x | x | x | x | x | ||||||
| 19 | x | x | x | ||||||||
| 20 +# | x | x | x | ||||||||
| 21 | x | x | |||||||||
| 22 +# | x | x | x | ||||||||
| 23 * | x | x | x | x | |||||||
| 24 +# | x | x | |||||||||
| 25 | x | x | x | ||||||||
| 26 | x | x | x | ||||||||
| 27 +# | x | ||||||||||
| 28 | x | x | |||||||||
| 29 | x | ||||||||||
| 30 | x | ||||||||||
| 31 | x |
| 2022 | 2023 | 2022–2023 | ||||
|---|---|---|---|---|---|---|
| Medium/DM Level | DM (g/kg) | pH | DM (g/kg) | pH | DM (g/kg) | pH |
| Standard medium | 4.08 b | 4.19 d | 4.13 c | |||
| Low DM | 336 b | 4.12 b | 343 b | 4.51 c | 339 b | 4.32 c |
| High-sugar medium | 4.72 a | 4.95 b | 4.83 b | |||
| High DM | 472 a | 4.83 a | 533 a | 5.79 a | 503 a | 5.31 a |
| SEM | 0.377 | 0.039 | 0.308 | 0.033 | 0.235 | 0.028 |
| p-value | ||||||
| Medium (DM level) | <0.001 | <0.001 | <0.001 | <0.001 | <0.001 | <0.001 |
| Year | <0.001 | <0.001 | ||||
| Medium × Year | <0.001 | <0.001 |
| Product No. 7 | Mean | SD |
|---|---|---|
| Standard medium | 4.60 b | 0.232 |
| Low DM | 4.64 b | 0.100 |
| High-sugar medium | 4.90 b | 0.232 |
| High DM | 5.67 a | 0.100 |
| p | <0.001 |
Disclaimer/Publisher’s Note: The statements, opinions and data contained in all publications are solely those of the individual author(s) and contributor(s) and not of MDPI and/or the editor(s). MDPI and/or the editor(s) disclaim responsibility for any injury to people or property resulting from any ideas, methods, instructions or products referred to in the content. |
© 2024 by the authors. Licensee MDPI, Basel, Switzerland. This article is an open access article distributed under the terms and conditions of the Creative Commons Attribution (CC BY) license (https://creativecommons.org/licenses/by/4.0/).
Share and Cite
Martens, S.D.; Wagner, W.; Schneider, M.; Hünting, K.; Ohl, S.; Löffler, C. Screening Lactic Acid Bacteria Strains for Their Tolerance to Increased Osmotic Pressure and Their Suitability to Ensile High Dry Matter Forages. Agriculture 2024, 14, 825. https://doi.org/10.3390/agriculture14060825
Martens SD, Wagner W, Schneider M, Hünting K, Ohl S, Löffler C. Screening Lactic Acid Bacteria Strains for Their Tolerance to Increased Osmotic Pressure and Their Suitability to Ensile High Dry Matter Forages. Agriculture. 2024; 14(6):825. https://doi.org/10.3390/agriculture14060825
Chicago/Turabian StyleMartens, Siriwan D., Wolfgang Wagner, Mariana Schneider, Klaus Hünting, Susanne Ohl, and Christof Löffler. 2024. "Screening Lactic Acid Bacteria Strains for Their Tolerance to Increased Osmotic Pressure and Their Suitability to Ensile High Dry Matter Forages" Agriculture 14, no. 6: 825. https://doi.org/10.3390/agriculture14060825
APA StyleMartens, S. D., Wagner, W., Schneider, M., Hünting, K., Ohl, S., & Löffler, C. (2024). Screening Lactic Acid Bacteria Strains for Their Tolerance to Increased Osmotic Pressure and Their Suitability to Ensile High Dry Matter Forages. Agriculture, 14(6), 825. https://doi.org/10.3390/agriculture14060825

