Insight into the Biostimulant Effect of an Aqueous Duckweed Extract on Tomato Plants
Abstract
1. Introduction
2. Materials and Methods
2.1. Preparation of the Aqueous Extract of Duckweed
2.2. Growth Conditions of Tomato Plants and LE Treatments
2.3. Effects of LE on Tomato Photosynthetic Activity
2.4. LE Treatment Effect on Tomato Growth at the Shoot and Root Level
2.5. Leaf Biochemical Analysis (Chlorophyll and Carotenoid Contents, TPC, TFC and Soluble Carbohydrates)
2.6. Statistical Analyses
3. Results
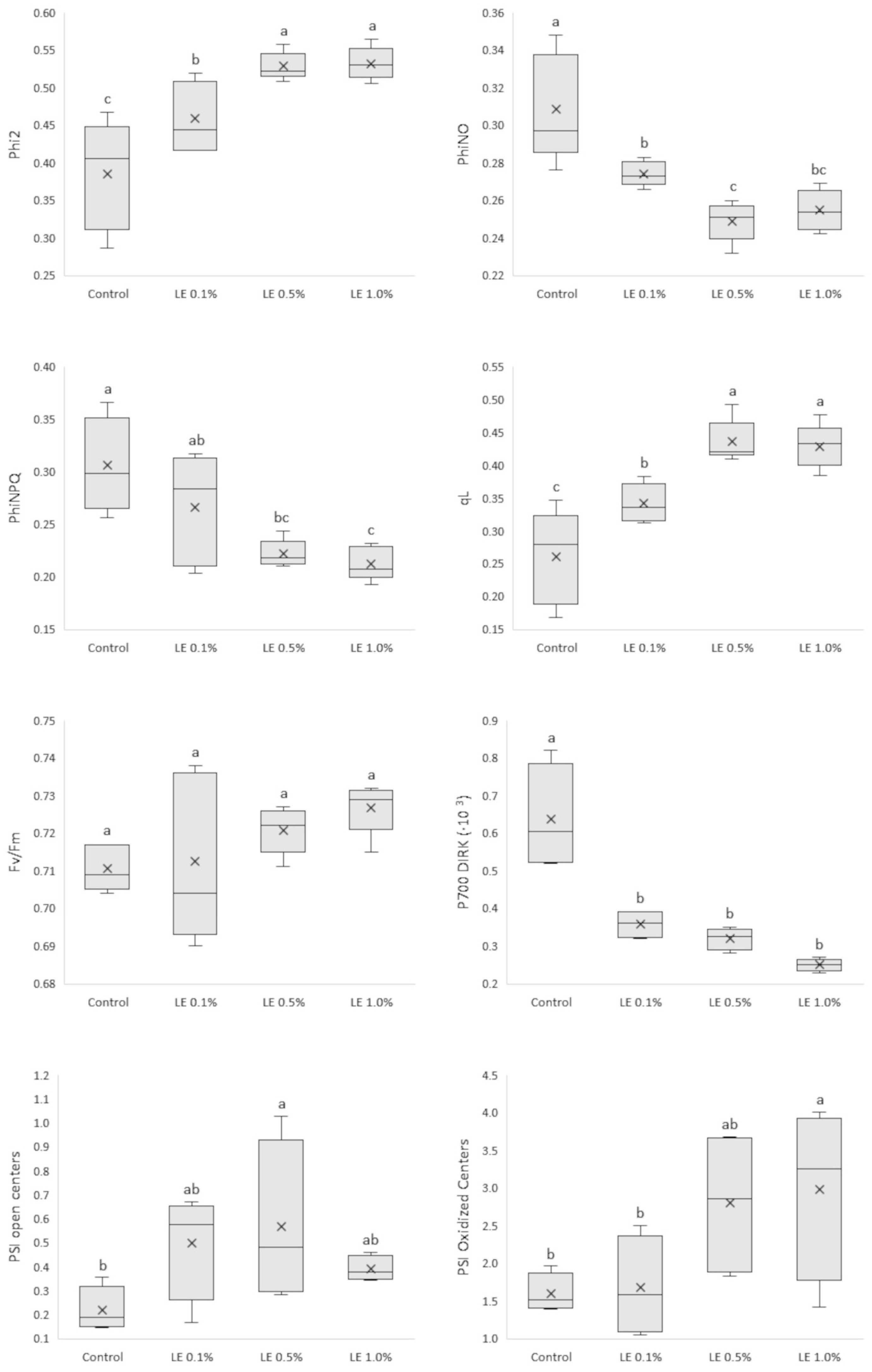
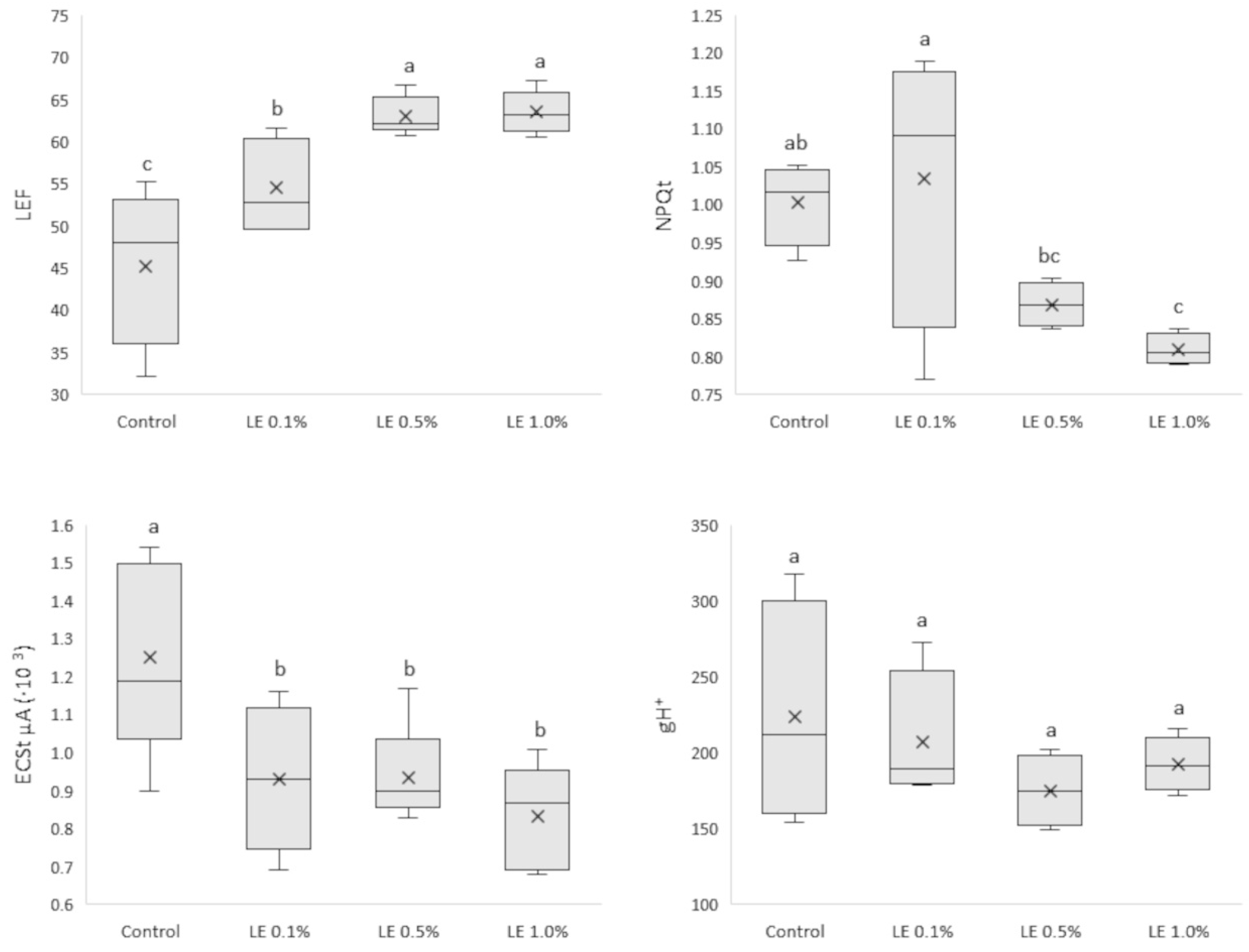
3.1. Effects of LE on Tomato Photosynthetic Activity
3.2. LE Treatment Effect on Tomato Growth at the Shoot and Root Level
3.3. Leaf Biochemical Analysis (Chlorophyll and Carotenoid Contents, TPC, TFC and Soluble Carbohydrates)
4. Discussion
5. Conclusions
Author Contributions
Funding
Institutional Review Board Statement
Data Availability Statement
Conflicts of Interest
References
- Aina, O.; Mugivhisa, L.; Olowoyo, J.; Obi, C.L. Nutritional quality assessment and safety evaluation of food crops. Appl. Ecol. Environ. Res. 2023, 21, 5415–5432. [Google Scholar] [CrossRef]
- Zhang, X.; Yin, J.; Ma, Y.; Peng, Y.; Fenton, O.; Wang, W.; Zhang, W.; Chen, Q. Unlocking the potential of biostimulants derived from organic waste and by-product sources: Improving plant growth and tolerance to abiotic stresses in agriculture. Environ. Technol. Innov. 2024, 34, 103571. [Google Scholar] [CrossRef]
- Chojnacka, K. Sustainable chemistry in adaptive agriculture: A review. Curr. Opin. Green Sustain. Chem. 2024, 46, 100898. [Google Scholar] [CrossRef]
- Van Hoof, B.; Solano, A.; Riaño, J.; Mendez, C.; Medaglia, A.L. Decision-making for circular economy implementation in agri-food systems: A transdisciplinary case study of cacao in Colombia. J. Clean. Prod. 2024, 434, 140307. [Google Scholar] [CrossRef]
- Rouphael, Y.; Colla, G. Editorial: Biostimulants in Agriculture. Front. Plant Sci. 2020, 11, 40. [Google Scholar] [CrossRef] [PubMed]
- Jiang, Y.; Yue, Y.; Wang, Z.; Lu, C.; Yin, Z.; Li, Y.; Ding, X. Plant Biostimulant as an Environmentally Friendly Alternative to Modern Agriculture. J. Agric. Food Chem. 2024, 72, 5107–5121. [Google Scholar] [CrossRef] [PubMed]
- Del Buono, D. Can biostimulants be used to mitigate the effect of anthropogenic climate change on agriculture? It is time to respond. Sci. Total. Environ. 2021, 751, 141763. [Google Scholar] [CrossRef] [PubMed]
- Ciriello, M.; Fusco, G.M.; Woodrow, P.; Carillo, P.; Rouphael, Y. Unravelling the nexus of plant response to non-microbial biostimulants under stress conditions. Plant Stress 2024, 11, 100421. [Google Scholar] [CrossRef]
- Colla, G.; Rouphael, Y.; Canaguier, R.; Svecova, E.; Cardarelli, M. Biostimulant action of a plant-derived protein hydrolysate produced through enzymatic hydrolysis. Front. Plant Sci. 2014, 5, 448. [Google Scholar] [CrossRef]
- Du Jardin, P. Plant biostimulants: Definition, concept, main categories and regulation. Sci. Hortic. 2015, 196, 3–14. [Google Scholar] [CrossRef]
- Del Buono, D.; Bartucca, M.L.; Ballerini, E.; Senizza, B.; Lucini, L.; Trevisan, M. Physiological and Biochemical Effects of an Aqueous Extract of Lemna minor L. as a Potential Biostimulant for Maize. J. Plant Growth Regul. 2021, 41, 3009–3018. [Google Scholar] [CrossRef]
- Heitzman, B.S.; Bueno, G.W.; Camargo, T.R.; Proença, D.C.; Yaekashi, C.T.O.; da Silva, R.M.G.; Machado, L.P. Duckweed application in nature-based system for water phytoremediation and high-value coproducts at family agrisystem from a circular economy perspective. Sci. Total. Environ. 2024, 919, 170714. [Google Scholar] [CrossRef] [PubMed]
- Khan, M.A.; Wani, G.A.; Majid, H.; Farooq, F.U.; Reshi, Z.A.; Husaini, A.M.; Shah, M.A. Differential Bioaccumulation of Select Heavy Metals from Wastewater by Lemna minor. Bull. Environ. Contam. Toxicol. 2020, 105, 777–783. [Google Scholar] [CrossRef]
- Regni, L.; Tolisano, C.; Del Buono, D.; Priolo, D.; Proietti, P. Role of an Aqueous Extract of Duckweed (Lemna minor L.) in Increasing Salt Tolerance in Olea europaea L. Agriculture 2024, 14, 375. [Google Scholar] [CrossRef]
- Regni, L.; Del Buono, D.; Miras-Moreno, B.; Senizza, B.; Lucini, L.; Trevisan, M.; Venturi, D.M.; Costantino, F.; Proietti, P. Biostimulant Effects of an Aqueous Extract of Duckweed (Lemna minor L.) on Physiological and Biochemical Traits in the Olive Tree. Agriculture 2021, 11, 1299. [Google Scholar] [CrossRef]
- Miras-Moreno, B.; Senizza, B.; Regni, L.; Tolisano, C.; Proietti, P.; Trevisan, M.; Lucini, L.; Rouphael, Y.; Del Buono, D. Biochemical Insights into the Ability of Lemna minor L. Extract to Counteract Copper Toxicity in Maize. Plants 2022, 11, 2613. [Google Scholar] [CrossRef]
- Zhang, L.; Rocchetti, G.; Zengin, G.; Del Buono, D.; Trevisan, M.; Lucini, L. The Combination of Untargeted Metabolomics with Response Surface Methodology to Optimize the Functional Potential of Common Duckweed (Lemna minor L.). Antioxidants 2023, 12, 313. [Google Scholar] [CrossRef] [PubMed]
- Vig, A.P.; Rampal, G.; Thind, T.S.; Arora, S. Bio-protective effects of glucosinolates—A review. LWT-Food Sci. Technol. 2009, 42, 1561–1572. [Google Scholar] [CrossRef]
- Tuladhar, P.; Sasidharan, S.; Saudagar, P. Role of Phenols and Polyphenols in Plant Defense Response to Biotic and Abiotic Stresses. In Biocontrol Agents and Secondary Metabolites: Applications and Immunization for Plant Growth and Protection; Woodhead Publishing: Sawston, UK, 2020; pp. 419–441. [Google Scholar]
- Parvin, K.; Nahar, K.; Hasanuzzaman, M.; Bhuyan, M.H.M.B.; Mohsin, S.M.; Fujita, M. Exogenous vanillic acid enhances salt tolerance of tomato: Insight into plant antioxidant defense and glyoxalase systems. Plant Physiol. Biochem. 2020, 150, 109–120. [Google Scholar] [CrossRef]
- Panfili, I.; Bartucca, M.L.; Del Buono, D. The treatment of duckweed with a plant biostimulant or a safener improves the plant capacity to clean water polluted by terbuthylazine. Sci. Total. Environ. 2019, 646, 832–840. [Google Scholar] [CrossRef]
- Kuhlgert, S.; Austic, G.; Zegarac, R.; Osei-Bonsu, I.; Hoh, D.; Chilvers, M.I.; Roth, M.G.; Bi, K.; TerAvest, D.; Weebadde, P.; et al. MultispeQ Beta: A tool for large-scale plant phenotyping connected to the open PhotosynQ network. R. Soc. Open Sci. 2016, 3, 160592. [Google Scholar] [CrossRef] [PubMed]
- Seethepalli, A.; Dhakal, K.; Griffiths, M.; Guo, H.; Freschet, G.T.; York, L.M. RhizoVision Explorer: Open-source software for root image analysis and measurement standardization. AoB Plants 2021, 13, plab056. [Google Scholar] [CrossRef] [PubMed]
- Venkatachalam, P.; Priyanka, N.; Manikandan, K.; Ganeshbabu, I.; Indiraarulselvi, P.; Geetha, N.; Muralikrishna, K.; Bhattacharya, R.; Tiwari, M.; Sharma, N.; et al. Enhanced plant growth promoting role of phycomolecules coated zinc oxide nanoparticles with P supplementation in cotton (Gossypium hirsutum L.). Plant Physiol. Biochem. 2017, 110, 118–127. [Google Scholar] [CrossRef] [PubMed]
- Parađiković, N.; Vinković, T.; Vinković Vrček, I.; Žuntar, I.; Bojić, M.; Medić-Šarić, M. Effect of natural biostimulants on yield and nutritional quality: An example of sweet yellow pepper (Capsicum annuum L.) plants. J. Sci. Food Agric. 2011, 91, 2146–2152. [Google Scholar] [CrossRef]
- Atanassova, M.; Georgieva, S.; Ivancheva, K. Total Phenolic and Total Flavonoid Contents, Antioxidant Capacity and Biological Contaminants in Medicinal Herbs. J. Univ. Chem. Technol. Metall. 2011, 46, 81–88. [Google Scholar]
- Al Murad, M.; Muneer, S. Physiological and Molecular Analysis Revealed the Role of Silicon in Modulating Salinity Stress in Mung Bean. Agriculture 2023, 13, 1493. [Google Scholar] [CrossRef]
- Lenth, R.V. Least-Squares Means: The R Package lsmeans. J. Stat. Softw. 2016, 69, 1–33. [Google Scholar] [CrossRef]
- Kocira, S.; Szparaga, A.; Krawczuk, A.; Bartoš, P.; Zaguła, G.; Plawgo, M.; Černý, P. Plant Material as a Novel Tool in Designing and Formulating Modern Biostimulants—Analysis of Botanical Extract from Linum usitatissimum L. Materials 2021, 14, 6661. [Google Scholar] [CrossRef]
- Rouphael, Y.; Colla, G. Toward a Sustainable Agriculture Through Plant Biostimulants: From Experimental Data to Practical Applications. Agronomy 2020, 10, 1461. [Google Scholar] [CrossRef]
- Nowicka, B.; Ciura, J.; Szymanska, R.; Kruk, J. Improving photosynthesis, plant productivity and abiotic stress tolerance—Current trends and future perspectives. J. Plant Physiol. 2018, 231, 415–433. [Google Scholar] [CrossRef]
- Filho, J.P.d.L.; Paiva, A.S. The effects of sooty mold on photosynthesis and mesophyll structure of mahogany (Swietenia macrophylla King., Meliaceae). Bragantia 2006, 65, 11–17. [Google Scholar] [CrossRef]
- Htwe, T.; Chotikarn, P.; Duangpan, S.; Onthong, J.; Buapet, P.; Sinutok, S. Integrated biomarker responses of rice associated with grain yield in copper-contaminated soil. Environ. Sci. Pollut. Res. 2022, 29, 8947–8956. [Google Scholar] [CrossRef]
- Singh, R.; Upadhyay, A.K.; Singh, D.V.; Singh, J.S.; Singh, D.P. Photosynthetic performance, nutrient status and lipid yield of microalgae Chlorella vulgaris and Chlorococcum humicola under UV-B exposure. Curr. Res. Biotechnol. 2019, 1, 65–77. [Google Scholar] [CrossRef]
- Sacksteder, C.A.; Kramer, D.M. Dark-interval relaxation kinetics (DIRK) of absorbance changes as a quantitative probe of steady-state electron transfer. Photosynth. Res. 2000, 66, 145–158. [Google Scholar] [CrossRef] [PubMed]
- Kanazawa, A.; Ostendorf, E.; Kohzuma, K.; Hoh, D.; Strand, D.D.; Sato-Cruz, M.; Savage, L.; Cruz, J.A.; Fisher, N.; Froehlich, J.E.; et al. Chloroplast ATP Synthase Modulation of the Thylakoid Proton Motive Force: Implications for Photosystem I and Photosystem II Photoprotection. Front. Plant Sci. 2017, 8, 719. [Google Scholar] [CrossRef]
- Müller, P.; Li, X.-P.; Niyogi, K.K. Non-Photochemical Quenching. A Response to Excess Light Energy. Plant Physiol. 2001, 125, 1558–1566. [Google Scholar] [CrossRef] [PubMed]
- Takagi, D.; Miyake, C. Proton gradient regulation 5 supports linear electron flow to oxidize photosystem I. Physiol. Plant. 2018, 164, 337–348. [Google Scholar] [CrossRef] [PubMed]
- Takizawa, K.; Kanazawa, A.; Kramer, D.M. Depletion of stromal Pi induces high ‘energy-dependent’ antenna exciton quenching (qE) by decreasing proton conductivity at CFO-CF1 ATP synthase. Plant Cell Environ. 2008, 31, 235–243. [Google Scholar] [CrossRef] [PubMed]
- Ben-Jabeur, M.; Gracia-Romero, A.; Lopez-Cristoffanini, C.; Vicente, R.; Kthiri, Z.; Kefauver, S.C.; Lopez-Carbonell, M.; Serret, M.D.; Araus, J.L.; Hamada, W. The promising MultispeQ device for tracing the effect of seed coating with biostimulants on growth promotion, photosynthetic state and water-nutrient stress tolerance in durum wheat. Euro-Mediterr. J. Environ. Integr. 2020, 6, 1–11. [Google Scholar] [CrossRef]
- Johnson, R.; Joel, J.M.; Puthur, J.T. Biostimulants: The Futuristic Sustainable Approach for Alleviating Crop Productivity and Abiotic Stress Tolerance. J. Plant Growth Regul. 2023, 43, 659–674. [Google Scholar] [CrossRef]
- Vitale, E.; Velikova, V.; Tsonev, T.; Ferrandino, I.; Capriello, T.; Arena, C. The Interplay between Light Quality and Biostimulant Application Affects the Antioxidant Capacity and Photosynthetic Traits of Soybean (Glycine max L. Merrill). Plants 2021, 10, 861. [Google Scholar] [CrossRef] [PubMed]
- Li, J.; Guan, Y.; Yuan, L.; Hou, J.; Wang, C.; Liu, F.; Yang, Y.; Lu, Z.; Chen, G.; Zhu, S. Effects of exogenous IAA in regulating photosynthetic capacity, carbohydrate metabolism and yield of Zizania latifolia. Sci. Hortic. 2019, 253, 276–285. [Google Scholar] [CrossRef]
- Gülçin, I.; Kireçci, E.; Akkemik, E.; Fevzi, T.; Hisar, O. Antioxidant, antibacterial, and anticandidal activities of an aquatic plant: Duckweed (Lemna minor L. lemnaceae). Turk. J. Biol. 2010, 34, 175–188. [Google Scholar] [CrossRef]
- Szopa, D.; Skrzypczak, D.; Izydorczyk, G.; Chojnacka, K.; Korczynski, M.; Witek-Krowiak, A. Evaluation of Tenebrio molitor protein hydrolysates as biostimulants improving plants growth and root architecture. J. Clean. Prod. 2023, 401, 136812. [Google Scholar] [CrossRef]
- Wise, K.; Selby-Pham, J.; Chai, X.; Simovich, T.; Gupta, S.; Gill, H. Fertiliser supplementation with a biostimulant complex of fish hydrolysate, Aloe vera extract, and kelp alters cannabis root architecture to enhance nutrient uptake. Sci. Hortic. 2024, 323, 112483. [Google Scholar] [CrossRef]
- Zhou, Z.; Struik, P.C.; Gu, J.; van der Putten, P.E.; Wang, Z.; Yin, X.; Yang, J. Enhancing leaf photosynthesis from altered chlorophyll content requires optimal partitioning of nitrogen. Crop Environ. 2023, 2, 24–36. [Google Scholar] [CrossRef]
- Lucini, L.; Rouphael, Y.; Cardarelli, M.; Bonini, P.; Baffi, C.; Colla, G. A Vegetal Biopolymer-Based Biostimulant Promoted Root Growth in Melon While Triggering Brassinosteroids and Stress-Related Compounds. Front. Plant Sci. 2018, 9, 472. [Google Scholar] [CrossRef] [PubMed]
- Rouphael, Y.; Giordano, M.; Cardarelli, M.; Cozzolino, E.; Mori, M.; Kyriacou, M.C.; Bonini, P.; Colla, G. Plant- and Seaweed-Based Extracts Increase Yield but Differentially Modulate Nutritional Quality of Greenhouse Spinach through Biostimulant Action. Agronomy 2018, 8, 126. [Google Scholar] [CrossRef]
- Laoué, J.; Fernandez, C.; Ormeño, E. Plant Flavonoids in Mediterranean Species: A Focus on Flavonols as Protective Metabolites under Climate Stress. Plants 2022, 11, 172. [Google Scholar] [CrossRef]
- Shomali, A.; Das, S.; Arif, N.; Sarraf, M.; Zahra, N.; Yadav, V.; Aliniaeifard, S.; Chauhan, D.K.; Hasanuzzaman, M. Diverse Physiological Roles of Flavonoids in Plant Environmental Stress Responses and Tolerance. Plants 2022, 11, 3158. [Google Scholar] [CrossRef]
- Ullah, A.; Munir, S.; Badshah, S.L.; Khan, N.; Ghani, L.; Poulson, B.G.; Emwas, A.-H.; Jaremko, M. Important Flavonoids and Their Role as a Therapeutic Agent. Molecules 2020, 25, 5243. [Google Scholar] [CrossRef] [PubMed]


| Shoot Height (cm) | Number of Leaves (number) | Leaf Thickness (mm) | Fresh Weight per Plant (g) | Dry Weight per Plant (g) | |
|---|---|---|---|---|---|
| Control | 13.83 ± 0.50 a | 33.5 ± 1.7 c | 0.40 ± 0.07 a | 6.25 ± 0.37 b | 0.84 ± 0.14 b |
| LE 0.1% | 14.65 ± 0.59 a | 38.3 ± 1.7 a | 0.62 ± 0.30 a | 7.13 ± 0.31 a | 1.07 ± 0.06 a |
| LE 0.5% | 14.70 ± 0.59 a | 38.8 ± 0.5 a | 0.53 ± 0.10 a | 7.21 ± 0.14 a | 1.15 ± 0.02 a |
| LE 1.0% | 14.48 ± 1.06 a | 35.8 ± 1.0 b | 0.53 ± 0.14 a | 6.97 ± 0.34 a | 1.02 ± 0.03 a |
| Total Length (cm) | Root Tips (Number) | Diameter (mm) | Surface Area (cm2) | Volume (cm3) | Root Fresh Weight (g) | Root Dry Weight (g) | |
|---|---|---|---|---|---|---|---|
| Control | 5094 ± 792 a | 727 ± 91 c | 0.73 ± 0.07 a | 95 ± 20 b | 2.46 ± 0.66 b | 1.33 ± 0.10 b | 0.25 ± 0.03 b |
| LE 0.1% | 6051 ± 710 a | 994 ± 130 b | 0.69 ± 0.03 a | 132 ± 14 a | 3.46 ± 0.52 ab | 2.93 ± 0.26 a | 0.29 ± 0.02 ab |
| LE 0.5% | 5806 ± 265 a | 1061 ± 65 ab | 0.72 ± 0.06 a | 132 ± 6 a | 3.74 ± 0.39 a | 3.24 ± 0.13 a | 0.32 ± 0.01 a |
| LE 1.0% | 6110 ± 782 a | 1216 ± 89 a | 0.71 ± 0.03 a | 120 ± 6 ab | 3.73 ± 0.86 a | 3.19 ± 0.27 a | 0.30 ± 0.03 ab |
| Chl a (mg g−1 FW) | Chl b (mg g−1 FW) | Carotenoids (mg g−1 FW) | TPC (mg GAE g−1 FW) | TFC (mg CE g−1 FW) | Soluble Carbohydrates (mg g−1 FW) | |
|---|---|---|---|---|---|---|
| Control | 0.99 ± 0.06 c | 0.26 ± 0.03 b | 0.25 ± 0.02 a | 1.95 ± 0.47 a | 1.42 ± 0.14 b | 1.22 ± 0.29 ab |
| LE 0.1% | 1.07 ± 0.06 bc | 0.39 ± 0.05 a | 0.27 ± 0.03 a | 1.79 ± 0.11 a | 1.42 ± 0.10 b | 0.94 ± 0.07 b |
| LE 0.5% | 1.24 ± 0.05 a | 0.44 ± 0.08 a | 0.30 ± 0.02 a | 2.02 ± 0.09 a | 1.64 ± 0.04 a | 1.32 ± 0.24 a |
| LE 1.0% | 1.13 ± 0.05 b | 0.38 ± 0.02 a | 0.30 ± 0.03 a | 1.74 ± 0.08 a | 1.49 ± 0.03 b | 1.07 ± 0.03 ab |
Disclaimer/Publisher’s Note: The statements, opinions and data contained in all publications are solely those of the individual author(s) and contributor(s) and not of MDPI and/or the editor(s). MDPI and/or the editor(s) disclaim responsibility for any injury to people or property resulting from any ideas, methods, instructions or products referred to in the content. |
© 2024 by the authors. Licensee MDPI, Basel, Switzerland. This article is an open access article distributed under the terms and conditions of the Creative Commons Attribution (CC BY) license (https://creativecommons.org/licenses/by/4.0/).
Share and Cite
Priolo, D.; Tolisano, C.; Brienza, M.; Del Buono, D. Insight into the Biostimulant Effect of an Aqueous Duckweed Extract on Tomato Plants. Agriculture 2024, 14, 808. https://doi.org/10.3390/agriculture14060808
Priolo D, Tolisano C, Brienza M, Del Buono D. Insight into the Biostimulant Effect of an Aqueous Duckweed Extract on Tomato Plants. Agriculture. 2024; 14(6):808. https://doi.org/10.3390/agriculture14060808
Chicago/Turabian StylePriolo, Dario, Ciro Tolisano, Monica Brienza, and Daniele Del Buono. 2024. "Insight into the Biostimulant Effect of an Aqueous Duckweed Extract on Tomato Plants" Agriculture 14, no. 6: 808. https://doi.org/10.3390/agriculture14060808
APA StylePriolo, D., Tolisano, C., Brienza, M., & Del Buono, D. (2024). Insight into the Biostimulant Effect of an Aqueous Duckweed Extract on Tomato Plants. Agriculture, 14(6), 808. https://doi.org/10.3390/agriculture14060808

