Rearing of Native Bumblebee Species Bombus haemorrhoidalis for Greenhouse Pollination in Pakistan †
Abstract
1. Introduction
2. Materials and Methods
2.1. The Rearing of Native Bumblebee Species
2.2. Greenhouse Conditions
2.3. The Evaluation of the Pollination Efficiency
2.4. The Statistics of the Flower Visitation Time and Foraging Activity (Flower Visitation Time)
2.5. Qualitative and Quantitative Parameters of Tomato Fruits
3. Results
3.1. The Successful Rearing of the Native Bumblebee Species Bumbus haemorrhoidalis
3.2. Pollination Efficiency of B. haemorrhoidalison and B. terrestis
3.3. Foraging Activities of B. haemorrhoidalis and B. terrestris on Tomato Flowers
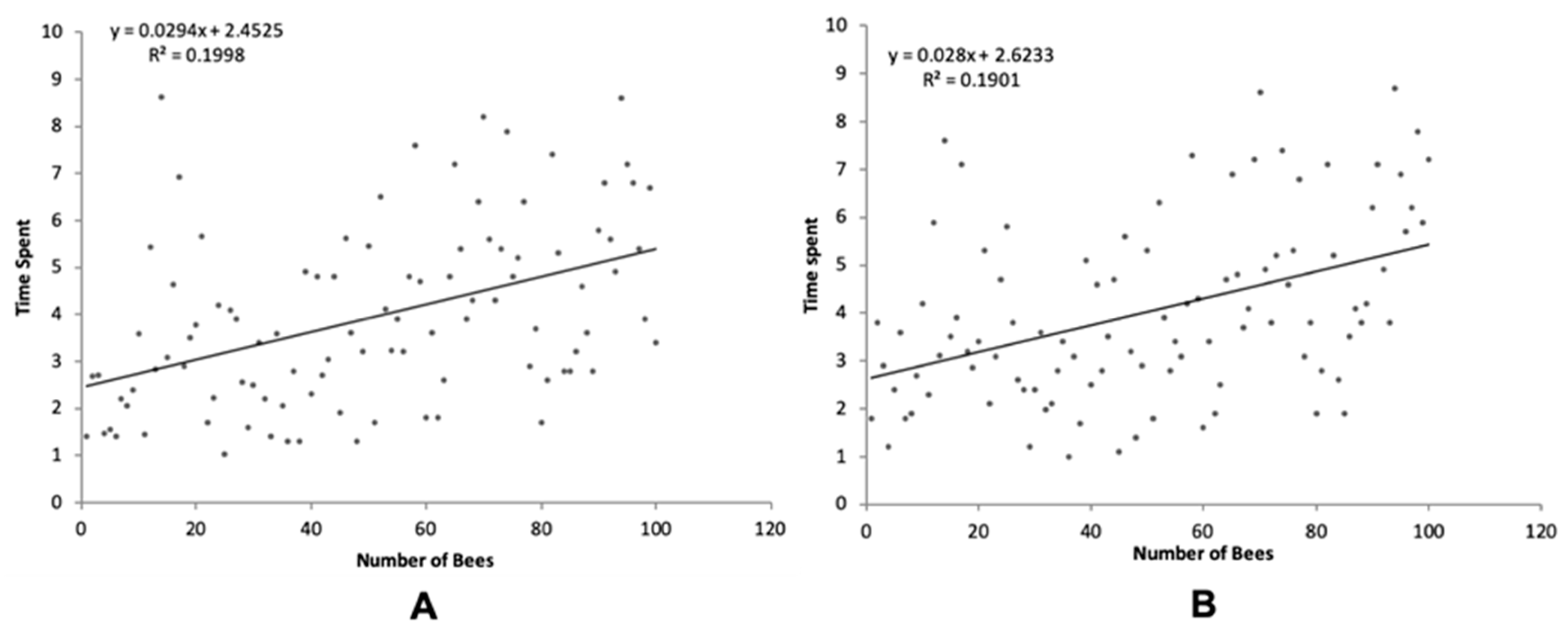
3.4. B. haemorrhoidalis Spends Slightly More Time on Tomato Flower Visitation Than B. terrestris
4. Discussion
5. Conclusions
Author Contributions
Funding
Institutional Review Board Statement
Data Availability Statement
Acknowledgments
Conflicts of Interest
References
- Velthuis, H.H.; Van Doorn, A. A century of advances in bumblebee domestication and the economic and environmental aspects of its commercialization for pollination. Apidologie 2006, 37, 421–451. [Google Scholar] [CrossRef]
- Willmer, P.G.; Bataw, A.A.M.; Hughes, J.P. The superiority of bumblebees to honeybees as pollinators: Insect visits to raspberry flowers. Ecol. Entomol. 1994, 19, 271–284. [Google Scholar] [CrossRef]
- Chandler, D.; Cooper, E.; Prince, G. Are there risks to wild European bumble bees from using commercial stocks of domesticated Bombus terrestris for crop pollination? J. Apic. Res. 2019, 58, 665–681. [Google Scholar] [CrossRef]
- Cameron, S.A.; Hines, H.M.; Williams, P.H. A comprehensive phylogeny of the bumblebees (Bombus). Biol. J. Linn. Soc. 2007, 91, 161–188. [Google Scholar] [CrossRef]
- Winter, K.; Adams, L.; Thorp, R.; Inouye, D.; Day, L.; Ascher, J.; Buchmann, S. Importation of non-native bumblebees into North America: Potential consequences of using Bombus terrestris and other non-native bumblebees for greenhouse crop pollination in Canada, Mexico, and the United States. 2006. Available online: https://www.pollinator.org/pollinator.org/assets/generalFiles/BEEIMPORTATION_AUG2006.pdf (accessed on 25 March 2024).
- Mah, Y.I.; Lee, M.Y.; Bilinski, M. Some Characteristics of Korean Indigenous Bumblebee Species (Hymenoptera; Bombus Ssp.) under Laboratory Conditions. VIII Int. Symp. Pollinat.-Pollinat. Integr. Crops Nativ. Plant Syst. 2000, 561, 287–291. [Google Scholar] [CrossRef]
- Otterstatter, M.C.; Thomson, J.D. Does Pathogen Spillover from Commercially Reared Bumble Bees Threaten Wild Pollinators? PLoS ONE 2008, 3, e2771. [Google Scholar] [CrossRef]
- Saini, M.S.; Raina, R.H.; Khan, Z.H. Species diversity of bumblebees (Hymenoptera: Apidae) from different mountain regions of Kashmir Himalayas. J. Sci. Res. 2012, 4, 263. [Google Scholar] [CrossRef]
- Goka, K.; Okabe, K.; Yoneda, M. Worldwide migration of parasitic mites as a result of bumblebee commercialization. Popul. Ecol. 2006, 48, 285–291. [Google Scholar] [CrossRef]
- Sabir, A.M.; Suhail, A.; Ahmed, S.; Khalid, S. Diversity of bumblebees (Bombini, Apidae: Hymenoptera) in Northern Pakistan. Int. J. Agric. Biol. 2011, 13, 159–166. [Google Scholar]
- Sheikh, U.A.A.; Ahmad, M.; Imran, M.; Nasir, M.; Saeed, S.; Bodlah, I. Distribution of bumblebee, Bombus haemorrhoidalis Smith, and its association with flora in lower Northern Pakistan. Pak. J. Zool 2014, 46, 1045–1051. [Google Scholar]
- Dogterom, M.H.; Matteoni, J.A.; Plowright, R.C. Pollination of greenhouse tomatoes by the North American Bombus vosnesenskii (Hymenoptera: Apidae). J. Econ. Entomol. 1998, 91, 71–75. [Google Scholar] [CrossRef]
- Kwon, Y.J.; Saeed, S. Effect of temperature on the foraging activity of Bombus terrestris L. (Hymenoptera: Apidae) on greenhouse hot pepper (Capsicum annuum L.). Appl. Entomol. Zool. 2003, 38, 275–280. [Google Scholar] [CrossRef]
- Sun, S.G.; Huang, S.Q.; Guo, Y.H. Pollinator shift to managed honeybees enhances reproductive output in a bumblebee-pollinated plant. Plant Syst. Evol. 2013, 299, 139–150. [Google Scholar] [CrossRef]
- Morandin, L.A.; Laverty, T.M.; Kevan, P.G. Bumble bee (Hymenoptera: Apidae) activity and pollination levels in commercial tomato greenhouses. J. Econ. Entomol. 2001, 94, 462–467. [Google Scholar] [CrossRef] [PubMed]
- Ozols, N.; Gailis, J.; Jakobija, I.; Jaško, J.; Zagorska, V. Bumblebee pollination activity in a commercial tomato greenhouse during the winter season. Rural. Sustain. Res. 2022, 48, 45–53. [Google Scholar] [CrossRef]
- Corbet, S.A. Role of pollinators in species preservation, conservation, ecosystem stability and genetic diversity. VII Int. Symp. Pollinat. 1996, 437, 219–230. [Google Scholar] [CrossRef]
- Dramstad, W.E.; Fry, G.L.; Schaffer, M.J. Bumblebee foraging is closer really better? Agric. Ecosyst. Environ. 2003, 95, 349–357. [Google Scholar] [CrossRef]
- Vergara, C.H.; Fonseca-Buendía, P. Pollination of greenhouse tomatoes by the Mexican bumblebee Bombus ephippiatus (Hymenoptera: Apidae). J. Pollinat. Ecol. 2012, 7, 27–30. [Google Scholar] [CrossRef]
- Zhang, H.; Zhou, Z.; Huang, J.; Yuan, X.; Ding, G.; An, J. Queen traits and colony size of four bumblebee species of China. Insects Soc. 2018, 65, 537–547. [Google Scholar] [CrossRef]
- Zhang, H.; Zhou, Z.; An, J. Pollen release dynamics and daily patterns of pollen-collecting activity of honeybee Apis mellifera and bumblebee Bombus lantschouensis in solar greenhouse. Insects 2019, 10, 216. [Google Scholar] [CrossRef]
- Whiteman, L.B. Bumble Bee Pathogen Prevalence Determined by Host Species. Master’s Thesis, The Ohio State University, Columbus, OH, USA, 2023. [Google Scholar]
- Sasso, R.; Iodice, L.; Woodcock, C.M.; Pickett, J.A.; Guerrieri, E. Electrophysiological and behavioural responses of Aphidius ervi (Hymenoptera: Braconidae) to tomato plant volatiles. Chemoecology 2009, 19, 195–201. [Google Scholar] [CrossRef]
- Figueroa, L.; Sadd, B.; Tripodi, A.; Strange, J.; Colla, S.; Adams, L.; Duennes, M.; Evans, E.; Lehmann, D.; Moylett, H.; et al. Endosymbionts that threaten commercially raised and wild bumble bees (Bombus spp.). J. Pollinat. Ecol. 2023, 33, 14–36. [Google Scholar] [CrossRef]
- Rowe, G.; Hagadorn, M.A.; Lindsay, T.T.T.; Malfi, R.; Williams, N.M.; Strange, J.P. Production of bumblebees (Hymenoptera: Apidae) for pollination and research. In Mass Production of Beneficial Organisms; Academic Press: Cambridge, MA, USA, 2023; pp. 559–579. [Google Scholar]
- Eakins, J.; Lynch, M.; Carolan, J.C.; Rowan, N.J. Studies on the novel effects of electron beam treated pollen on colony reproductive output in commercially-reared bumblebees (Bombus terrestris) for mass pollination applications. Sci. Total Environ. 2023, 899, 165614. [Google Scholar] [CrossRef] [PubMed]
- Christman, M.E.; Spears, L.R.; Koch, J.B.; Lindsay, T.T.T.; Strange, J.P.; Barnes, C.L.; Ramirez, R.A. Captive rearing success and critical thermal maxima of Bombus griseocollis (Hymenoptera: Apidae): A candidate for commercialization? J. Insect Sci. 2022, 22, 2. [Google Scholar] [CrossRef] [PubMed]
- Evans, E.; Strange, J.; Sadd, B.; Tripodi, A.; Figueroa, L.; Adams, L.; Colla, S.; Duennes, M.; Lehmann, D.; Moylett, H.; et al. Parasites, parasitoids, and hive products that are potentially deleterious to wild and commercially raised bumble bees (Bombus spp.) in North America. J. Pollinat. Ecol. 2023, 33, 37–53. [Google Scholar] [CrossRef]
- Lohrmann, J.; Cecchetto, N.R.; Aizen, N.; Arbetman, M.P.; Zattara, E.E. When bio is not green: The impacts of bumblebee translocation and invasion on native ecosystems. CABI Rev. 2022. [Google Scholar] [CrossRef]
- Meeus, I.; Brown, M.J.; De Graaf, D.C.; Smagghe, G.U.Y. Effects of invasive parasites on bumble bee declines. Conserv. Biol. 2011, 25, 662–671. [Google Scholar] [CrossRef]



| Characters | Self-Pollination | Manual Pollination | B. haemorrhoidalis Pollination | B. terrestris Pollination | p-Value |
|---|---|---|---|---|---|
| Weight (g) | 16.76 ± 2.33 c | 79.677± 9.12 b | 111.0 ± 2.05 a | 116.9 ± 2.01 a | <0.001 |
| Seed (number) | 12.8 ± 2.15 c | 88.59 ± 5.41 b | 132.5 ± 2.29 a | 129.3 ± 2.02 a | <0.001 |
| Height (mm) | 16.93 ± 1.75 c | 43.66 ± 1.86 b | 55.36 ± 0.43 a | 54.3 ± 0.46 a | <0.001 |
| Diameter (mm) | 19.7 ± 1.95 c | 47.68 ± 2.09 b | 58.73 ± 0.37 a | 57.33 ± 0.36 a | <0.001 |
| Roundness | 3.92 ± 0.094 a | 2.21 ± 0.44 b | 1.18 ± 0.11 c | 1.14 ± 0.11 c | <0.001 |
| Weeks | B. haemorrhoidalis | B. terrestris | ||||
|---|---|---|---|---|---|---|
| 08:00–09:00 am | 11:00–12:00 am | 05:00–06:00 pm | 08:00–09:00 am | 11:00–12:00 am | 05:00–06:00 pm | |
| 1st | 4.75 a | 3.25 bc | 1.500 de | 5.50 a | 3.50 b | 1.50 cd |
| 4th | 4.25 ab | 3.25 bc | 1.00 e | 3.25 b | 2.25 bc | 0.05 ef |
| 7th | 1.50 cd | 1.00 e | 0.25 e | 1.25 de | 0.75 ef | 0.0 |
| Weeks | B. haemorrhoidalis | B. terrestris | ||||
|---|---|---|---|---|---|---|
| 08:00–09:00 am | 11:00–12:00 am | 05:00–06:00 pm | 08:00–09:00 am | 11:00–12:00 am | 05:00–06:00 pm | |
| 1st | 6.00 a | 3.00 b | 1.00 cd | 6.00 a | 2.75 bc | 0.50 de |
| 4th | 5.50 a | 2.25 bc | 0.25 d | 4.25 b | 2.00 cd | 1.00 de |
| 7th | 1.00 bc | 0.75 cd | 0.25 d | 1.25 cd | 0.75 de | 0.00 e |
Disclaimer/Publisher’s Note: The statements, opinions and data contained in all publications are solely those of the individual author(s) and contributor(s) and not of MDPI and/or the editor(s). MDPI and/or the editor(s) disclaim responsibility for any injury to people or property resulting from any ideas, methods, instructions or products referred to in the content. |
© 2024 by the authors. Licensee MDPI, Basel, Switzerland. This article is an open access article distributed under the terms and conditions of the Creative Commons Attribution (CC BY) license (https://creativecommons.org/licenses/by/4.0/).
Share and Cite
Sheikh, U.A.A.; Ahmad, M.; Aziz, M.A.; Imran, M.; Rahim, J.; Roulston, T.; Guo, S.; Sun, C. Rearing of Native Bumblebee Species Bombus haemorrhoidalis for Greenhouse Pollination in Pakistan. Agriculture 2024, 14, 590. https://doi.org/10.3390/agriculture14040590
Sheikh UAA, Ahmad M, Aziz MA, Imran M, Rahim J, Roulston T, Guo S, Sun C. Rearing of Native Bumblebee Species Bombus haemorrhoidalis for Greenhouse Pollination in Pakistan. Agriculture. 2024; 14(4):590. https://doi.org/10.3390/agriculture14040590
Chicago/Turabian StyleSheikh, Umer Ayyaz Aslam, Munir Ahmad, Muhammad Asif Aziz, Muhammad Imran, Junaid Rahim, T’ai Roulston, Shengnan Guo, and Cheng Sun. 2024. "Rearing of Native Bumblebee Species Bombus haemorrhoidalis for Greenhouse Pollination in Pakistan" Agriculture 14, no. 4: 590. https://doi.org/10.3390/agriculture14040590
APA StyleSheikh, U. A. A., Ahmad, M., Aziz, M. A., Imran, M., Rahim, J., Roulston, T., Guo, S., & Sun, C. (2024). Rearing of Native Bumblebee Species Bombus haemorrhoidalis for Greenhouse Pollination in Pakistan. Agriculture, 14(4), 590. https://doi.org/10.3390/agriculture14040590

