Drying Characteristics of Moutan Cortex by Rotary Wheel Microwave Vacuum Drying and Its Influence on Quality
Abstract
1. Introduction
2. Materials and Methods
2.1. Experimental Materials
2.2. Chemicals and Instruments and Equipment
2.3. Drying Methods
2.4. Calculation of Drying Parameters
2.4.1. Dry Basis Moisture Content
2.4.2. Moisture Ratio
2.4.3. Drying Rate
2.5. Moisture Content Prediction Based on NGO-BP Neural Network
2.6. Quality Indicators
2.6.1. Color
2.6.2. Microstructure Analysis
2.6.3. Preparation of Sample Extracts
2.6.4. Polysaccharides Content
2.6.5. Total Phenolic Content
2.6.6. Total Flavonoid Content
2.6.7. Antioxidant Activity DPPH
2.6.8. Determination of Effective Constituent
3. Results
3.1. Drying Characteristics
3.2. Moisture Content Prediction Based on NGO-BP Model
3.3. Influence of Quality
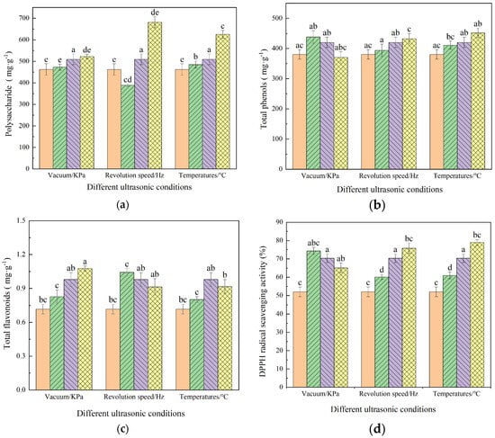
3.3.1. Effect on Polysaccharide Content
3.3.2. Effect on Total Phenolic Content (TPC)
3.3.3. Influence on Total Flavonoid Content (TFC)
3.3.4. Effect on Antioxidant Capacity (DPPH)
3.4. Content of Natural Active Ingredients
3.5. Color Difference Analysis
3.6. Microstructural Analysis
4. Conclusions
Author Contributions
Funding
Institutional Review Board Statement
Data Availability Statement
Acknowledgments
Conflicts of Interest
References
- National Pharmacopoeia Committee. Chinese Pharmacopoeia; China Pharmaceutical Science and Technology Press: Beijing, China, 2020. [Google Scholar]
- Zhao, Q.; Bian, X.; Qian, D.; Zhang, L.; Chen, F.; Guo, S.; Yan, H.; Wang, T.; Zhao, J.; Duan, J. The effects of different drying methods on the chemical constituents of Moutan Cortex. Chin. Mod. Med. 2020, 22, 74–79+102. [Google Scholar]
- Ali, A.; Oon, C.C.; Chua, B.L.; Figiel, A.; Chong, C.H.; Wojdylo, A.; Turkiewicz, I.P.; Szumny, A.; Łyczko, J. Volatile and polyphenol composition, anti-oxidant, anti-diabetic and anti-aging properties, and drying kinetics as affected by convective and hybrid vacuum microwave drying of Rosmarinus officinalis L. Ind. Crops Prod. 2020, 151, 112463. [Google Scholar] [CrossRef]
- Bassey, E.J.; Cheng, J.H.; Sun, D.W. Improving drying kinetics, physicochemical properties and bioactive compounds of red dragon fruit (Hylocereus species) by novel infrared drying. Food Chem. 2022, 375, 131886. [Google Scholar] [CrossRef] [PubMed]
- Ando, Y.; Nei, D. Effects of different pre-freezing methods and pressure levels on the pore structure and mechanical properties of microwave-vacuum dried apple. J. Food Eng. 2024, 369, 111944. [Google Scholar] [CrossRef]
- Jiang, N.; Liu, C.; Li, D.; Zhang, Z.; Liu, C.; Wang, D.I.; Niu, L.; Zhang, M. Evaluation of freeze drying combined with microwave vacuum drying for functional okra snacks: Antioxidant properties, sensory quality, and energy consumption. LWT-Food Sci. Technol. 2017, 82, 216–226. [Google Scholar] [CrossRef]
- Feng, H.; Yin, Y.; Tang, J. Microwave drying of food and agricultural materials: Basics and heat and mass transfer modeling. Food Eng. Rev. 2012, 2, 89–106. [Google Scholar] [CrossRef]
- He, R.; Niu, L.; Li, D.; Zhang, Z.; Tang, D.; Liu, C.; Xiao, Y.; Xiao, L. Effects of vacuum microwave drying on the quality of preserved strawberries. Food Ind. Technol. 2024, 1–14. [Google Scholar] [CrossRef]
- Chandrasekaran, S.; Ramanathan, S.; Basak, T. Microwave food processing—A review. Food Res. Int. 2013, 52, 243–261. [Google Scholar] [CrossRef]
- Nong, Y. Research on Microwave Drying Characteristics and Process Optimization of Fresh Ginger Slices; Yunnan Normal University: Yunnan, China, 2023. [Google Scholar]
- Shen, L.; Gao, M.; Zhu, Y.; Liu, C.; Wang, L.; Kamruzzaman, M.; Liu, C.; Zheng, X. Microwave drying of germinated brown rice: Correlation of drying characteristics with the final quality. Innov. Food Sci. Emerg. Technol. 2021, 70, 102673. [Google Scholar] [CrossRef]
- Huang, X.; Li, W.; Wang, Y.; Wan, F. Drying characteristics and quality of Stevia rebaudiana leaves by far-infrared radiation. LWT-Food Sci. Technol. 2021, 140, 110638. [Google Scholar] [CrossRef]
- Man, Y.; Tong, J. Numerical analysis of intermittent microwave drying based on porous medium for sweet potato chips. Food Ferment. Work 2024, 50, 157–164. [Google Scholar]
- Borah, M.S.; Raj, G.B.; Tiwari, A.; Dash, K.K. Effect of intermittent microwave convective drying on quality characteristics of persimmon fruit. J. Agric. Food Res. 2023, 14, 100816. [Google Scholar] [CrossRef]
- Zang, Z.; Huang, X.; He, C.; Zhang, Q.; Jiang, C.; Wan, F. Improving Drying Characteristics and Physicochemical Quality of Angelica sinensis by Novel Tray Rotation Microwave Vacuum Drying. Foods 2023, 12, 1202. [Google Scholar] [CrossRef] [PubMed]
- Shang, J.; Zhang, Q.; Wang, T.; Xu, Y.; Zang, Z.; Wan, F.; Yue, Y.; Huang, X. Effect of Ultrasonic Pretreatment on the Far-Infrared Drying Process and Quality Characteristics of Licorice. Foods 2023, 12, 2414. [Google Scholar] [CrossRef] [PubMed]
- Tao, Y.; Wang, P.; Wang, Y.; Kadam, S.U.; Han, Y.; Wang, J.; Zhou, J. Power ultra-sound as a pretreatment to convective drying of mulberry (Morus alba L.) leaves: Impact on drying kinetics and selected quality properties. Ultrason. Sonochem. 2016, 31, 310–318. [Google Scholar] [CrossRef] [PubMed]
- Fu, X.; Zhu, L.; Huang, J.; Wang, J.; ARYSTANRyspayev. Multi-threshold image segmentation based on improved northern eagle optimization algorithm. Comput. Eng. 2023, 49, 232–241. [Google Scholar]
- Yang, J.; Zhang, L.; Liu, G.; Gao, Q.; Qian, L. Sintered silicon carbide grinding surface roughness prediction based on deep learning and neural network. J. Braz. Soc. Mech. Sci. Eng. 2022, 44, 287. [Google Scholar] [CrossRef]
- Ning, X.; Lee, J.; Han, C. Drying characteristics and quality of red ginseng using far-infrared rays. J. Ginseng Res. 2015, 39, 371–375. [Google Scholar] [CrossRef]
- Zang, Z.; Zhang, Q.; Huang, X.; Jiang, C.; He, C.; Wan, F. Effect of Ultrasonic Combined with Vacuum Far-infrared on the Drying Characteristics and Physicochemical Quality of Angelica sinensis. Food Bioprocess Technol. 2023, 16, 2455–2470. [Google Scholar] [CrossRef]
- Wang, Y.; Li, J.; Xuan, L.; Liu, Y.; Shao, L.; Ge, H.; Gu, J.; Wei, C.; Zhao, M. Astragalus Root dry extract restores connexin43 expression by targeting miR-1 in viral myocarditis. Phytomedicine 2018, 46, 32–38. [Google Scholar] [CrossRef]
- Shi, X.; Yang, Y.; Li, Z.; Wang, X.; Liu, Y. Moisture transfer and microstructure change of banana slices during contact ultrasound strengthened far-infrared radiation drying. Innov. Food Sci. Emerg. Technol. 2020, 66, 102537. [Google Scholar] [CrossRef]
- Chen, P. Prediction of Moisture Content of Beef Microwave drying Based on SA-PSO-BP Neural Network; Ningxia University: Yinchuan, China, 2022. [Google Scholar]
- Wang, T.; Ying, X.; Zhang, Q.; Xu, Y.; Jiang, C.; Shang, J.; Zang, Z.; Wan, F.; Huang, X. Drying kinetics prediction and quality effect of ultrasonic synergy vacuum far-infrared drying of Codonopsis pilosula. J. Food Sci. 2023, 89, 966–981. [Google Scholar] [CrossRef] [PubMed]
- Qing, G.; Xu, J.; Miao, Y.; Zhang, Y.; Zhao, L.; Cheng, C.; Wu, Q.; Wu, J. Microwave vacuum drying characteristics study of Lycium barbarum polysaccharide extract and its quality analysis. Food Ind. Technol. 2023, 44, 222–229. [Google Scholar]
- Zhang, L.; Zhang, M.; Mujumdar, A.S. Development of flavor during drying and applications of edible mushrooms: A review. Dry. Technol. 2021, 39, 1685–1703. [Google Scholar] [CrossRef]
- Xin, M.; Zhang, E.; Li, N.; Huang, Z.; Su, Y.; Huang, M.; He, Q. Effects of different drying processes on polysaccharide and dendrobine of Dendrobium officinale. J. South. Agric. 2013, 44, 1347–1350. [Google Scholar]
- Chen, M.; Yang, D.; Liu, S. Effects of drying temperature on the flavonoid, phenolic acid and antioxidative capacities of the methanol extract of citrus fruit (Citrus sinensis (L.) Osbeck) peels. Int. J. Food Sci. Technol. 2011, 46, 1179–1185. [Google Scholar] [CrossRef]
- Li, W.; Wang, X.; Zhang, J.; Zhao, X.; Wu, Y.; Tan, S.; Zheng, Q.; Gao, X. Multivariate Analysis Illuminates the Effects of Vacuum Drying on the Extractable and Nonextractable Polyphenols Profile of Loquat Fruit. J. Food Sci. 2019, 84, 726–737. [Google Scholar] [CrossRef] [PubMed]
- Domínguez-Rodríguez, G.; Marina, M.L.; Plaza, M. Strategies for the extraction and analysis of non-extractable polyphenols from plants. J. Chromatogr. A 2017, 1514, 1–15. [Google Scholar] [CrossRef]
- Wu, J. Study on Microwave Vacuum Drying Control and Quality of Raspberry; Jiangnan University: Wuxi, China, 2023. [Google Scholar]
- Kyi, T.M.; Daud, W.R.W.; Mohammad, A.B.; Wahid Samsudin, M.; Kadhum, A.A.H.; Talib, M.Z.M. The kinetics of polyphenol degradation during the drying of Malaysian cocoa beans. Int. J. Food Sci. Technol. 2005, 40, 323–331. [Google Scholar] [CrossRef]
- Fan, T.; Dou, Z.; Li, J.; Ying, L.; Liu, L.; Liu, Y. Research progress on the effects of different drying methods on the components of traditional Chinese medicine. Chin. Mod. Med. 2021, 23, 2017–2024. [Google Scholar]
- Li, X.; Lin, X.; Sun, X.; Zhao, H.; Wei, X. Comparison of total flavonoids content in eucommia ulmoides products with different ‘sweating’ processing methods. Shi Zhenguo Med. 2019, 30, 597–599. [Google Scholar]
- Yildiz, G.; İzli, G. Influence of microwave and microwave-convective drying on the drying kinetics and quality characteristics of pomelo. J. Food Process. Preserv. 2019, 43, e13812. [Google Scholar] [CrossRef]
- Novaković, M.M.; Stevanović, S.M.; Gorjanović, S.Ž.; Jovanovic, P.M.; Tešević, V.V.; Janković, M.A.; Sužnjević, D.Ž. Changes of hydrogen peroxide and radical-scavenging activity of raspberry during osmotic, convective, and freeze-drying. J. Food Sci. 2011, 76, C663–C668. [Google Scholar] [CrossRef] [PubMed]
- Qian, Z.; Wan, F.; Yue, Y.; Zang, Z.; Xu, Y.; Jiang, C.; Shang, J.; Wang, T.; Huang, X. Study on Ultrasonic Far-Infrared Radiation Drying and Quality Characteristics of Wolfberry (Lycium barbarum L.) under Different Pretreatments. Molecules 2023, 28, 1732. [Google Scholar] [CrossRef] [PubMed]
- Wang, T.; Ying, X.; Zhang, Q.; Xu, Y.; Jiang, C.; Shang, J.; Zang, Z.; Wan, F.; Huang, X. Evaluation of the Effect of Ultrasonic Pretreatment on the Drying Kinetics and Quality Characteristics of Codonopsis pilosula Slices Based on the Grey Correlation Method. Molecules 2023, 28, 5596. [Google Scholar] [CrossRef]
- Wei, L.; An, K.; Tang, D.; Bu, Z.; Wang, Z. Optimization of intermittent vacuum microwave drying process of ginger. Food Sci. Technol. 2019, 44, 116–122. [Google Scholar]




), −60 kPa (
), −65 kPa (
), −70 kPa (
); natural drying (
), 20 Hz (
), 35 Hz (
), 50 Hz (
); natural drying (
), 40 °C (
), 45 °C (
), 50 °C (
). The vertical bars indicate the standard deviation from the mean. The letters reveal significant differences (p < 0.05) according to the Duncan test.
), −60 kPa (
), −65 kPa (
), −70 kPa (
); natural drying (
), 20 Hz (
), 35 Hz (
), 50 Hz (
); natural drying (
), 40 °C (
), 45 °C (
), 50 °C (
). The vertical bars indicate the standard deviation from the mean. The letters reveal significant differences (p < 0.05) according to the Duncan test.

| Experimental Number | Drying Temperature | The Rotor Speed | Vacuum Degree |
|---|---|---|---|
| 1 | 45 °C | 35 Hz | −60 kPa |
| 2 | 45 °C | 35 Hz | −65 kPa |
| 3 | 45 °C | 35 Hz | −70 kPa |
| 4 | 45 °C | 20 Hz | −65 kPa |
| 5 | 45 °C | 50 Hz | −65 kPa |
| 6 | 40 °C | 35 Hz | −65 kPa |
| 7 | 50 °C | 35 Hz | −65 kPa |
| Drying Conditions | Gallic Acid | Paeoniflorin | Benzoylpaeoniflorin | Paeonol |
|---|---|---|---|---|
| Natural drying | 2.192 ± 0.291 bc | 2.192 ± 0.049 bc | 0.852 ± 0.089 ab | 1.583 ± 0.018 c |
| 40 °C–35 Hz–−65 KPa | 3.051 ± 0.192 ab | 2.689 ± 0.107 ab | 0.846 ± 0.037 ab | 2.468 ± 0.034 ab |
| 45 °C–35 Hz–−65 KPa | 3.196 ± 0.098 a | 3.069 ± 0.095 a | 0.914 ± 0.077 a | 2.577 ± 0.019 a |
| 50 °C–35 Hz–−65 KPa | 3.100 ± 0.154 ab | 3.056 ± 0.114 a | 0.735 ± 0.045 b | 2.100 ± 0.026 b |
| 45 °C–20 Hz–−65 KPa | 2.554 ± 0.149 a | 2.616 ± 0.124 ab | 0.809 ± 0.041 ab | 2.531 ± 0.015 a |
| 45 °C–50 Hz–−65 KPa | 2.009 ± 0.079 bc | 3.069 ± 0.139 a | 0.897 ± 0.038 ab | 2.424 ± 0.033 ab |
| 45 °C–35 Hz–−60 KPa | 2.410 ± 0.031 a | 2.355 ± 0.131 b | 0.786 ± 0.034 b | 2.374 ± 0.025 b |
| 45 °C–35 Hz–−70 Kpa | 2.375 ± 0.105 a | 2.466 ± 0.079 b | 0.857 ± 0.029 ab | 2.038 ± 0.014 bc |
| Different Microwave Drying Conditions | L* | a* | b* | △E | H0 | C | |
|---|---|---|---|---|---|---|---|
| Fresh Sample | 55.08 ± 1.12 c | 5.5 ± 0.25 a | 16.3 ± 0.56 a | / | −5.56 ± 0.34 a | 17.20 ± 0.63 a | |
| −65 kPa 35 Hz | 40 °C | 76.33 ± 1.08 a | 2.31 ± 0.07 c | 10.31 ± 0.12 c | 7.10 ± 1.06 c | 0.25 ± 0.41 c | 10.57 ± 0.64 bc |
| 45 °C | 75.46 ± 0.39 a | 2.42 ± 0.15 c | 10.49 ± 0.38 bc | 7.79 ± 0.43 c | 0.40 ± 0.53 bc | 10.77 ± 0.31 c | |
| 50 °C | 74.74 ± 0.57 b | 2.63 ± 0.16 bc | 10.87 ± 0.38 bc | 8.55 ± 0.57 c | 0.65 ± 0.39 bc | 11.18 ± 0.59 b | |
| −65 kPa 45 °C | 20 Hz | 72.49 ± 1.49 b | 2.21 ± 0.38 c | 11.10 ± 0.42 abc | 10.19 ± 1.46 b | −0.32 ± 0.52 abc | 11.32 ± 0.42 ab |
| 35 Hz | 75.46 ± 0.39 a | 2.42 ± 0.15 c | 10.49 ± 0.38 bc | 7.79 ± 0.43 c | 0.40 ± 0.53 bc | 10.77 ± 0.31 c | |
| 50 Hz | 72.03 ± 0.37 b | 2.45 ± 0.03 c | 11.46 ± 0.37 bc | 12.00 ± 0.39 a | 0.03 ± 0.47 abc | 11.72 ± 0.25 bc | |
| 45 °C 35 Hz | −60 kPa | 73.98 ± 1.22 b | 2.34 ± 0.15 c | 10.84 ± 0.32 bc | 10.25 ± 1.21 b | 0.08 ± 0.37 ab | 11.09 ± 0.77 bc |
| −65 kPa | 75.46 ± 0.39 a | 2.42 ± 0.15 c | 10.49 ± 0.38 bc | 7.79 ± 0.43 c | 0.40 ± 0.53 bc | 10.77 ± 0.31 c | |
| −70 kPa | 72.12 ± 1.30 b | 3.00 ± 0.34 b | 11.55 ± 0.86 bc | 11.97 ± 1.27 a | 1.17 ± 0.67 abc | 11.93 ± 0.95 a | |
Disclaimer/Publisher’s Note: The statements, opinions and data contained in all publications are solely those of the individual author(s) and contributor(s) and not of MDPI and/or the editor(s). MDPI and/or the editor(s) disclaim responsibility for any injury to people or property resulting from any ideas, methods, instructions or products referred to in the content. |
© 2024 by the authors. Licensee MDPI, Basel, Switzerland. This article is an open access article distributed under the terms and conditions of the Creative Commons Attribution (CC BY) license (https://creativecommons.org/licenses/by/4.0/).
Share and Cite
Shang, J.; Ma, G.; Wan, F.; Zang, Z.; Xu, Y.; Zhang, Q.; Wang, T.; Huang, X. Drying Characteristics of Moutan Cortex by Rotary Wheel Microwave Vacuum Drying and Its Influence on Quality. Agriculture 2024, 14, 563. https://doi.org/10.3390/agriculture14040563
Shang J, Ma G, Wan F, Zang Z, Xu Y, Zhang Q, Wang T, Huang X. Drying Characteristics of Moutan Cortex by Rotary Wheel Microwave Vacuum Drying and Its Influence on Quality. Agriculture. 2024; 14(4):563. https://doi.org/10.3390/agriculture14040563
Chicago/Turabian StyleShang, Jianwei, Guojun Ma, Fangxin Wan, Zepeng Zang, Yanrui Xu, Qian Zhang, Tongxun Wang, and Xiaopeng Huang. 2024. "Drying Characteristics of Moutan Cortex by Rotary Wheel Microwave Vacuum Drying and Its Influence on Quality" Agriculture 14, no. 4: 563. https://doi.org/10.3390/agriculture14040563
APA StyleShang, J., Ma, G., Wan, F., Zang, Z., Xu, Y., Zhang, Q., Wang, T., & Huang, X. (2024). Drying Characteristics of Moutan Cortex by Rotary Wheel Microwave Vacuum Drying and Its Influence on Quality. Agriculture, 14(4), 563. https://doi.org/10.3390/agriculture14040563

