Ecological Risk Assessment and Source Analysis of Heavy Metals in Farmland Soil in Yangchun City Based on APCS-MLR and Geostatistics
Abstract
1. Introduction
2. Materials and Methods
2.1. Characteristics of the Study Area
2.2. Collection and Preparation of Soil Samples
2.3. Physicochemical Properties of Soil
2.4. Methods for the Evaluation of Heavy Metal Pollution in Soil
2.4.1. Methods for Evaluating the Level of Heavy Metal Pollution in Soil
2.4.2. Evaluation Methods for Ecological Risk of Heavy Metals in Soil
2.5. APCS-MLR Model
2.6. Statistical Analysis
3. Results and Discussion
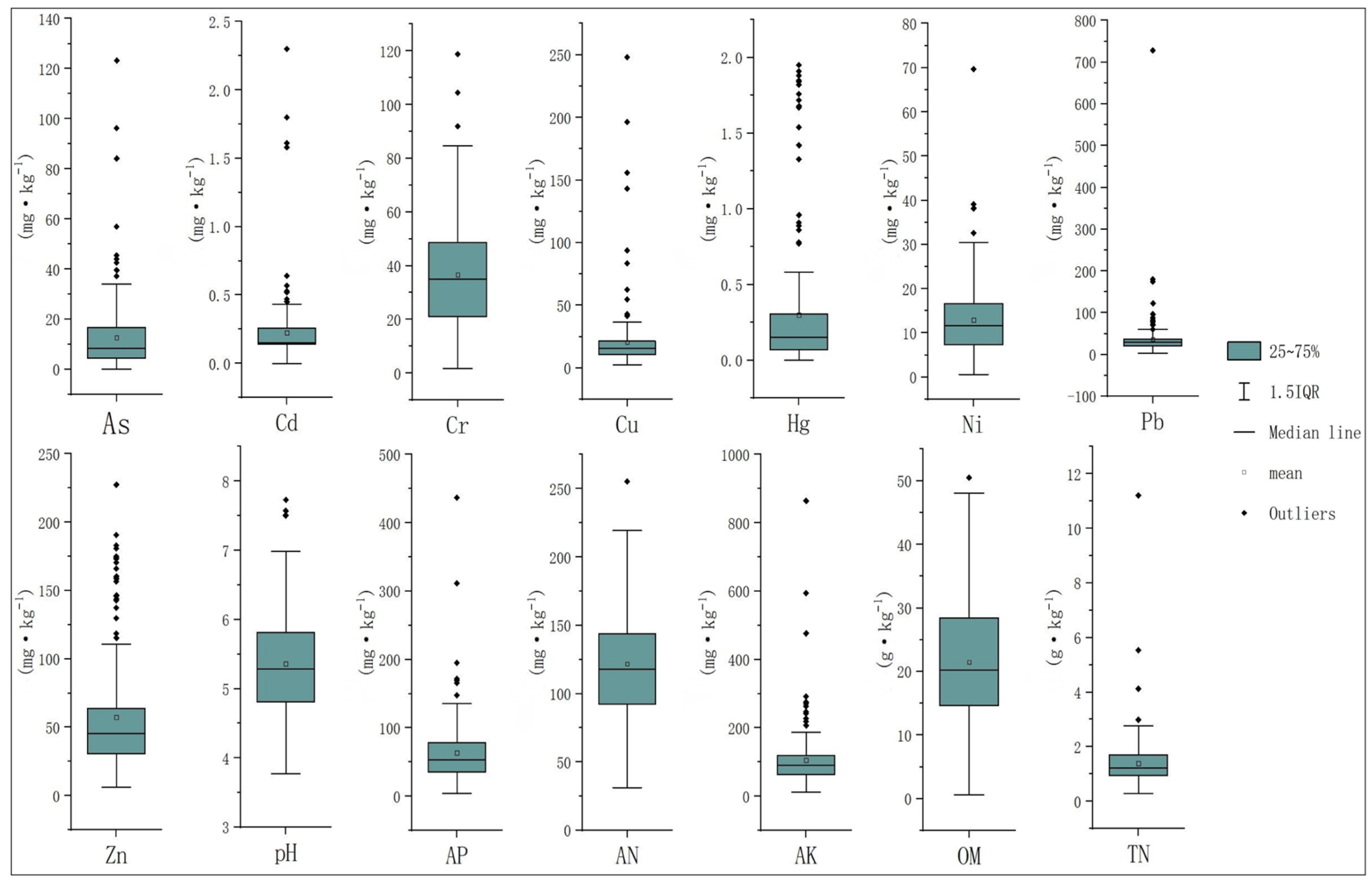
3.1. Physicochemical Properties of Soil and Toxic Metals Contents
3.2. Geostatistical Analysis of Soil Heavy Metals
3.3. Heavy Metal Pollution Level Assessment and Potential Ecological Risk Assessment
3.3.1. Evaluation of Heavy Metal Pollution Level
3.3.2. Evaluation of the Ecological Risk of Heavy Metals
3.4. Correlation Matrix of Soil Physical and Chemical Properties and Heavy Metals in Soil
3.5. Identification of the Source of HMs in Soil Using the APCS-MLR Model
4. Conclusions and Future Prospects
- (1)
- The average content of the metals studied, in descending order, is Zn (57.17 mg/kg) > Pb (36.66 mg/kg) > Cr (36.63 mg/kg) > Cu (20.58 mg/kg), Ni (12.93 mg/kg) > As (12.69 mg/kg) > Hg (0.30 mg/kg) > Cd (0.22 mg/kg). The soil in Guangdong Province has been found to contain concentrations of As, Cd, Cu, Hg, Pb, and Zn that surpass the natural background levels [20], with a notable trend of enrichment observed. The elevated levels of heavy metals in the soil of Yangchun city, while not necessarily indicating immediate severe risks, do warrant attention due to their potential to influence the environment and human health over time through dietary exposure.
- (2)
- Among the evaluation indexes of pollution status, the calculated average Nemero index is 2.27, indicating a medium pollution level (2.0 < PN < 3.0). Except for Ni and Zn, the PN of a solitary metallic element remained within the realm of safety. Of the remaining six heavy metals, Cu and Cr were deemed to cause light pollution, while As and Hg were the culprits behind medium pollution. Cd and Pb, on the other hand, were found to induce heavy pollution and high concentration areas are concentrated near the northern mining area of the study area. Among the evaluation indexes of pollution status, of most of the eight heavy metal elements showed low risk ( < 40); however, Cd and Hg were classified as moderate risk (80 < < 160). In light of the pollution assessment, monitoring Cd and Hg is recommended due to their notable presence and associated risks. The northern mining zone merits special attention for its elevated heavy metal levels, particularly Cd and Pb. It is suggested that people take measures to control agricultural heavy metal pollution in order to maintain a favorable agricultural production environment.
- (3)
- The APCS-MLR model was used to identify three main components, and the correlation value showed that R2 > 0.75 (p < 0.05), indicating that the model had a statistically significant fit. The three sources identified by the APCS-MLR model were sorted according to natural sources (28.16%), traffic emissions (16.68%), and agricultural activities (14.42%). Based on the findings of this study, it is suggested that efforts to reduce agricultural heavy metal pollution in Yangchun City should primarily focus on minimizing emissions from transportation and agricultural activities, as the combined contribution of these two sources accounts for a significant portion of the total pollution load. At the same time, since natural sources constitute the majority of the total pollution load, it is also imperative to explore measures to address natural pollution.
Author Contributions
Funding
Data Availability Statement
Acknowledgments
Conflicts of Interest
References
- Burges, A.; Epelde, L.; Garbisu, C. Impact of repeated single-metal and multi-metal pollution events on soil quality. Chemosphere 2015, 120, 8–15. [Google Scholar] [CrossRef] [PubMed]
- Yan, H.; Guo, H. High-precision early warning system for rice cadmium accumulation risk assessment. Sci. Total Environ. 2022, 859, 160135. [Google Scholar] [CrossRef] [PubMed]
- Chen, X.; Lu, X. Contamination characteristics and source apportionment of heavy metals in topsoil from an area in Xi’an city, China. Ecotoxicol. Environ. Saf. 2018, 151, 153–160. [Google Scholar] [CrossRef] [PubMed]
- Huang, Y.; Li, T.; Wu, C.; He, Z.; Japenga, J.; Deng, M.; Yang, X. An integrated approach to assess heavy metal source apportionment in peri-urban agricultural soils. J. Hazard. Mater. 2015, 299, 540–549. [Google Scholar] [CrossRef] [PubMed]
- Chen, L.; Zhang, H.; Ding, M.; Devlin, A.T.; Wang, P.; Nie, M.; Xie, K. Exploration of the variations and relationships between trace metal enrichment in dust and ecological risks associated with rapid urban expansion. Ecotoxicol. Environ. Saf. 2021, 212, 111944. [Google Scholar] [CrossRef]
- Fan, J.; Jian, X.; Shang, F.; Zhang, W.; Zhang, S.; Fu, H. Underestimated heavy metal pollution of the Minjiang River, SE China: Evidence from spatial and seasonal monitoring of suspended-load sediments. Sci. Total Environ. 2021, 760, 142586. [Google Scholar] [CrossRef]
- Dash, S.; Borah, S.S.; Kalamdhad, A.S. Heavy metal pollution and potential ecological risk assessment for surficial sediments of Deepor Beel, India. Ecol. Indic. 2021, 122, 107265. [Google Scholar] [CrossRef]
- Xiao, H.; Shahab, A.; Xi, B.; Chang, Q.; You, S.; Li, J.; Sun, X.; Huang, H.; Li, X. Heavy metal pollution, ecological risk, spatial distribution, and source identification in sediments of the Lijiang River, China. Environ. Pollut. 2021, 269, 116189. [Google Scholar] [CrossRef]
- Ustaoğlu, F.; Islam, M.S. Potential toxic elements in sediment of some rivers at Giresun, Northeast Turkey: A preliminary assessment for ecotoxicological status and health risk. Ecol. Indic. 2020, 113, 106237. [Google Scholar] [CrossRef]
- Lv, J.; Liu, Y.; Zhang, Z.; Dai, J.; Dai, B.; Zhu, Y. Identifying the origins and spatial distributions of heavy metals in soils of Ju country (Eastern China) using multivariate and geostatistical approach. J. Soils Sediments 2015, 15, 163–178. [Google Scholar] [CrossRef]
- Martín, J.A.R.; Ramos-Miras, J.J.; Boluda, R.; Gil, C. Spatial relations of heavy metals in arable and greenhouse soils of a Mediterranean environment region (Spain). Geoderma 2013, 200–201, 180–188. [Google Scholar] [CrossRef]
- Chen, H.; Teng, Y.; Chen, R.; Li, J.; Wang, J. Contamination characteristics and source apportionment of trace metals in soils around Miyun Reservoir. Environ. Sci. Pollut. Res. 2016, 23, 15331–15342. [Google Scholar] [CrossRef] [PubMed]
- Zhang, Y.; Guo, C.; Xu, J.; Tian, Y.; Shi, G.; Feng, Y. Potential source contributions and risk assessment of PAHs in sediments from Taihu Lake, China: Comparison of three receptor models. Water Res. 2012, 46, 3065–3073. [Google Scholar] [CrossRef] [PubMed]
- Li, C.; Liu, F.; Li, J.; He, C.; Wang, X.; Wang, F. National Mineral Deposit Database of China. Geol. China 2019, 46, 1–10. [Google Scholar]
- Lv, J.; Liu, Y.; Zhang, Z.; Dai, J. Factorial kriging and stepwise regression approach to identify environmental factors influencing spatial multi-scale variability of heavy metals in soils. J. Hazard. Mater. 2013, 261, 387–397. [Google Scholar] [CrossRef] [PubMed]
- Ministry of Environmental Protection of the People’s Republic of China. Soil and Sediment—Digestion of Total Metalelements—Microwave Assisted Acid Digestion Method: HJ 832—2017; China Environmental Science Press: Beijing, China, 2017. (In Chinese) [Google Scholar]
- Davis, H.T.; Aelion, C.M.; McDermott, S.; Lawson, A.B. Identifying natural and anthropogenic sources of metals in urban and rural soils using GIS-based data, PCA, and spatial interpolation. Environ. Pollut. 2009, 157, 2378–2385. [Google Scholar] [CrossRef]
- Wang, S.; Han, Z.; Wang, J.; He, X.; Zhou, Z.; Hu, X. Environmental risk assessment and factors influencing heavy metal concentrations in the soil of municipal solid waste landfills. Waste Manag. 2022, 139, 330–340. [Google Scholar] [CrossRef]
- Liu, Y.; Yang, L.; Chun, Y.; Yang, J.; Wang, C. VFS-based OFSP model for groundwater pollution study of domestic waste landfill. Environ. Sci. Pollut. Res. 2021, 28, 30783–30806. [Google Scholar] [CrossRef]
- Cui, L.; Hu, Q.; Li, M.; Wu, J.L.; Fan, H.Z.; Chen, S.S.; Ren, Z.L. Spatial distribution characteristics and risk assessment of soil heavy metal pollution in Qingyuan e-waste dismantling area. J. Agro-Environ. Sci. China 2022, 41, 2200–2211. [Google Scholar]
- Dang, P.; Gu, X.; Lin, C.; Xin, M.; Zhang, H.; Ouyang, W.; Liu, X.; He, M.; Wang, B. Distribution, sources, and ecological risks of potentially toxic elements in the Laizhou Bay, Bohai Sea: Under the long-term impact of the Yellow River input. J. Hazard. Mater. 2021, 413, 125429. [Google Scholar] [CrossRef]
- Li, H.; Chai, L.; Yang, Z.; Liao, Q.; Liu, Y.; Ouyang, B. Seasonal and spatial contamination statuses and ecological risk of sediment cores highly contaminated by heavy metals and metalloids in the Xiangjiang River. Environ. Geochem. Health 2019, 41, 1617–1633. [Google Scholar] [CrossRef] [PubMed]
- Wu, J.; Li, J.; Teng, Y.; Chen, H.; Wang, Y. A partition computing-based positive matrix factorization (PC-PMF) approach for the source apportionment of agricultural soil heavy metal contents and associated health risks. J. Hazard. Mater. 2020, 388, 121766. [Google Scholar] [CrossRef] [PubMed]
- Liu, Q.; Jia, Z.; Li, S.; Hu, J. Assessment of heavy metal pollution, distribution and quantitative source apportionment in surface sediments along a partially mixed estuary (Modaomen, China). Chemosphere 2019, 225, 829–838. [Google Scholar] [CrossRef]
- Jin, Z.; Ding, S.; Sun, Q.; Gao, S.; Fu, Z.; Gong, M.; Lin, J.; Wang, D.; Wang, Y. High resolution spatiotemporal sampling as a tool for comprehensive assessment of zinc mobility and pollution in sediments of a eutrophic lake. J. Hazard. Mater. 2019, 364, 182–191. [Google Scholar] [CrossRef] [PubMed]
- Jin, G.; Fang, W.; Shafi, M.; Wu, D.; Li, Y.; Zhong, B.; Ma, J.; Liu, D. Source apportionment of heavy metals in farmland soil with application of APCS-MLR model: A pilot study for restoration of farmland in Shaoxing City Zhejiang, China. Ecotoxicol. Environ. Saf. 2019, 184, 109495. [Google Scholar] [CrossRef] [PubMed]
- Liu, R.; Guo, L.; Men, C.; Wang, Q.; Miao, Y.; Shen, Z. Spatial-temporal variation of heavy metals’ sources in the surface sediments of the Yangtze River Estuary. Mar. Pollut. Bull. 2019, 138, 526–533. [Google Scholar] [CrossRef]
- Wang, G.; Li, Y.; Wang, J.; Jia, Z.; Zhou, Y.; Zhou, S.; Xie, X. A modified receptor model for historical source apportionment of polycyclic aromatic hydrocarbons in sediment. Sci. Total Environ. 2020, 702, 134931. [Google Scholar] [CrossRef] [PubMed]
- Zhang, W.; Yan, Y.; Yu, R.; Hu, G. The sources-specific health risk assessment combined with APCS/MLR model for heavy metals in tea garden soils from south Fujian Province, China. Catena 2021, 203, 105306. [Google Scholar] [CrossRef]
- Jiao, W.; Niu, Y.; Niu, Y.; Li, B.; Zhao, M. Quantitative identification of anthropogenic trace metal sources in surface river sediments from a hilly agricultural watershed, East China. Environ. Sci. Pollut. Res. 2019, 26, 32266–32275. [Google Scholar] [CrossRef]
- Wei, B.; Yang, L. A review of heavy metal contaminations in urban soils, urban road dusts and agricultural soils from China. Microchem. J. 2010, 94, 99–107. [Google Scholar] [CrossRef]
- Niu, S.; Gao, L.; Wang, X. Characterization of contamination levels of heavy metals in agricultural soils using geochemical baseline concentrations. J. Soils Sediments 2019, 19, 1697–1707. [Google Scholar] [CrossRef]
- Li, C.; Jiang, X.; Jiang, H.; Sha, Q.; Li, X.; Jia, G.; Cheng, J.; Zheng, J. Environmental Controls to Soil Heavy Metal Pollution Vary at Multiple Scales in a Highly Urbanizing Region in Southern China. Sensors 2022, 22, 4496. [Google Scholar] [CrossRef] [PubMed]
- Hoang, H.; Lin, C.; Tran, H.; Chiang, C.; Bui, X.; Cheruiyot, N.K.; Shern, C.; Lee, C. Heavy metal contamination trends in surface water and sediments of a river in a highly-industrialized region. Environ. Technol. Innov. 2020, 20, 101043. [Google Scholar] [CrossRef]
- Haghshenas, V.; Kafaei, R.; Tahmasebi, R.; Dobaradaran, S.; Hashemi, S.; Sahebi, S.; Sorial, G.A.; Ramavandi, B. Potential of green/brown algae for monitoring of metal(loid)s pollution in the coastal seawater and sediments of the Persian Gulf: Ecological and health risk assessment. Environ. Sci. Pollut. Res. 2020, 27, 7463–7475. [Google Scholar] [CrossRef] [PubMed]
- Chen, J.L.; Li, R.Y.; Xie, X.J.; Wang, H.; Xu, J.; Shao, J.; Jian, J.; Wuerman, A.; Shen, J.; Yang, Z. Distribution Characteristics and Pollution Evaluation of Heavy Metals in Greenbelt Soils of Nanjing City. Environ. Sci. 2021, 42, 909–916. (In Chinese) [Google Scholar]
- Cheng, G.; Wang, M.; Chen, Y.; Gao, W. Source apportionment of water pollutants in the upstream of Yangtze River using APCS-MLR. Environ. Geochem. Health 2020, 42, 3795–3810. [Google Scholar] [CrossRef] [PubMed]
- Siddiqui, E.; Pandey, J. Assessment of heavy metal pollution in water and surface sediment and evaluation of ecological risks associated with sediment contamination in the Ganga River: A basin-scale study. Environ. Sci. Pollut. Res. 2019, 26, 10926–10940. [Google Scholar] [CrossRef]
- Hou, S.; Zheng, N.; Tang, L.; Ji, X.; Li, Y.; Hua, X. Pollution characteristics, sources, and health risk assessment of human exposure to Cu, Zn, Cd and Pb pollution in urban street dust across China between 2009 and 2018. Environ. Int. 2019, 128, 430–437. [Google Scholar] [CrossRef]
- Yuanan, H.; He, K.; Sun, Z.; Chen, G.; Cheng, H. Quantitative source apportionment of heavy metal(loid)s in the agricultural soils of an industrializing region and associated model uncertainty. J. Hazard. Mater. 2020, 391, 122244. [Google Scholar] [CrossRef]
- Hu, Y.; Cheng, H.; Tao, S.; Schnoor, J.L. China’s Ban on Phenylarsonic Feed Additives, A Major Step toward Reducing the Human and Ecosystem Health Risk from Arsenic. Environ. Sci. Technol. 2019, 53, 12177–12187. [Google Scholar] [CrossRef]






| Reagents Name | Producers | Purity | Catalogical Number |
|---|---|---|---|
| Acetic acid | Tianjin Damao Chemical Reagent Factory, China | AR | 631-61-8 |
| Potassium chloride | Tianjin Damao Chemical Reagent Factory, China | AR | 7447-40-7 |
| Sodium bicarbonate | Tianjin Damao Chemical Reagent Factory, China | AR | 144-55-8 |
| Ammonium fluoride | Tianjin Damao Chemical Reagent Factory, China | AR | 12125-01-8 |
| Ammonium molybdate | Tianjin Damao Chemical Reagent Factory, China | AR | 12054-85-2 |
| Potassiumdichromate | Tianjin Damao Chemical Reagent Factory, China | AR | 7778-50-9 |
| Hydrochloric acid | Guangzhou Chemical Reagent Factory Yongda chemical, China | AR | 7778-50-9 |
| Boric acid | Guangzhou Chemical Reagent Factory Yongda chemical, China | AR | 10043-35-3 |
| Hydrofluoric acid | Guangzhou Chemical Reagent Factory, China | AR | 7664-39-3 |
| Perchloric acid | Guangzhou Chemical Reagent Factory, China | AR | 7601-90-3 |
| High purity nitric acid | Guangzhou Chemical Reagent Factory, China | AR | 7697-37-2 |
| Sulphuric acid | Guangzhou Chemical Reagent Factory, China | AR | 7664-93-9 |
| Instrument Name | Model | Producers |
|---|---|---|
| pH Meter | PHS-2F | Shanghai INESA |
| Flame photometer | FP650 | Shanghai jingke |
| Automatic Kjeldahl analyzer | Kjeltec 8400 | Danish Foss |
| Inductively Coupled Plasma-Optical Emission Spectrometry | ICP-OES | US Agilent |
| Elements | Mean (mg/kg) | SD (mg/kg) | Max (mg/kg) | Min (mg/kg) | CV |
|---|---|---|---|---|---|
| As | 12.69 | 14.89 | 123.29 | 0 | 117% |
| Cd | 0.22 | 0.26 | 2.3 | 0 | 118% |
| Cr | 36.63 | 20.33 | 118.83 | 1.78 | 56% |
| Cu | 20.58 | 26.78 | 248.18 | 2.55 | 130% |
| Hg | 0.3 | 0.43 | 1.95 | 0 | 143% |
| Ni | 12.93 | 7.98 | 69.74 | 0.64 | 62% |
| Pb | 36.66 | 54.95 | 728.36 | 3.6 | 150% |
| Zn | 57.17 | 42.82 | 227.57 | 6.22 | 75% |
| pH | 5.36 | 0.73 | 7.73 | 3.77 | 14% |
| AP | 63.58 | 46.27 | 436.75 | 3.62 | 73% |
| AN | 121.85 | 40.89 | 255.15 | 31.15 | 34% |
| AK | 105.11 | 85.48 | 864 | 12 | 81% |
| OM | 21500 | 9100 | 50.53 | 0.65 | 42% |
| Element | Semi-Variogram Model | Nugget Value (C0) | Abutment Value (C0 + C1) | R2 | Nugget C0/(C0 + C1) |
|---|---|---|---|---|---|
| Hg | Exponential | 0.101 | 0.541 | 0.864 | 0.813 |
| Cd | Exponential | 0.0486 | 0.173 | 0.729 | 0.72 |
| Cu | Spherical | 264 | 780 | 0.709 | 0.662 |
| Cr | Spherical | 249 | 607.4 | 0.844 | 0.59 |
| Ni | Exponential | 46 | 105.62 | 0.857 | 0.564 |
| As | Spherical | 94.7 | 214.1 | 0.724 | 0.558 |
| Zn | Exponential | 1496 | 2993 | 0.771 | 0.5 |
| Pb | Gaussian | 1 | 2666 | 0.744 | 0.004 |
| Feature | Initial Eigenvalue | Elements | Rotated Component Matrix | ||||
|---|---|---|---|---|---|---|---|
| Total | Variation (%) | Cumulative (%) | PC1 | PC2 | PC3 | ||
| 1 | 2.253 | 28.159 | 28.159 | As | 0.76 | ||
| 2 | 1.335 | 16.686 | 44.845 | Cd | 0.71 | ||
| 3 | 1.153 | 14.415 | 59.260 | Cr | 0.78 | ||
| 4 | 0.924 | 11.555 | 70.815 | Cu | 0.57 | ||
| 5 | 0.826 | 10.322 | 81.137 | Hg | 0.57 | ||
| 6 | 0.675 | 8.436 | 89.573 | Ni | 0.80 | ||
| 7 | 0.564 | 7.047 | 96.620 | Pb | 0.68 | ||
| 8 | 0.270 | 3.380 | 100.000 | Zn | 0.80 | ||
| Receptor Model | R2 |
|---|---|
| CAs = 1.963 + 0.14 × APCSF1 − 2.673 × APCSF2 + 13.712 × APCSF3 | 0.76 |
| CCd = −0.198 + 0.216 × APCSF1 + 0.104 × APCSF2 − 0.038 × APCSF3 | 0.764 |
| CCr = 8.982 + 15.96 × APCSF1 − 2.247 × APCSF2 + 1.717 × APCSF3 | 0.63 |
| CCu = −1.647 − 15.99 × APCSF1 + 10.181 × APCSF2 + 38.9 × APCSF3 | 0.752 |
| CHg = 0.191 + 0.308 × APCSF1 − 0.112 × APCSF2 − 0.399 × APCSF3 | 0.791 |
| CNi = −3.561 + 6.983 × APCSF1 + 3.518 × APCSF2 + 1.629 × APCSF3 | 0.773 |
| CPb = −15.255 − 7.287 × APCSF1 + 65.894 × APCSF2 + 13.079 × APCSF3 | 0.766 |
| CZn = 10.572 + 10.534 × APCSF1 + 21.626 × APCSF2 + 2.618 × APCSF3 | 0.751 |
Disclaimer/Publisher’s Note: The statements, opinions and data contained in all publications are solely those of the individual author(s) and contributor(s) and not of MDPI and/or the editor(s). MDPI and/or the editor(s) disclaim responsibility for any injury to people or property resulting from any ideas, methods, instructions or products referred to in the content. |
© 2024 by the authors. Licensee MDPI, Basel, Switzerland. This article is an open access article distributed under the terms and conditions of the Creative Commons Attribution (CC BY) license (https://creativecommons.org/licenses/by/4.0/).
Share and Cite
Li, Y.; Zhang, Y.; Chen, J.; Yang, G.; Li, H.; Wang, J.; Li, W. Ecological Risk Assessment and Source Analysis of Heavy Metals in Farmland Soil in Yangchun City Based on APCS-MLR and Geostatistics. Agriculture 2024, 14, 309. https://doi.org/10.3390/agriculture14020309
Li Y, Zhang Y, Chen J, Yang G, Li H, Wang J, Li W. Ecological Risk Assessment and Source Analysis of Heavy Metals in Farmland Soil in Yangchun City Based on APCS-MLR and Geostatistics. Agriculture. 2024; 14(2):309. https://doi.org/10.3390/agriculture14020309
Chicago/Turabian StyleLi, Yingyuting, Yili Zhang, Junyu Chen, Guangfei Yang, Haihui Li, Jinjin Wang, and Wenyan Li. 2024. "Ecological Risk Assessment and Source Analysis of Heavy Metals in Farmland Soil in Yangchun City Based on APCS-MLR and Geostatistics" Agriculture 14, no. 2: 309. https://doi.org/10.3390/agriculture14020309
APA StyleLi, Y., Zhang, Y., Chen, J., Yang, G., Li, H., Wang, J., & Li, W. (2024). Ecological Risk Assessment and Source Analysis of Heavy Metals in Farmland Soil in Yangchun City Based on APCS-MLR and Geostatistics. Agriculture, 14(2), 309. https://doi.org/10.3390/agriculture14020309

