Microbial Network Complexity Helps to Reduce the Deep Migration of Chemical Fertilizer Nitrogen Under the Combined Application of Varying Irrigation Amounts and Multiple Nitrogen Sources
Abstract
1. Introduction
2. Materials and Methods
2.1. Soil Column Incubation Experiment
2.2. Soil Sampling and Measurement
2.3. Metagenomic Analysis
2.4. Calculations and Statistical Analysis
3. Results and Discussion
3.1. Migration Characteristics of Different Forms of N in Soil
3.1.1. Chemical Fertilizer N Layered Residue and Deep Migration Characteristics
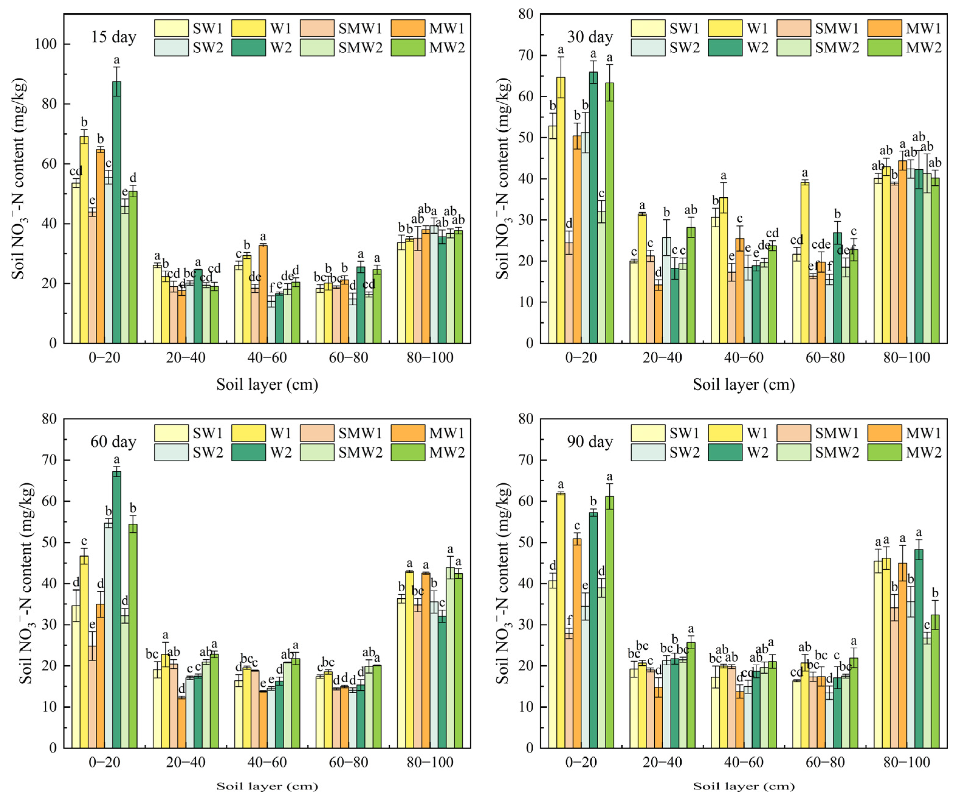
3.1.2. NO3−-N Layered Residual Characteristics
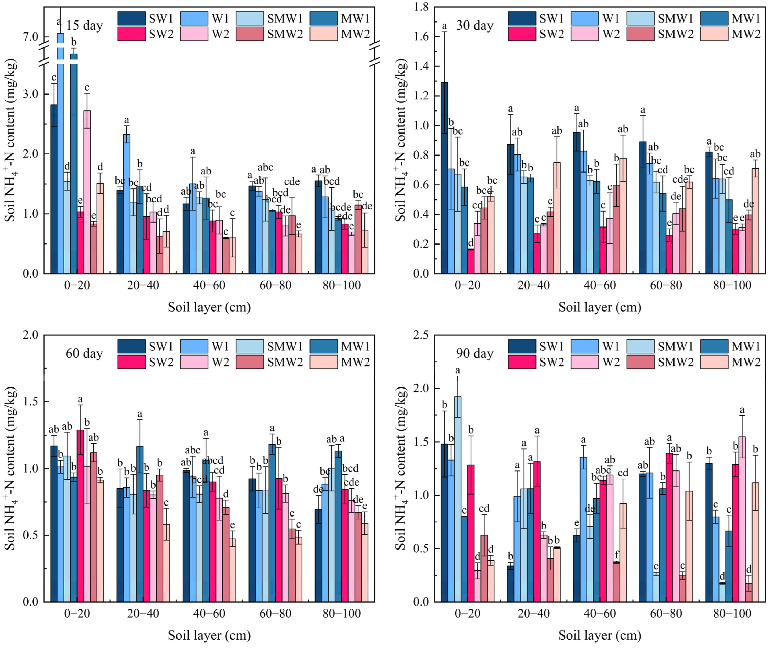
3.1.3. NH4+-N Layered Residual Characteristics
3.1.4. TN Layered Residual Characteristics
3.2. Microbial Network Characteristics
3.2.1. Effects of Exogenous Variables on Microbial Networks
3.2.2. Microbial Network Characteristics of Different Treatments
3.3. Effect of Microbial Network on Deep Migration of Chemical Fertilizer N
4. Conclusions
Supplementary Materials
Author Contributions
Funding
Data Availability Statement
Conflicts of Interest
References
- Hutchins, D.A.; Capone, D.C. The marine nitrogen cycle: New developments and global change. Nat. Rev. Microbiol. 2022, 20, 401–414. [Google Scholar] [CrossRef] [PubMed]
- Zhang, X.; Ward, B.B.; Sigman, D.M. Global nitrogen cycle: Critical enzymes, organisms, and processes for nitrogen budgets and dynamics. Chem. Rev. 2020, 120, 5308–5351. [Google Scholar] [CrossRef] [PubMed]
- Gao, Y.; Zhou, F.; Ciais, P.; Miao, C.; Yang, T.; Jia, Y.; Zhou, X.; Klaus, B.; Yang, T.; Yu, G. Human activities aggravate nitrogen-deposition pollution to inland water over China. Natl. Sci. Rev. 2020, 7, 430–440. [Google Scholar] [CrossRef]
- Almasri, M.N.; Kaluarachchi, J.J. Modeling nitrate contamination of groundwater in agricultural watersheds. J. Hydrol. 2007, 343, 211–229. [Google Scholar] [CrossRef]
- Gooday, R.; Anthony, S.; Fawcett, L. A field scale model of soil drainage and nitrate leaching for application in nitrate vulnerable zones. Environ. Model. Softw. 2008, 23, 1045–1055. [Google Scholar] [CrossRef]
- Cui, Z.; Zhang, H.; Chen, X.; Zhang, C.; Ma, W.; Huang, C.; Zhang, W.; Mi, G.; Miao, Y.; Li, X.; et al. Pursuing sustainable productivity with millions of smallholder farmers. Nature 2018, 555, 363–366. [Google Scholar] [CrossRef]
- FAOSTAT Online Statistical Service. Food and Agriculture Organization. Available online: https://www.fao.org/faostat/en/#data (accessed on 11 November 2024).
- Yu, C.; Huang, X.; Chen, H.; Godfray, H.C.J.; Wright, J.S.; Hall, J.W.; Gong, P.; Ni, S.; Qiao, S.; Huang, G.; et al. Managing nitrogen to restore water quality in China. Nature 2019, 567, 516–520. [Google Scholar] [CrossRef]
- Guo, Y.; Chen, Y.; Searchinger, T.D.; Zhou, M.; Pan, D.; Yang, J.; Wu, L.; Cui, Z.; Zhang, W.; Zhang, F.; et al. Air quality, nitrogen use efficiency and food security in China are improved by cost-effective agricultural nitrogen management. Nat. Food 2020, 1, 648–658. [Google Scholar] [CrossRef] [PubMed]
- Chang, J.; Havlík, P.; Leclère, D.; de Vries, W.; Valin, H.; Deppermann, A.; Hasegawa, T.; Obersteiner, M. Reconciling regional nitrogen boundaries with global food security. Nat. Food 2021, 2, 700–711. [Google Scholar] [CrossRef]
- Huang, T.; Yang, N.; Lu, C.; Qin, X.; Siddique, K.H.M. Soil organic carbon, total nitrogen, available nutrients, and yield under different straw returning methods. Soil Tillage Res. 2021, 214, 105171. [Google Scholar] [CrossRef]
- Li, H.; Dai, M.; Dai, S.; Dong, X. Current status and environment impact of direct straw return in China’s cropland—A review. Ecotoxicol. Environ. Saf. 2018, 159, 293–300. [Google Scholar] [CrossRef]
- Zhang, M.; Song, D.; Pu, X.; Dang, P.; Qin, X.; Siddique, K.H.M. Effect of different straw returning measures on resource use efficiency and spring maize yield under a plastic film mulch system. Eur. J. Agron. 2022, 134, 126461. [Google Scholar] [CrossRef]
- Wang, Y.; Wu, P.; Mei, F.; Ling, Y.; Qiao, Y.; Liu, C.; Leghari, S.J.; Guan, X.; Wang, T. Does continuous straw returning keep China farmland soil organic carbon continued increase? A meta-analysis. J. Environ. Manag. 2021, 288, 112391. [Google Scholar] [CrossRef]
- Zhang, P.; Wei, T.; Li, Y.; Wang, K.; Jia, Z.; Han, Q.; Ren, X. Effects of straw incorporation on the stratification of the soil organic C, total N and C:N ratio in a semiarid region of China. Soil Tillage Res. 2015, 153, 28–35. [Google Scholar] [CrossRef]
- Pei, Y.; Chen, X.; Niu, Z.; Su, X.; Wang, Y.; Wang, X. Effects of nitrogen fertilizer substitution by cow manure on yield, net GHG emissions, carbon and nitrogen footprints in sweet maize farmland in the Pearl River Delta in China. J. Clean. Prod. 2023, 399, 136676. [Google Scholar] [CrossRef]
- Ren, J.; Liu, X.; Yang, W.; Yang, X.; Li, W.; Xia, Q.; Li, J.; Gao, Z.; Yang, Z. Rhizosphere soil properties, microbial community, and enzyme activities: Short-term responses to partial substitution of chemical fertilizer with organic manure. J. Environ. Manag. 2021, 299, 113650. [Google Scholar] [CrossRef] [PubMed]
- Hou, Q.; Ni, Y.; Huang, S.; Zuo, T.; Wang, J.; Ni, W. Effects of substituting chemical fertilizers with manure on rice yield and soil labile nitrogen in paddy fields of China: A meta-analysis. Pedosphere 2023, 33, 172–184. [Google Scholar] [CrossRef]
- Chen, A.; Zhang, W.; Sheng, R.; Liu, Y.; Hou, H.; Liu, F.; Ma, G.; Wei, W.; Qin, H. Long-term partial replacement of mineral fertilizer with in situ crop residues ensures continued rice yields and soil fertility: A case study of a 27-year field experiment in subtropical China. Sci. Total Environ. 2021, 787, 147523. [Google Scholar] [CrossRef]
- Jia, X.; Shao, L.; Liu, P.; Zhao, B.; Gu, L.; Dong, S.; Bing, S.H.; Zhang, J.; Zhao, B. Effect of different nitrogen and irrigation treatments on yield and nitrate leaching of summer maize (Zea mays L.) under lysimeter conditions. Agric. Water Manag. 2014, 137, 92–103. [Google Scholar] [CrossRef]
- Cui, Z.; Wang, G.; Yue, S.; Wu, L.; Zhang, W.; Zhang, F.; Chen, X. Closing the N-use efficiency gap to achieve food and environmental security. Environ. Sci. Technol. 2014, 48, 5780–5787. [Google Scholar] [CrossRef]
- Barton, L.; Colmer, T.D. Irrigation and fertiliser strategies for minimising nitrogen leaching from turfgrass. Agric. Water Manag. 2006, 80, 160–175. [Google Scholar] [CrossRef]
- Gheysari, M.; Mirlatifi, S.M.; Homaee, M.; Asadi, M.E.; Hoogenboom, G. Nitrate leaching in a silage maize field under different irrigation and nitrogen fertilizer rates. Agric. Water Manag. 2009, 96, 946–954. [Google Scholar] [CrossRef]
- Asadi, M.E.; Clemente, R.S.; Gupta, A.D.; Loof, R.; Hansen, G.K. Impacts of fertigation via sprinkler irrigation on nitrate leaching and corn yield in an acid–sulphate soil in Thailand. Agric. Water Manag. 2002, 52, 197–213. [Google Scholar] [CrossRef]
- Lazicki, P.A.; Geisseler, D. Soil nitrate testing supports nitrogen management in irrigated annual crops. Calif. Agric. 2017, 71, 90–95. [Google Scholar] [CrossRef]
- Gaimaro, J.; Timlin, D.; Tully, K. Comparison of cover crop monocultures and mixtures for suppressing nitrogen leaching losses. Agric. Water Manag. 2022, 261, 107348. [Google Scholar] [CrossRef]
- Mo, X.; Peng, H.; Xin, J.; Wang, S. Analysis of urea nitrogen leaching under high-intensity rainfall using HYDRUS-1D. J. Environ. Manag. 2022, 312, 114900. [Google Scholar] [CrossRef]
- Xu, J.; Cai, H.; Wang, X.; Ma, C.; Lu, Y.; Ding, Y.; Wang, X.; Chen, H.; Wang, Y.; Saddique, Q. Exploring optimal irrigation and nitrogen fertilization in a winter wheat-summer maize rotation system for improving crop yield and reducing water and nitrogen leaching. Agric. Water Manag. 2020, 228, 105904. [Google Scholar] [CrossRef]
- Muhammad, I.; Lv, J.; Yang, L.; Ahmad, S.; Farooq, S.; Zeeshan, M.; Zhou, X. Low irrigation water minimizes the nitrate nitrogen losses without compromising the soil fertility, enzymatic activities and maize growth. BMC Plant Biol. 2022, 22, 159. [Google Scholar] [CrossRef]
- Lu, Y.; Wang, E.; Zhao, Z.; Liu, X.; Tian, A.; Zhang, X. Optimizing irrigation to reduce N leaching and maintain high crop productivity through the manipulation of soil water storage under summer monsoon climate. Field Crops Res. 2021, 265, 108110. [Google Scholar] [CrossRef]
- Lv, H.; Zhou, W.; Dong, J.; He, S.; Chen, F.; Bi, M.; Wang, Q.; Li, J.; Liang, B. Irrigation amount dominates soil mineral nitrogen leaching in plastic shed vegetable production systems. Agric. Ecosyst. Environ. 2021, 317, 107474. [Google Scholar] [CrossRef]
- Mi, X.; Bai, N.; Liu, Y.; He, G.; Wang, Z. Exploring nitrogen management methods for depressing the decline of wheat grain protein in plastic film mulch via 15N-labelling technique. Soil Tillage Res. 2023, 228, 105632. [Google Scholar] [CrossRef]
- Torsvik, V.; Øvreås, L. Microbial diversity and function in soil: From genes to ecosystems. Curr. Opin. Microbiol. 2002, 5, 240–245. [Google Scholar] [CrossRef] [PubMed]
- Kuypers, M.M.M.; Marchant, H.K.; Kartal, B. The microbial nitrogen-cycling network. Nat. Rev. Microbiol. 2018, 16, 263–276. [Google Scholar] [CrossRef] [PubMed]
- Sokol, N.W.; Slessarev, E.; Marschmann, G.L.; Nicolas, A.; Blazewicz, S.J.; Brodie, E.L.; Firestone, M.K.; Foley, M.M.; Hestrin, R.; Hungate, B.A.; et al. Life and death in the soil microbiome: How ecological processes influence biogeochemistry. Nat. Rev. Microbiol. 2022, 20, 415–430. [Google Scholar] [CrossRef]
- Rodrigues, J.L.M.; Pellizari, V.H.; Mueller, R.; Baek, K.; Jesus, E.D.C.; Paula, F.S.; Mirza, B.; Hamaoui, G.S.; Tsai, S.M.; Feigl, B.; et al. Conversion of the Amazon rainforest to agriculture results in biotic homogenization of soil bacterial communities. Proc. Natl. Acad. Sci. USA 2013, 110, 988–993. [Google Scholar] [CrossRef]
- Trivedi, P.; Rochester, I.J.; Trivedi, C.; Van Nostrand, J.D.; Zhou, J.; Karunaratne, S.; Anderson, I.C.; Singh, B.K. Soil aggregate size mediates the impacts of cropping regimes on soil carbon and microbial communities. Soil Biol. Biochem. 2015, 91, 169–181. [Google Scholar] [CrossRef]
- Cornell, C.R.; Zhang, Y.; Ning, D.; Xiao, N.; Wagle, P.; Xiao, X.; Zhou, J. Land use conversion increases network complexity and stability of soil microbial communities in a temperate grassland. ISME J. 2023, 17, 2210–2220. [Google Scholar] [CrossRef] [PubMed]
- Wang, X.; Feng, J.; Ao, G.; Qin, W.; Han, M.; Shen, Y.; Liu, M.; Chen, Y.; Zhu, B. Globally nitrogen addition alters soil microbial community structure, but has minor effects on soil microbial diversity and richness. Soil Biol. Biochem. 2023, 179, 108982. [Google Scholar] [CrossRef]
- Morrison, E.W.; Frey, S.D.; Sadowsky, J.J.; van Diepen, L.T.A.; Thomas, W.K.; Pringle, A. Chronic nitrogen additions fundamentally restructure the soil fungal community in a temperate forest. Fungal Ecol. 2016, 23, 48–57. [Google Scholar] [CrossRef]
- Kim, N.; Zabaloy, M.C.; Guan, K.; Villamil, M.B. Do cover crops benefit soil microbiome? A meta-analysis of current research. Soil Biol. Biochem. 2020, 142, 107701. [Google Scholar] [CrossRef]
- Beauregard, M.S.; Hamel, C.; Atul-Nayyar; St-Arnaud, M. Long-term phosphorus fertilization impacts soil fungal and bacterial diversity but not AM fungal community in Alfalfa. Microb. Ecol. 2010, 59, 379–389. [Google Scholar] [CrossRef]
- Naz, M.; Dai, Z.; Hussain, S.; Tariq, M.; Danish, S.; Khan, I.U.; Qi, S.; Du, D. The soil pH and heavy metals revealed their impact on soil microbial community. J. Environ. Manag. 2022, 321, 115770. [Google Scholar] [CrossRef] [PubMed]
- Li, B.; Roley, S.S.; Duncan, D.S.; Guo, J.; Quensen, J.F.; Yu, H.; Tiedje, J.M. Long-term excess nitrogen fertilizer increases sensitivity of soil microbial community to seasonal change revealed by ecological network and metagenome analyses. Soil Biol. Biochem. 2021, 160, 108349. [Google Scholar] [CrossRef]
- Guseva, K.; Darcy, S.; Simon, E.; Alteio, L.V.; Montesinos-Navarro, A.; Kaiser, C. From diversity to complexity: Microbial networks in soils. Soil Biol. Biochem. 2022, 169, 108604. [Google Scholar] [CrossRef]
- Barberan, A.; Bates, S.T.; Casamayor, E.O.; Fierer, N. Using network analysis to explore co-occurrence patterns in soil microbial communities. ISME J. 2012, 6, 343–351. [Google Scholar] [CrossRef] [PubMed]
- Li, Z.; Tian, D.; Wang, B.; Wang, J.; Wang, S.; Chen, H.Y.H.; Xu, X.; Wang, C.; He, N.; Niu, S. Microbes drive global soil nitrogen mineralization and availability. Glob. Change Biol. 2019, 25, 1078–1088. [Google Scholar] [CrossRef]
- Yuan, M.M.; Guo, X.; Wu, L.; Zhang, Y.; Xiao, N.; Ning, D.; Shi, Z.; Zhou, X.; Wu, L.; Yang, Y.; et al. Climate warming enhances microbial network complexity and stability. Nat. Clim. Change 2021, 11, 343–348. [Google Scholar] [CrossRef]
- Chen, S. Ultrafast one-pass FASTQ data preprocessing, quality control, and deduplication using fastp. iMeta 2023, 2, e107. [Google Scholar] [CrossRef]
- Wang, Z.; Wang, Y.; Fuhrman, J.A.; Sun, F.; Zhu, S. Assessment of metagenomic assemblers based on hybrid reads of real and simulated metagenomic sequences. Brief. Bioinform. 2020, 21, 777–790. [Google Scholar] [CrossRef] [PubMed]
- Durrant, M.G.; Bhatt, A.S. Automated prediction and annotation of small open reading frames in microbial genomes. Cell Host Microbe 2021, 29, 121–131. [Google Scholar] [CrossRef] [PubMed]
- Steinegger, M.; Soding, J. MMseqs2 enables sensitive protein sequence searching for the analysis of massive data sets. Nat. Biotechnol. 2017, 35, 1026–1028. [Google Scholar] [CrossRef] [PubMed]
- Graham, S.L.; Laubach, J.; Hunt, J.E.; Mudge, P.L.; Nuñez, J.; Rogers, G.N.D.; Buxton, R.P.; Carrick, S.; Whitehead, D. Irrigation and grazing management affect leaching losses and soil nitrogen balance of lucerne. Agric. Water Manag. 2022, 259, 107233. [Google Scholar] [CrossRef]
- Wang, J.; Wang, D.; Zhang, G.; Wang, Y.; Wang, C.; Teng, Y.; Christie, P. Nitrogen and phosphorus leaching losses from intensively managed paddy fields with straw retention. Agric. Water Manag. 2014, 141, 66–73. [Google Scholar] [CrossRef]
- Wei, Z.; Hoffland, E.; Zhuang, M.; Hellegers, P.; Cui, Z. Organic inputs to reduce nitrogen export via leaching and runoff: A global meta-analysis. Environ. Pollut. 2021, 291, 118176. [Google Scholar] [CrossRef]
- Du, X.; Zhang, Y.; Li, J.; Peng, C.; Wang, H.; Bashir, M.A.; Wang, Z.; Zhai, L.; Di, H.J.; Liu, H. Different behaviors in nitrogen leaching between soil types following the substitution of synthetic fertilizers by manure. Nutr. Cycl. Agroecosystems 2023, 127, 37–49. [Google Scholar] [CrossRef]
- Dai, F.; Fan, B.; Li, J.; Zhang, Y.; Wang, H.; Wang, Z.; Bashir, M.A.; Ezzati, G.; Zhai, L.; Di, H.J.; et al. Fate of 15N-labelled urea as affected by long-term manure substitution. Sci. Total Environ. 2023, 893, 164924. [Google Scholar] [CrossRef] [PubMed]
- Andrews, M.; Raven, J.A.; Lea, P.J. Do plants need nitrate? The mechanisms by which nitrogen form affects plants. Ann. Appl. Biol. 2013, 163, 174–199. [Google Scholar] [CrossRef]
- Li, Z.; Shen, Y.; Zhang, W.; Zhang, H.; Liu, L.; Wang, Z.; Gu, J.; Yang, J. Effects of long-term straw returning on rice yield and soil properties and bacterial community in a rice-wheat rotation system. Field Crops Res. 2023, 291, 108800. [Google Scholar] [CrossRef]
- Wang, K.; Ren, T.; Yan, J.; Zhu, D.; Liao, S.; Zhang, Y.; Lu, Z.; Cong, R.; Li, X.; Lu, J. Straw returning mediates soil microbial biomass carbon and phosphorus turnover to enhance soil phosphorus availability in a rice-oilseed rape rotation with different soil phosphorus levels. Agric. Ecosyst. Environ. 2022, 335, 107991. [Google Scholar] [CrossRef]
- Sahu, B.K.; Nagargade, M.; Chandel, M.; Kaur, K.; Swami, K.; Kumar, P.; Palanisami, M.; Pathak, A.D.; Shukla, S.K.; Shanmugam, V. Eco-friendly urea nanosack: Jute grafted silica nanoring woven fertilizer to control urea release and enhance crop productivity. ACS Sustain. Chem. Eng. 2022, 10, 13357–13366. [Google Scholar] [CrossRef]
- Holcomb, J.C., III; Sullivan, D.M.; Horneck, D.A.; Clough, G.H. Effect of irrigation rate on ammonia volatilization. Soil Sci. Soc. Am. J. 2011, 75, 2341–2347. [Google Scholar] [CrossRef]
- He, X.; Wang, Y. Effects of Regulated Deficit Irrigation on soil nutrient, microorganism and enzyme activity of Isatis indigotica. IOP Conf. Ser. Earth Environ. Sci. 2021, 632, 22025. [Google Scholar] [CrossRef]
- Sigua, G.C.; Stone, K.C.; Bauer, P.J.; Szogi, A.A. Efficacy of supplemental irrigation and nitrogen management on enhancing nitrogen availability and urease activity in soils with sorghum production. Sustainability 2020, 12, 8358. [Google Scholar] [CrossRef]
- Zhang, B.; Zhou, M.; Lin, H.; Ntacyabukura, T.; Wang, Y.; Zhu, B. Effects of different long-term crop straw management practices on ammonia volatilization from subtropical calcareous agricultural soil. Atmos. Ocean. Sci. Lett. 2020, 13, 232–239. [Google Scholar] [CrossRef]
- Xu, P.; Li, G.; Houlton, B.Z.; Ma, L.; Ai, D.; Zhu, L.; Luan, B.; Zhai, S.; Hu, S.; Chen, A.; et al. Role of organic and conservation agriculture in ammonia emissions and crop productivity in China. Environ. Sci. Technol. 2022, 56, 2977–2989. [Google Scholar] [CrossRef]
- Sha, Z.; Ma, X.; Liu, H.; Wang, J.; Lv, T.; Goulding, K.; Liu, X. Crop-specific ammonia volatilization rates and key influencing factors in the upland of China—A data synthesis. J. Environ. Manag. 2023, 336, 117676. [Google Scholar] [CrossRef]
- Li, T.; Wang, Z.; Wang, C.; Huang, J.; Feng, Y.; Shen, W.; Zhou, M.; Yang, L. Ammonia volatilization mitigation in crop farming: A review of fertilizer amendment technologies and mechanisms. Chemosphere 2022, 303, 134944. [Google Scholar] [CrossRef] [PubMed]
- Raza, S.T.; Zhu, B.; Yao, Z.; Wu, J.; Chen, Z.; Ali, Z.; Tang, J.L. Impacts of vermicompost application on crop yield, ammonia volatilization and greenhouse gases emission on upland in Southwest China. Sci. Total Environ. 2023, 860, 160479. [Google Scholar] [CrossRef] [PubMed]
- Kohira, Y.; Fentie, D.; Lewoyehu, M.; Wutisirirattanachai, T.; Gezahegn, A.; Addisu, S.; Sato, S. Mitigation of ammonia volatilization from organic and inorganic nitrogen sources applied to soil using water hyacinth biochars. Chemosphere 2024, 363, 142872. [Google Scholar] [CrossRef] [PubMed]
- Wang, S.; Zhai, L.; Guo, S.; Zhang, F.; Hua, L.; Liu, H. Returned straw reduces nitrogen runoff loss by influencing nitrification process through modulating soil C:N of different paddy systems. Agric. Ecosyst. Environ. 2023, 354, 108438. [Google Scholar] [CrossRef]
- Zhao, M.; Shi, Y.; Chen, X.; Ma, J. Soil nitrogen accumulation in different ages of vegetable greenhouses. Procedia Environ. Sci. 2011, 8, 21–25. [Google Scholar] [CrossRef]
- Jiang, Y.; Sun, Z.; Wang, R.; Wang, H.; Wang, J. A quantitative reconstruction of nutrient changes of quaternary red soils (Luvisols) affected by land-use patterns. Agronomy 2023, 13, 2386. [Google Scholar] [CrossRef]
- February, E.C.; Higgins, S.I. The distribution of tree and grass roots in savannas in relation to soil nitrogen and water. S. Afr. J. Bot. 2010, 76, 517–523. [Google Scholar] [CrossRef]
- Guan, Y.; Wu, M.; Che, S.; Yuan, S.; Yang, X.; Li, S.; Tian, P.; Wu, L.; Yang, M.; Wu, Z. Effects of continuous straw returning on soil functional microorganisms and microbial communities. J. Microbiol. 2023, 61, 49–62. [Google Scholar] [CrossRef] [PubMed]
- Liu, H.; Du, X.; Li, Y.; Han, X.; Li, B.; Zhang, X.; Li, Q.; Liang, W. Organic substitutions improve soil quality and maize yield through increasing soil microbial diversity. J. Clean. Prod. 2022, 347, 131323. [Google Scholar] [CrossRef]
- Wang, J.; Kang, S.; Li, F.; Zhang, F.; Li, Z.; Zhang, J. Effects of alternate partial root-zone irrigation on soil microorganism and maize growth. Plant Soil 2008, 302, 45–52. [Google Scholar] [CrossRef]
- Li, X.; Zhang, Q.; Ma, J.; Yang, Y.; Wang, Y.; Fu, C. Flooding irrigation weakens the molecular ecological network complexity of soil microbes during the process of dryland-to-paddy conversion. Int. J. Environ. Res. Public Health 2020, 17, 561. [Google Scholar] [CrossRef]
- de Vries, F.T.; Griffiths, R.I.; Bailey, M.; Craig, H.; Girlanda, M.; Gweon, H.S.; Hallin, S.; Kaisermann, A.; Keith, A.M.; Kretzschmar, M.; et al. Soil bacterial networks are less stable under drought than fungal networks. Nat. Commun. 2018, 9, 3012–3033. [Google Scholar] [CrossRef]
- Zhou, Y.; Bastida, F.; Zhou, B.; Sun, Y.; Gu, T.; Li, S.; Li, Y. Soil fertility and crop production are fostered by micro-nano bubble irrigation with associated changes in soil bacterial community. Soil Biol. Biochem. 2020, 141, 107663. [Google Scholar] [CrossRef]
- Bardgett, R.D.; Caruso, T. Soil microbial community responses to climate extremes: Resistance, resilience and transitions to alternative states. Phil. Trans. R. Soc. B 2020, 375, 20190112. [Google Scholar] [CrossRef]
- Hernandez, D.J.; David, A.S.; Menges, E.S.; Searcy, C.A.; Afkhami, M.E. Environmental stress destabilizes microbial networks. ISME J. 2021, 15, 1722–1734. [Google Scholar] [CrossRef] [PubMed]
- Wang, E.; Lin, X.; Tian, L.; Wang, X.; Ji, L.; Jin, F.; Tian, C. Effects of short-term rice straw return on the soil microbial community. Agriculture 2021, 11, 561. [Google Scholar] [CrossRef]
- Kitano, H. Biological robustness. Nat. Rev. Genet. 2004, 5, 826–837. [Google Scholar] [CrossRef] [PubMed]
- Sun, Y.; Xu, Y.; Zhang, J.; Bello, A.; Li, X.; Liu, W.; Egbeagu, U.U.; Zhao, L.; Han, Y.; Cheng, L.; et al. Investigation of underlying links between nitrogen transformation and microorganisms’ network modularity in the novel static aerobic composting of dairy manure by “stepwise verification interaction analysis”. Sci. Total Environ. 2023, 883, 163674. [Google Scholar] [CrossRef] [PubMed]









| Experimental Materials | Total N | Total P | Total K | Total C | C/N | pH | EC |
|---|---|---|---|---|---|---|---|
| Maize straw | 10.3 mg·g−1 | 2.57 mg·g−1 | 13.66 mg·g−1 | 399.1 mg·g−1 | 38.74 | / | / |
| Air-dried cow manure | 13.4 mg·g−1 | 3.72 mg·g−1 | 19.45 mg·g−1 | 149.5 mg·g−1 | 11.15 | / | / |
| Groundwater | 2.0 mg·L−1 | 0.12 mg·L−1 | / | / | / | 7.43 | 302 μS·cm−1 |
| Treatments | Straw (kgN hm−2) | Manure (kgN hm−2) | Chemical Fertilizer (kgN hm−2) | Irrigation Amount (m3 hm−2) |
|---|---|---|---|---|
| SW1 | 77.21 | 0 | 162.79 | 105 |
| W1 | 0 | 0 | 240 | 105 |
| SMW1 | 77.21 | 72 | 90.79 | 105 |
| MW1 | 0 | 72 | 168 | 105 |
| SW2 | 77.21 | 0 | 162.79 | 140 |
| W2 | 0 | 0 | 240 | 140 |
| SMW2 | 77.21 | 72 | 90.79 | 140 |
| MW2 | 0 | 72 | 168 | 140 |
| Treatments | Nodes | Edges | Modularity | Network Diameter | Average Degree | Average Clustering Coefficient | Average Path Length | Average Weighted Degree |
|---|---|---|---|---|---|---|---|---|
| SW1 | 930 | 57,668 | 4.945 | 14 | 124.017 | 0.617 | 3.547 | 16.306 |
| W1 | 917 | 44,056 | 7.175 | 13 | 96.087 | 0.641 | 4.051 | 12.482 |
| SMW1 | 926 | 38,082 | 2.420 | 16 | 82.251 | 0.575 | 3.894 | 20.301 |
| MW1 | 869 | 20,247 | 1.030 | 16 | 46.598 | 0.574 | 4.805 | 30.298 |
| SW2 | 453 | 1956 | 0.678 | 12 | 8.636 | 0.535 | 3.483 | 15.234 |
| W2 | 429 | 2643 | 0.433 | 22 | 12.322 | 0.514 | 6.301 | 22.032 |
| SMW2 | 399 | 2492 | 0.762 | 13 | 12.491 | 0.484 | 3.800 | 11.092 |
| MW2 | 391 | 918 | 0.843 | 18 | 4.696 | 0.521 | 6.698 | 7.173 |
Disclaimer/Publisher’s Note: The statements, opinions and data contained in all publications are solely those of the individual author(s) and contributor(s) and not of MDPI and/or the editor(s). MDPI and/or the editor(s) disclaim responsibility for any injury to people or property resulting from any ideas, methods, instructions or products referred to in the content. |
© 2024 by the authors. Licensee MDPI, Basel, Switzerland. This article is an open access article distributed under the terms and conditions of the Creative Commons Attribution (CC BY) license (https://creativecommons.org/licenses/by/4.0/).
Share and Cite
Chen, T.; Cui, E.; Zhang, Y.; Gao, G.; You, H.; Tian, Y.; Hu, C.; Liu, Y.; Fan, T.; Fan, X. Microbial Network Complexity Helps to Reduce the Deep Migration of Chemical Fertilizer Nitrogen Under the Combined Application of Varying Irrigation Amounts and Multiple Nitrogen Sources. Agriculture 2024, 14, 2311. https://doi.org/10.3390/agriculture14122311
Chen T, Cui E, Zhang Y, Gao G, You H, Tian Y, Hu C, Liu Y, Fan T, Fan X. Microbial Network Complexity Helps to Reduce the Deep Migration of Chemical Fertilizer Nitrogen Under the Combined Application of Varying Irrigation Amounts and Multiple Nitrogen Sources. Agriculture. 2024; 14(12):2311. https://doi.org/10.3390/agriculture14122311
Chicago/Turabian StyleChen, Taotao, Erping Cui, Yanbo Zhang, Ge Gao, Hao You, Yurun Tian, Chao Hu, Yuan Liu, Tao Fan, and Xiangyang Fan. 2024. "Microbial Network Complexity Helps to Reduce the Deep Migration of Chemical Fertilizer Nitrogen Under the Combined Application of Varying Irrigation Amounts and Multiple Nitrogen Sources" Agriculture 14, no. 12: 2311. https://doi.org/10.3390/agriculture14122311
APA StyleChen, T., Cui, E., Zhang, Y., Gao, G., You, H., Tian, Y., Hu, C., Liu, Y., Fan, T., & Fan, X. (2024). Microbial Network Complexity Helps to Reduce the Deep Migration of Chemical Fertilizer Nitrogen Under the Combined Application of Varying Irrigation Amounts and Multiple Nitrogen Sources. Agriculture, 14(12), 2311. https://doi.org/10.3390/agriculture14122311

