Production of Xylitol and Ethanol from Agricultural Wastes and Biotransformation of Phenylacetylcarbinol in Deep Eutectic Solvent
Abstract
1. Introduction
2. Materials and Methods
2.1. Materials
2.2. Microorganisms
2.3. Preparation of Hemicellulosic Hydrolysates for Xylitol Production
2.4. Preparation of Cellulosic Hydrolysates for Ethanol Production
2.5. Xylitol and Ethanol Production from CC, RS, and SCB
2.6. Selection of Suitable Substrate–Yeast Pairings for PAC Biotransformation
2.7. Screening of Frozen-Thawed Whole Cells for PAC Biotransformation in a Single-Phase Emulsion System
2.8. Comparison of PAC Biotransformation Efficiency in Two-Phase Emulsion System (Pi Buffer: Vg. Oil and Pi Buffer: DES)
2.9. Analytical Methods
2.10. Statistical Analysis
3. Results
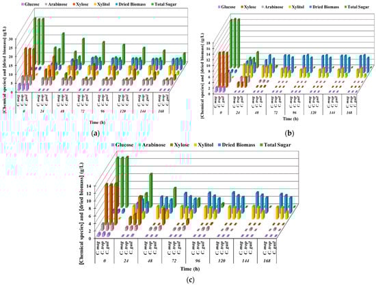
3.1. Production of Xylitol from CC, RS, and SCB Hemicellulosice Hydrolysates
3.2. Production of Ethanol from Cellulosic Hydrolysates of CC, SCB and RS
3.3. Selection of Suitable Substrate–Yeast Strain Pairings for PAC Biotransformation
3.4. Comparison of PAC Biotransformation in a Single-Phase Emulsion System
3.5. Comparison of PAC Biotransformation in Two-Phase Emulsion System
4. Discussion
4.1. Production of Xylitol from Hemicellulosic Hydrolysates of CC, SCB and RS
4.2. Production of Ethanol from Cellulosic Hydrolysates of CC, SCB, and RS
4.3. Selection of Suitable Substrate–Yeast Strain Pairings for PAC Biotransformation
4.4. Comparison of PAC Biotransformation in a Single-Phase Emulsion System
4.5. Comparison of PAC Biotransformation in a Two-Phase Emulsion System
5. Conclusions
6. Future Research Directions
Supplementary Materials
Author Contributions
Funding
Institutional Review Board Statement
Informed Consent Statement
Data Availability Statement
Acknowledgments
Conflicts of Interest
Abbreviations and Symbols
| [ ] | Concentration |
| ~ | Approximately |
| Ben | Benzaldehyde |
| Benz-A | Benzoic acid |
| C. guil | Candida guilliermondii TISTR 5068 |
| C. mag | Candida magnoliae TISTR 5663 |
| C. trop | Candia tropicalis TISTR 5306 |
| CC | Corn cob |
| DES | Deep eutectic solvent |
| FPU | Filter paper unit |
| H2SO4 | Sulfuric acid |
| LCB | Lignocellulosic biomass |
| LSR | Liquid-to-solid ratio |
| Min | minute |
| MOPS | 3-(N-Morpholino) propanesulfonic acid |
| Org | Organic |
| PAC | Phenylacetylcarbinol |
| PDC | Pyruvate decarboxylase |
| Pi | Phosphate |
| Pyr | Sodium pyruvate |
| Qp,eth | Volumetric productivity of ethanol (g/L/h) |
| Qp,xytl | Volumetric productivity of xylitol (g/L/h) |
| Q-PAC | PAC productivity per millimolar per h (mM/h) |
| RS | Rice straw |
| SCB | Sugarcane bagasse |
| SE | Standard errors |
| Sp-PAC | Specific PAC production (mg/UICA) |
| TISTR | Thailand Institute of Scientific and Technological Research |
| UICA | Initial carboligase activity unit |
| Vg. oil | Vegetable oil |
References
- Mujtaba, M.; Fraceto, L.; Fazeli, M.; Mukherjee, S.; Savassa, S.M.; de Medeiros, G.A.; Santo Pereira, A.D.E.; Mancini, S.D.; Lipponen, J.; Vilaplana, F. Lignocellulosic biomass from agricultural waste to the circular economy: A review with focus on biofuels, biocomposites and bioplastics. J. Clean. Prod. 2023, 402, 136815. [Google Scholar] [CrossRef]
- Aghaei, S.; Alavijeh, M.K.; Shafiei, M.; Karimi, K. A comprehensive review on bioethanol production from corn stover: Worldwide potential, environmental importance, and perspectives. Biomass Bioenergy 2022, 161, 106447. [Google Scholar] [CrossRef]
- Koul, B.; Yakoob, M.; Shah, M.P. Agricultural waste management strategies for environmental sustainability. Environ. Res. 2022, 206, 112285. [Google Scholar] [CrossRef] [PubMed]
- Capanoglu, E.; Nemli, E.; Tomas-Barberan, F. Novel Approaches in the Valorization of Agricultural Wastes and Their Applications. J. Agric. Food Chem. 2022, 70, 6787–6804. [Google Scholar] [CrossRef]
- Raina, D.; Kumar, V.; Saran, S. A critical review on exploitation of agro-industrial biomass as substrates for the therapeutic microbial enzymes production and implemented protein purification techniques. Chemosphere 2022, 294, 133712. [Google Scholar] [CrossRef]
- Pandey, A.; Kumar, B. Utilization of agricultural and industrial waste as replacement of cement in pavement quality concrete: A review. Environ. Sci. Pollut. Res. 2022, 29, 24504–24546. [Google Scholar] [CrossRef]
- Seesuriyachan, P.; Kuntiya, A.; Kawee-ai, A.; Techapun, C.; Chaiyaso, T.; Leksawasdi, N. Improvement in efficiency of lignin degradation by Fenton reaction using synergistic catalytic action. Ecol. Eng. 2015, 85, 283–287. [Google Scholar] [CrossRef]
- Culaba, A.B.; Mayol, A.P.; San Juan, J.L.G.; Vinoya, C.L.; Concepcion II, R.S.; Bandala, A.A.; Vicerra, R.R.P.; Ubando, A.T.; Chen, W.-H.; Chang, J.-S. Smart sustainable biorefineries for lignocellulosic biomass. Bioresour. Technol. 2022, 344, 126215. [Google Scholar] [CrossRef]
- Feng, J.; Techapun, C.; Phimolsiripol, Y.; Phongthai, S.; Khemacheewakul, J.; Taesuwan, S.; Mahakuntha, C.; Porninta, K.; Htike, S.L.; Kumar, A. Utilization of agricultural wastes for co-production of xylitol, ethanol, and phenylacetylcarbinol: A review. Bioresour. Technol. 2023, 392, 129926. [Google Scholar] [CrossRef]
- Maria, G.; Renea, L.; Maria, C. Multiobjective Optimization of a Fed-Batch Bienzymatic Reactor for Mannitol Production. Dynamics 2022, 2, 270–294. [Google Scholar] [CrossRef]
- Ahmad Farid, M.A.; Hassan, M.A.; Roslan, A.M.; Ariffin, H.; Norrrahim, M.N.F.; Othman, M.R.; Yoshihito, S. Improving the decolorization of glycerol by adsorption using activated carbon derived from oil palm biomass. Environ. Sci. Pollut. Res. 2021, 28, 27976–27987. [Google Scholar] [CrossRef] [PubMed]
- Greenhouse Gas Emissions Estimation Methodologies for Biogenic Emissions from Selected Source Categories. Available online: https://www.epa.gov/air-emissions-factors-and-quantification/greenhouse-gas-emissions-estimation-methodologies-biogenic (accessed on 27 April 2011).
- Zubkova, V.; Strojwas, A.; Bielecki, M.; Kieush, L.; Koverya, A. Comparative study of pyrolytic behavior of the biomass wastes originating in the Ukraine and potential application of such biomass. Part 1. Analysis of the course of pyrolysis process and the composition of formed products. Fuel 2019, 254, 115688. [Google Scholar] [CrossRef]
- Second Generation Biofuels Market Size, Share, Competitive Landscape and Trend Analysis Report by Type, by Feedstock, by Process, by Application: Global Opportunity Analysis and Industry. Available online: https://www.alliedmarketresearch.com/second-generation-biofuels-market (accessed on 30 November 2023).
- Kaur, S.; Guleria, P.; Yadav, S.K. Evaluation of fermentative xylitol production potential of adapted strains of Meyerozyma caribbica and Candida tropicalis from rice straw hemicellulosic hydrolysate. Fermentation 2023, 9, 181. [Google Scholar] [CrossRef]
- Umai, D.; Kayalvizhi, R.; Kumar, V.; Jacob, S. Xylitol: Bioproduction and applications-a review. Front. Sustain. 2022, 3, 826190. [Google Scholar] [CrossRef]
- Connected Agriculture Market Size, Share|Global Report, 2026. Available online: https://www.fortunebusinessinsights.com/connected-agriculture-market-102061 (accessed on 28 October 2024).
- López-Linares, J.C.; Romero, I.; Cara, C.; Castro, E.; Mussatto, S.I. Xylitol production by Debaryomyces hansenii and Candida guilliermondii from rapeseed straw hemicellulosic hydrolysate. Bioresour. Technol. 2018, 247, 736–743. [Google Scholar] [CrossRef]
- West, T.P. Xylitol production by Candida species from hydrolysates of agricultural residues and grasses. Fermentation 2021, 7, 243. [Google Scholar] [CrossRef]
- Queiroz, S.S.; Jofre, F.M.; Mussatto, S.I.; Maria das Graças, A.F. Scaling up xylitol bioproduction: Challenges to achieve a profitable bioprocess. Renew. Sustain. Energy Rev. 2022, 154, 111789. [Google Scholar] [CrossRef]
- Azhar, S.H.M.; Abdulla, R.; Jambo, S.A.; Marbawi, H.; Gansau, J.A.; Faik, A.A.M.; Rodrigues, K.F. Yeasts in sustainable bioethanol production: A review. Biochem. Biophys. Rep. 2017, 10, 52–61. [Google Scholar]
- Nunta, R.; Techapun, C.; Sommanee, S.; Mahakuntha, C.; Porninta, K.; Punyodom, W.; Phimolsiripol, Y.; Rachtanapun, P.; Wang, W.; Zhuang, X. Valorization of rice straw, sugarcane bagasse and sweet sorghum bagasse for the production of bioethanol and phenylacetylcarbinol. Sci. Rep. 2023, 13, 727. [Google Scholar] [CrossRef]
- Porninta, K.; Khemacheewakul, J.; Techapun, C.; Phimolsiripol, Y.; Jantanasakulwong, K.; Sommanee, S.; Mahakuntha, C.; Feng, J.; Htike, S.L.; Kumar, A. Pretreatment and Enzymatic Hydrolysis Optimization of Lignocellulosic Biomass for Ethanol, Xylitol, and Phenylacetylcarbinol Co-Production using Candida magnoliae. Front. Bioeng. Biotechnol. 2024, 11, 1332185. [Google Scholar] [CrossRef]
- Singh, A.K.; Pandey, A.K.; Kumar, M.; Paul, T.; Gaur, N.A. Improved xylitol production by the novel inhibitor-tolerant yeast Candida tropicalis K2. Environ. Technol. 2024, 45, 1–15. [Google Scholar] [CrossRef] [PubMed]
- Kumar, A.; Techapun, C.; Sommanee, S.; Mahakuntha, C.; Feng, J.; Htike, S.L.; Khemacheewakul, J.; Porninta, K.; Phimolsiripol, Y.; Wang, W. Production of Phenylacetylcarbinol via Biotransformation Using the Co-Culture of Candida tropicalis TISTR 5306 and Saccharomyces cerevisiae TISTR 5606 as the Biocatalyst. J. Fungi 2023, 9, 928. [Google Scholar] [CrossRef] [PubMed]
- Iranmanesh, E.; Asadollahi, M.A.; Biria, D. Improving L-phenylacetylcarbinol production in Saccharomyces cerevisiae by in silico aided metabolic engineering. J. Biotechnol. 2020, 308, 27–34. [Google Scholar] [CrossRef] [PubMed]
- Yu, T.; Zhou, Y.J.; Huang, M.; Liu, Q.; Pereira, R.; David, F.; Nielsen, J. Reprogramming yeast metabolism from alcoholic fermentation to lipogenesis. Cell 2018, 174, 1549–1558.e1514. [Google Scholar] [CrossRef]
- Kladko, D.V.; Zakharzhevskii, M.A.; Vinogradov, V.V. Magnetic Field-Mediated Control of Whole-Cell Biocatalysis. J. Phys. Chem. Lett. 2020, 11, 8989–8996. [Google Scholar] [CrossRef]
- Leksawasdi, N.; Rogers, P.L.; Rosche, B. Improved enzymatic two-phase biotransformation for (R)-phenylacetylcarbinol: Effect of dipropylene glycol and modes of pH control. Biocatal. Biotransform. 2005, 23, 445–451. [Google Scholar] [CrossRef]
- Kandar, S.; Suresh, A.; Noronha, S.B. (R)-PAC biosynthesis in [BMIM][PF6]/aqueous biphasic system using Saccharomyces cerevisiae BY4741 cells. Appl. Biochem. Biotechnol. 2015, 175, 1771–1788. [Google Scholar] [CrossRef]
- Abbasi, N.M.; Farooq, M.Q.; Anderson, J.L. Investigating the effect of systematically modifying the molar ratio of hydrogen bond donor and acceptor on solvation characteristics of deep eutectic solvents formed using choline chloride salt and polyalcohols. J. Chromatogr. A 2022, 1667, 462871. [Google Scholar] [CrossRef]
- Yang, T.-X.; Zhao, L.-Q.; Wang, J.; Song, G.-L.; Liu, H.-M.; Cheng, H.; Yang, Z. Improving whole-cell biocatalysis by addition of deep eutectic solvents and natural deep eutectic solvents. ACS Sustain. Chem. Eng. 2017, 5, 5713–5722. [Google Scholar] [CrossRef]
- Sanchez-Fernandez, A.; Prevost, S.; Wahlgren, M. Deep eutectic solvents for the preservation of concentrated proteins: The case of lysozyme in 1: 2 choline chloride: Glycerol. Green Chem. 2022, 24, 4437–4442. [Google Scholar] [CrossRef]
- Xu, P.; Zheng, G.-W.; Zong, M.-H.; Li, N.; Lou, W.-Y. Recent progress on deep eutectic solvents in biocatalysis. Bioresour. Bioprocess. 2017, 4, 1–18. [Google Scholar] [CrossRef] [PubMed]
- Gotor-Fernández, V.; Paul, C.E. Deep eutectic solvents for redox biocatalysis. J. Biotechnol. 2019, 293, 24–35. [Google Scholar] [CrossRef] [PubMed]
- Pätzold, M.; Siebenhaller, S.; Kara, S.; Liese, A.; Syldatk, C.; Holtmann, D. Deep eutectic solvents as efficient solvents in biocatalysis. Trends Biotechnol. 2019, 37, 943–959. [Google Scholar] [CrossRef] [PubMed]
- Kong, L.; Fan, B.; He, Y.-C. Efficient whole-cell biosynthesis of (S)-2-chloro-1-(3, 4-difluorophenyl)-ethanol from 2-chloro-1-(3, 4-difluorophenyl) ethanone in a sustainable reaction system. Mol. Catal. 2023, 550, 113570. [Google Scholar] [CrossRef]
- Vitale, P.; Perna, F.M.; Agrimi, G.; Pisano, I.; Mirizzi, F.; Capobianco, R.V.; Capriati, V. Whole-cell biocatalyst for chemoenzymatic total synthesis of rivastigmine. Catalysts 2018, 8, 55. [Google Scholar] [CrossRef]
- Kim, S.H.; Park, S.; Yu, H.; Kim, J.H.; Kim, H.J.; Yang, Y.-H.; Kim, Y.H.; Kim, K.J.; Kan, E.; Lee, S.H. Effect of deep eutectic solvent mixtures on lipase activity and stability. J. Mol. Catal. B Enzym. 2016, 128, 65–72. [Google Scholar] [CrossRef]
- Xu, W.-J.; Huang, Y.-K.; Li, F.; Wang, D.-D.; Yin, M.-N.; Wang, M.; Xia, Z.-N. Improving β-glucosidase biocatalysis with deep eutectic solvents based on choline chloride. Biochem. Eng. J. 2018, 138, 37–46. [Google Scholar] [CrossRef]
- Bhutto, A.W.; Qureshi, K.; Harijan, K.; Abro, R.; Abbas, T.; Bazmi, A.A.; Karim, S.; Yu, G. Insight into progress in pre-treatment of lignocellulosic biomass. Energy 2017, 122, 724–745. [Google Scholar] [CrossRef]
- Ramaiah, S.K.; Thimappa, G.S.; Nataraj, L.K.; Dasgupta, P. Optimization of oxalic acid pre-treatment and enzymatic saccharification in Typha latifolia for production of reducing sugar. J. Genet. Eng. Biotechnol. 2020, 18, 1–9. [Google Scholar] [CrossRef]
- Goli, J.K.; Hameeda, B. Production of xylitol and ethanol from acid and enzymatic hydrolysates of Typha latifolia by Candida tropicalis JFH5 and Saccharomyces cerevisiae VS3. Biomass Convers. Biorefinery 2023, 13, 9471–9751. [Google Scholar] [CrossRef]
- Moraes, E.D.J.C.; Silva, D.D.V.; Dussán, K.J.; Tesche, L.Z.; Silva, J.B.D.A.; Rai, M.; Felipe, M.D.G.D.A. Xylitol-sweetener production from barley straw: Optimization of acid hydrolysis condition with the energy consumption simulation. Waste Biomass Valorization 2020, 11, 1837–1849. [Google Scholar] [CrossRef]
- Skiba, E.A.; Budaeva, V.V.; Baibakova, O.V.; Zolotukhin, V.N.; Sakovich, G.V. Dilute nitric-acid pretreatment of oat hulls for ethanol production. Biochem. Eng. J. 2017, 126, 118–125. [Google Scholar] [CrossRef]
- Chiranjeevi, T.; Mattam, A.J.; Vishwakarma, K.K.; Uma, A.; Peddy, V.R.; Gandham, S.; Ravindra Velankar, H. Assisted single-step acid pretreatment process for enhanced delignification of rice straw for bioethanol production. ACS Sustain. Chem. Eng. 2018, 6, 8762–8774. [Google Scholar] [CrossRef]
- Deshavath, N.N.; Dien, B.S.; Slininger, P.J.; Jin, Y.-S.; Singh, V. A chemical-free pretreatment for biosynthesis of bioethanol and lipids from lignocellulosic biomass: An industrially relevant 2G biorefinery approach. Fermentation 2022, 9, 5. [Google Scholar] [CrossRef]
- Amândio, M.S.; Rocha, J.M.; Xavier, A.M. Enzymatic hydrolysis strategies for cellulosic sugars production to obtain bioethanol from Eucalyptus globulus bark. Fermentation 2023, 9, 241. [Google Scholar] [CrossRef]
- Unrean, P.; Ketsub, N. Integrated lignocellulosic bioprocess for co-production of ethanol and xylitol from sugarcane bagasse. Ind. Crops Prod. 2018, 123, 238–246. [Google Scholar] [CrossRef]
- Du, C.; Li, Y.; Zong, H.; Yuan, T.; Yuan, W.; Jiang, Y. Production of bioethanol and xylitol from non-detoxified corn cob via a two-stage fermentation strategy. Bioresour. Technol. 2020, 310, 123427. [Google Scholar] [CrossRef]
- Khemacheewakul, J.; Techapun, C.; Kuntiya, A.; Sanguanchaipaiwong, V.; Chaiyaso, T.; Hanmoungjai, P.; Seesuriyachan, P.; Leksawasdi, N.; Nunta, R.; Sommanee, S. Development of mathematical model for pyruvate decarboxylase deactivation kinetics by benzaldehyde with inorganic phosphate activation effect. Chiang Mai J. Sci 2018, 45, 1426–1438. [Google Scholar]
- Leksawasdi, N.; Chow, Y.Y.; Breuer, M.; Hauer, B.; Rosche, B.; Rogers, P.L. Kinetic analysis and modelling of enzymatic (R)-phenylacetylcarbinol batch biotransformation process. J. Biotechnol. 2004, 111, 179–189. [Google Scholar] [CrossRef]
- Gunawan, C.; Breuer, M.; Hauer, B.; Rogers, P.L.; Rosche, B. Improved (R)-phenylacetylcarbinol production with Candida utilis pyruvate decarboxylase at decreased organic to aqueous phase volume ratios. Biotechnol. Lett. 2008, 30, 281–286. [Google Scholar] [CrossRef]
- Molnar, M.; Periš, I.; Komar, M. Choline chloride based deep eutectic solvents as a tuneable medium for synthesis of coumarinyl 1, 2, 4-triazoles: Effect of solvent type and temperature. Eur. J. Org. Chem. 2019, 2019, 2688–2694. [Google Scholar] [CrossRef]
- Rosche, B.; Sandford, V.; Breuer, M.; Hauer, B.; Rogers, P.L. Enhanced production of R-phenylacetylcarbinol (R-PAC) through enzymatic biotransformation. J. Mol. Catal. B Enzym. 2002, 19, 109–115. [Google Scholar] [CrossRef]
- Bradford, M.M. A rapid and sensitive method for the quantitation of microgram quantities of protein utilizing the principle of protein-dye binding. Anal. Biochem. 1976, 72, 248–254. [Google Scholar] [CrossRef]
- Sumphanwanich, J.; Leepipatpiboon, N.; Srinorakutara, T.; Akaracharanya, A. Evaluation of dilute-acid pretreated bagasse, corn cob and rice straw for ethanol fermentation by Saccharomyces cerevisiae. Ann. Microbiol. 2008, 58, 219–225. [Google Scholar] [CrossRef]
- Panakkal, E.J.; Sriariyanun, M.; Ratanapoompinyo, J.; Yasurin, P.; Cheenkachorn, K.; Rodiahwati, W.; Tantayotai, P. Influence of sulfuric acid pretreatment and inhibitor of sugarcane bagasse on the production of fermentable sugar and ethanol. Appl. Sci. Eng. Prog. 2022, 15, 1–13. [Google Scholar] [CrossRef]
- Wang, Q.; Qi, W.; Wang, W.; Zhang, Y.; Leksawasdi, N.; Zhuang, X.; Yu, Q.; Yuan, Z. Production of furfural with high yields from corncob under extremely low water/solid ratios. Renew. Energy 2019, 144, 139–146. [Google Scholar] [CrossRef]
- Rao, L.V.; Goli, J.K.; Gentela, J.; Koti, S. Bioconversion of lignocellulosic biomass to xylitol: An overview. Bioresour. Technol. 2016, 213, 299–310. [Google Scholar]
- Chuntranuluck, S.; Vaithanomsat, P.; Rodkamnerd, S. Xylitol obtained by fermentation of hydrolysate from steam explosion of Vetiveria zizanioides Nash. Agric. Nat. Resour. 2013, 47, 115–121. [Google Scholar]
- Banuvalli, B.; Mudliar, S.; Bokade, V.; Debnath, S. Evaluation of inhibition kinetics of furfural, 5-hydroxymethylfurfural and acetic acid on xylitol fermentation by Pichia stipitis. Authorea Prepr. 2022. [CrossRef]
- Bhavana, B.K.; Mudliar, S.N.; Bokade, V.; Debnath, S. Effect of furfural, acetic acid and 5-hydroxymethylfurfural on yeast growth and xylitol fermentation using Pichia stipitis NCIM 3497. Biomass Convers. Biorefinery 2024, 14, 4909–4923. [Google Scholar]
- Wannawilai, S.; Chisti, Y.; Sirisansaneeyakul, S. A model of furfural-inhibited growth and xylitol production by Candida magnoliae TISTR 5663. Food Bioprod. Process. 2017, 105, 129–140. [Google Scholar] [CrossRef]
- Hor, S.; Kongkeitkajorn, M.B.; Reungsang, A. Evaluation of Xylose-Utilising Yeasts for Xylitol Production from Second-Generation Ethanol Vinasse and Effect of Agitation Intensity in Flask-Scale Xylitol Production. Sains Malays. 2023, 52, 175–185. [Google Scholar] [CrossRef]
- Wannawilai, S.; Sirisansaneeyakul, S. Economical production of xylitol from Candida magnoliae TISTR 5663 using sugarcane bagasse hydrolysate. Agric. Nat. Resour. 2015, 49, 583–596. [Google Scholar]
- Guleria, P.; Kaur, S.; Sidana, A.; Yadav, S.K. Xylitol production from rice straw hemicellulosic hydrolysate by Candida tropicalis GS18 immobilized on bacterial cellulose-sodium alginate matrix. Biomass Convers. Biorefinery 2024, 14, 9241–9251. [Google Scholar] [CrossRef]
- Porninta, K.; Mahakuntha, C.; Khemacheewakul, J.; Techapun, C.; Phimolsiripol, Y.; Rachtanapun, P.; Jantanasakulwong, K.; Feng, J.; Htike, S.L.; Nunta, R. Cell Recycling Application in Single-Stage and Sequential-Stage Co-Production of Xylitol and Ethanol Using Corn Cob Hydrolysates. Agriculture 2024, 14, 1062. [Google Scholar] [CrossRef]
- Cheng, K.-K.; Wu, J.; Lin, Z.-N.; Zhang, J.-A. Aerobic and sequential anaerobic fermentation to produce xylitol and ethanol using non-detoxified acid pretreated corncob. Biotechnol. Biofuels 2014, 7, 1–9. [Google Scholar] [CrossRef]
- Wang, S.; Cheng, G.; Joshua, C.; He, Z.; Sun, X.; Li, R.; Liu, L.; Yuan, Q. Furfural tolerance and detoxification mechanism in Candida tropicalis. Biotechnol. Biofuels 2016, 9, 1–11. [Google Scholar] [CrossRef]
- Prabhu, A.A.; Bosakornranut, E.; Amraoui, Y.; Agrawal, D.; Coulon, F.; Vivekanand, V.; Thakur, V.K.; Kumar, V. Enhanced xylitol production using non-detoxified xylose rich pre-hydrolysate from sugarcane bagasse by newly isolated Pichia fermentans. Biotechnol. Biofuels 2020, 13, 1–15. [Google Scholar] [CrossRef]
- Singh, A.K.; Deeba, F.; Kumar, M.; Kumari, S.; Wani, S.A.; Paul, T.; Gaur, N.A. Development of engineered Candida tropicalis strain for efficient corncob-based xylitol-ethanol biorefinery. Microb. Cell Factories 2023, 22, 201. [Google Scholar] [CrossRef]
- Hor, S.; Kongkeitkajorn, M.B.; Reungsang, A. Sugarcane bagasse-based ethanol production and utilization of its vinasse for xylitol production as an approach in integrated biorefinery. Fermentation 2022, 8, 340. [Google Scholar] [CrossRef]
- Castañón-Rodríguez, J.F.; Portilla-Arias, J.A.; Aguilar-Uscanga, B.R.; Aguilar-Uscanga, M.G. Effects of oxygen and nutrients on xylitol and ethanol production in sugarcane bagasse hydrolyzates. Food Sci. Biotechnol. 2015, 24, 1381–1389. [Google Scholar] [CrossRef]
- Mussatto, S.I.; Roberto, I.C. Evaluation of nutrient supplementation to charcoal-treated and untreated rice straw hydrolysate for xylitol production by Candida guilliermondii. Braz. Arch. Biol. Technol. 2005, 48, 497–502. [Google Scholar] [CrossRef]
- Araújo, D.; Costa, T.; Freitas, F. Biovalorization of lignocellulosic materials for xylitol production by the yeast Komagataella pastoris. Appl. Sci. 2021, 11, 5516. [Google Scholar] [CrossRef]
- Awoyale, A.A.; Lokhat, D. Experimental determination of the effects of pretreatment on selected Nigerian lignocellulosic biomass in bioethanol production. Sci. Rep. 2021, 11, 557. [Google Scholar] [CrossRef]
- Gutiérrez-Corona, J.F.; González-Hernández, G.A.; Padilla-Guerrero, I.E.; Olmedo-Monfil, V.; Martínez-Rocha, A.L.; Patiño-Medina, J.A.; Meza-Carmen, V.; Torres-Guzmán, J.C. Fungal alcohol dehydrogenases: Physiological function, molecular properties, regulation of their production, and biotechnological potential. Cells 2023, 12, 2239. [Google Scholar] [CrossRef]
- Oberoi, H.S.; Vadlani, P.V.; Brijwani, K.; Bhargav, V.K.; Patil, R.T. Enhanced ethanol production via fermentation of rice straw with hydrolysate-adapted Candida tropicalis ATCC 13803. Process Biochem. 2010, 45, 1299–1306. [Google Scholar] [CrossRef]
- Mattam, A.J.; Kuila, A.; Suralikerimath, N.; Choudary, N.; Rao, P.V.; Velankar, H.R. Cellulolytic enzyme expression and simultaneous conversion of lignocellulosic sugars into ethanol and xylitol by a new Candida tropicalis strain. Biotechnol. Biofuels 2016, 9, 1–12. [Google Scholar] [CrossRef]
- Cunha-Pereira, F.d.; Hickert, L.; Rech, R.; Dillon, A.; Ayub, M.Z. Fermentation of hexoses and pentoses from hydrolyzed soybean hull into ethanol and xylitol by Candida guilliermondii BL 13. Braz. J. Chem. Eng. 2017, 34, 927–936. [Google Scholar] [CrossRef]
- Tse, T.J.; Wiens, D.J.; Reaney, M.J. Production of bioethanol—A review of factors affecting ethanol yield. Fermentation 2021, 7, 268. [Google Scholar] [CrossRef]
- Kumar, R.; Wyman, C.E. The impact of dilute sulfuric acid on the selectivity of xylooligomer depolymerization to monomers. Carbohydr. Res. 2008, 343, 290–300. [Google Scholar] [CrossRef]
- Satianegara, G.; Breuer, M.; Hauer, B.; Rogers, P.L.; Rosche, B. Enzymatic (R)-phenylacetylcarbinol production in a benzaldehyde emulsion system with Candida utilis cells. Appl. Microbiol. Biotechnol. 2006, 70, 170–175. [Google Scholar] [CrossRef] [PubMed]
- Leksawasdi, N.; Breuer, M.; Hauer, B.; Rosche, B.; Rogers, P.L. Kinetics of pyruvate decarboxylase deactivation by benzaldehyde. Biocatal. Biotransform. 2003, 21, 315–320. [Google Scholar] [CrossRef]
- Rosche, B.; Breuer, M.; Hauer, B.; Rogers, P.L. Role of pyruvate in enhancing pyruvate decarboxylase stability towards benzaldehyde. J. Biotechnol. 2005, 115, 91–99. [Google Scholar] [CrossRef] [PubMed]
- Gunawan, C.; Satianegara, G.; Chen, A.K.; Breuer, M.; Hauer, B.; Rogers, P.L.; Rosche, B. Yeast pyruvate decarboxylases: Variation in biocatalytic characteristics for (R)-phenylacetylcarbinol production. FEMS Yeast Res. 2007, 7, 33–39. [Google Scholar] [CrossRef]
- Hohmann, S.; Mager, W.H. Yeast Stress Responses; Springer Science & Business Media: Berlin/Heidelberg, Germany, 2007; Volume 1. [Google Scholar]
- Lee, Y.H.; Kim, K.; Lee, J.H.; Kim, H.J. Protection of alcohol dehydrogenase against freeze–thaw stress by ice-binding proteins is proportional to their ice recrystallization inhibition property. Mar. Drugs 2020, 18, 638. [Google Scholar] [CrossRef]
- Tangtua, J.; Techapun, C.; Pratanaphon, R.; Kuntiya, A.; Chaiyaso, T.; Hanmuangjai, P.; Seesuriyachan, P.; Leksawasdi, N. Screening of 50 microbial strains for production of ethanol and (R)-phenylacetylcarbinol. Chiang Mai J. Sci 2013, 40, 299–304. [Google Scholar]
- Park, H.; Park, G.; Jeon, W.; Ahn, J.-O.; Yang, Y.-H.; Choi, K.-Y. Whole-cell biocatalysis using cytochrome P450 monooxygenases for biotransformation of sustainable bioresources (fatty acids, fatty alkanes, and aromatic amino acids). Biotechnol. Adv. 2020, 40, 107504. [Google Scholar] [CrossRef]
- Taklimi, S.M.; Divsalar, A.; Ghalandari, B.; Ding, X.; Di Gioia, M.L.; Omar, K.A.; Saboury, A.A. Effects of deep eutectic solvents on the activity and stability of enzymes. J. Mol. Liq. 2023, 377, 121562. [Google Scholar] [CrossRef]
- Buzatu, A.R.; Todea, A.; Peter, F.; Boeriu, C.G. The Role of Reactive Natural Deep Eutectic Solvents in Sustainable Biocatalysis. ChemCatChem 2024, 16, e202301597. [Google Scholar] [CrossRef]
- Fotiadou, R.; Bellou, M.G.; Spyrou, K.; Yan, F.; Rudolf, P.; Gournis, D.; Stamatis, H. Effect of deep eutectic solvents on the biocatalytic properties of β-glucosidase@ ZnOFe nano-biocatalyst. Sustain. Chem. Pharm. 2022, 30, 100886. [Google Scholar] [CrossRef]
- Özdemir, A.; Şahin, E. Efficient bioreduction of cyclohexyl phenyl ketone by Leuconostoc pseudomesenteroides N13 biocatalyst using a distance-based design-focused optimization model. Mol. Catal. 2022, 528, 112474. [Google Scholar] [CrossRef]





| Raw Materials | [Sugars] (g/L) | |||
|---|---|---|---|---|
| Glucose | Xylose | Arabinose | Total Sugars | |
| CC | 3.61 A ± 0.12 | 19.4 A ± 0.1 | 5.42 A ± 0.1 | 28.4 A ± 0.1 |
| RS | 1.83 B ± 0.02 | 13.4 B ± 0.1 | 3.61 B ± 0.12 | 18.8 B ± 0.1 |
| SCB | 0.84 C ± 0.07 | 11.8 C ± 0.1 | 1.90 C ± 0.15 | 14.4 C ± 0.1 |
| Hemicellulosic Hydrolysates | [Inhibitors] | ||
|---|---|---|---|
| HMF (mg/L) | Furfural (mg/L) | Acetic Acid (g/L) | |
| CC | 388 A ± 4 | 183 A ± 3 | 2.72 A ± 0.15 |
| RS | 52.5 B ± 2.3 | 47.5 C ± 0.5 | 0.24 C ± < 0.01 |
| SCB | 8.31 C ± 0.83 | 122 B ± 2 | 1.33 B ± < 0.01 |
| Raw Materials | Yeast Strains | Normalized Xylitol Yield Score (100) | Normalized Xylitol Productivity Score (100) | Normalized Biomass Yield Score (100) | Total Score (300) |
|---|---|---|---|---|---|
| CC | C. mag | 81.1 D ± 1.4 | 87.0 B ± 1.3 | 79.3 CD ± 3.7 | 247 CD ± 4 |
| C. trop | 89.2 C ± 1.9 | 100 A ± 2 | 75.8 D ± 1.9 | 265 B ± 3 | |
| C. guil | 43.2 E ± 1.4 | 21.7 G ± 0.9 | 68.9 E± 1.9 | 134 F ± 3 | |
| RS | C. mag | 89.2 C ± 1.4 | 82.6 C ± 4.4 | 100 A ± 2 | 272 A ± 5 |
| C. trop | 86.5 C ± 2.7 | 82.6 C ± 0.9 | 79.3 CD ± 1.9 | 248 C ± 3 | |
| C. guil | 94.6 B ± 2.7 | 74.0 D ± 0.9 | 82.8 BC ± 0.4 | 251 D ± 3 | |
| SCB | C. mag | 89.1 C ± 2.7 | 61.0 E ± 1.3 | 96.6 A ± 1.9 | 247 CD ± 4 |
| C. trop | 94.6 B ± 2.7 | 61.0 E ± 0.9 | 86.2 B ± 1.9 | 242 CD ± 3 | |
| C. guil | 100 A ± 2 | 30.4 F ± 0.5 | 82.8 BC ± 3.7 | 213 E ± 4 |
| Raw Materials | [Sugars] (g/L) | |||
|---|---|---|---|---|
| Glucose | Xylose | Arabinose | Total Sugars | |
| CC | 38.0 A ± 0.5 | 8.41 B ± 0.11 | 1.41 A ± 0.12 | 47.8 A ± 0.7 |
| RS | 21.5 C ± 0.1 | 6.12 C ± 0.18 | n.d. | 27.6 C ± 0.1 |
| SCB | 25.8 B ± 0.1 | 8.70 A ± 0.01 | n.d. | 34.5 B ± 0.2 |
| Raw Materials | Yeast Strains | Normalized Ethanol Yield Score (100) | Normalized Ethanol Productivity Score (100) | Normalized Biomass Yield Score (100) | Total Score (300) |
|---|---|---|---|---|---|
| CC | C. mag | 100 A ± 2 | 100 A ± 1 | 73.3 C ± 0.3 | 273 A ± 3 |
| C. trop | 94.6 B ± 1.6 | 94.9 B ± 0.7 | 63.3 D ± 1.0 | 253 B ± 2 | |
| C. guil | 100 A ± 2 | 76.3 C ± 1.0 | 30.0 G ± 0.3 | 206 E ± 3 | |
| RS | C. mag | 100 A ± 4 | 55.9 E ± 1.2 | 100 A ± 2 | 256 B ± 5 |
| C. trop | 94.6 B ± 1.9 | 55.9 E ± 0.7 | 96.7 B ± 1.3 | 247 C ± 2 | |
| C. guil | 97.3 AB ± 2.4 | 54.2 F ± 1.5 | 53.3 F ± 1.0 | 205 E ± 3 | |
| SCB | C. mag | 78 C ± 1.6 | 57.6 D ± 0.7 | 100 A ± 1 | 236 D ± 2 |
| C. trop | 81 C ± 2.2 | 57.6 D ± 1.4 | 96.7 B ± 2.3 | 235 D ± 4 | |
| C. guil | 97.1 AB ± 1.9 | 50.8 G ± 0.9 | 53.3 E ± 1.0 | 208 E ± 2 |
| Raw Materials | Yeast Strains | Normalized Ethanol Yield Score (100) | Normalized Ethanol Productivity Score (100) | Normalized Biomass Yield Score (100) | Normalizedvol PDC Score (50) | Normalized Spe PDC Score (50) | Total Score (400) |
|---|---|---|---|---|---|---|---|
| CC | C. mag | 100 A ± 2 | 100 A ± 1 | 73.3 C ± 0.3 | 50.0 A ± 0.2 | 50.0 A ± 0.7 | 373 A ± 3 |
| C. trop | 94.6 B ± 1.6 | 94.9 B ± 0.7 | 63.3 D ± 1.0 | 24.4 C ± 0.2 | 25.6 C ± 0.4 | 303 B ± 2 | |
| C. guil | 100 A ± 3 | 76.3 C ± 1.0 | 30.0 G ± 0.3 | 3.89 G ± 0.3 | 4.46 G ± 0.4 | 215 G ± 3 | |
| RS | C. mag | 100 A ± 4 | 55.9 E ± 1.2 | 100 A ± 2.0 | 10.2 F ± 0.2 | 8.35 F ± 0.1 | 274 D ± 5 |
| C. trop | 94.6 B ± 1.9 | 55.9 E ± 0.7 | 96.7 B ± 1.3 | 19.9 D ± 0.3 | 17.8 D ± 0.4 | 285 C ± 3 | |
| C. guil | 97.3 AB ± 2.4 | 54.2 F ± 1.5 | 53.3 F ± 1.0 | 24.7 B ± 0.2 | 28.2 B ± 0.7 | 258 E ±3 | |
| SCB | C. mag | 78.4 C ± 1.6 | 57.6 D ± 0.7 | 100 A ± 1 | 12.6 E ± 0.1 | 14.5 E ± 0.4 | 263 E ± 2 |
| C. trop | 81.1 C ± 2.2 | 57.6 D ± 1.4 | 96.7 B ± 2.3 | 3.83 G ± 0.1 | 3.19 H ± 0.1 | 242 F ± 4 | |
| C. guil | 97.3 AB ± 1.9 | 50.8 G ± 0.9 | 60.0 E ± 1.0 | 3.23 H ± 0.1 | 1.79 I ± 0.1 | 212 G ± 2 |
| Variables | Single-Phase Emulsion System (1 M Phosphate Buffer) | ||
|---|---|---|---|
| Frozen-thawed whole cells | C. mag | C. trop | C. guil |
| Initial activity (U/mL) | 0.30 ±< 0.01 | 0.30 ±< 0.01 | 0.33 ±< 0.01 |
| Residual activity (%) | 28.3 A ± 1.51 | 3.98 C ± 0.64 | 13.2 B ± 0.6 |
| [PAC] mM | 14.7 A ± 0.3 | 14.4 A ± 0.2 | 14.4 A ± 0.2 |
| Sp-PAC (mg/UICA) | 7.36 A ± 0.04 | 7.21 A ± 0.04 | 6.55 B ± 0.05 |
| Q-PAC (mM/h) | 2.45 A ± 0.24 | 2.40 A ± 0.23 | 2.40 A ± 0.23 |
| Pyr mol bal (%) | 88.2 ± 3.1 | 91.0 ± 3.6 | 88.1 ± 5.2 |
| Bz mol bal (%) | 94.1 ± 4.2 | 94.9 ± 3.5 | 95.3 ± 4.1 |
Disclaimer/Publisher’s Note: The statements, opinions and data contained in all publications are solely those of the individual author(s) and contributor(s) and not of MDPI and/or the editor(s). MDPI and/or the editor(s) disclaim responsibility for any injury to people or property resulting from any ideas, methods, instructions or products referred to in the content. |
© 2024 by the authors. Licensee MDPI, Basel, Switzerland. This article is an open access article distributed under the terms and conditions of the Creative Commons Attribution (CC BY) license (https://creativecommons.org/licenses/by/4.0/).
Share and Cite
Htike, S.L.; Khemacheewakul, J.; Techapun, C.; Phimolsiripol, Y.; Rachtanapun, P.; Phongthai, S.; Tochampa, W.; Taesuwan, S.; Jantanasakulwong, K.; Porninta, K.; et al. Production of Xylitol and Ethanol from Agricultural Wastes and Biotransformation of Phenylacetylcarbinol in Deep Eutectic Solvent. Agriculture 2024, 14, 2043. https://doi.org/10.3390/agriculture14112043
Htike SL, Khemacheewakul J, Techapun C, Phimolsiripol Y, Rachtanapun P, Phongthai S, Tochampa W, Taesuwan S, Jantanasakulwong K, Porninta K, et al. Production of Xylitol and Ethanol from Agricultural Wastes and Biotransformation of Phenylacetylcarbinol in Deep Eutectic Solvent. Agriculture. 2024; 14(11):2043. https://doi.org/10.3390/agriculture14112043
Chicago/Turabian StyleHtike, Su Lwin, Julaluk Khemacheewakul, Charin Techapun, Yuthana Phimolsiripol, Pornchai Rachtanapun, Suphat Phongthai, Worasit Tochampa, Siraphat Taesuwan, Kittisak Jantanasakulwong, Kritsadaporn Porninta, and et al. 2024. "Production of Xylitol and Ethanol from Agricultural Wastes and Biotransformation of Phenylacetylcarbinol in Deep Eutectic Solvent" Agriculture 14, no. 11: 2043. https://doi.org/10.3390/agriculture14112043
APA StyleHtike, S. L., Khemacheewakul, J., Techapun, C., Phimolsiripol, Y., Rachtanapun, P., Phongthai, S., Tochampa, W., Taesuwan, S., Jantanasakulwong, K., Porninta, K., Sommanee, S., Mahakuntha, C., Feng, J., Kumar, A., Zhuang, X., Wang, W., Qi, W., Nunta, R., & Leksawasdi, N. (2024). Production of Xylitol and Ethanol from Agricultural Wastes and Biotransformation of Phenylacetylcarbinol in Deep Eutectic Solvent. Agriculture, 14(11), 2043. https://doi.org/10.3390/agriculture14112043

