The Effect of Digital Economy on Rural Environmental Governance: Evidence from China
Abstract
1. Introduction
2. Theoretical Framework
2.1. Concept Definition
2.2. Digital Economy and Rural Environmental Governance
2.3. Mediation Effect of Industrial Structure Optimization
2.4. Mediation Effect of Green Technology Innovation
2.5. Regulatory Effect of Urban–Rural Dual Structure
3. Research Design
3.1. Data Source
3.2. Selection of Variables
- (1)
- Dependent variable. The dependent variable of this study is the rural environmental governance indicator. Following the studies of Li et al. [27] and Wang et al. [47], this study constructs an evaluation index system for rural environmental governance, encompassing ecological, production, and living environmental governance dimensions (see Table 1). To amalgamate these diverse indicators into a cohesive rural environmental governance index, the entropy method is employed. This approach is widely regarded as being relatively objective, yielding evaluation results that are deemed fair and reasonable [48].
- (2)
- Core explanatory variable. In this study, the core explanatory variable is the digital economy. The majority of studies primarily utilize the approach of establishing an evaluation index system to assess the development level of the digital economy across various regions [49,50]. Following the study of Deng et al. [51], we construct an evaluation index system for measuring the digital economy from the perspective of digital infrastructure, industrial digitalization, and digital industrialization (see Table 2).
- (3)
- Mediation variables. With reference to the studies of Haider et al. [52], Xue et al. [53], and Xu and Jiang [54], the measurement of mediation variables in this study is as follows. (a) Industrial structure optimization. In this study, the industrial structure hierarchy coefficient is introduced to indicate the level of industrial structure optimization in each region. The calculation formula is q1 × 1 + q2 × 2 + q3 × 3, where q1, q2, and q3 represent the proportion of the output value of the primary, secondary, and tertiary industries, respectively. By analyzing the changes in the coefficient of industrial structure hierarchy, the direction and focus of industrial structure adjustment can be identified, promoting the upgrading of industrial structure, and thus improving the environmental situation. (b) Green technology innovation. This study employs the quantity of green utility model patent applications as a metric to gauge green technology innovation. Generally, green invention patents have strong innovations and can effectively expand the boundaries of green technology, playing a positive incentive role in improving environmental governance [55].
- (4)
- Regulatory variables. The regulatory variable of this study is the indicator of the urban–rural dual structure. With reference to the studies of Lin et al. [56] and Zhang et al. [57], the ratio of per capita consumption expenditure of urban residents to that of rural residents is used to measure the degree of the urban–rural dual structure. This is due to the fact that the per capita consumption expenditure of urban and rural residents frequently mirrors the disparities in economic growth and living conditions between urban and rural regions. The government can also evaluate the degree of urban–rural development imbalance through the ratio of per capita consumption expenditure, providing a reference for formulating relevant policies. For example, by narrowing the urban–rural gap and ensuring an effective investment of environmental governance resources, the effectiveness of rural environmental governance can be improved.
- (5)
- Control variables. With reference to the studies of Huang et al. [58] and Wei et al. [59], the control variables in this study are selected as follows. The rural population density is measured by the population per unit land area in rural areas (unit: people per square kilometer). To reduce the impact of extreme values and heteroscedasticity, the data on the rural population density indicator is processed logarithmically. Fiscal support for agriculture is measured by the proportion of expenditure on agriculture, forestry, and water resources in local general public budget expenditure (unit: %). The urbanization level is measured by the proportion of the urban population to the total population (unit: %). Technological investment is measured by the ratio of science and technology expenditure to public finance expenditure (unit: %). The economic development level is measured by the gross regional product index. Government expenditure is measured by the proportion of the general budget expenditure of local finance on the gross regional product (unit: %). The human capital level is measured by the proportion of college students to the total population (unit: %). Foreign direct investment refers to the proportion of the total amount of goods imported and exported in RMB to the regional gross domestic product (unit: %).
3.3. Model Settings
4. Empirical Results
4.1. Baseline Regression Results
4.2. Endogeneity Analysis
4.2.1. Oster Identifiable Sets
4.2.2. Two-Stage Least Squares Regression
4.2.3. Difference-In-Differences Regression
4.2.4. Falsification Test
4.3. Mediation Effect Analysis
4.4. Regulatory Effect Analysis
4.5. Heterogeneity Analysis
5. Discussion
6. Conclusions and Policy Implications
6.1. Conclusions
6.2. Policy Implications
Author Contributions
Funding
Institutional Review Board Statement
Data Availability Statement
Conflicts of Interest
References
- Song, J.; Jie, Z.; Shuang, Q. Digital agriculture and urbanization: Mechanism and empirical research. Technol. Forecast. Soc. 2022, 180, 121724. [Google Scholar]
- Shi, G.; Li, Q.; Wei, Y.; Ali, M.; Lv, X. Does digital technology advancement promote natural resource utilization efficiency? Resour. Policy 2024, 94, 105088. [Google Scholar] [CrossRef]
- Dai, D.; Fan, Y.; Zhao, Y.; Xie, J. The empirical effectiveness of China digital economy enhancing environmental governance. Pol. J. Environ. Stud. 2023, 32, 4995–5009. [Google Scholar] [CrossRef] [PubMed]
- Vidas-Bubanja, M. Implementation of green ICT for sustainable economic development. In Proceedings of the 2014 37th International Convention on Information and Communication Technology, Electronics and Microelectronics (MIPRO), Opatija, Croatia, 26–30 May 2014; pp. 1592–1597. [Google Scholar]
- Asongu, S.A. ICT, openness and CO2 emissions in Africa. Environ. Sci. Pollut. Res. 2018, 25, 9351–9359. [Google Scholar] [CrossRef]
- Ulucak, R.; Danish; Khan, S.U.D. Does information and communication technology affect CO2 mitigation under the pathway of sustainable development during the mode of globalization. Sustain. Dev. 2020, 28, 857–867. [Google Scholar] [CrossRef]
- Mangiaracina, R.; Marchet, G.; Perotti, S.; Tumino, A. A review of the environmental implications of B2C e-commerce: A logistics perspective. Int. J. Phys. Distrib. Logist. 2015, 45, 565–591. [Google Scholar] [CrossRef]
- Palsson, H.; Pettersson, F.; Hiselius, L.W. Energy consumption in e-commerce versus conventional trade channels—Insights into packaging, the last mile, unsold products and product returns. J. Clean. Prod. 2017, 164, 765–778. [Google Scholar] [CrossRef]
- Zhong, M.; Gao, M.; Zou, H. The carbon reduction effect of ICT: A perspective of factor substitution. Technol. Forecast. Soc. 2022, 181, 121754. [Google Scholar] [CrossRef]
- Wang, J.; Dong, K.; Dong, X.; Taghizadeh-Hesary, F. Assessing the digital economy and its carbon-mitigation effects: The case of China. Energy Econ. 2022, 113, 106198. [Google Scholar] [CrossRef]
- Ben-Shahar, O. Data pollution. J. Legal. Anal. 2019, 11, 104–159. [Google Scholar] [CrossRef]
- Avom, D.; Nkengfack, H.; Fotio, H.K.; Totouom, A. ICT and environmental quality in Sub-Saharan Africa: Effects and transmission channels. Technol. Forecast. Soc. Chang. 2020, 155, 120028. [Google Scholar] [CrossRef]
- Wakhungu, M.J.; Abdel-Mottaleb, N.; Wells, E.C.; Zhang, Q. Geospatial vulnerability framework for identifying water infrastructure inequalities. J. Environ. Eng. 2021, 147, 292–308. [Google Scholar] [CrossRef]
- Shahbaz, M.; Gao, C.; Zhai, L.; Shahzad, F.; Khan, I. Environmental air pollution management system: Predicting user adoption behavior of big data analytics. Technol. Soc. 2021, 64, 1809–1820. [Google Scholar] [CrossRef]
- Cheong-Fatt, N.; Kwang-Jing, Y.; You-How, L.S. Unemployment rate, clean energy, and ecological footprint in OECD countries. Environ. Sci. Pollut. Res. 2023, 30, 42863–42872. [Google Scholar]
- Tian, X.; Li, R. Digital technology enabling the transformation and development of real economy: An analytical framework based on Schumpeter’s endogenous growth theory. Manag. World 2022, 38, 56–74. (In Chinese) [Google Scholar]
- Chan, H.K.; Yee, R.W.Y.; Dai, J.; Lim, M.K. The moderating effect of environmental dynamism on green product innovation and performance. Int. J. Prod. Econ. 2016, 181, 384–391. [Google Scholar] [CrossRef]
- Jiao, J.; Song, J.; Ding, T. The impact of synergistic development of renewable energy and digital economy on energy intensity: Evidence from 33 countries. Energy 2024, 295, 130997. [Google Scholar] [CrossRef]
- Zhang, C.; Kuang, W.; Wu, J.; Liu, J.; Tian, H. Industrial land expansion in rural China threatens environmental securities. Front. Environ. Sci. Eng. 2021, 15, 29. [Google Scholar] [CrossRef]
- Bo, Y.; Wen, W. Treatment and technology of domestic sewage for improvement of rural environment in China. J. King Saud Univ. Sci. 2022, 34, 102181. [Google Scholar] [CrossRef]
- Li, X.; Bi, F.; Han, Z.; Qin, Y.; Wang, H.; Wu, W. Garbage source classification performance, impact factor, and management strategy in rural areas of China: A case study in Hangzhou. Waste Manag. 2019, 89, 313–321. [Google Scholar] [CrossRef]
- Liu, B.; Zhan, J.; Zhang, A. Empowering rural human settlement: Digital economy’s path to progress. J. Clean. Prod. 2023, 427, 139243. [Google Scholar] [CrossRef]
- Zhang, W.; Zhao, S.; Wan, X.; Yao, Y. Study on the effect of digital economy on high-quality economic development in China. PLoS ONE 2021, 16, 0257365. [Google Scholar] [CrossRef] [PubMed]
- Guo, B.; Wang, Y.; Zhang, H.; Liang, C.; Hu, F. Impact of the digital economy on high-quality urban economic development: Evidence from Chinese cities. Econ. Model. 2023, 120, 106194. [Google Scholar] [CrossRef]
- He, G.; Jiang, H.; Zhu, Y. The effect of digital technology development on the improvement of environmental governance capacity: A case study of China. Ecol. Indic. 2024, 165, 112162. [Google Scholar] [CrossRef]
- Driessen, P.; Dieperink, C.; Laerhoven, F.; Runhaar, H.; Vermeulen, W. Towards a conceptual framework for the study of shifts in modes of environmental governance—Experiences from the Netherlands. Environ. Policy Gov. 2012, 22, 143–160. [Google Scholar] [CrossRef]
- Li, X.; Huang, S.; Shi, W.; Lin, Q. Efficiency calculation and evaluation of environmental governance using the theory of production, life, and ecology based on panel data from 27 provinces in China from 2003 to 2020. Systems 2023, 11, 174. [Google Scholar] [CrossRef]
- Shi, Y.; Li, C.; Zhao, M.; Qin, G. Public willingness to pay for farmland non-point source pollution governance toward sustainable development: A choice experiment in Gansu, China. Sustain. Dev. 2024, 32, 2600–2622. [Google Scholar] [CrossRef]
- Deichmann, U.; Goyal, A.; Mishra, D. Will digital technologies transform agriculture in developing countries? Agric. Econ. 2016, 47, 21–33. [Google Scholar] [CrossRef]
- Barnes, A.P.; Soto, I.; Eory, V.; Beck, B.; Balafoutis, A.T.; Sanchez, B.; Vangeyte, J.; Fountas, S.; vander Wal, T.; Gómez-Barbero, M. Influencing incentives for precision agricultural technologies within European arable farming systems. Environ. Sci. Policy 2019, 93, 66–74. [Google Scholar] [CrossRef]
- Kernecker, M.; Knierim, A.; Wurbs, A.; Kraus, T.; Borges, F. Experience versus expectation: Farmers’ perceptions of smart farming technologies for cropping systems across Europe. Precis. Agric. 2020, 21, 34–50. [Google Scholar] [CrossRef]
- Khan, N.; Ray, R.L.; Kassem, H.S.; Hussain, S.; Zhang, S.; Khayyam, M.; Ihtisham, M.; Asongu, S.A. Potential Role of Technology Innovation in Transformation of Sustainable Food Systems: A Review. Agriculture 2021, 11, 984. [Google Scholar] [CrossRef]
- Rotz, S.; Gravely, E.; Mosby, I.; Duncan, E.; Finnis, E.; Horgan, M.; LeBlanc, J.; Martin, R.; Neufeld, H.T.; Nixon, A.; et al. Automated pastures and the digital divide: How agricultural technologies are shaping labour and rural communities. J. Rural Stud. 2019, 68, 112–122. [Google Scholar] [CrossRef]
- Kamble, S.S.; Gunasekaran, A.; Gawankar, S.A. Achieving sustainable performance in a data-driven agriculture supply chain: A review for research and applications. Int. J. Prod. Econ. 2020, 219, 179–194. [Google Scholar] [CrossRef]
- Clayton, S.; Koehn, A.; Grover, E. Making sense of the senseless: Identity, justice, and the framing of environmental crises. Soc. Justice Res. 2013, 26, 301–319. [Google Scholar] [CrossRef]
- Shen, Z.; Wang, S.; Boussemart, J.; Hao, Y. Digital transition and green growth in Chinese agriculture. Technol. Forecast. Soc. 2022, 181, 121742. [Google Scholar] [CrossRef]
- Khan, D.; Ulucak, R. How do environmental technologies affect green growth? Evidence from BRICS economies. Sci. Total Environ. 2020, 712, 136504. [Google Scholar]
- Zhu, L.; Li, F. Agricultural data sharing and sustainable development of ecosystem based on block chain. J. Clean. Prod. 2021, 315, 127869. [Google Scholar] [CrossRef]
- Abbasi, R.; Martinez, P.; Ahmad, R. The digitization of agricultural industry—A systematic literature review on agriculture 4.0. Smart Agric. Technol. 2022, 2, 100042. [Google Scholar] [CrossRef]
- Munir, K.; Ameer, A. Assessing nonlinear impact of urbanization, economic growth, technology, and trade on environment: Evidence from African and Asian emerging economies. Geojournal 2022, 87, 2195–2208. [Google Scholar] [CrossRef]
- Boudreau, K.J. Let a thousand flowers bloom? An early look at large numbers of software APP developers and patterns of innovation. Organ. Sci. 2012, 23, 1409–1427. [Google Scholar] [CrossRef]
- Nambisan, S.; Lyytinen, K.; Majchrzak, A.; Song, M. Digital innovation management: Reinventing innovation management research in a digital world. MIS Q. 2017, 41, 223–238. [Google Scholar] [CrossRef]
- Yang, H.; Xu, X. Coupling and coordination analysis of digital economy and green agricultural development: Evidence from major grain producing areas in China. Sustainability 2024, 16, 4533. [Google Scholar] [CrossRef]
- Teece, D.J. Profiting from innovation in the digital economy: Enabling technologies, standards, and licensing models in the wireless world. Res. Policy 2018, 47, 1367–1387. [Google Scholar] [CrossRef]
- Cheng, L.; Wang, W. Digital economy, urban-rural dual structure and rural environmental governance. Stat. Decis. 2023, 39, 17–22. (In Chinese) [Google Scholar]
- Li, Q.; Guo, R. Rule of law reflections on rural pollution prevention and control in urban-rural integration. Agric. Econ. 2015, 2, 44–46. (In Chinese) [Google Scholar]
- Wang, J.; Zhou, F.; Xie, A. The impact of integrated development of agriculture and tourism on rural ecological environment quality. Wirel. Commun. Mob. Com. 2022, 2022, 6113324. [Google Scholar] [CrossRef]
- Raju, K.S.; Kumar, D.N. Ranking of global climate models for India using multicriterion analysis. Clim. Res. 2014, 60, 103–117. [Google Scholar] [CrossRef]
- Wang, D.; Zhao, Y.; Liu, H. Higher education, population mobility, and the development of the digital economy. Financ. Res. Lett. 2024, 69, 106112. [Google Scholar] [CrossRef]
- Wang, Z.; Ma, D.; Tang, J. Asymmetric fiscal policies and digital economy development: An empirical analysis based on the global digital value chain perspective. Int. Rev. Financ. Anal. 2024, 96, 103556. [Google Scholar] [CrossRef]
- Deng, H.; Bai, G.; Shen, Z.; Xia, L. Digital economy and its spatial effect on green productivity gains in manufacturing: Evidence from China. J. Clean. Prod. 2022, 378, 134539. [Google Scholar] [CrossRef]
- Haider, F.U.; Cai, L.; Coulter, J.A.; Cheema, S.A.; Wu, J.; Zhang, R.; Ma, W.; Farooq, M. Cadmium toxicity in plants: Impacts and remediation strategies. Ecotoxicol. Environ. Saf. 2021, 211, 111887. [Google Scholar] [CrossRef] [PubMed]
- Xue, Y.; Tang, C.; Wu, H.; Liu, J.; Hao, Y. The emerging driving force of energy consumption in China: Does digital economy development matter? Energ. Policy 2022, 165, 376–387. [Google Scholar] [CrossRef]
- Xu, M.; Jiang, Y. Can the China’s industrial structure upgrading narrow the gap between urban and rural consumption? J. Quant. Tech. Econ. 2015, 32, 3–21. (In Chinese) [Google Scholar]
- Sun, H.; Zhang, Z.; Liu, Z. Does air pollution collaborative governance promote green technology innovation? Evidence from China. Environ. Sci. Pollut. Res. 2022, 29, 3920–3932. [Google Scholar] [CrossRef]
- Lin, L.; Li, R.; Chen, C. From pollution “refuge” to green “main battlefield”: 70 years of rural environmental governance in China. J. Arid. Land Resour. Environ. 2020, 34, 30–36. (In Chinese) [Google Scholar]
- Zhang, B.; Dong, W.; Yao, J.; Cheng, X. Digital economy, factor allocation efficiency of dual-economy and urban-rural income gap. Sustainability 2023, 15, 13514. [Google Scholar] [CrossRef]
- Huang, S.; Han, F.; Chen, L. Can the digital economy promote the upgrading of urban environmental quality? Environ. Res. Public Health 2023, 20, 2243. [Google Scholar] [CrossRef]
- Wei, J.; Hu, R.; Li, Y.; Shen, Y. Regional disparities, dynamic evolution, and spatial spillover effects of urban-rural carbon emission inequality in China. Front. Ecol. Evol. 2024, 12, 1309500. [Google Scholar] [CrossRef]
- Jiang, T. Mediating effects and moderating effects in causal inference. China Ind. Econ. 2022, 5, 100–120. (In Chinese) [Google Scholar]
- He, G.; Li, Z.; Yu, L.; Zhou, Z. Contribution to poverty alleviation: A waste or benefit for corporate financing? J. Int. Financ. Mark. Inst. Money 2023, 89, 101875. [Google Scholar] [CrossRef]
- Oster, E. Unobservable selection and coefficient stability: Theory and evidence. J. Bus. Econ. Stat. 2019, 37, 187–204. [Google Scholar] [CrossRef]
- Huang, Q.; Yu, Y.; Zhang, S. Internet development and productivity growth in manufacturing industry: Internal mechanism and China experiences. China Ind. Econ. 2019, 8, 5–23. (In Chinese) [Google Scholar]
- Zhang, W.; Fan, H.; Zhao, Q. Seeing green: How does digital infrastructure affect carbon emission intensity? Energ. Econ. 2023, 127, 107085. [Google Scholar] [CrossRef]
- Nunn, N.; Qian, N. US food aid and civil conflict. Am. Econ. Rev. 2014, 104, 1630–1666. [Google Scholar] [CrossRef]
- Zhang, N.; Yang, W.; KE, H. Does rural e-commerce drive up incomes for rural residents? Evidence from Taobao villages in China. Econ. Anal. Policy 2024, 82, 976–998. [Google Scholar] [CrossRef]
- The State Council of the People’s Republic of China Home Page. Available online: https://www.gov.cn/zhengce/content/2015-11/09/content_10279.htm (accessed on 1 August 2024).
- Ministry of Agriculture and Rural Affairs of the People’s Republic of China Home Page. Available online: https://www.moa.gov.cn/hdllm/zbft/dzswlt/xgxw/201509/t20150924_4842070.htm (accessed on 1 August 2024).
- Cornaggia, J.; Li, J. The value of access to finance: Evidence from M&As. J. Financ. Econ. 2019, 1311, 232–250. [Google Scholar]
- Li, P.; Lu, Y.; Wang, J. Does flattening government improve economic performance? Evidence from China. J. Dev. Econ. 2016, 123, 18–37. [Google Scholar] [CrossRef]
- Mehmood, M.U.; Chun, D.; Zeeshan, H.H.; Jeon, G.; Chen, K. A review of the applications of artificial intelligence and big data to buildings for energy-efficiency and a comfortable indoor living environment. Energy Build. 2019, 202, 568–579. [Google Scholar] [CrossRef]
- Cruz-Jesus, F.; Oliveira, T.; Bacao, F. The global digital divide: Evidence and drivers. J. Glob. Inf. Manag. 2018, 26, 1–26. [Google Scholar] [CrossRef]








| Primary Index | Secondary Index | Definition | Unit of Measurement | Stats |
|---|---|---|---|---|
| Ecological environmental governance | Soil erosion control | Soil erosion control area | Ten thousand hectares | + |
| Waterlogging control | Waterlogging control area | Ten thousand hectares | + | |
| Water-holding capacity | Total storage capacity of the reservoir | Billion cubic meters | + | |
| Production environmental governance | Intensity of fertilizer application | Agricultural fertilizer application divided by the effective irrigation area | Tons/thousand hectares | − |
| Intensity of pesticide usage | Pesticide usage divided by the effective irrigation area | Tons/thousand hectares | − | |
| Intensity of agricultural plastic film usage | Agricultural plastic film usage divided by the effective irrigation area | Tons/thousand hectares | − | |
| Intensity of agricultural film usage | Agricultural film usage divided by the effective irrigation area | Tons/thousand hectares | − | |
| Living environmental governance | Utilization of renewable resources | Per capita total gas production from biogas digesters | Cubic meters/per person | + |
| Per capita area of solar water heaters | Square meters/per person | + | ||
| Toilet renovation | The popularization percent of sanitary toilet | % | + | |
| The harmless treatment capability of waste | Daily harmless treatment capacity of domestic waste | Ton/day | + |
| Primary Index | Secondary Index | Definition | Unit of Measurement | Stats |
|---|---|---|---|---|
| Digital infrastructure | Length of long-distance optical cable line | The length of long-distance optical cable lines | Ten thousand kilometers | + |
| Telephone penetration rate | The rate of telephone penetration (including mobile phones) | Department/100 people | + | |
| Internet development | Number of Internet broadband access users | Ten thousand households | + | |
| Number of Internet domain names | Ten thousand | + | ||
| Digital industrialization | Information technology practitioners | Employment in information transmission, software, and technical services in urban units | Thousands of people | + |
| Market scale | Software revenue | Hundred million RMB | + | |
| Total volume of telecommunication service | Hundred million RMB | + | ||
| Digitalization of Industry | Enterprise engagement in e-commerce | Number of enterprises with e-commerce transaction activities | Quantity | + |
| E-commerce scale | The sales volume of E-commerce | Hundred million RMB | + | |
| Digital financial inclusion | Peking university’s digital financial inclusion index | + |
| Variables | Description | Mean Value | Standard Deviation | Minimum Value | Maximum Value |
|---|---|---|---|---|---|
| Rural environmental governance | The entropy method is used to measure it | 0.182 | 0.080 | 0.069 | 0.436 |
| Digital economy | The entropy method is used to measure it | 0.121 | 0.119 | 0.007 | 0.713 |
| Industrial structure optimization | The industrial structure hierarchy coefficient is used to measure it | 2.401 | 0.122 | 2.132 | 2.836 |
| Green technology innovation | Number of green utility model patent applications | 5.414 | 7.917 | 0.0041 | 48.9165 |
| Urban–rural dual structure | Per capita consumption expenditure of urban residents divided by per capita consumption expenditure of rural residents | 2.133 | 0.360 | 1.492 | 3.696 |
| Rural population density | Population per unit of land area | 1.922 | 0.573 | 0.278 | 3.605 |
| Fiscal support for agriculture | Expenditure on agriculture, forestry, and water resources divided by expenditure on local general public budgets | 0.115 | 0.034 | 0.040 | 0.204 |
| Urbanization level | Urban population divided by total population | 0.590 | 0.133 | 0.086 | 0.896 |
| Technological investment | Science and technology expenditure divided by public finance expenditure | 0.021 | 0.015 | 0.003 | 0.068 |
| Economic development level | GDP growth rate per capita | 107.508 | 3.062 | 94.6 | 116.4 |
| Government expenditure | Local general budget expenditure divided by gross regional product | 0.29 | 0.206 | 0.105 | 1.354 |
| Human capital level | The proportion of college students to the total population | 0.021 | 0.006 | 0.008 | 0.044 |
| Foreign direct investment | The proportion of the total amount of goods imported and exported in RMB to the regional gross domestic product | 0.245 | 0.282 | 0.000 | 1.548 |
| Variables | (1) | (2) |
|---|---|---|
| Digital economy | 0.093 *** (0.026) | 0.150 *** (0.038) |
| Rural population density | −0.018 (0.022) | |
| Fiscal support for agriculture | −0.249 ** (0.103) | |
| Urbanization level | 0.037 (0.044) | |
| Technological investment | −0.046 (0.241) | |
| Economic development level | 0.0002 (0.001) | |
| Government expenditure | −0.064 (0.041) | |
| Human capital level | 3.767 *** (0.930) | |
| Foreign direct investment | 0.013 (0.018) | |
| Constant | 0.170 *** (0.003) | 0.120 (0.113) |
| Individual effect | control | control |
| Time effect | control | control |
| Observations | 372 | 372 |
| R-squared | 0.941 | 0.947 |
| The Oster Method | ||
|---|---|---|
| Parameter Assumption | ||
| 1.3R2; δ = 1 | Estimated β from model = 0 | |
| (1) ”True” β Bound [0.15020, 0.15025] | (2) δ 23.263 | |
| Variables | (1) The First Stage | (2) The Second Stage | (3) The First Stage | (4) The Second Stage |
|---|---|---|---|---|
| Digital economy | 0.141 ** (0.065) | 0.229 *** (0.087) | ||
| Instrumental variable | 0.000065 *** (5.61 × 10−6) | 0.0001 *** (3.43 × 10−8) | ||
| Rural population density | −0.058 ** (0.027) | −0.019 (0.020) | −0.035 (0.029) | −0.015 (0.020) |
| Fiscal support for agriculture | −0.284 ** (0.129) | −0.256 ** (0.105) | −0.475 *** (0.137) | −0.187 (0.114) |
| Urbanization level | 0.008 (0.055) | 0.036 (0.041) | −0.108 * (0.059) | 0.043 (0.042) |
| Technological investment | 2.474 *** (0.275) | −0.024 (0.259) | 1.861 *** (0.305) | −0.234 (0.294) |
| Economic development level | 0.0002 (0.001) | 0.0002 (0.001) | 0.002 (0.001) | 0.00009 (0.00087) |
| Government expenditure | 0.003 (0.051) | −0.064 * (0.038) | 0.051 (0.055) | −0.070 * (0.039) |
| Human capital level | −0.471 (1.145) | 3.757 *** (0.866) | −1.799 (1.245) | 3.851 *** (0.873) |
| Foreign direct investment | −0.235 *** (0.019) | 0.010 (0.023) | −0.276 *** (0.020) | 0.035 (0.029) |
| Constant | 0.414 *** (0.149) | −0.025 (0.116) | 0.509 *** (0.162) | −0.066 (0.120) |
| Individual effect | control | control | control | control |
| Time effect | control | control | control | control |
| Anderson canon. corr. LM statistic | 109.589 *** (0.000) | 62.46 *** (0.000) | ||
| Cragg-Donald Wald F statistic | 134.057 | 64.77 | ||
| Observations | 372 | 372 | 372 | 372 |
| R-squared | 0.963 | 0.947 | 0.957 | 0.946 |
| Variables | Matching Statuses | Mean for Treatment Groups | Mean for Control Groups | Standardize Bias (%) | t-Stat |
|---|---|---|---|---|---|
| Rural population density | Unmatched Matched | 2.141 2.089 | 1.890 2.087 | 48.4 0.4 | 2.87 *** 0.02 |
| Fiscal support for agriculture | Unmatched Matched | 0.125 0.121 | 0.113 0.121 | 35.7 −0.6 | 2.17 ** −0.03 |
| Urbanization level | Unmatched Matched | 0.607 0.606 | 0.588 0.606 | 17.4 −0.5 | 0.94 −0.03 |
| Technological investment | Unmatched Matched | 0.020 0.022 | 0.021 0.020 | −11.8 9.0 | −0.72 0.44 |
| Economic development level | Unmatched Matched | 106.74 107.33 | 107.62 107.05 | −29.3 9.3 | −1.87 * 0.48 |
| Government expenditure | Unmatched Matched | 0.244 0.226 | 0.297 0.228 | −32.5 −1.1 | −1.7 * −0.1 |
| Human capital level | Unmatched Matched | 0.023 0.022 | 0.020 0.021 | 42.2 6.8 | 2.38 ** 0.49 |
| Foreign direct investment | Unmatched Matched | 0.196 0.217 | 0.252 0.220 | −23.0 −1.0 | −1.29 −0.05 |
| Variables | Coefficients |
|---|---|
| pre3*treat_Dig | 0.0109 (0.0138) |
| pre2*treat_Dig | 0.0057 (0.0159) |
| Current*treat_Dig | 0.028 * (0.016) |
| post1*treat_Dig | 0.0337 ** (0.0164) |
| post2*treat_Dig | 0.0397 ** (0.0164) |
| post3*treat_Dig | 0.0354 ** (0.0141) |
| Rural population density | −0.0447 ** (0.022) |
| Fiscal support for agriculture | −0.649 *** (0.142) |
| Urbanization level | 0.174 (0.118) |
| Technological investment | 0.468 * (0.254) |
| Economic development level | 0.0007 (0.0012) |
| Government expenditure | −0.038 (0.074) |
| Human capital level | −1.279 (1.215) |
| Foreign direct investment | −0.018 (0.022) |
| Constant | 0.219 (0.150) |
| Individual effect | control |
| Time effect | control |
| Observations | 253 |
| R-squared | 0.9678 |
| Variables | (1) | (2) |
|---|---|---|
| post*treat_Dig | 0.019 *** (0.0066) | 0.026 *** (0.006) |
| Rural population density | −0.046 ** (0.021) | |
| Fiscal support for agriculture | −0.665 *** (0.139) | |
| Urbanization level | 0.172 (0.117) | |
| Technological investment | 0.484 * (0.251) | |
| Economic development level | 0.0007 (0.0012) | |
| Government expenditure | −0.038 (0.073) | |
| Human capital level | −1.31 (1.204) | |
| Foreign direct investment | −0.015 (0.022) | |
| Constant | 0.2009 *** (0.0066) | 0.227 (0.149) |
| Individual effect | control | control |
| Time effect | control | control |
| Observations | 253 | 253 |
| R-squared | 0.9608 | 0.9676 |
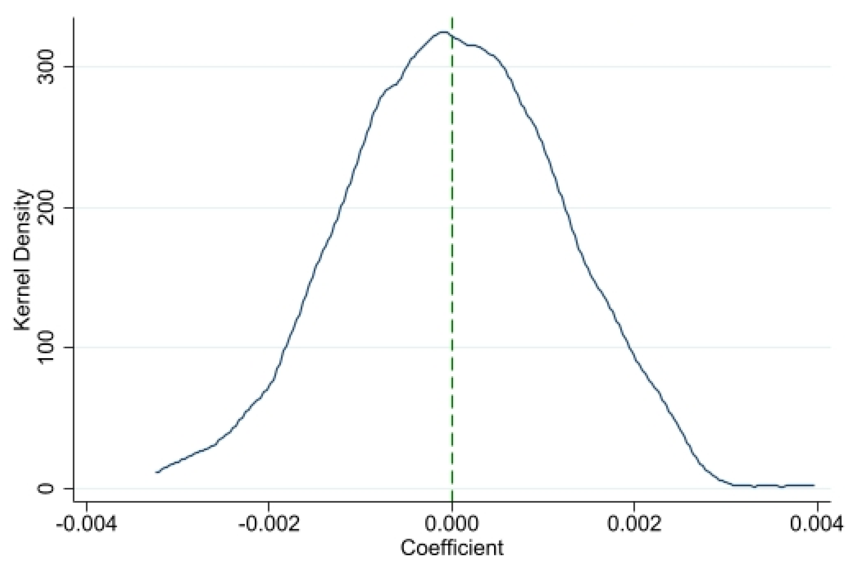
| Mean | 5% Percentile | 25% Percentile | Median | 75% Percentile | 95% Percentile | Standard Deviation | |
|---|---|---|---|---|---|---|---|
| Coefficient | 7.05 × 10−6 | −0.00193 | −0.00078 | 0.00005 | 0.00081 | 0.00198 | 0.00115 |
| T-value | 0.09677 | −1.55098 | −0.56222 | 0.0f8993 | 0.77075 | 1.792895 | 1.02488 |
| Variables | Rural Environmental Governance | Industrial Structure Optimization | Green Technology Innovation |
|---|---|---|---|
| Digital economy | 0.150 *** (0.038) | 0.108 *** (0.040) | 65.328 *** (5.000) |
| Rural population density | −0.018 (0.022) | 0.001 (0.023) | −0.126 (2.844) |
| Fiscal support for agriculture | −0.248 ** (0.103) | −0.287 *** (0.109) | −34.694 ** (13.526) |
| Urbanization level | 0.037 (0.044) | −0.059 (0.047) | 2.889 (5.831) |
| Technological investment | −0.046 (0.241) | 0.541 ** (0.255) | 62.702 ** (31.618) |
| Economic development level | 0.0002 (0.001) | −0.001 (0.001) | 0.061 (0.120) |
| Government expenditure | −0.064 (0.041) | 0.321 *** (0.044) | 10.214 * (5.400) |
| Human capital level | 3.767 *** (0.930) | 1.704 * (0.984) | 17.112 (122.074) |
| Foreign direct investment | 0.013 (0.018) | 0.061 *** (0.020) | 6.348 *** (2.426) |
| Constant | 0.120 (0.113) | 2.448 *** (0.119) | −12.805 (14.792) |
| Individual effect | control | control | control |
| Time effect | control | control | control |
| Observations | 372 | 372 | 372 |
| R-squared | 0.947 | 0.974 | 0.906 |
| Variables | (1) | (2) |
|---|---|---|
| Digital economy | 0.150 *** (0.038) | 0.382 *** (0.126) |
| Urban–rural dual structure | −0.010 (0.010) | −0.002 (0.011) |
| Digital economy × Urban–rural dual structure | −0.145 * (0.075) | |
| Rural population density | −0.019 (0.022) | −0.020 (0.022) |
| Fiscal support for agriculture | −0.246 ** (0.103) | −0.248 ** (0.103) |
| Urbanization level | 0.040 (0.045) | 0.041 (0.044) |
| Technological investment | −0.034 (0.241) | −0.071 (0.241) |
| Economic development level | 0.0002 (0.001) | 0.001 (0.001) |
| Government expenditure | −0.061 (0.041) | −0.080 * (0.042) |
| Human capital level | 3.686 *** (0.933) | 3.816 *** (0.932) |
| Foreign direct investment | 0.013 (0.018) | 0.007 (0.019) |
| Constant | 0.134 (0.114) | 0.103 (0.114) |
| Individual effect | control | control |
| Time effect | control | control |
| Observations | 372 | 372 |
| R-squared | 0.9467 | 0.9473 |
| Variables | Eastern Region | Central Region | Western Region | Northeast Region |
|---|---|---|---|---|
| Digital economy | 0.149 *** (0.045) | 0.204 (0.319) | 0.178 (0.117) | 0.016 (0.277) |
| Rural population density | −0.040 ** (0.019) | 0.188 (0.952) | −0.101 (0.181) | 0.125 (0.295) |
| Fiscal support for agriculture | −0.521 ** (0.245) | −0.243 (0.300) | −0.462 ** (0.189) | 0.241 0.211 |
| Urbanization level | 0.364 ** (0.140) | −0.793 (0.589) | −0.029 (0.060) | 0.659 (0.554) |
| Technological investment | −0.181 (0.343) | 1.334 ** (0.594) | −1.112 (0.949) | −1.130 (0.794) |
| Economic development level | −0.001 (0.002) | 0.000 (0.002) | 0.004 * (0.002) | −0.001 (0.001) |
| Government expenditure | −0.079 (0.112) | 0.511 (0.318) | −0.034 (0.063) | −0.003 (0.072) |
| Human capital level | 1.275 (2.034) | 2.334 (3.984) | 5.459 *** (1.473) | −2.932 (1.691) |
| Foreign direct investment | −0.002 (0.027) | −0.157 0.204 | −0.029 (0.059) | −0.047 (0.055) |
| Constant | 0.114 (0.207) | 0.072 (2.171) | −0.141 (0.308) | −0.252 (0.940) |
| Individual effect | control | control | control | control |
| Time effect | control | control | control | control |
| Observations | 120 | 72 | 144 | 36 |
| R-squared | 0.975 | 0.954 | 0.862 | 0.999 |
Disclaimer/Publisher’s Note: The statements, opinions and data contained in all publications are solely those of the individual author(s) and contributor(s) and not of MDPI and/or the editor(s). MDPI and/or the editor(s) disclaim responsibility for any injury to people or property resulting from any ideas, methods, instructions or products referred to in the content. |
© 2024 by the authors. Licensee MDPI, Basel, Switzerland. This article is an open access article distributed under the terms and conditions of the Creative Commons Attribution (CC BY) license (https://creativecommons.org/licenses/by/4.0/).
Share and Cite
Hou, J.; Li, X.; Chen, F.; Hou, B. The Effect of Digital Economy on Rural Environmental Governance: Evidence from China. Agriculture 2024, 14, 1974. https://doi.org/10.3390/agriculture14111974
Hou J, Li X, Chen F, Hou B. The Effect of Digital Economy on Rural Environmental Governance: Evidence from China. Agriculture. 2024; 14(11):1974. https://doi.org/10.3390/agriculture14111974
Chicago/Turabian StyleHou, Jing, Xin Li, Feiyu Chen, and Bo Hou. 2024. "The Effect of Digital Economy on Rural Environmental Governance: Evidence from China" Agriculture 14, no. 11: 1974. https://doi.org/10.3390/agriculture14111974
APA StyleHou, J., Li, X., Chen, F., & Hou, B. (2024). The Effect of Digital Economy on Rural Environmental Governance: Evidence from China. Agriculture, 14(11), 1974. https://doi.org/10.3390/agriculture14111974

