Effects of Cow-Dung Vermicomposting on Soil Carbon Mineralization and Temperature Sensitivity in Camellia oleifera Forest
Abstract
1. Introduction
2. Materials and Methods
2.1. Study Site
2.2. Experimental Design
2.3. Sampling
2.4. Methods
2.4.1. Soil Carbon Mineralization
2.4.2. Soil Physical and Chemical Properties
2.4.3. Soil Enzyme Activity
2.4.4. Soil Carbon Mineralization
2.4.5. Organic Carbon Mineralization Equation Fitting
2.4.6. Calculation of Soil Temperature Sensitivity Coefficient
2.5. Data Analyses
3. Results
3.1. Effects of Cow-Dung Vermicomposting on Soil Chemical and Biological Properties of Camellia oleifera Forest
3.2. Characteristics of Carbon Mineralization of Soil with Applications of Cow-Dung Vermicomposting
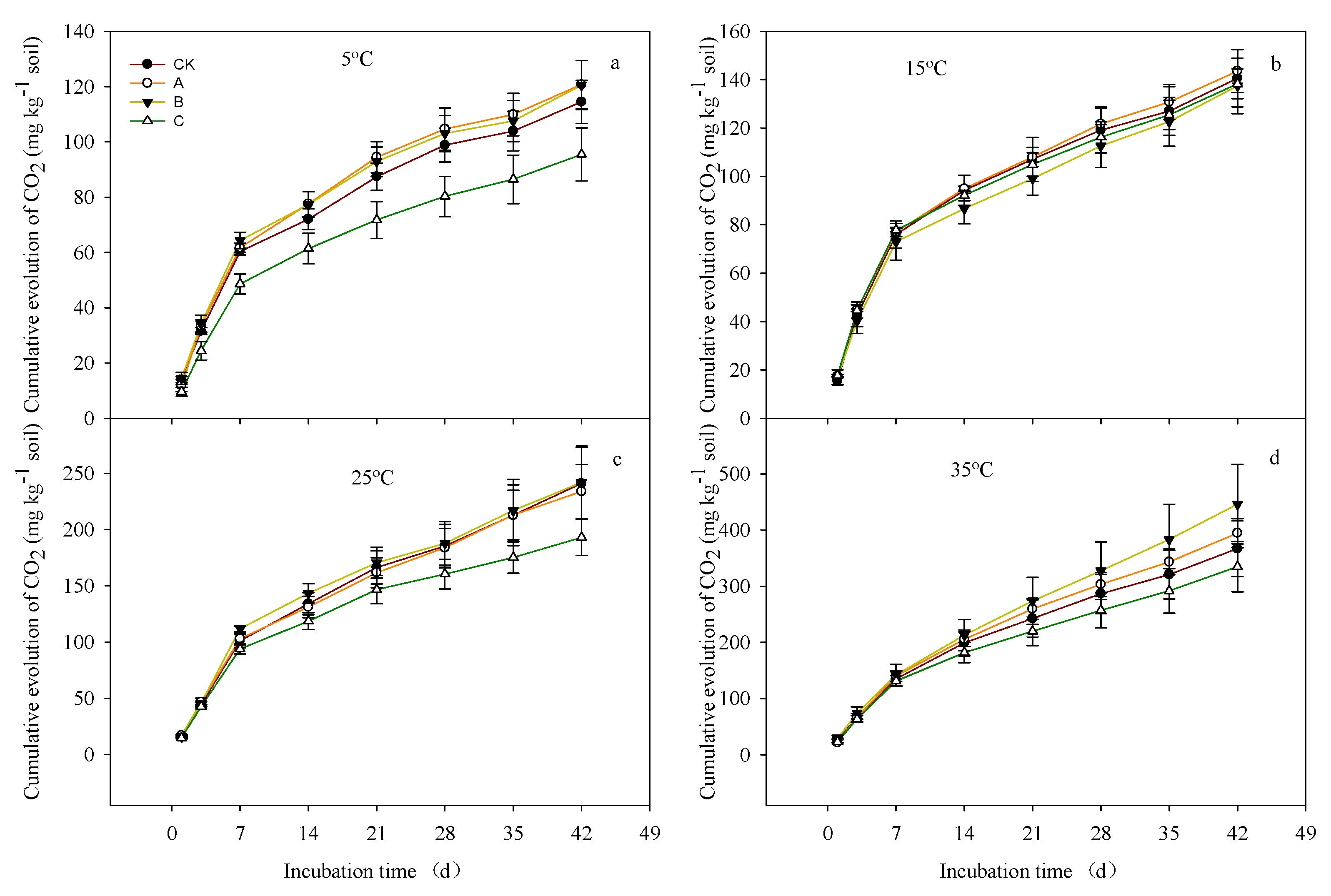
3.2.1. Cumulative Carbon Mineralization Amount of Soil with Applications of Cow-Aung Vermicomposting
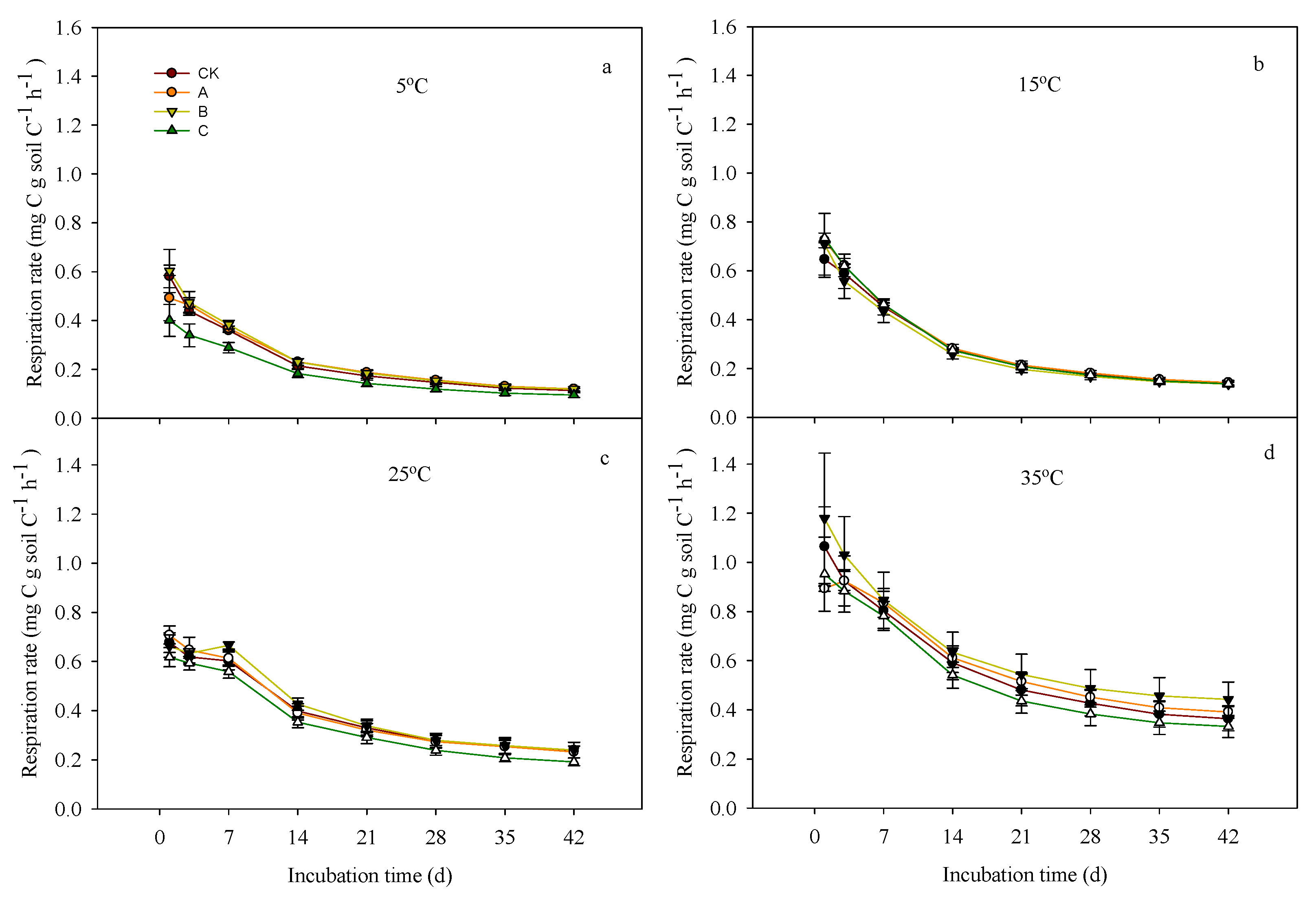
3.2.2. Characteristics of Respiration Rate of Soil with Applications of Cow-Dung Vermicomposting
3.2.3. Simulation Equation of Maximum Emission During Respiration of the Soil with Cow-Dung Vermicomposting Applied
3.2.4. Sensitivity of Soil Carbon Mineralization to Temperature
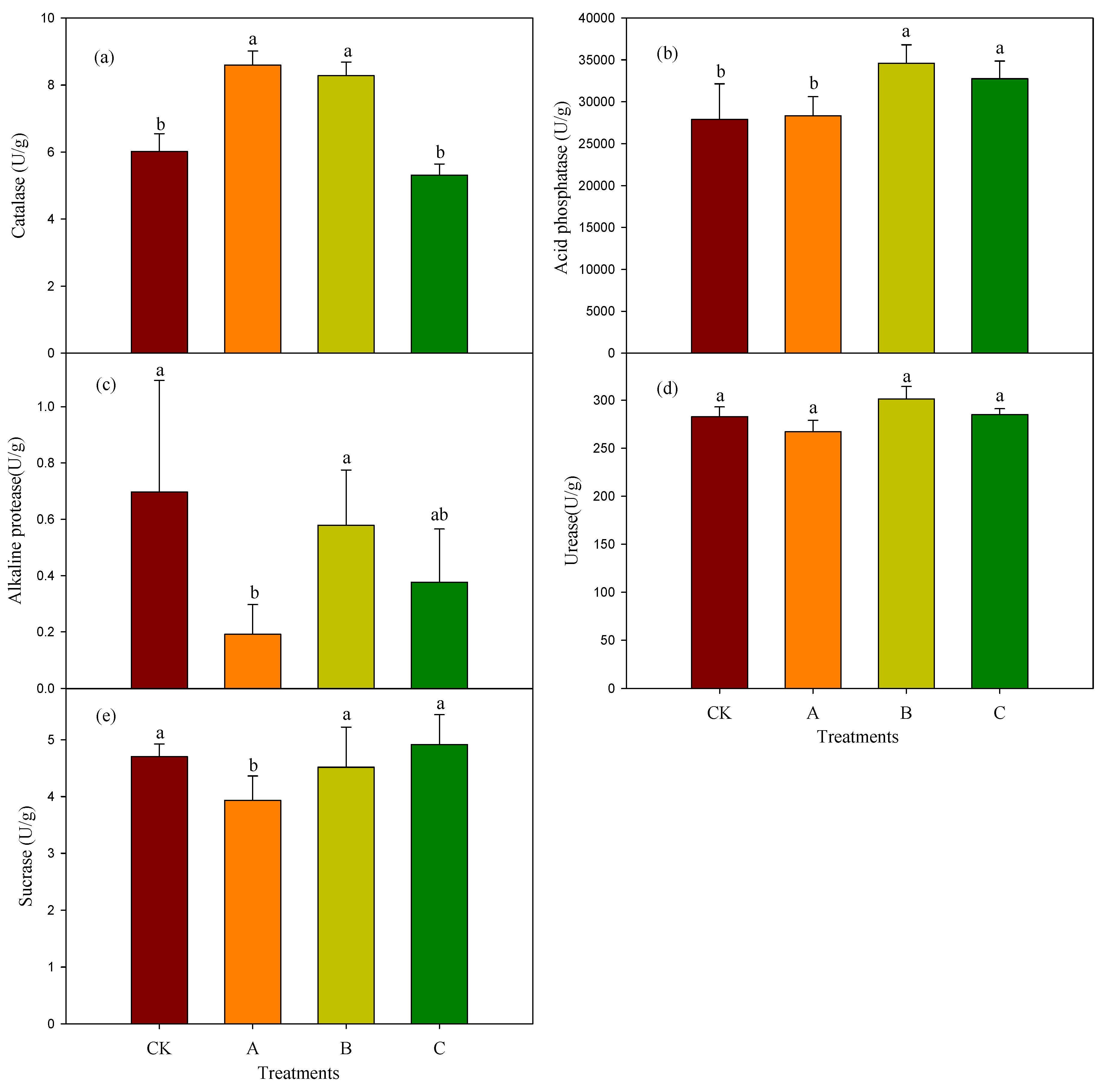
3.3. Effects of Different Application Quantities of Cow-Dung Vermicomposting on Soil Enzyme Activity
3.4. Analysis of Soil Respiration’s Correlation with Soil Nutrient and Enzyme Activities
4. Discussion
4.1. Pattern of Soil Organic Carbon Mineralization When Applying Cow-Dung Vermicomposting
4.2. Effects of Soil Physical and Chemical Properties on Soil Organic Carbon Mineralization
4.3. Effects of Cow-Dung Vermicomposting on Soil Enzyme Activity
5. Conclusions
Author Contributions
Funding
Institutional Review Board Statement
Data Availability Statement
Conflicts of Interest
References
- Schlesinger, W.H.; Andrews, J.A. Soil respiration and the global carbon cycle. Biogeochemistry 2000, 48, 7–20. [Google Scholar] [CrossRef]
- Schlesinger, W.H. Biogeochemistry: An Analysis of Global Change; Academic Press: New York, NY, USA, 1997. [Google Scholar]
- Ravn, N.M.R.; Elberling, B.; Michelsen, A. The fate of 13C15N labelled glycine in permafrost and surface soil at simulated thaw in mesocosms from high arctic and subarctic ecosystems. Plant Soil 2017, 419, 201–218. [Google Scholar] [CrossRef]
- Zerva, A.; Mencuccini, M. Short-term effects of clear felling on soil CO2, CH4, and N2O fluxes in a Sitka spruce plantation. Soil Biol. Biochem. 2005, 37, 2025–2036. [Google Scholar] [CrossRef]
- Subke, J.A.; Reichstein, M.; Tenhunen, J.D. Explaining temporal variation in soil CO2 efflux in a mature spruce forest in Southern Germany. Soil Biol. Biochem. 2003, 35, 1467–1483. [Google Scholar] [CrossRef]
- Zhang, L.; Hou, L.; Laanbroek, H.J.; Guo, D.; Wang, Q. Effects of mowing heights on N2O emission from temperate grasslands in Inner Mongolia, Northern China. Am. J. Clim. Chang. 2008, 4, 397–407. [Google Scholar] [CrossRef]
- Wang, H.; Liu, S.; Wang, J.; Shi, Z.; Lu, L.; Zeng, J.; Ming, A.; Tang, J.; Yu, H. Effects of tree species mixture on soil organic carbon stocks and greenhouse gas fluxes in subtropical plantations in China. For. Ecol. Manag. 2013, 300, 4–13. [Google Scholar] [CrossRef]
- Pritchard, S.G.; Strand, A.E.; Mccormack, M.L.; Davis, M.A.; Finzi, A.C.; Jackson, R.B.; Matamala, R.; Rogers, H.H.; Oren, R. Fine root dynamics in a loblolly pine forest are influenced by free-air-CO2-enrichment: A six-year-minirhizotron study. Glob. Chang. Biol. 2010, 14, 588–602. [Google Scholar] [CrossRef]
- Yashiro, Y.; Kadir, W.R.; Okuda, T.; Koizumi, H. The effects of logging on soil greenhouse gas (CO2, CH4, N2O) flux in a tropical rain forest, Peninsular Malaysia. Agric. For. Meteorol. 2008, 148, 799–806. [Google Scholar] [CrossRef]
- Li, Y.F.; Wang, Y.Q.; Wang, Y.J.; Wang, B. Effects of simulated acid rain on soil respiration and its component in a mixed coniferous-broadleaved forest of three gorges reservoir area in southern China. Environ. Sci. Process. Impacts 2019, 6, 32. [Google Scholar] [CrossRef]
- Isbell, R.F. The Australian Soil Classification; CSIRO Publishing: Collingwood, Australia, 1996. [Google Scholar]
- FAO-Unesco. Soil Map of the World: Revised Legend; World Soil Resources Report; FAO: Rome, Italy, 1990. [Google Scholar]
- John, S.; David, O. Performance of seven hardwood species underplanted to Pinus elliottii in south-east Queensland. For. Ecol. Manag. 2006, 233, 303–308. [Google Scholar]
- Chen, C.R.; Xu, Z.H.; Keay, P.; Zhang, S.L. Total soluble nitrogen in forest soils as determined by persulfate oxidation and by high temperature catalytic oxidation. Aust. J. Soil Res. 2005, 43, 515–523. [Google Scholar] [CrossRef]
- Rayment, G.E.; Higginson, F.R. Australian Laboratory Handbook of Soil and Water Chemical Methods; Inkata Press: Melbourne, Australia, 1992. [Google Scholar]
- Lu, S.B.; Zhang, Y.J.; Chen, C.R.; Xu, Z.; Guo, X. Plant–soil interaction affects the mineralization of soil organic carbon: Evidence from 73-year-old plantations with three coniferous tree species in subtropical Australia. J. Soils Sediments 2017, 17, 985–995. [Google Scholar] [CrossRef]
- Ribeiro, H.M.; Fangueiro, D.; Alves, F.; Ventura, R.; Coelho, D.; Vasconcelos, E.; Cunha-Queda, C.; Coutinho, J.; Cabral, F. Nitrogen mineralization from an organically managed soil and nitrogen accumulation in lettuce. J. Plant Nutr. Soil Sci. 2010, 173, 260–267. [Google Scholar] [CrossRef]
- Ryzhova, I.M.; Podvezennaya, M.A.; Telesnina VMBogatyrev LGSemenyuk, O.V. Assessment of Carbon Stock and CO2 Production Potential for Soils of Coniferous-Broadleaved Forests. Eurasian Soil Sci. 2023, 56, 1317–1326. [Google Scholar] [CrossRef]
- Knops JM, H.; Bradley, K.L.; Wedlin, D.A. Mechanisms of plant species impacts on ecosystem nitrogen cycling. Ecol. Lett. 2010, 5, 454–466. [Google Scholar] [CrossRef]
- Pan, L.; Zhang, X.Q.; Wang, J.P.; Ma, X.; Zhou, M.; Huang, L.; Nie, G.; Wang, P.; Yang, Z.; Li, J. Transcriptional profiles of drought-related genes in modulating metabolic processes and antioxidant defenses in Lolium multiflorum. Front. Plant Sci. 2016, 7, 519. [Google Scholar] [CrossRef]
- Finzi, A.C.; Schlesinger, W.H. Soil-nitrogen cycling in a pine forest exposed to 5 years of elevated carbon dioxide. Ecosystem 2003, 6, 444–456. [Google Scholar] [CrossRef]
- Jurado, M.M.; Suárez-Estrella, F.; López, M.J.; Vargas-García, M.C.; López-González, J.A.; Moreno, J. Enhanced turnover of organic matter fractions by microbial stimulation during lignocellulosic waste composting Author links open overlay panel. Bioresour. Technol. 2015, 186, 15–24. [Google Scholar] [CrossRef]
- Rumpel, C.; Creme, A.; Ngo, P.T.; Velásquez, G.; Mora, M.L.; Chabbi, A. The impact of grassland management on biogeochemical cycles involving carbon, nitrogen and phosphorus. J. Soil Sci. Plant Nutr. 2016, 15, 353–371. [Google Scholar] [CrossRef]
- Fang, C.J.; Moncrieff, B. The dependence of soil CO2 efflux on temperature. Soil Biol. Biochem. 2001, 33, 155–165. [Google Scholar] [CrossRef]
- Wang, H.M.; Sun, J.; Li, W.P.; Wu, J.; Chen, Y.; Liu, W. Effects of soil nutrients and climate factors on belowground biomass in an alpine meadow in the source region of the Yangtze-Yellow rivers, Tibetan Plateau of China. J. Arid Land 2016, 8, 881–889. [Google Scholar] [CrossRef]
- Des Marteaux, L.E.; Kullik, S.A.; Habash, M.; Schmidt, J.M. Terrestrial isopods porcellio scaber and Oniscus asellus (Crustacea: Isopoda) increase bacterial abundance and modify microbial community structure in leaf litter microcosms: A short-term decomposition study. Microb. Ecol. Int. J. 2020, 80, 690–702. [Google Scholar] [CrossRef] [PubMed]
- Smolander, A.; Kitunen, V. Soil microbial activities and characteristics of dissolved organic C and N in relation to tree species. Soil Biol. Biochem. 2002, 34, 651–660. [Google Scholar] [CrossRef]
- Kalbitz, K.; Solinger, S.; Park, J.H.; Michalzik, B.; Matzner, E. Controls on the dynamics of dissolved organic matter in soils: A review. Soil Sci. 2000, 165, 277–304. [Google Scholar] [CrossRef]
- Macfadyen, A. Simple methods for measuring and maintaining the proportion of carbon dioxide in air, for use in ecological studies of soil respiration. Soil Biol. Biochem. 1970, 2, 9–18. [Google Scholar] [CrossRef]
- Grave, A.; Nicoloso RD, S.; Cassol, P.C.; Aita, C.; Corrêa, J.C.; Dalla Costa, M.; Fritz, D.D. Short-term carbon dioxide emission under contrasting soil disturbance levels and organic amendments. Soil Tillage Res. 2015, 146, 184–192. [Google Scholar] [CrossRef][Green Version]
- Lorenz, K.; Lal, R. Biogeochemical C and N cycles in urban soils. Environ. Int. 2009, 35, 1–8. [Google Scholar] [CrossRef] [PubMed]
- Wang, X.; Zhou, W.; Liang, G.; Song, D.; Zhang, X. Characteristics of maize biochar with different pyrolysis temperatures and its effects on organic carbon, nitrogen and enzymatic activities after addition to fluvo-aquic soil. Sci. Total Environment. 2015, 538, 137–144. [Google Scholar] [CrossRef]
- Demisie, W.; Liu, Z.; Zhang, M. Effect of biochar on carbon fractions and enzyme activity of red soil. Catena 2014, 121, 214–221. [Google Scholar] [CrossRef]
- Elzobair, K.A.; Stromberger, M.E.; Ippolito, J.A.; Lentz, R. Contrasting effects of biochar versus manure on soil microbial communities and enzyme activities in an aridisol. Chemosphere 2016, 142, 145–152. [Google Scholar] [CrossRef]
- Hale, L.; Luth, M.; Crowley, D. Biochar characteristics relate to its utility as an alternative soil inoculum carrier to peat and vermiculite. Soil Biol. Biochem. 2015, 81, 228–235. [Google Scholar] [CrossRef]
- Keith, A.; Singh, B.; Dijkstra, F.A. Biochar reduces the rhizosphere priming effect on soil organic carbon. Soil Biol. Biochem. 2015, 88, 37. [Google Scholar] [CrossRef]




| Species | pH | Moisture/(%) | Soil Bulk Density/(g/cm3) | TP/(g/kg) | TN/(%) | TC/(%) |
|---|---|---|---|---|---|---|
| CK | 4.55 ± 0.22 a | 19.37 ± 1.38 b | 1.62 ± 0.07 a | 0.25 ± 0.01 b | 0.06 ± 0.0 b | 1.99 ± 0.19 b |
| A | 4.46 ± 0.10 ab | 22.27 ± 0.80 a | 1.55 ± 0.05 b | 0.41 ± 0.05 b | 0.08 ± 0.01 ab | 2.39 ± 0.15 a |
| B | 4.26 ± 0.07 b | 20.88 ± 1.14 ab | 1.46 ± 0.05 b | 0.67 ± 0.18 a | 0.10 ± 0.00 a | 2.79 ± 0.09 a |
| C | 4.51 ± 0.11 a | 21.13 ± 0.68 a | 1.56 ± 0.08 b | 0.98 ± 0.03 a | 0.10 ± 0.01 ab | 2.69 ± 0.20 a |
| Species | MBC (mg·kg−1) | MBN (mg·kg−1) | DOC (mg·kg−1) | DON (mg·kg−1) | NO3-N(mg·kg−1) | NH4-N(mg·kg−1) |
|---|---|---|---|---|---|---|
| CK | 0.52 ± 0.05 b | 0.06 ± 0.00 b | 49.04 ± 4.25 b | 21.83 ± 3.23 b | 29.68 ± 3.91 c | 19.34 ± 2.69 c |
| A | 0.67 ± 0.05 a | 0.09 ± 0.01 b | 63.13 ± 4.32 a | 35.38 ± 2.50 a | 50.21 ± 4.34 b | 37.55 ± 3.39 b |
| B | 0.76 ± 0.03 a | 0.11 ± 0.01 a | 69.53 ± 4.27 a | 44.07 ± 2.78 a | 64.05 ± 5.02 a | 48.28 ± 3.25 a |
| C | 0.70 ± 0.07 a | 0.11 ± 0.01 a | 66.43 ± 5.94 a | 41.21 ± 3.93 a | 58.92 ± 5.15 a | 44.49 ± 5.34 a |
| Temperature | Species | Potentially Carbon Mineralizable (C0) | Constant (K) | Relation Coefficient (R2) |
|---|---|---|---|---|
| 5 °C | CK | 110.09 ± 9.10 ab | 0.092 ± 0.005 b | 0.976 ± 0.018 a |
| A | 116.22 ± 10.09 a | 0.148 ± 0.078 a | 0.964 ± 0.014 a | |
| B | 113.55 ± 8.67 ab | 0.077 ± 0.002 b | 0.968 ± 0.023 a | |
| C | 92.03 ± 10.10 b | 0.081 ± 0.009 b | 0.979 ± 0.007 a | |
| 15 °C | CK | 130.38 ± 10.97 a | 0.140 ± 0.085 a | 0.941 ± 0.040 a |
| A | 135.03 ± 11.00 a | 0.119 ± 0.009 a | 0.967 ± 0.012 a | |
| B | 127.17 ± 11.38 b | 0.103 ± 0.009 a | 0.953 ± 0.003 a | |
| C | 126.70 ± 7.72 b | 0.106 ± 0.002 a | 0.955 ± 0.011 a | |
| 25 °C | CK | 258.54 ± 47.69 a | 0.105 ± 0.006 a | 0.982 ± 0.021 a |
| A | 254.60 ± 44.08 a | 0.093 ± 0.009 ab | 0.966 ± 0.015 a | |
| B | 253.53 ± 45.67 a | 0.049 ± 0.006 b | 0.976 ± 0.050 a | |
| C | 189.35 ± 17.89 b | 0.054 ± 0.001 b | 0.987 ± 0.004 a | |
| 35 °C | CK | 401.82 ± 61.84 ab | 0.050 ± 0.002 a | 0.987 ± 0.004 a |
| A | 445.81 ± 31.23 ab | 0.048 ± 0.003 a | 0.983 ± 0.028 a | |
| B | 569.06 ± 111.38 a | 0.112 ± 0.010 a | 0.986 ± 0.011 a | |
| C | 364.28 ± 62.87 b | 0.039 ± 0.003 b | 0.990 ± 0.007 a |
| Treatment | Value Q10 | Treatment | Value Q10 |
|---|---|---|---|
| CK | 1.855 ± 0.231 | A | 1.729 ± 0.591 |
| B | 1.941 ± 0.335 | C | 1.624 ± 0.267 |
Disclaimer/Publisher’s Note: The statements, opinions and data contained in all publications are solely those of the individual author(s) and contributor(s) and not of MDPI and/or the editor(s). MDPI and/or the editor(s) disclaim responsibility for any injury to people or property resulting from any ideas, methods, instructions or products referred to in the content. |
© 2024 by the authors. Licensee MDPI, Basel, Switzerland. This article is an open access article distributed under the terms and conditions of the Creative Commons Attribution (CC BY) license (https://creativecommons.org/licenses/by/4.0/).
Share and Cite
Wu, H.; Chu, S.; Ouyang, X.; Zou, Z.; Fu, H.; Liu, Y.; Shi, X.; Zhang, Y.; Ouyang, K.; Zhang, L.; et al. Effects of Cow-Dung Vermicomposting on Soil Carbon Mineralization and Temperature Sensitivity in Camellia oleifera Forest. Agriculture 2024, 14, 1973. https://doi.org/10.3390/agriculture14111973
Wu H, Chu S, Ouyang X, Zou Z, Fu H, Liu Y, Shi X, Zhang Y, Ouyang K, Zhang L, et al. Effects of Cow-Dung Vermicomposting on Soil Carbon Mineralization and Temperature Sensitivity in Camellia oleifera Forest. Agriculture. 2024; 14(11):1973. https://doi.org/10.3390/agriculture14111973
Chicago/Turabian StyleWu, Huaiyuan, Shuangshuang Chu, Xiuqin Ouyang, Zhonghua Zou, Huanhuan Fu, Yaohui Liu, Xueyun Shi, Yunyu Zhang, Kun Ouyang, Ling Zhang, and et al. 2024. "Effects of Cow-Dung Vermicomposting on Soil Carbon Mineralization and Temperature Sensitivity in Camellia oleifera Forest" Agriculture 14, no. 11: 1973. https://doi.org/10.3390/agriculture14111973
APA StyleWu, H., Chu, S., Ouyang, X., Zou, Z., Fu, H., Liu, Y., Shi, X., Zhang, Y., Ouyang, K., Zhang, L., & Hu, D. (2024). Effects of Cow-Dung Vermicomposting on Soil Carbon Mineralization and Temperature Sensitivity in Camellia oleifera Forest. Agriculture, 14(11), 1973. https://doi.org/10.3390/agriculture14111973

