Identification and Correlation Analysis of Key Clostridia and LAB Species in Alfalfa Silages Prepared with Different Cultivars and Additives
Abstract
1. Introduction
2. Materials and Methods
2.1. Alfalfa Cultivar and Additive and Silage Preparation
2.2. Chemical Composition and Fermentation Characteristic and Microbial Enumeration
2.3. Identification and Correlation Analysis of Key Clostridia and LAB Species
2.3.1. DNA Extraction and SMRT Sequencing
2.3.2. Sequencing Analysis
2.4. Statistical Analysis
3. Results
3.1. Characteristics of Fresh Alfalfa
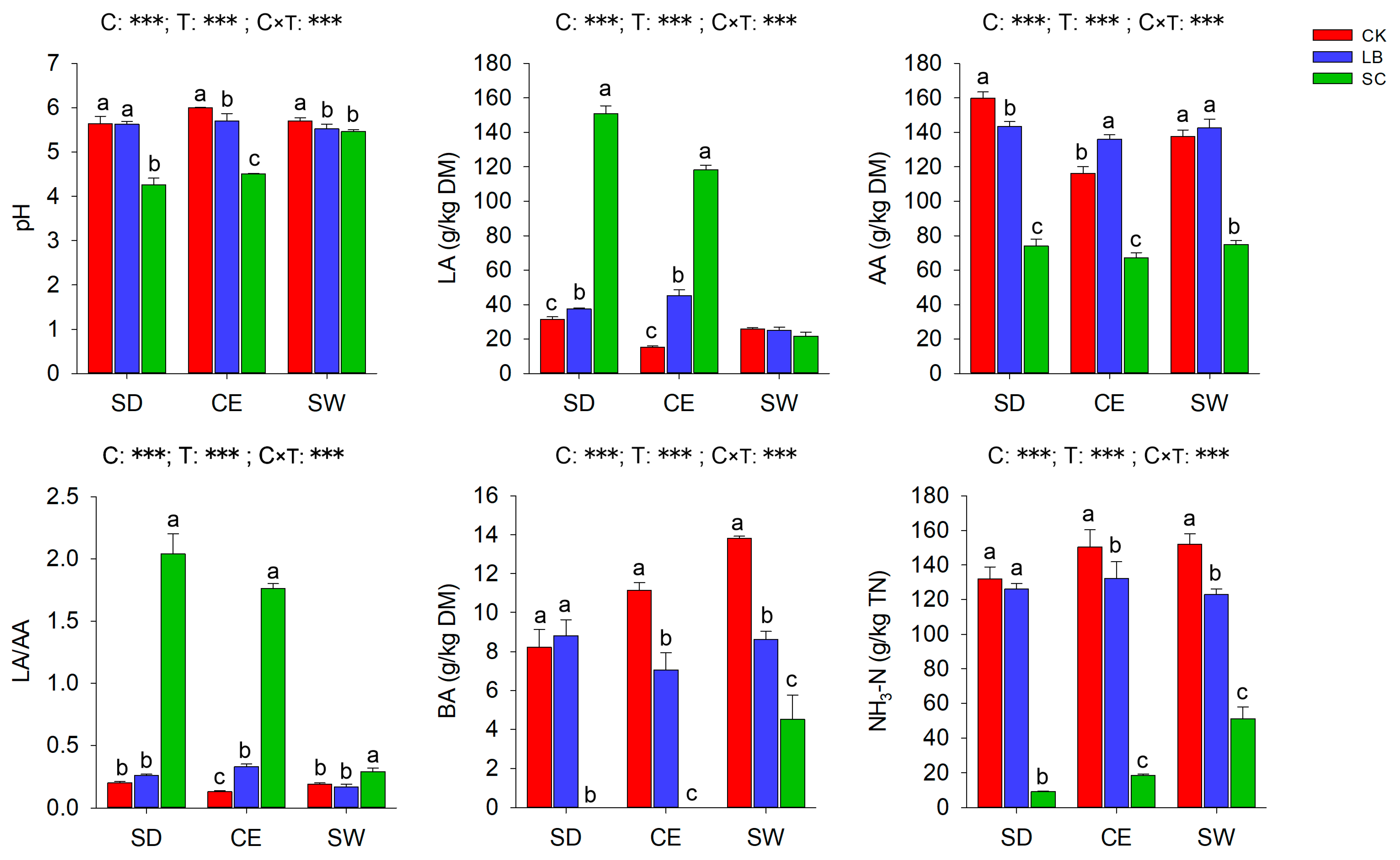
3.2. Fermentation Characteristics and Microbial Counts of Alfalfa Silage
3.3. Bacterial Community of Alfalfa Silage
3.4. Key Clostridia and LAB Species of Alfalfa Silage
4. Discussion
5. Conclusions
Author Contributions
Funding
Institutional Review Board Statement
Data Availability Statement
Conflicts of Interest
References
- Li, R.R.; Hu, M.; Jiang, X.; Xu, C.C. Metagenomic insights into the microbiota involved in lactate and butyrate production and manipulating their synthesis in alfalfa silage. J. Appl. Microbiol. 2023, 134, lxad197. [Google Scholar] [CrossRef] [PubMed]
- Jiang, H.; Wang, H.R.; Bao, B.H.; Qu, H.; Wang, J.; Sun, L.; Liu, B.; Gao, F.Q. Effect of compound additives on nutritional composition, fermentation quality, and bacterial community of high-moisture alfalfa silage. Fermentation 2023, 9, 453. [Google Scholar] [CrossRef]
- Lin, J.Y.; Li, G.H.; Sun, L.; Wang, S.; Meng, X.; Sun, L.C.; Yuan, L.; Xu, L.B. Varieties and ensiling: Impact on chemical composition, fermentation quality and bacterial community of alfalfa. Front. Microbiol. 2023, 13, 1091491. [Google Scholar] [CrossRef]
- Zheng, M.L.; Niu, D.Z.; Jiang, D.; Zuo, S.S.; Xu, C.C. Dynamics of microbial community during ensiling direct-cut alfalfa with and without LAB inoculant and sugar. J. Appl. Microbiol. 2017, 122, 1456–1470. [Google Scholar] [CrossRef] [PubMed]
- Zheng, M.L.; Niu, D.Z.; Zuo, S.S.; Mao, P.C.; Meng, L.; Xu, C.C. The effect of cultivar, wilting and storage period on fermentation and the clostridial community of alfalfa silage. Ital. J. Anim. Sci. 2018, 17, 336–346. [Google Scholar] [CrossRef]
- Bai, J.; Xu, D.M.; Xie, D.M.; Wang, M.S.; Li, Z.Q.; Guo, X.S. Effects of antibacterial peptide-producing Bacillus subtilis and Lactobacillus buchneri on fermentation, aerobic stability, and microbial community of alfalfa silage. Bioresour. Technol. 2020, 315, 123881. [Google Scholar] [CrossRef]
- Yang, F.Y.; Wang, Y.P.; Zhao, S.S.; Wang, Y. Lactobacillus plantarum inoculants delay spoilage of high moisture alfalfa silages by regulating bacterial community composition. Front. Microbiol. 2020, 11, 1989. [Google Scholar] [CrossRef]
- Zhao, S.S.; Wang, Y.P.; Yang, F.Y.; Wang, Y.; Zhang, H. Screening a Lactobacillus plantarum strain for good adaption in alfalfa ensiling and demonstrating its improvement of alfalfa silage quality. J. Appl. Microbiol. 2020, 129, 233–242. [Google Scholar] [CrossRef]
- Zhang, Z.; Nair, S.; Tang, L.; Zhao, H.; Hu, Z.; Chen, M.; Zhang, Y.; Kao, S.J.; Jiao, N.; Zhang, Y. Long-term survival of Synechococcus and heterotrophic bacteria without external nutrient supply after changes in their relationship from antagonism to mutualism. mBio 2021, 12, e01614-21. [Google Scholar] [CrossRef]
- Zheng, M.L.; Niu, D.Z.; Jiang, D.; Li, R.R.; Meng, L.; Xu, C.C. Metagenome analyses reveal the role of Clostridium perfringens in alfalfa silage anaerobic deterioration. FEMS Microbiol. Lett. 2020, 367, fnaa052. [Google Scholar] [CrossRef]
- Huang, F.Q.; Wang, T.W.; Zhang, J.Q.; Tahir, M.; Sun, J.H.; Liu, Y.Y.; Yun, F.F.; Xia, T.Q.; Teng, K.L.; Wang, J.W.; et al. Exploring the bacterial community succession and metabolic profiles of Lonicera japonica Thunb. residues during anaerobic fermentation. Bioresour. Technol. 2023, 367, 128264. [Google Scholar] [CrossRef] [PubMed]
- Owens, V.N.; Albrecht, K.A.; Muck, R.E.; Duke, S.H. Protein degradation and fermentation characteristics of red clover and alfalfa silage harvested with varying levels of total nonstructural carbohydrates. Crop Sci. 1999, 39, 1873–1880. [Google Scholar] [CrossRef]
- Playne, M.J.; McDonald, P. The buffering constituents of herbage and of silage. J. Sci. Food Agric. 1966, 17, 264–268. [Google Scholar] [CrossRef]
- AOAC. Official Methods of Analysis, 15th ed.; Association of Official Analytical Chemists: Arlington, VA, USA, 1990. [Google Scholar]
- Van Soest, P.J.; Robertson, J.B.; Lewis, B.A. Methods for dietary fiber, neutral detergent fiber, and nonstarch polysaccharides in relation to animal nutrition. J. Dairy Sci. 1991, 74, 3583–3597. [Google Scholar] [CrossRef]
- Broderick, G.A.; Kang, J.H. Automated simultaneous determination of ammonia and total amino-acids in ruminal fluid and in vitro media. J. Dairy Sci. 1980, 63, 64–75. [Google Scholar] [CrossRef]
- Wang, H.L.; Ning, T.T.; Hao, W.; Zheng, M.L.; Xu, C.C. Dynamics associated with prolonged ensiling and aerobic deterioration of total mixed ration silage containing whole crop corn. Asian Australas. J. Anim. Sci. 2016, 29, 62–72. [Google Scholar] [CrossRef]
- Hungate, R.E. Chapter IV a roll tube method for cultivation of strict anaerobes. Method. Microbiol. 1969, 3, 117–132. [Google Scholar] [CrossRef]
- Edgar, R.C. UPARSE: Highly accurate OTU sequences from microbial amplicon reads. Nat. Methods. 2013, 10, 996–998. [Google Scholar] [CrossRef]
- Bai, J.; Ding, Z.T.; Ke, W.C.; Xu, D.M.; Wang, M.S.; Huang, W.K.; Zhang, Y.X.; Liu, F.; Guo, X.S. Different lactic acid bacteria and their combinations regulated the fermentation process of ensiled alfalfa: Ensiling characteristics, dynamics of bacterial community and their functional shifts. Microb. Biotechnol. 2021, 14, 1171–1182. [Google Scholar] [CrossRef]
- Zheng, M.L.; Mao, P.C.; Tian, X.X.; Meng, L. Effects of exogenous lactic acid bacteria and maize meal on fermentation quality and microbial community of Orychophragmus violaceus silage. Front. Microbiol. 2023, 14, 1276493. [Google Scholar] [CrossRef]
- Wang, S.R.; Wang, Y.X.; Liu, H.P.; Li, X.B.; Zhao, J.; Dong, Z.H.; Li, J.F.; Kaka, N.A.; Nazar, M.; Shao, T. Using PICRUSt2 to explore the functional potential of bacterial community in alfalfa silage harvested at different growth stages. Chem. Biol. Technol. Agric. 2022, 9, 98. [Google Scholar] [CrossRef]
- Guo, G.; Shen, C.; Liu, Q.; Zhang, S.L.; Wang, C.; Chen, L.; Xu, Q.F.; Wang, Y.X.; Huo, W.J. Fermentation quality and in vitro digestibility of first and second cut alfalfa (Medicago sativa L.) silages harvested at three stages of maturity. Anim. Feed Sci. Technol. 2019, 257, 114274. [Google Scholar] [CrossRef]
- McDonald, P.; Henderson, A.R. Buffering capacity of herbage samples as a factor in ensilage. J. Sci. Food Agric. 1962, 13, 395–400. [Google Scholar] [CrossRef]
- Buxton, D.R.; O’Kiely, P. Preharvest plant factors affecting ensiling. In Silage Science and Technology; Buxton, D.R., Muck, R.E., Harrison, J.H., Eds.; American Society of Agronomy: Madison, WI, USA, 2003; pp. 199–250. [Google Scholar]
- Stirling, A.C.; Whittenbury, R. Sources of the lactic acid bacteria occurring in silage. J. Appl. Bacteriol. 1963, 26, 86–90. [Google Scholar] [CrossRef]
- Muck, R.E. Initial bacterial numbers on lucerne prior to ensiling. Grass Forage Sci. 1989, 44, 19–25. [Google Scholar] [CrossRef]
- Pahlow, G.; Muck, R.E.; Driehuis, F.; Elferink, S.J.W.H.O.; Spoelstra, S.F. Microbiology of ensiling. In Silage Science and Technology; Buxton, D.R., Muck, R.E., Harrison, J.H., Eds.; American Society of Agronomy: Madison, WI, USA, 2003; pp. 31–93. [Google Scholar]
- Sun, J.J.; Wang, J.; Bai, C.S.; Zhao, J.M.; Yun, Y.; Yu, Z.; Xue, Y.L.; Zhang, T.W.; Bao, W.L. Natural fermentation quality, bacteria, and functional profiles of three cuttings of alfalfa silage in a year in Inner Mongolia, China. Front. Microbiol. 2023, 14, 1083620. [Google Scholar] [CrossRef]
- Contreras-Govea, F.E.; Muck, R.E.; Broderick, G.A.; Weimer, P.J. Lactobacillus plantarum effects on silage fermentation and in vitro microbial yield. Anim. Feed Sci. Technol. 2013, 179, 61–68. [Google Scholar] [CrossRef]
- Muck, R.E. Recent advances in silage microbiology. Agr. Food Sci. 2013, 22, 3–15. [Google Scholar] [CrossRef]
- Zhang, Y.; Liu, Y.; Meng, Q.; Zhou, Z.; Wu, H. A mixture of potassium sorbate and sodium benzoate improved fermentation quality of whole-plant corn silage by shifting bacterial communities. J. Appl. Microbiol. 2020, 128, 1312–1323. [Google Scholar] [CrossRef]
- Li, P.; Liao, C.S.; Yan, L.J.; Zhang, C.B.; Chen, L.Y.; You, M.H.; Cheng, Q.M.; Chen, C. Effects of small-scale silo types and additives on silage fermentation and bacterial community of high moisture alfalfa on the Qinghai-Tibetan Plateau. Anim. Feed Sci. Technol. 2023, 299, 115594. [Google Scholar] [CrossRef]
- Huo, W.J.; Zhang, Y.J.; Zhang, L.Y.; Shen, C.; Chen, L.; Liu, Q.; Zhang, S.L.; Wang, C.; Guo, G. Effect of lactobacilli inoculation on protein and carbohydrate fractions, ensiling characteristics and bacterial community of alfalfa silage. Front. Microbiol. 2022, 13, 1070175. [Google Scholar] [CrossRef] [PubMed]
- Li, R.R.; Jiang, D.; Zheng, M.L.; Tian, P.J.; Xu, C.C. Microbial community dynamics during alfalfa silage with or without clostridial fermentation. Sci. Rep. 2020, 10, 17782. [Google Scholar] [CrossRef] [PubMed]
- D’Incecco, P.; Pellegrino, L.; Hogenboom, J.A.; Cocconcelli, P.S.; Bassi, D. The late blowing defect of hard cheeses: Behaviour of cells and spores of Clostridium tyrobutyricum throughout the cheese manufacturing and ripening. LWT-Food Sci. Technol. 2018, 87, 134–141. [Google Scholar] [CrossRef]
- Wang, Q.; Wang, C.D.; Li, C.H.; Li, J.G.; Chen, Q.; Li, Y.Z. Clostridium luticellarii sp nov., isolated from a mud cellar used for producing strong aromatic liquors. Int. J. Syst. Evol. Microbiol. 2015, 65, 4730–4733. [Google Scholar] [CrossRef]
- Wang, C.D.; Chen, Q.; Wang, Q.; Li, C.H.; Leng, Y.Y.; Li, S.G.; Zhou, X.W.; Han, W.J.; Li, J.G.; Zhang, X.H.; et al. Long-term batch brewing accumulates adaptive microbes, which comprehensively produce more flavorful Chinese liquors. Food Res. Int. 2014, 62, 894–901. [Google Scholar] [CrossRef]
- Mariën, Q.; Regueira, A.; Ganigué, R. Steerable isobutyric and butyric acid production from CO2 and H2 by Clostridium luticellarii. Microb. Biotechnol. 2024, 17, e14321. [Google Scholar] [CrossRef]
- Fan, X.M.; Zhao, S.S.; Yang, F.Y.; Wang, Y.; Wang, Y.P. Effects of lactic acid bacterial inoculants on fermentation quality, bacterial community, and mycotoxins of alfalfa silage under vacuum or nonvacuum treatment. Microorganisms 2021, 9, 2614. [Google Scholar] [CrossRef]
- Zhang, X.Y.; Zhao, S.S.; Wang, Y.P.; Yang, F.Y.; Wang, Y.; Fan, X.M.; Feng, C.S. The Effect of Lactiplantibacillus plantarum ZZU203, cellulase-producing Bacillus methylotrophicus, and their combinations on alfalfa silage quality and bacterial community. Fermentation 2023, 9, 287. [Google Scholar] [CrossRef]
- Miranda-Tello, E.; Fardeau, M.L.; Sepulveda, J.; Fernandez, L.; Cayol, J.L.; Thomas, P.; Ollivier, B. Garciella nitratireducens gen. nov., sp nov., an anaerobic, thermophilic, nitrate- and thiosulfate-reducing bacterium isolated from an oilfield separator in the Gulf of Mexico. Int. J. Syst. Evol. Microbiol. 2003, 53, 1509–1514. [Google Scholar] [CrossRef]
- Li, P.; Zhao, W.J.; Yan, L.J.; Chen, L.Y.; Chen, Y.L.; Gou, W.L.; You, M.H.; Cheng, Q.M.; Chen, C. Inclusion of abandoned rhubarb stalk enhanced anaerobic fermentation of alfalfa on the Qinghai Tibetan Plateau. Bioresour. Technol. 2022, 347, 126347. [Google Scholar] [CrossRef]
- Na, N.; Qili, M.; Wu, N.R.; Sun, L.; Xu, H.W.; Zhao, Y.; Wei, X.B.; Xue, Y.L.; Tao, Y. Bacterial community and fermentation quality of ensiling alfalfa with commercial lactic acid bacterial additives. Front. Microbiol. 2022, 13, 836899. [Google Scholar] [CrossRef] [PubMed]
- Jiang, D.; Li, B.N.; Zheng, M.L.; Niu, D.Z.; Zuo, S.S.; Xu, C.C. Effects of Pediococcus pentosaceus on fermentation, aerobic stability and microbial communities during ensiling and aerobic spoilage of total mixed ration silage containing alfalfa (Medicago sativa L.). Grassl. Sci. 2020, 66, 215–224. [Google Scholar] [CrossRef]
- Li, X.M.; Chen, F.; Wang, X.K.; Xiong, Y.; Liu, Z.Y.; Lin, Y.L.; Ni, K.K.; Yang, F.Y. Innovative utilization of herbal residues: Exploring the diversity of mechanisms beneficial to regulate anaerobic fermentation of alfalfa. Bioresour. Technol. 2022, 360, 127429. [Google Scholar] [CrossRef] [PubMed]
- Li, J.F.; Yuan, X.J.; Desta, S.T.; Dong, Z.H.; Mugabe, W.; Shao, T. Characterization of Enterococcus faecalis JF85 and Enterococcus faecium Y83 isolated from Tibetan yak (Bos grunniens) for ensiling Pennisetum sinese. Bioresour. Technol. 2018, 257, 76–83. [Google Scholar] [CrossRef]
- Tian, J.; Huang, L.Y.; Tian, R.; Wu, J.Y.; Tang, R.X.; Zhang, J.G. Fermentation quality and bacterial community of delayed filling stylo silage in response to inoculating lactic acid bacteria strains and inoculating time. Chem. Biol. Technol. Agric. 2023, 10, 44. [Google Scholar] [CrossRef]
- Guo, L.N.; Wang, X.K.; Chen, H.L.; Li, X.M.; Xiong, Y.; Zhou, H.Z.; Xu, G.; Yang, F.Y.; Ni, K.K. Exploring the fermentation quality, bacterial community and metabolites of alfalfa ensiled with mugwort residues and Lactiplantibacillus pentosus. Chem. Biol. Technol. Agric. 2023, 10, 107. [Google Scholar] [CrossRef]
- Chen, L.J.; Wang, Y.L.; Li, X.; MacAdam, J.W.; Zhang, Y.H. Interaction between plants and epiphytic lactic acid bacteria that affect plant silage fermentation. Front. Microbiol. 2023, 14, 1164904. [Google Scholar] [CrossRef]
- Muck, R.E. Silage microbiology and its control through additives. Rev. Bras. Zootec. 2010, 39, 183–191. [Google Scholar] [CrossRef]
- Guo, X.S.; Ke, W.C.; Ding, W.R.; Ding, L.M.; Xu, D.M.; Wang, W.W.; Zhang, P.; Yang, F.Y. Profiling of metabolome and bacterial community dynamics in ensiled Medicago sativa inoculated without or with Lactobacillus plantarum or Lactobacillus buchneri. Sci. Rep. 2018, 8, 357. [Google Scholar] [CrossRef]
- Zheng, J.S.; Wittouck, S.; Salvetti, E.; Franz, C.; Harris, H.M.B.; Mattarelli, P.; O’Toole, P.W.; Pot, B.; Vandamme, P.; Walter, J.; et al. A taxonomic note on the genus Lactobacillus: Description of 23 novel genera, emended description of the genus Lactobacillus Beijerinck 1901, and union of Lactobacillaceae and Leuconostocaceae. Int. J. Syst. Evol. Microbiol. 2020, 70, 2782–2858. [Google Scholar] [CrossRef]






| Item | SD | CE | SW | SEM | p-Value |
|---|---|---|---|---|---|
| Chemical compositions (g/kg DM) | |||||
| DM (g/kg FM) | 186.12 b | 210.80 a | 179.49 c | 4.813 | <0.001 |
| CP | 204.03 a | 179.67 b | 184.17 b | 3.856 | <0.001 |
| WSC | 41.23 c | 44.43 b | 52.13 a | 1.656 | <0.001 |
| NDF | 402.13 | 401.70 | 401.00 | 1.800 | 0.975 |
| ADF | 304.10 b | 333.07 a | 332.33 a | 4.827 | <0.001 |
| BC (mEq/kg DM) | 478 c | 526 b | 551 a | 10.7 | <0.001 |
| Microbial counts (log10 cfu/g FM) | |||||
| LAB | 4.26 a | 4.14 b | 4.12 b | 0.023 | 0.001 |
| Clostridia | ND | ND | ND | - | - |
| Enterobacteria | 5.44 b | 5.64 a | 5.42 b | 0.041 | 0.011 |
| Aerobic bacteria | 5.77 | 5.93 | 5.79 | 0.033 | 0.088 |
| Yeast | 3.64 a | 3.50 b | 3.50 b | 0.026 | 0.004 |
| Top ten epiphytic LAB species (%) | |||||
| Lactobacillus gasseri | 0.045 | 0.003 | 0.011 | 0.0103 | 0.212 |
| Enterococcus faecalis | 0.011 | 0.001 | 0.008 | 0.0033 | 0.495 |
| Enterococcus pernyi | 0.010 | 0.021 | 0.000 | 0.0046 | 0.162 |
| Enterococcus casseliflavus | 0.007 | 0.002 | 0.001 | 0.0013 | 0.107 |
| Enterococcus silesiacus | 0.006 | 0.006 | 0.016 | 0.0031 | 0.408 |
| Lactococcus garvieae | 0.006 | 0.001 | 0.002 | 0.0011 | 0.107 |
| Lactococcus raffinolactis | 0.003 | 0.001 | 0.000 | 0.0009 | 0.546 |
| Lactiplantibacillus pentosus | 0.001 | 0.002 | 0.001 | 0.0006 | 0.819 |
| Lactiplantibacillus plantarum | 0.001 | 0.000 | 0.001 | 0.0005 | 0.619 |
| Leuconostoc pseudomesenteroides | 0.001 | 0.001 | 0.001 | 0.0006 | 0.971 |
| Total | 0.093 | 0.040 | 0.038 | 0.0115 | 0.060 |
Disclaimer/Publisher’s Note: The statements, opinions and data contained in all publications are solely those of the individual author(s) and contributor(s) and not of MDPI and/or the editor(s). MDPI and/or the editor(s) disclaim responsibility for any injury to people or property resulting from any ideas, methods, instructions or products referred to in the content. |
© 2024 by the authors. Licensee MDPI, Basel, Switzerland. This article is an open access article distributed under the terms and conditions of the Creative Commons Attribution (CC BY) license (https://creativecommons.org/licenses/by/4.0/).
Share and Cite
Zheng, M.; Li, Q.; Mao, P.; Tian, X.; Guo, Y.; Meng, L. Identification and Correlation Analysis of Key Clostridia and LAB Species in Alfalfa Silages Prepared with Different Cultivars and Additives. Agriculture 2024, 14, 1963. https://doi.org/10.3390/agriculture14111963
Zheng M, Li Q, Mao P, Tian X, Guo Y, Meng L. Identification and Correlation Analysis of Key Clostridia and LAB Species in Alfalfa Silages Prepared with Different Cultivars and Additives. Agriculture. 2024; 14(11):1963. https://doi.org/10.3390/agriculture14111963
Chicago/Turabian StyleZheng, Mingli, Qin Li, Peichun Mao, Xiaoxia Tian, Yuxia Guo, and Lin Meng. 2024. "Identification and Correlation Analysis of Key Clostridia and LAB Species in Alfalfa Silages Prepared with Different Cultivars and Additives" Agriculture 14, no. 11: 1963. https://doi.org/10.3390/agriculture14111963
APA StyleZheng, M., Li, Q., Mao, P., Tian, X., Guo, Y., & Meng, L. (2024). Identification and Correlation Analysis of Key Clostridia and LAB Species in Alfalfa Silages Prepared with Different Cultivars and Additives. Agriculture, 14(11), 1963. https://doi.org/10.3390/agriculture14111963
