Next Article in Journal
Zinc Biofortification of Selective Colored Rice Cultivars: Improvement of Zinc Uptake, Agronomic Traits, and Nutritional Value
Next Article in Special Issue
Impacts and Internal Mechanisms of High-Standard Farmland Construction on the Reduction of Agricultural Carbon Emission in China
Previous Article in Journal
Design and Testing of a Crawler Chassis for Brush-Roller Cotton Harvesters
Previous Article in Special Issue
The Impact of Digital Finance on Enhancing the Spatial Effects of Heterogeneous Environmental Regulations in Supporting Agricultural Green Total Factor Productivity
 
 
Font Type:
Arial Georgia Verdana
Font Size:
Aa Aa Aa
Line Spacing:
Column Width:
Background:
Article

Optimization of Manure-Based Substrate Preparation to Reduce Nutrients Losses and Improve Quality for Growth of Agaricus bisporus

1
Sichuan Provincial Key Laboratory of Philosophy and Social Sciences for Monitoring and Evaluation of Rural Land Utilization, Chengdu Normal University, Chengdu 611130, China
2
Key Laboratory of Non-Point Source Pollution Control, Ministry of Agriculture and Rural Affairs/Changping Soil Quality National Observation and Research Station/State Key Laboratory of Efficient Utilization of Arid and Semi-Arid Arable Land in Northern China, Institute of Agricultural Resources and Regional Planning, Chinese Academy of Agricultural Sciences, Beijing 100081, China
3
Chen Keming Food Co., Ltd., Changsha 410116, China
*
Author to whom correspondence should be addressed.
Agriculture 2024, 14(10), 1833; https://doi.org/10.3390/agriculture14101833
Submission received: 28 August 2024 / Revised: 10 October 2024 / Accepted: 11 October 2024 / Published: 18 October 2024

Abstract

With the growing world population, food demand has also increased, resulting in increased agricultural waste and livestock manure production. Wheat straw and cow dung are rich nutrient sources and, if not utilized properly, may lead to environmental pollution. Keeping in view the cultivation of Agaricus bisporus on straw/manure-based substrate, the current study aimed to optimize the conventional manure preparation technique to reduce nutrient losses and keep the quality of manure at its best. The treatments were considered as traditional and optimized schemes for mushroom substrate preparation. The results achieved herein indicated that the nutrient losses were low in the optimum scheme. For carbon (C), the loss was 43.55% at the substrate stage in the traditional scheme and reduced to 37.75% in the optimum scheme. In the case of nitrogen (N), the loss was 22.01% in the traditional scheme and was lower (18.49%) in the optimum scheme. The nutrient concentration in Agaricus bisporus was higher with the optimum scheme compared with the traditional scheme. It was 1.74% for C, 7.17% for N, 3.58% for phosphorus (P), and 4.92% for potassium (K). The optimum scheme also improved the Agaricus bisporus yield per unit area (84.55%) and the total yield (28.92%). The net income of the optimum scheme was 102.95% higher compared to the traditional scheme. The economic analysis also revealed that the benefit–cost ratio of the optimum scheme was high (48.86%) compared with the traditional scheme. This study concludes that the use of the optimum scheme can better utilize the wheat straw and cow manure waste for substrate preparation and reducing nutrient losses. In addition, the final mushroom residue can also be used as a leftover substrate for further utilization.

1. Introduction

The global population is estimated to reach 9 billion by 2050 and 11 billion by 2100, which gives rise to huge food demand with a significant increase in crop and livestock production and its associated waste generation [1]. The major sources of agricultural wastes include crop residues, livestock, agro-industrial, and aquacultural waste [2]. In terms of chemical composition, agricultural waste is mainly composed of cellulose, hemicellulose, lignin, starch, pectin, proteins, and other nutrients [3]. This waste is a rich source of nutrition and quality but causes environmental pollution; therefore, it should be utilized for economic benefits and create an eco-friendly environment [4].
Wheat is an important agricultural crop worldwide; its straw is a major by-product with low commercial value. Moreover, the average wheat straw yield is about 1.3–1.4 kg kg−1 of wheat grain [5]. It is estimated that about 1.67 billion cattle and buffaloes are being farmed worldwide, and along with livestock, other animals (horse, pig, and poultry) can produce about 20 million tons of dry matter daily, and approximately 3.5 × 1012 kg of livestock manure is produced annually in China [6]. Manure is a good source of nutrients and organic compounds and if not handled properly may cause various environmental problems [7].
Mushrooms have a huge global market of 65 billion USD, covering edible mushrooms (54%), medicinal mushrooms (38%), and wild mushrooms (8%). In 2016, global mushroom production was nearly 10.38 million metric tons and the average per-capita consumption has also increased in recent years [8]. China is the largest edible mushroom producer worldwide and cultivates almost 967 species, i.e., nearly 50% of the culturable edible mushroom species globally [9]. Moreover, China ranks first in producing 75% of the mushrooms in the world, followed by Japan and the United States of America (USA), which produce 0.470 million tons and 0.383 million tons of mushrooms annually [10].
Agaricus bisporus, also known as button mushroom, is the most cultivated, the highest yielding, and the most consumed mushroom worldwide [11]. It is a good source of food, cosmetics, and medicinal value. It has antioxidant, anti-diabetic, anti-obesity, and anti-cancer properties. Moreover, it has gained popularity in developed and developing countries as a supplement to healthy food during the last two decades [10]. The agricultural wastes including wheat straw, sawdust, sugarcane bagasse, corn stover, paddy residues, coffee husks, and fruit wastes are low-cost materials and can be used as a substrate for mushroom cultivation [12]. Therefore, mushroom cultivation is a cost-effective and economical way of recycling agricultural waste and facilitates novel avenues for mushroom production [11].
Mushroom cultivation also has a residual material, “spent mushroom substrate (SMS) or mushroom residue”, left after mushroom harvesting. It can be used as animal feed, fertilizer, soil conditioner, a source of energy, and waste-water treatment [13]. The production of 1 kg of mushroom generates 5 kg of SMS [14], and the most common practice is dumping or spreading compost in soil because it has high organic matter, low toxicity, and the potential to improve soil fertility and structure [15,16]. Therefore, it is important to introduce mushroom substrate that is a good source of nutrients for mushroom growth as well as to improve nutrient recovery for the reduction in non-point source pollution. Furthermore, the spent mushroom substrate should be a nutrient-rich and high-quality material for field return.
The uses of SMS or mushroom residue are well reported. It has been reported that SMS can be used in agriculture as an alternate to chemical fertilizers [17,18], as a source of organic matter [19], and as a soil conditioner [20,21], but its capacity to reduce nutrient losses and control environmental aspects is unexplored. This gives rise to the need for the current study and to focus on the optimization of the previously adopted conventional scheme. Minimizing the nutrient losses during mushroom cultivation will not only improve mushroom production but also sustain the nutrients in the substrate that will be beneficial to the land where deposited. Moreover, the quality of substrate that benefits mushroom quality and yield as well as reducing non-point source pollution is a research gap. The mushroom industry is growing over time, and it is important to study its impact on environmental sustainability and nutrient losses. Although it represents a safer utilization of agricultural waste, the fate of its mushroom residue needs to be studied. Considering this aspect, the current study was planned to (i) introduce a suitable substrate that is capable of improving the yield and quality of A. bisporus, (ii) improve the nutrient recovery efficiency, (iii) track the nutrient losses at the stage of substrate preparation and mushroom cultivation, and (iv) identify the quality of leftover substrate for further utilization.

2. Materials and Methods

2.1. Experimental Details

The experiment was carried out in the experimental base in Dali, Yunnan Province. The technology for utilizing edible fungi substrate at the base was relatively advanced, and the detection instruments were fully equipped, which provided excellent basic conditions for the analysis of nutrients in the utilization of the edible fungi substrate of agricultural wastes. The cow manure and wheat straw were collected from the surrounding farmers. The substrate ingredients are calcium superphosphate (Hebei Fanshan Phosphate Mine Co., Ltd., (Fanshan, China)), gypsum powder (Yingcheng Taichang Gypsum Products Co., Ltd. (Yingcheng, China); special grade for edible fungi), lime (Zibo Xinya Calcium Industry Co., Ltd. (Zibo, China)), and soybean meal (locally produced). The experiment was based on three stages, including the (i) material, (ii) substrate, and (iii) mushroom residues. The tested strain was conventional Agaricus bisporus strain 2796. The experiment lasted for four months, comprising three months for substrate preparation and one month for mushroom growth. During the experimental period, the average temperature was maintained at 17.2 °C, the humidity at 80–90%, and the pH was 7.0 ± 0.2. The nutrient content of each raw material is shown in Table 1.
The ratio of cow manure to wheat straw was from 1:1 (traditional) to 5:3 (optimum), and after compacting the substrate from 350 kg m−3 (traditional, not compactness) to 500 kg m−3 (optimum), we obtained the optimal method for substrate production. The yield of Agaricus bisporus was significantly improved (40.9%) with an optimized substrate preparation scheme as described in our previous study [22]. The moisture contents of all the substrates were maintained at 65%. Therefore, in this experiment, the traditional substrate preparation scheme and the optimized substrate preparation scheme were selected for comparison. The substrate preparation scheme is given in Table 2. All the management practices including raw material treatment and pre-stacking, fermentation in a fermentation tank, seeding, and fungus growth were adopted following the standard methods, like the previous study [22]. The weight of the added inputs was similar in both schemes, but the compactness was different, which reduced the area in the optimum scheme.

2.2. Laboratory Analysis

The experiment consisted of three repetitions and the mushrooms were gently twisted and harvested. The sample from the upper surface of the substrate as well as the mushroom residue were collected for further analysis in three replicates. The samples were dried at 105 °C for 24 h. After thorough dehydration, 2 g of each sample was digested with concentrated HNO3, H2SO4, and H2O2 and heated at 70 °C for 4 h. The analytical-grade chemicals and acids were used for analysis and purchased from Sigma-Aldrich. After complete digestion, the samples were filtered and stored for further analysis. The water content was determined by the standard method. The fresh weight and oven-dry weight of the samples were subtracted and divided by the fresh weight to calculate the water content [23]; the total C was determined by the potassium dichromate external heating method [24]; the total N was determined by the Kjeldahl method [25]; the total P was determined by the potassium persulfate digestion–vanadium molybdenum yellow colorimetric method at a 410 nm wavelength using a spectrophotometer (UV 1600 Shimadzu, Kyoto, Japan) [26]; the total K was determined by the flame atomic absorption method (AA 6300 Shimadzu, Kyoto, Japan); the humic acid was determined by the national standard method GB/T 11957-2001; and the hemicellulose, cellulose, and lignin were determined by Fan’s method and the instrument was the Ankom200 Fiber Analyzer (ANKOM Technology, Macedon, NY, USA). The total mass of Agaricus bisporus was measured using the weighing method.

2.3. Economic Analysis

The economic analysis was carried out by subtracting the scheme expenditures from the total income. The costs/prices were obtained from the local market. The total expenditures were calculated by adding all the inputs, including organics, fertilizers, and the labor cost. This income was acquired by selling mushrooms. The benefit–cost ratio (BCR) was estimated by dividing the net income to the total expenditures [27,28].

2.4. Data Analysis

The data set was statistically analyzed for the analysis of variance (ANOVA) and the Tukey test at p ≤ 0.05 [29]. The statistical analysis was performed using the Tukey test and the data sets are represented as the mean ± standard deviation. The analysis was performed with the help of Statistix® version 10 (Analytical Software, Tallahassee, FL, USA), the graphs were prepared with origin, and the data were processed using Microsoft 365 MSO (Version 2409 Build 16.0.18025.20030).

3. Results

3.1. Yield and Nutrient Content of Agaricus bisporus

The results revealed that the optimized scheme improved the Agaricus bisporus yield per unit area (84.55%) and the total yield (28.92%) compared to the traditional scheme. Moreover, the area of the traditional scheme was 43.13% higher than the optimized scheme. The N content in the mushrooms showed no difference between both schemes. The K content was improved with the optimum scheme (7.40%) compared to the traditional scheme. In addition, the P content was significantly improved in the optimum scheme (33.34%) compared with the traditional (Table 3).

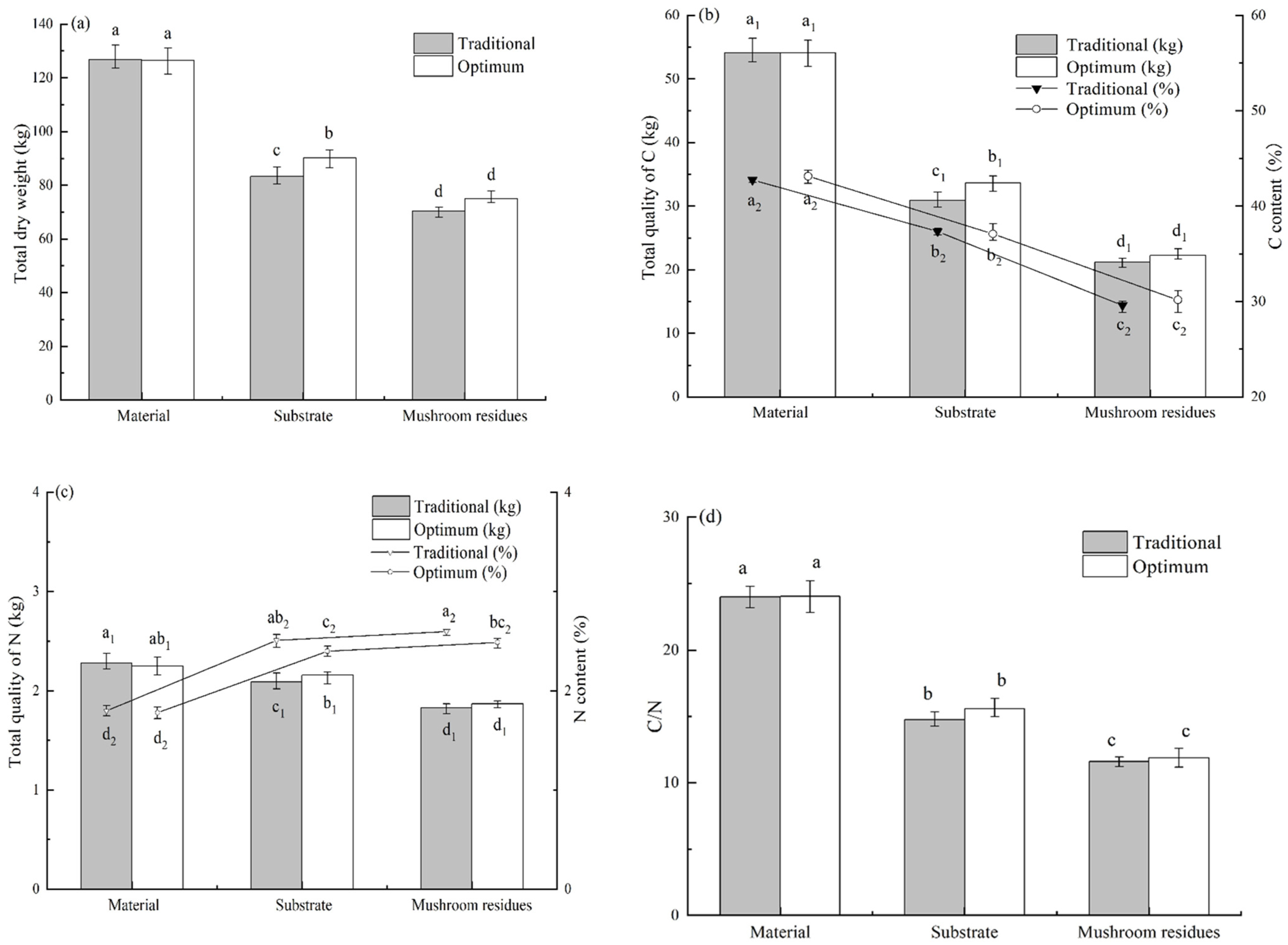
3.2. Changes in Total Dry Weight

A significant difference in the change in the total dry weight (p < 0.05) was observed (Figure 1a). The total dry weight of the raw materials in the traditional (126.79 kg) and optimized schemes (126.56 kg) is similar. In the substrate, the total dry weight was 83.25 kg in the traditional scheme and 90.16 kg in the optimized scheme. Moreover, the dry weight loss rate of the traditional scheme was 34.34% (43.54 kg) and the optimum scheme was 28.76% (36.40 kg). The results indicated that the optimized scheme has a higher substrate dry weight in comparison to the traditional schemes.
After the second stage, the substrate mass of the traditional and optimized schemes decreased from 83.24 kg and 90.16 kg to 70.41 kg and 75.11 kg, respectively. The traditional scheme lost a substrate mass of 12.83 kg (14.42%), whereas the optimized scheme lost 15.05 kg (16.69%) of substrate mass. The results showed that the total dry weight loss mainly occurs in the stage of substrate preparation, while the total dry weight loss in the substrate cultivation stage of Agaricus bisporus is relatively small. During the substrate cultivation stage of Agaricus bisporus, 2.07 kg and 2.67 kg of total dry weight were converted into the nutritional components of the mushrooms, with effective conversion rates of 16.13% and 17.74%, respectively (Table 3). The substrate was transformed into mushroom residue, and the recovery rates were 84.58% and 83.31%, respectively. Comparing the treatments in the first and third stages, there were non-significant differences, whereas after the first stage (substrate), the total dry weight of the traditional scheme was significantly lower than the optimized scheme.
During the entire process of converting agricultural waste from raw materials to mushroom residue, the total mass of the conventional method decreased by 56.38 kg (44.46%), and the optimized schemes were reduced by 51.45 kg (40.65%). In addition, the recovery rate of recyclable mushroom residue was 55.53% and 59.35%, respectively. The results illustrated that an improvement in substrate yield and a reduction in energy losses during the substrate preparation process, along with an improvement in the substrate conversion rate during substrate cultivation of Agaricus bisporus, are effective means to improve the substrate utilization efficiency of agricultural waste.

3.3. Changes in C Content

The changes in C content were categorized into changes in total C quantity and total C content. The reported results showed significant differences (p < 0.05). The change in total C quality is shown in Figure 1b, and its trend is similar to the change in total dry weight. In the first stage, the traditional scheme decreased from 54.70 kg to 30.88 kg and the optimized scheme decreased from 54.09 kg to 33.67 kg. The total carbon loss was 43.55% in the traditional and 37.75% in the optimum schemes. In the second stage, the traditional and optimized schemes decreased from 30.88 kg and 33.67 kg to 21.23 kg and 22.23 kg, respectively, with a reduction of 9.65 kg (31.25%) and 11.44 kg (33.98%) in total carbon. In the third stage, the results were insignificant. Moreover, it showed that the optimization scheme not only has significant advantages in the unit yield of Agaricus bisporus but also saves land area, reduces labor costs, and consumes more cow manure per unit volume.
At the same time, the effective conversion rate of substrate carbon is higher than that of conventional schemes. The change in total C content is shown in Figure 1b. In the first stage, the traditional and optimized schemes decreased from 43.14% and 42.74% to 37.09% and 37.34%, respectively. The total C content significantly decreased in the traditional (14.02%) and the optimized schemes (12.63%). In the second stage, the total C content in the mushroom residue obtained from the traditional and optimized schemes decreased to 30.16% and 29.60%, respectively, with a decrease of 18.68% and 20.73%. The results showed that the entire process of using the substrate for Agaricus bisporus involves reducing the C content, but the C content in the final mushroom residue is still high (29.60%). Comparing the treatments in the first and third stages, there were insignificant differences, whereas after the first stage (substrate), the total C quality of the traditional scheme was significantly lower than the optimized scheme. Moreover, the results of the C content were insignificant.

3.4. Changes in N Content

The changes in N content were categorized into changes in total N quality and total N content, and their differences are significant (p < 0.05; Figure 1c). The total quality of total N in the first stage of the traditional and optimized schemes was 2.28 kg and 2.25 kg, respectively. In the second stage, it was reduced to 2.09 kg and 2.16 kg, respectively. In the third stage, the total quality of total N was reduced from 2.09 kg and 2.16 kg to 1.83 kg and 1.87 kg, respectively, with a decrease of 0.26 kg and 0.29 kg, which is a decrease of 12.44% and 13.42%, respectively. During this process, 0.15 kg and 0.19 kg of N were converted into the nutritional components of Agaricus bisporus (Table 3). The N-effective conversion rate of substrate cultivation of Agaricus bisporus was 57.69% (traditional) and 65.52% (optimized), respectively, and the corresponding N losses were 42.31% and 34.48%, respectively. The treatment-wise comparison revealed that both treatments were insignificant in the first and last stages, and after the first stage, both treatments showed significant results.
The total N content in the first stage of the conventional and optimized scheme was insignificant (Figure 1c). In the second stage, it increased to 2.51% and 2.40% in the traditional and optimized schemes. The traditional scheme was significantly higher than the optimized scheme. Therefore, the total N content in the obtained matrix was lower than that of the traditional scheme. In the third stage, the total N content for the traditional and optimized schemes increased from 2.51% and 2.40% to 2.60% and 2.49%, respectively. Compared with the change in C, the proportion of N loss was relatively small. At the same time, the total mass reduction in the substrate was relatively high, and the amount of N reduction was relatively low. Therefore, the substrate cultivation of the edible fungi stage is also a process of increasing the substrate N proportion. The treatment-wise comparison revealed that an insignificant difference was observed at the first stage of both the traditional and optimized schemes. However, after the first and second stages, significant differences were observed in the N content for both schemes. The traditional scheme had a significantly better N content % compared to the optimum scheme.

3.5. Changes in C/N Ratio

As shown in Figure 1d, there is a significant difference in the change in C/N (p < 0.05). The initial C/N in the first stage was 24 for both schemes, which was reduced to 14.78 and 15.58, respectively, in the second stage of the conventional and optimized schemes. After a further reduction in C/N in the third stage, the traditional scheme decreased to 11.61 and the optimized schemes to 11.89. However, there was no difference between both schemes at any stage.

3.6. Changes in Total P and Total K During Matrix Utilization

The changes in total P and total K were divided into changes in total P and total K quality, and the changes in total P and total K contents, with significant differences (p < 0.05). The results showed that after the first stage, there was a significant change in the total quality of P, but it was insignificant in K (Figure 2). After the second stage, the total P mass of the traditional and optimized schemes decreased from 654.85 g and 763.68 g to 582.64 g and 676.41 g, respectively, with a decrease of 72.21 g and 87.27 g, respectively. After the first stage, the total P content of the traditional and optimized schemes increased from 5.27 g and 5.70 g to 7.87 g and 7.88 g, respectively, with an increase of 49.32% and 38.28%, After the second stage, the total P content of the traditional and optimized schemes increased from 7.87 g and 7.88 g to 8.63 g and 8.38 g, respectively, with an increase of 9.66% and 6.34%.
The total K mass of the traditional and optimized schemes decreased from 2495.00 g and 2611.94 g to 2098.92 g and 2051.04 g, respectively, with a decrease of 396.08 g and 560.90 g, respectively. The total K content of the Agaricus bisporus obtained from the conventional and optimized schemes was 95.74 g and 132.56 g, respectively. Therefore, the effective conversion rates of K in the substrate cultivation stage of edible mushrooms were 24.17% and 23.63%, and the K loss rates were 75.83% and 76.37%, respectively. The total K content increased from 20.06 g and 21.25 g to 27.77 g and 27.97 g, respectively, with an increase of 38.43% and 31.62%, respectively.

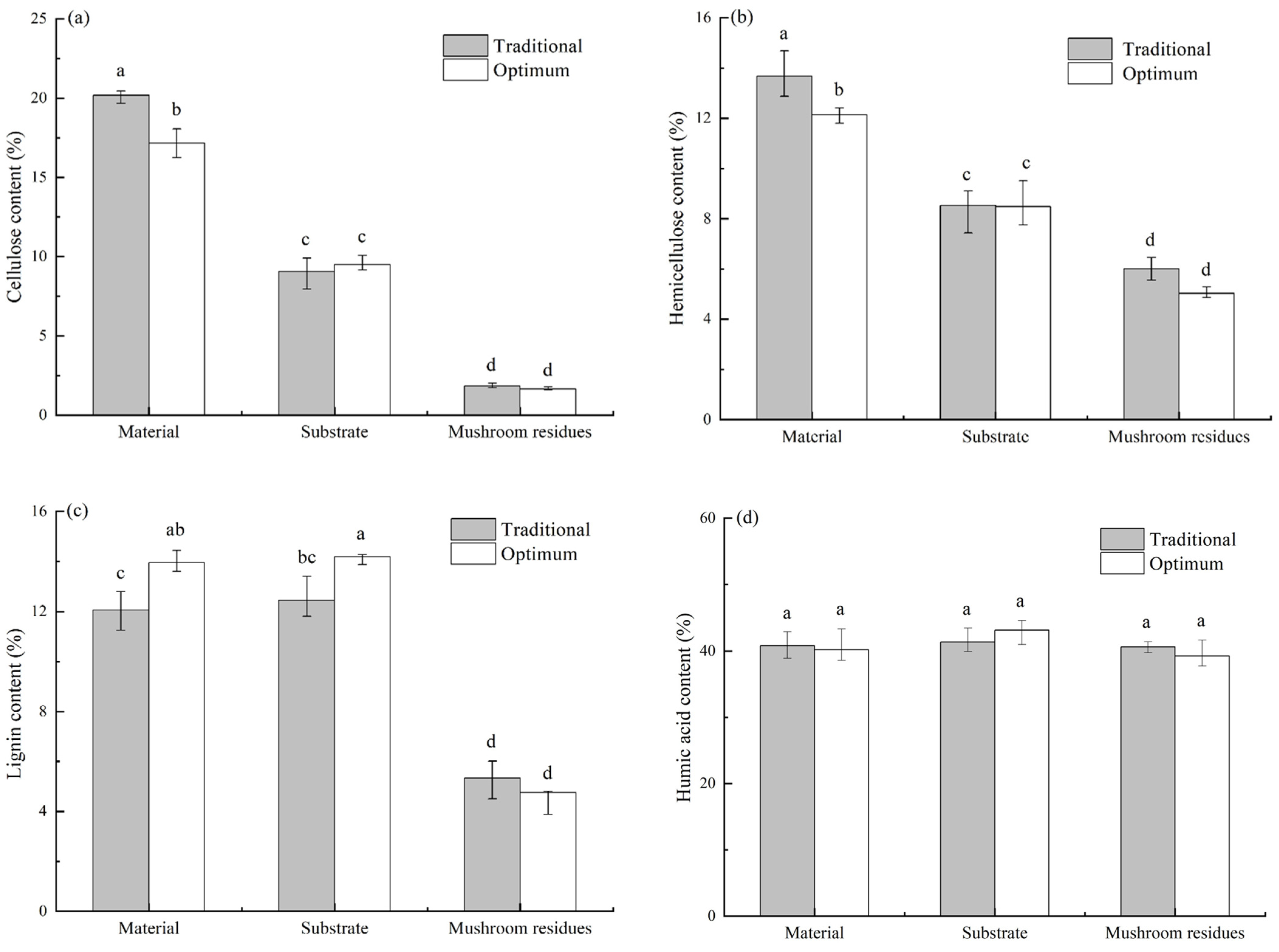
3.7. Changes in Cellulose, Hemicellulose, Lignin, and Humic Acid

The results revealed that changes in cellulose, hemicellulose, and lignin were significantly (p < 0.05) influenced. The initial cellulose content was 20.18% and 17.15%, hemicellulose content was 13.68% and 12.15%, and lignin content was 12.07% and 13.95% for the traditional and optimized schemes, respectively. After the first stage, the cellulose content of the traditional and optimized schemes was reduced to 9.06% and 9.49%, respectively, with a decrease of 55.10% and 44.66%; the hemicellulose content was reduced to 8.53% and 8.49%, respectively, with decreases of 37.65% and 30.12%; and the lignin content was reduced to 12.44% and 14.19%, with a reduction of 3.07% and 1.72%, respectively.
After the second stage, the cellulose content of the traditional scheme was reduced from 9.06% to 1.85% and the optimized scheme was reduced from 9.49% to 1.66%, with degradation rates of 78.58% and 82.51%, respectively. The hemicellulose content was also reduced from 8.53% and 8.49% to 6.01% and 5.03% for the traditional and optimized schemes, with degradation rates of 29.54% and 40.75%, respectively, and the lignin content was reduced from 12.44% and 14.19% to 5.34% and 4.76%, with degradation rates of 57.07% and 66.46%, respectively. It indicates that the decline in these three contents in the optimized scheme is higher than that of the traditional scheme. In addition, the yield of the optimized scheme was 8.60 kg m−2 and the yield of the traditional scheme was 4.66 kg m−2, and the higher yields will surely transform more nutrients in the substrate, so the decline in nutrients in the optimized scheme was comparatively enhanced.
Comparing the treatments in the first stage, the cellulose and hemicellulose contents in the optimized scheme were significantly lower than in the traditional scheme, and the later stages showed insignificant differences. Moreover, the lignin contents were significantly higher in the optimized scheme at the first and second stages compared to the traditional scheme. The difference in humic acid content between the traditional and optimized schemes was non-significant (p > 0.05). At all stages, the humic acid content was significantly similar for both schemes (Figure 3d).

3.8. Comprehensive Analysis of the Process of Substrate Utilization of Agricultural Waste of Edible Fungi

The conversion efficiency of the nutrients in the substrate utilization process of edible mushrooms from agricultural waste differed between the conventional and optimized schemes (Figure 4). Among the four nutrients, C, N, P, and K, the loss of the C element in the whole process was the highest, and after the first stage, the traditional and optimized schemes lost 43.55% and 37.75%, and in the second stage, they lost 17.64% and 19.11%, with a total loss of 61.19% and 56.86%, respectively. Only 1.39% C in the traditional scheme and 1.74% in the optimized scheme were converted to Agaricus bisporus nutrition, and the other 38.81% and 43.14% were retained in the mushroom residue, respectively.
Comparing the traditional and optimized scheme, 22.01% and 18.49% of N elements were lost in the first stage and 9.70% and 3.77% in the second stage, with a total loss of 31.71% and 22.26%, respectively. About 5.60% in the traditional and 7.17% in the optimized schemes were converted to Agaricus bisporus nutrition, and 68.28% and 77.74% were retained in the mushroom residue, respectively. The P contents were lost in the traditional scheme (1.98%) and optimized scheme (1.47%) in the first stage, and at the second stage, the loss was 10.81% in the traditional and 11.26% in the optimum schemes, making a total loss of 12.79% and 12.73%, respectively. The amounts of 2.42% and 3.58% were converted to Agaricus bisporus nutrition, and 87.21% and 87.27% were retained in the mushroom residue with the traditional and optimum schemes, respectively.
The loss of element K was 1.90% and 3.06% in the first stage and 15.57% and 15.89% in the second stage, with a total loss of 17.47% and 18.95%, respectively. About 3.76% and 4.92% were transformed into nutrition for Agaricus bisporus, while 82.53% and 81.06% were retained in the mushroom residue, respectively. According to the results, the loss of C and N elements was higher in the first stage, while there was almost no loss of P and K elements in the first stage, so the rate of substrate yield and substrate quality can be improved through the research and development of C and N fixation technology in the process of substrate preparation. In the second stage, the loss of P and K elements was higher than in the first stage due to leaching losses, etc., which can be effectively controlled through the moistening process in the cultivation of Agaricus bisporus. Whereas C elements still had a higher utilization rate in the optimum than the traditional scheme, the loss of the C content was still high, and the loss of the N element was minimized at the second stage compared to the other nutrients.

3.9. The Nutrient Content of Mushroom Residues of the Optimum Scheme

After the substrate utilization process of edible mushrooms, the recovered product is mushroom residue, and the recovery rate was as high as 59.35% according to the change in the total dry weight. The nutrient composition of mushroom residue is given in Table 4. The content of each nutrient in the mushroom residue was recovered for the optimized scheme, in which the contents of C (29.6%), N (2.49%), C/N (11.89), P (9.01 g kg−1), and K (29.13 g kg−1) were good enough to meet the nutrients required for the growth of mushrooms. Moreover, the fertilizer cost can also be reduced by eliminating the application of P and K fertilizers. The contents of cellulose, hemicellulose, and lignin were 1.66%, 5.03%, and 4.76%, respectively, and the humic acid content was 39.25%. Although a large amount of C was lost during the transformation process from raw material to mushroom residue, the recovered mushroom residue still had a high content of C. It can be concluded that the mushroom residue recovered in this experiment can be used as a good organic fertilizer raw material for returning to the field.

3.10. Economic Analysis

The total cost of production was increased in terms of the optimum treatment compared to the traditional scheme (Table 3). The optimum scheme has improved mushroom yield, so the net income was high in the optimum (164.55 CNY m−2) compared to the RM (Table 5). The benefit–cost ratio was also high in the optimum (3.93) compared to the traditional (2.64) scheme.

4. Discussion

The yield of Agaricus bisporus and its nutrient value were improved with the optimized scheme (Table 3). It might be associated with the substrate compactness. The compactness of the traditional scheme was 350 kg m−3 and the optimized scheme was 500 kg m−3. Therefore, under the same quality of raw materials, the cultivation area of the traditional scheme was 6.04 m2 and the cultivation area of the optimized scheme was 4.22 m2, which is also the reason for the large increase in yield per unit area. However, there is a certain gap between the increase in total output and yield per unit area. The porosity of the substrate is also an important factor in increasing the mushroom yield as it improves the gaseous exchange and root and water penetration and enhances crop yield [30]. In addition, the high nutrient availability and enhanced water-holding capacity of the substrate due to the supplementation of organic matter minimized the chances of young mushroom mortality and could be a reason behind yield enhancement [31].
Cow manure and wheat straw were the main raw materials used in this study. During the substrate preparation, composting, and fermentation processes, microorganisms decompose the organic matter, resulting in the conversion of C into greenhouse gases, such as CO2 and CH4, and humus. Humus is a rich source of nutrients for mushrooms and thus might be associated with enhanced nutrient content in Agaricus bisporus.
The results showed that reducing energy loss, improving substrate yield in the substrate preparation process, and improving the substrate conversion rate in substrate cultivation of Agaricus bisporus are effective means to improve the substrate utilization efficiency of agricultural waste. The reduction in the total dry weight of the substrate was observed over time. It may be due to the degradation of organic matter and consumption of C by microorganisms. In the early stages, microorganisms use C as a source of energy, and later, synthesis of humus takes place [32].
The results showed that the optimized scheme had relatively low carbon loss in the substrate preparation stage, which may be due to the presence of more cow manure in the optimized scheme, which has high viscosity and low flowability that reduces carbon loss [33]. Similar results were reported when pig and rice straw (1:5) composting enhanced the carbon losses [34]. The overall conversion efficiency of C in the second stage was relatively low, which may be due to the relatively single form of C that can benefit the growth of Agaricus bisporus in the substrate, mainly cellulose, hemicellulose, and lignin. During cultivation, mycelium exists in the substrate but is not converted into Agaricus bisporus products; therefore, growth of this mycelium requires C. In addition, the decomposition of organic matter also converts C into carbon dioxide and methane through microbial metabolism. As the compaction rate of the traditional scheme was less than the optimum scheme, it has a higher porosity, which may cause the higher nutrient flows/losses.
The results elaborated that the optimized scheme had a higher N-effective conversion rate (Figure 1c). The N losses in the farmland area mainly include nitrous oxide emissions, the leaching of nitrate nitrogen or ammonium nitrogen, the runoff of nitrate or ammonium N, ammonia volatilization, and other factors [35]. The Agaricus bisporus cultivation is performed indoors; therefore, N loss leaching, runoff, and other factors are mitigated.
A significant difference in the changes in the C/N ratio was observed over time, whereas the traditional and optimized treatments were insignificant (Figure 1d). It might be associated with the high decomposition of organic matter. The reduction in the dry weight, total C, and C/N ratio are interlinked and indicate that the compost has matured.
The results indicated a significant change in the P content of the traditional and optimized schemes. A portion of the mycelium and root residue of Agaricus bisporus will be retained in the substrate that contains a certain amount of P and K. During the testing process, the covering soil will be peeled off and not included in the composition of the mushroom residue, resulting in a certain amount of loss. Moreover, during the cultivation process of Agaricus bisporus, the crop is supplemented with sufficient water, and some nutrients will be lost with the leakage, resulting in a decrease in the effective conversion rate of elements. In addition, the total P and K content increased with the decrease in dry matter. It can be concluded that mushroom residue is a source of P and K and can be used as a supplement to reduce fertilizer costs. The K uptake and accumulation was increased in the material and substrate, which might be due to variation in additional manures and mushroom residues.
Significant differences in the cellulose, hemicellulose, and lignin contents of the traditional and optimized schemes were observed (Figure 3). It was determined that the content of cellulose and hemicellulose in cow dung was lower than that of wheat straw, and the content of lignin was slightly higher than that of wheat straw. So, the initial content of cellulose and hemicellulose in the raw materials of the traditional scheme was higher than that of the optimized scheme, and the initial content of lignin was lower than that of the optimized scheme (Table 1). Lignocellulose (cellulose, hemicellulose, and lignin) contents have complex physiochemical properties that prolong their degradation time. It has also been reported that the higher the C/N ratio, the more its degradation time will be [36].
The utilization rates of the four nutrients (C, N, P, and K) by Agaricus bisporus in the optimized scheme were higher than in the traditional scheme, which was more advantageous in terms of Agaricus bisporus yield, economic benefits, and cow manure consumption. In addition, the mushroom residue of the optimized scheme was more enriched than the traditional scheme. The results also revealed that the optimum scheme has a higher benefit–cost ratio that makes it an effective scheme for mushroom cultivation.

5. Conclusions

Mushrooms are an economic crop that can increase the farmer’s income and benefit human health. It is important to introduce suitable ways to reduce labor costs, improve crop production, and ensure environmental sustainability. The results of our study demonstrated that mushroom cultivation can be a useful practice for utilizing agricultural waste, specifically wheat straw and cow manure. It also enhanced the yield and quality of Agaricus bisporus and converted the waste products into organic waste compost that is used as the leftover substrate for further utilization. Moreover, the nutrients are also sustained in the mushroom residues, which can be beneficial in the next mushroom cultivation cycle. It also minimizes nutrient losses during mushroom cultivation. In future studies, the greenhouse gas emissions during mushroom cultivation can also be addressed. In addition, multiple mushroom cycles for at least one year should be performed to test the composting efficiency as well as the econmic benefits of mushroom cultivation. Furthermore, a comprehensive environmental and economic assessment is an open question for future studies. However, further analysis is required to identify the potential of the spent substrate as a fertilizer.

Author Contributions

Conceptualization, Y.G., H.W., S.W. and H.L. (Hongbin Liu); Data curation, Y.G.; Formal analysis, Y.G., H.L. (Hongbin Liu) and S.G.; Funding acquisition, H.L. (Han Li); Investigation, Y.W. and R.L.; Methodology, Y.G., Y.W., R.L. and S.G.; Project administration, H.L. (Hongbin Liu); Resources, S.W.; Software, H.L. (Han Li); Supervision, S.W.; Validation, H.W. and H.L. (Hongbin Liu); Writing—original draft, Y.G.; Writing—review and editing, Y.W., H.L. (Han Li), R.L., S.G., H.W., S.W. and H.L. (Hongbin Liu). All authors have read and agreed to the published version of the manuscript.

Funding

This research has been supported by the Fund of Research and Application of Diversified Preparation of Composite Seedling Substrates from Rural Waste (No. CXSY2024011), Project of Sichuan Provincial Key Laboratory of Philosophy and Social Sciences for Monitoring and Evaluation of Rural Land Utilization (No. NDZDSC2023006), and Chengdu Normal University Doctoral Talent Introduction Project Fund (No. YJRC202307). We also receive support from the Earmarked fund for the China Agriculture Research System (No. CARS-01).

Institutional Review Board Statement

Not applicable.

Data Availability Statement

The data presented in this study are available on request from the corresponding author.

Conflicts of Interest

Author Shengxiu Ge was employed by the Chen Keming Food Co., Ltd. The remaining authors declare that the research was conducted in the absence of any commercial or financial relationships that could be construed as a potential conflict of interest.

References

  1. O’Sullivan, J.N. Demographic Delusions: World Population Growth Is Exceeding Most Projections and Jeopardising Scenarios for Sustainable Futures. World 2023, 4, 545–568. [Google Scholar] [CrossRef]
  2. Koul, B.; Yakoob, M.; Shah, M.P. Agricultural Waste Management Strategies for Environmental Sustainability. Environ. Res. 2022, 206, 112285. [Google Scholar] [CrossRef]
  3. Babu, S.; Singh Rathore, S.; Singh, R.; Kumar, S.; Singh, V.K.; Yadav, S.K.; Yadav, V.; Raj, R.; Yadav, D.; Shekhawat, K.; et al. Exploring Agricultural Waste Biomass for Energy, Food and Feed Production and Pollution Mitigation: A Review. Bioresour. Technol. 2022, 360, 127566. [Google Scholar] [CrossRef] [PubMed]
  4. Maji, S.; Dwivedi, D.H.; Singh, N.; Kishor, S.; Gond, M. Agricultural Waste: Its Impact on Environment and Management Approaches; Springer: Singapore, 2020; pp. 329–351. ISBN 978-981-15-1390-9. [Google Scholar]
  5. Taghizadeh-Alisaraei, A.; Tatari, A.; Khanali, M.; Keshavarzi, M. Potential of Biofuels Production from Wheat Straw Biomass, Current Achievements and Perspectives: A Review. Biofuels 2023, 14, 79–92. [Google Scholar] [CrossRef]
  6. Shen, R.; Chen, R.; Yao, Z.; Feng, J.; Yu, J.; Li, Z.; Luo, J.; Zhao, L. Engineering and Microbial Characteristics of Innovative Lab and Pilot Continuous Dry Anaerobic Co-Digestion System Fed with Cow Dung and Corn Straw. Bioresour. Technol. 2021, 342, 126073. [Google Scholar] [CrossRef] [PubMed]
  7. Chávez-Fuentes, J.J.; Capobianco, A.; Barbušová, J.; Hutňan, M. Manure from Our Agricultural Animals: A Quantitative and Qualitative Analysis Focused on Biogas Production. Waste Biomass Valorization 2017, 8, 1749–1757. [Google Scholar] [CrossRef]
  8. Dimopoulou, M.; Kolonas, A.; Mourtakos, S.; Androutsos, O.; Gortzi, O. Nutritional Composition and Biological Properties of Sixteen Edible Mushroom Species. Appl. Sci. 2022, 12, 8074. [Google Scholar] [CrossRef]
  9. Li, C.; Xu, S. Edible Mushroom Industry in China: Current State and Perspectives. Appl. Microbiol. Biotechnol. 2022, 106, 3949–3955. [Google Scholar] [CrossRef]
  10. Usman, M.; Murtaza, G.; Ditta, A. Nutritional, Medicinal, and Cosmetic Value of Bioactive Compounds in Button Mushroom (Agaricus bisporus): A Review. Appl. Sci. 2021, 11, 5943. [Google Scholar] [CrossRef]
  11. Wang, Q.; Juan, J.; Xiao, T.; Zhang, J.; Chen, H.; Song, X.; Chen, M.; Huang, J. The Physical Structure of Compost and C and N Utilization during Composting and Mushroom Growth in Agaricus bisporus Cultivation with Rice, Wheat, and Reed Straw-Based Composts. Appl. Microbiol. Biotechnol. 2021, 105, 3811–3823. [Google Scholar] [CrossRef]
  12. Otieno, O.D.; Mulaa, F.J.; Obiero, G.; Midiwo, J. Utilization of Fruit Waste Substrates in Mushroom Production and Manipulation of Chemical Composition. Biocatal. Agric. Biotechnol. 2022, 39, 102250. [Google Scholar] [CrossRef]
  13. Umor, N.A.; Ismail, S.; Abdullah, S.; Huzaifah, M.H.R.; Huzir, N.M.; Mahmood, N.A.N.; Zahrim, A.Y. Zero Waste Management of Spent Mushroom Compost. J. Mater. Cycles Waste Manag. 2021, 23, 1726–1736. [Google Scholar] [CrossRef]
  14. Ravlikovsky, A.; Pinheiro, M.N.C.; Dinca, L.; Crisan, V.; Symochko, L. Valorization of Spent Mushroom Substrate: Establishing the Foundation for Waste-Free Production. Recycling 2024, 9, 44. [Google Scholar] [CrossRef]
  15. Marín-Benito, J.M.; Sánchez-Martín, M.J.; Rodríguez-Cruz, M.S. Impact of Spent Mushroom Substrates on the Fate of Pesticides in Soil, and Their Use for Preventing and/or Controlling Soil and Water Contamination: A Review. Toxics 2016, 4, 17. [Google Scholar] [CrossRef]
  16. Xiong, S.; Martín, C.; Eilertsen, L.; Wei, M.; Myronycheva, O.; Larsson, S.H.; Lestander, T.A.; Atterhem, L.; Jönsson, L.J. Energy-Efficient Substrate Pasteurisation for Combined Production of Shiitake Mushroom (Lentinula edodes) and Bioethanol. Bioresour. Technol. 2019, 274, 65–72. [Google Scholar] [CrossRef]
  17. Leong, Y.K.; Ma, T.W.; Chang, J.S.; Yang, F.C. Recent Advances and Future Directions on the Valorization of Spent Mushroom Substrate (SMS): A Review. Bioresour. Technol. 2022, 344, 126157. [Google Scholar] [CrossRef]
  18. Pérez-Chávez, A.M.; Mayer, L.; Albertó, E. Mushroom Cultivation and Biogas Production: A Sustainable Reuse of Organic Resources. Energy Sustain. Dev. 2019, 50, 50–60. [Google Scholar] [CrossRef]
  19. Phan, C.W.; Sabaratnam, V. Potential Uses of Spent Mushroom Substrate and Its Associated Lignocellulosic Enzymes. Appl. Microbiol. Biotechnol. 2012, 96, 863–873. [Google Scholar] [CrossRef]
  20. Lou, Z.; Sun, Y.; Bian, S.; Ali Baig, S.; Hu, B.; Xu, X. Nutrient Conservation during Spent Mushroom Compost Application Using Spent Mushroom Substrate Derived Biochar. Chemosphere 2017, 169, 23–31. [Google Scholar] [CrossRef] [PubMed]
  21. Baptista, F.; Almeida, M.; Paié-Ribeiro, J.; Barros, A.N.; Rodrigues, M. Unlocking the Potential of Spent Mushroom Substrate (SMS) for Enhanced Agricultural Sustainability: From Environmental Benefits to Poultry Nutrition. Life 2023, 13, 1948. [Google Scholar] [CrossRef]
  22. Geng, Y.; Zhang, T.; Liu, H.; Zhai, L.; Yang, B.; Wang, H. Effects of Different Briquetting Modes on Production of Agaricus bisporus. Nongye Gongcheng Xuebao/Trans. Chin. Soc. Agric. Eng. 2016, 32, 275–278. [Google Scholar] [CrossRef]
  23. Nielsen, S.S. Determination of Moisture Content; Springer: Boston, MA, USA, 2010; pp. 17–27. ISBN 978-1-4419-1463-7. [Google Scholar]
  24. Ciavatta, C.; Govi, M.; Vittori Antisari, L.; Sequi, P. Determination of Organic Carbon in Aqueous Extracts of Soils and Fertilizers. Commun. Soil Sci. Plant Anal. 1991, 22, 795–807. [Google Scholar] [CrossRef]
  25. Kjeldahl, J. Neue Methode Zur Bestimmung Des Stickstoffs in Organischen Körpern. Z. Für Anal. Chem. 1883, 22, 366–382. [Google Scholar] [CrossRef]
  26. Gupta, A.P.; Neue, H.U.; Singh, V.P. Phosphorus Determination in Rice Plants Containing Variable Manganese Content by the Phospho-Molybdo-Vanadate (Yellow) and Phosphomolybdate (Blue) Colorimetric Methods. Commun. Soil Sci. Plant Anal. 1993, 24, 1309–1318. [Google Scholar] [CrossRef]
  27. Geng, Y.; Bashir, M.A.; Zhao, Y.; Luo, J.; Liu, X.; Li, F.; Wang, H.; Raza, Q.U.A.; Rehim, A.; Zhang, X.; et al. Long-Term Fertilizer Reduction in Greenhouse Tomato-Cucumber Rotation System to Assess N Utilization, Leaching, and Cost Efficiency. Sustainability 2022, 14, 4647. [Google Scholar] [CrossRef]
  28. Bashir, M.A.; Wang, H.; Sun, W.; Zhai, L.; Zhang, X.; Wang, N.; Rehim, A.; Raza, Q.U.A.; Liu, H. The Implementation of Rice-Crab Co-Culture System to Ensure Cleaner Rice and Farm Production. J. Clean. Prod. 2021, 316, 128284. [Google Scholar] [CrossRef]
  29. Calinski, T.; Steel, R.G.D.; Torrie, J.H. Principles and Procedures of Statistics: A Biometrical Approach. Biometrics 1981, 37, 859. [Google Scholar] [CrossRef]
  30. Muswati, C.; Simango, K.; Tapfumaneyi, L.; Mutetwa, M.; Ngezimana, W. The Effects of Different Substrate Combinations on Growth and Yield of Oyster Mushroom (Pleurotus ostreatus). Int. J. Agron. 2021, 2021, 9962285. [Google Scholar] [CrossRef]
  31. Yang, W.J.; Guo, F.L.; Wan, Z.J. Yield and Size of Oyster Mushroom Grown on Rice/Wheat Straw Basal Substrate Supplemented with Cotton Seed Hull. Saudi J. Biol. Sci. 2013, 20, 333–338. [Google Scholar] [CrossRef]
  32. Xie, S.; Tran, H.T.; Pu, M.; Zhang, T. Transformation Characteristics of Organic Matter and Phosphorus in Composting Processes of Agricultural Organic Waste: Research Trends. Mater. Sci. Energy Technol. 2023, 6, 331–342. [Google Scholar] [CrossRef]
  33. Li, P.; Ning, Z.; Li, Z.; Feng, J.; Meng, H.; Ye, B. Rheological Properties and Microbial Community Structure in Continuous Dry Co-Digestion of Corn Straw and Cow Manure. J. Environ. Chem. Eng. 2023, 11, 110294. [Google Scholar] [CrossRef]
  34. Tian, P.; Gong, B.; Bi, K.; Liu, Y.; Ma, J.; Wang, X.; Ouyang, Z.; Cui, X. Anaerobic Co-Digestion of Pig Manure and Rice Straw: Optimization of Process Parameters for Enhancing Biogas Production and System Stability. Int. J. Environ. Res. Public Health 2023, 20, 804. [Google Scholar] [CrossRef] [PubMed]
  35. Mahmud, K.; Panday, D.; Mergoum, A.; Missaoui, A. Nitrogen Losses and Potential Mitigation Strategies for a Sustainable Agroecosystem. Sustainability 2021, 13, 2400. [Google Scholar] [CrossRef]
  36. Yang, H.; Zhang, H.; Qiu, H.; Anning, D.K.; Li, M.; Wang, Y.; Zhang, C. Effects of C/N Ratio on Lignocellulose Degradation and Enzyme Activities in Aerobic Composting. Horticulturae 2021, 7, 482. [Google Scholar] [CrossRef]
Figure 1. Comparison of traditional and optimum schemes at the material, substrate, and mushroom residue stages. Herein, figure (a) shows the total dry weight, (b) shows the total quality of C and C content, (c) shows the total quality of N and N content, and (d) shows N content. The data represent the means ± standard deviation and the lowercase lettering indicates the statistical difference among the means.
Figure 1. Comparison of traditional and optimum schemes at the material, substrate, and mushroom residue stages. Herein, figure (a) shows the total dry weight, (b) shows the total quality of C and C content, (c) shows the total quality of N and N content, and (d) shows N content. The data represent the means ± standard deviation and the lowercase lettering indicates the statistical difference among the means.
Agriculture 14 01833 g001
Figure 2. Comparison of traditional and optimum schemes at the material, substrate, and mushroom residue stages. Herein, figure (a) shows the total quality of P and P content and (b) shows the total quality of K and K content. The data are represented as the mean ± standard deviation and the lowercase lettering indicates the statistical difference among the means.
Figure 2. Comparison of traditional and optimum schemes at the material, substrate, and mushroom residue stages. Herein, figure (a) shows the total quality of P and P content and (b) shows the total quality of K and K content. The data are represented as the mean ± standard deviation and the lowercase lettering indicates the statistical difference among the means.
Agriculture 14 01833 g002
Figure 3. Comparison of traditional and optimum schemes at the material, substrate, and mushroom residue stages. Herein, figure (a) shows the cellulose content, (b) shows the hemicellulose content, (c) shows the lignin content, and (d) shows the humic content. The data represent the means ± standard deviation and the lowercase lettering indicates the statistical difference among the means.
Figure 3. Comparison of traditional and optimum schemes at the material, substrate, and mushroom residue stages. Herein, figure (a) shows the cellulose content, (b) shows the hemicellulose content, (c) shows the lignin content, and (d) shows the humic content. The data represent the means ± standard deviation and the lowercase lettering indicates the statistical difference among the means.
Agriculture 14 01833 g003
Figure 4. The change in and loss of C, N, P, and K. C is carbon, N is nitrogen, P is phosphorus, and K is potassium.
Figure 4. The change in and loss of C, N, P, and K. C is carbon, N is nitrogen, P is phosphorus, and K is potassium.
Agriculture 14 01833 g004
Table 1. Nutrient content of materials.
Table 1. Nutrient content of materials.
MaterialsC Content
(%)
N Content
(%)
Total P
(g kg−1)
Total K
(g kg−1)
Cellulose (%)Hemicellulose
(%)
Lignin (%)Humic Acid (%)
Cow manure43.10 ± 1.532.59 ± 0.508.98 ± 0.3225.9 ± 1.796.23 ± 0.016.44 ± 0.8818.40 ± 1.0243.47 ± 1.27
Wheat straw45.34 ± 1.490.57 ± 0.131.14 ± 0.0315.1 ± 1.8336.63 ± 0.0722.57 ± 0.977.58 ± 0.3327.82 ± 1.23
Bean46.80 ± 1.287.29 ± 0.257.27 ± 0.0723.0 ± 1.447.05 ± 0.065.21 ± 0.180.68 ± 0.0768.35 ± 2.01
Note: The content of each substance is on a dry basis, and the data are the average value of three repeated measurements. C is carbon, N is nitrogen, P is phosphorus, and K is potassium.
Table 2. The preparation of Agaricus bisporus substrate.
Table 2. The preparation of Agaricus bisporus substrate.
SchemeMaterialsCompactness Condition
(kg m−3)
Cow Manure
(kg)
Wheat Straw (kg)Superphosphate
(kg)
Gypsum Powder
(kg)
Lime
(kg)
Bean Pulp
(kg)
Traditional58.7358.730.69 1.38 1.38 5.87350
Optimum76.94 46.17 -500
Note: The content of each substance is on a dry basis, while the superphosphate contains 45% P.
Table 3. The yield and nutrient content of Agaricus bisporus.
Table 3. The yield and nutrient content of Agaricus bisporus.
SchemeYield
(kg m2)
Area (m2)Total Yield (kg)Moisture Content (%)Dry Weight
(%)
C Content (%)N Content
(%)
K Content (mg g−1)P Content (mg g−1)
Traditional4.66 ± 0.07 b6.04 ± 0.04 a28.15 ± 0.05 b92.64 ± 0.51 a2.07 ± 0.10 b36.76 ± 0.11 a7.03 ± 0.21 a46.21 ± 1.05 b7.80 ± 0.09 b
Optimum8.60 ± 0.01 a4.22 ± 0.11 b36.29 ± 0.01 a92.64 ± 0.51 a2.67 ± 0.16 a35.31 ± 0.09 b7.03 ± 0.10 a49.63 ± 0.35 a10.40 ± 0.22 a
Note: The data are represented as the mean ± standard deviation (p ≤ 0.05). C is carbon, N is nitrogen, P is phosphorus, and K is potassium. The lowercase letters shows the statistical differences.
Table 4. The nutrient content of the mushroom residues of the optimum scheme.
Table 4. The nutrient content of the mushroom residues of the optimum scheme.
NutrientC Content (%)N Content (%)C/NP Content (g kg−1)K Content (g kg−1)Cellulose
(%)
Hemicellulose (%)Lignin (%)Humic Acid (%)
Mushroom Residues29.6 ± 0.112.49 ± 0.0111.89 ± 0.099.01 ± 0.0529.13 ± 0.141.66 ± 0.015.03 ± 0.034.76 ± 0.0539.25 ± 1.26
Note: The data are represented as the mean ± standard deviation (p ≤ 0.05). C is carbon, N is nitrogen, P is phosphorus, and K is potassium.
Table 5. Economic analysis.
Table 5. Economic analysis.
Treatment TraditionalOptimum
Cost (CNY m−2)Labor + irrigation20.0020.00
Compression0.0010
Cow manure1.953.64
Wheat straw4.864.76
Superphosphate0.460.65
Gypsum powder1.371.96
Lime0.570.81
Bean pulp1.560.00
Total cost (CNY m−2) 30.7741.82
Income (CNY m−2)Mushroom111.85 b206.37 a
Total income (CNY m−2) 111.85 b206.37 a
Net Income (CNY m−2) 81.08 b164.55 a
Benefit–Cost Ratio 2.64 b3.93 a
Note: In this table, total cost shows the cost of all input, income is the amount earned from mushroom, while net income is the net benefit after substarcting the cost from income, and benefit-cost ratio is the ratio between cost and income. Whereas, the small lettering indicates the statistical differences.
Disclaimer/Publisher’s Note: The statements, opinions and data contained in all publications are solely those of the individual author(s) and contributor(s) and not of MDPI and/or the editor(s). MDPI and/or the editor(s) disclaim responsibility for any injury to people or property resulting from any ideas, methods, instructions or products referred to in the content.

Share and Cite

MDPI and ACS Style

Geng, Y.; Wang, Y.; Li, H.; Li, R.; Ge, S.; Wang, H.; Wu, S.; Liu, H. Optimization of Manure-Based Substrate Preparation to Reduce Nutrients Losses and Improve Quality for Growth of Agaricus bisporus. Agriculture 2024, 14, 1833. https://doi.org/10.3390/agriculture14101833

AMA Style

Geng Y, Wang Y, Li H, Li R, Ge S, Wang H, Wu S, Liu H. Optimization of Manure-Based Substrate Preparation to Reduce Nutrients Losses and Improve Quality for Growth of Agaricus bisporus. Agriculture. 2024; 14(10):1833. https://doi.org/10.3390/agriculture14101833

Chicago/Turabian Style

Geng, Yucong, Yuhan Wang, Han Li, Rui Li, Shengxiu Ge, Hongyuan Wang, Shuxia Wu, and Hongbin Liu. 2024. "Optimization of Manure-Based Substrate Preparation to Reduce Nutrients Losses and Improve Quality for Growth of Agaricus bisporus" Agriculture 14, no. 10: 1833. https://doi.org/10.3390/agriculture14101833

APA Style

Geng, Y., Wang, Y., Li, H., Li, R., Ge, S., Wang, H., Wu, S., & Liu, H. (2024). Optimization of Manure-Based Substrate Preparation to Reduce Nutrients Losses and Improve Quality for Growth of Agaricus bisporus. Agriculture, 14(10), 1833. https://doi.org/10.3390/agriculture14101833

Note that from the first issue of 2016, this journal uses article numbers instead of page numbers. See further details here.

Article Metrics

Back to TopTop