Next Article in Journal
Region and Crop Type Influenced Fungal Diversity and Community Structure in Agricultural Areas in Qinghai Province
Previous Article in Journal
Some Agronomic Properties of Winter Wheat Genotypes Grown at Different Locations in Croatia
Previous Article in Special Issue
Visitation of Apis mellifera L. in Runner Bean (Phaseolus coccineus L.) and Its Exposure to Seasonal Agrochemicals in Agroecosystems
 
 
Font Type:
Arial Georgia Verdana
Font Size:
Aa Aa Aa
Line Spacing:
Column Width:
Background:
Article

Biochemical Indicators and Mortality in Honey Bee (Apis mellifera) Workers after Oral Exposure to Plant Protection Products and Their Mixtures

1
Department of Bees Breeding, Institute of Animal Husbandry and Breeding, Wrocław University of Environmental and Life Sciences, 38C Chełmońskiego St., 51-630 Wroclaw, Poland
2
Department of Human Nutrition, Wrocław University of Environmental and Life Sciences, 25 C.K. Norwida St., 51-630 Wroclaw, Poland
*
Author to whom correspondence should be addressed.
Agriculture 2024, 14(1), 5; https://doi.org/10.3390/agriculture14010005
Submission received: 6 November 2023 / Revised: 1 December 2023 / Accepted: 18 December 2023 / Published: 20 December 2023
(This article belongs to the Special Issue Impact of Agricultural Practices on the Environment)

Abstract

:
The honey bee obtains food from bee forage, which comprises crops grown in multi-hectare agricultural fields where various types of plant protection products such as pesticides are used. Some of these negatively affect the honey bee organism. In our research, we aimed to evaluate the effects of three pesticide groups: fungicides (tebuconazole), insecticides (acetamiprid), herbicides (glyphosate), and their mixtures on the functioning of honey bee workers (A. mellifera carnica). Pesticides in various proportions and dilutions were added to sugar syrups and then fed to the bees. Mortality and food intake were recorded daily, while hemolymph analysis was performed after seven days of exposure. Food intake, mortality, and the results of various biochemical analyses differed between the experimental group and the control group receiving untreated sugar syrup. PPP’s mixture of glyphosate tebuconazole and acetamiprid is more toxic to bees than single pesticides. Certain protection products such as pesticides can disrupt the antioxidant and detoxification systems associated with immunity in honey bees. Consequently, honey bees experience weaker conditions and their proper functioning deteriorates. The results obtained from biochemical changes provide a basis for field studies.

1. Introduction

The spread of industrialized agriculture, also known as conventional or intensive agriculture, was introduced in the 19th century. Changes in agricultural technology contributed to the significant development and revolution of this branch’s economy. Chemicalization of agriculture using artificial fertilizers, plant protection products (PPPs), more advanced machines, and the breeding of new varieties has also significantly progressed [1]. PPPs are substances, mixtures of substances, or living organisms used to protect crops (including seed treatment) and ornamental plants. They can be both natural and synthetic. Generally, they serve as an effective means of combatting or repelling undesirable organisms, preventing their invasion, or reducing the damage they cause [2].
The use of PPPs in agricultural production is constantly increasing with the global population, as well as industrial and scientific progress [3]. These elements contribute to their economic success, which, unfortunately, poses various types of threats to humans and animals [4]. One of the main disadvantages of PPPs is the risk of a non-selective mode of action [5], in which PPPs can be dangerous to beneficial organisms such as honey bees [6,7].
As pollinators, the work of honey bees is valued at approximately USD 15 billion in the United States of America, USD 19 billion in Europe, and USD 69 billion in East Asia [8]. Honey bees pollinate many crop plants including vegetables and fruits, herbs and spices, stimulants, fodder plants, oilseeds, and fiber plants. Therefore, honey bees are essential not only to the production of human-grade food, clothes, or oil, but also for animal feed [7].
Plant protection products may change detoxification and antioxidant mechanisms associated with immunity in the honey bee. According to numerous studies, PPPs may increase or decrease enzyme activity and change key substance levels (e.g., ATP, proteins and glutathione) [9,10,11,12,13]. Worker bees are the most vulnerable. While collecting food and water, they are exposed to many biological (e.g., pathogens, parasites, and predators), chemical (e.g., substances used in agriculture), and physical (e.g., electromagnetic fields) stressors [7,14,15,16].
Honey bees’ body detoxification mechanisms primarily include enzymes involved in metabolizing toxins or in the detoxification process, i.e., cytochrome P450 monooxygenase (P450), glutathione transferase (GST), carboxylesterase (COE), aspartate aminotransferase (AST), alanine aminotransferase (ALT), alkaline phosphatase (ALP), gamma-glutamyl transpeptidase (GGTP), and bilirubin [13,14]. Antioxidants include enzymes such as glutathione peroxidase (GPX), catalase (CAT), superoxide dismutase (SOD) or glucose-6-phosphate dehydrogenase (GP6D), and non-enzymatic antioxidants (e.g., albumin, creatinine, glutathione, urinary tract, urea, and vitamins) [11,17]. PPPs’ impact on detoxification and antioxidant mechanisms, especially when mixed, is still unknown.
Most analyses of PPPs’ threats to honey bees have involved insecticides, whereas other groups of pesticides, such as herbicides and fungicides, are less popular subjects of research [18]. Tests mostly focus on situations where insects are exposed to high doses of a single substance with a short-term exposure [19,20,21]. Meanwhile, honey bee workers, while searching for food and water, are simultaneously exposed to many PPPs (including fungicides and herbicides) in low concentrations [22].
Therefore, in this study, we assessed the chronic impact of selected pesticides and their mixtures on mortality, food intake, and biochemical indicators in honey bee workers (A. melifera carnica). We focused on three pesticide groups: fungicides (Tebu 250 EW, a.i. tebuconazole), insecticides (Mospilan 20 SP, a.i. acetamiprid), and herbicides (Agrosar 360 SL, a.i. glyphosate).

2. Materials and Methods

2.1. Honey Bee Workers Rearing

Twenty-eight days before the experiment, colonies were checked for nosemosis infection using haemocytometry (bees were collected from peripheral combs and n = 30 bees were tested from each colony) and were treated to reduce Varroa destructor using amitraz fumigation four times at 4-day intervals (12.5 mg/tablet; Apiwarol®, Biowet, Puławy, Poland). In June, an empty comb was placed in the colonies, where it was isolated with an Apis mellifera carnica queen (originating from the same mother queen colony and inseminated with drone semen from the same father queen colony) so that the queen could lay eggs on it. The combs in which queens were isolated were marked. Nineteen days after the eggs were laid, the combs were transported to an incubator and kept until workers emerged. The temperature conditions in the incubator (Pol-Eko CLW 750, Wodzisław Śląski, Poland) were 34 °C (±0.5), with a relative humidity of 70% (±5). Newly emerged workers were collected and placed into wooden cages (65 × 145 × 175 mm) with two 5 mL feeders and a scale. There were 150 workers in each cage, with three cages per group. The name of the group was a combination of the first letter of the active substance and a number representing a dilution relative to the maximum dose allowed for oilseed rape cultivation (e.g., GA 10−4 means that bees were fed a mixture of glyphosate and acetamiprid within the maximum dose allowed for oilseed rape cultivation diluted ten thousand times).

2.2. Pesticide Exposure

Workers were exposed daily for 7 days to 5 mL of sugar syrup containing acetamiprid, glyphosate, and/or tebuconazole (Scheme 1). The control group was fed untreated sugar syrup. Formulated acetamiprid (Mospilan® 20SP a.i. 20%; Target, Kartoszyno, Poland), glyphosate (Agrosar® 360 SL a.i. 36%; CIECH Sarzyna, Nowa Sarzyna, Poland) and tebuconazole (Tebu® EW, a.i. 25.8%; HELM, Hamburg, Germany) were used in the experiment. PPPs were dissolved in sugar syrup (2 M/dm3) at the maximum doses allowed for active substances in oilseed rape cultivation, as recommended by the pesticide manufacturer. The mixture was then diluted to obtain 0.001 and 0.0001 (g/dm3) of this dose. PPP concentrations used in the experiment corresponded with their residual concentrations in honey nectar and/or pollen [6,23,24,25,26,27,28,29,30]. PPPs were administered alone or in binary or ternary mixtures, creating 14 experimental groups. PPP mixtures were made by combining dilutions in 1:1 or 1:1:1 ratios. The final concentrations of a.i. were:
In a single pesticide treatment:
  • acetamiprid: 250 or 25 ppb
  • tebuconazole: 1612.5 or 161.25 ppb
  • glyphosate: 7200 or 720 ppb
In a binary mixture treatment:
  • acetamiprid: 125 or 12.5 ppb
  • tebuconazole: 806.25 or 80.625 ppb
  • glyphosate: 3600 or 360 ppb
In a ternary mixture treatment:
  • acetamiprid: 83.33 or 8.33 ppb
  • tebuconazole: 537.5 or 53.75 ppb
  • glyphosate: 2400 or 240 ppb
Food intake and mortality were recorded daily.

2.3. Food Intake and Mortality

The daily volume of food consumed by bees in cages was controlled and recorded during whole experiment. The number of dead bees was also recorded, then removed and disposed of.

2.4. Hemolymph Collection and Analysis

Hemolymph was collected after 7 days of exposure. To collect hemolymph, the antenna of the bee was removed, and the abdomen was gently pressed (from back to front), allowing hemolymph to flow out [31]. Hemolymph was collected in end-to-end glass capillaries with a 20 µL capacity without anticoagulants. Capillaries (10 pieces) were placed in a 1.5 mL Eppendorf tube with 150 µL of MiliQ water. Each group had 6 pulled samples of 10 capillaries. To avoid hemolymph melanization, the entire process was performed on cooling blocks. The material was stored at −80 °C until analysis.

2.5. Biochemical Analysis

Enzyme activity and non-enzymatic antioxidant content was measured with a Pentra 400 biochemical analyzer (HORIBA ABX Diagnostics, Montpellier, France) using original manufacturers’ kits. Total antioxidant status was determined using a ready-made kit from Randox Laboratories Ltd., Gortnagallon, Crumlin, UK.

2.6. Biochemical Analysis—Enzymes

  • Alanine aminotransferase (ALT)
ALT was determined using an enzymatic method (UV detection) without pyridoxal phosphate following the International Federation of Clinical Chemistry (IFCC) guidelines.
L - alanine + 2 - oxoglutarate A L T L - glutamate + pyruvate
Pyruvate + NADH + H + L D H D - lactate + NAD +
  • ALT = alanine aminotransferase,
  • LDH = lactate dehydrogenase
  • Aspartate aminotransferase (AST)
AST was determined using an enzymatic method (UV detection) without pyridoxal phosphate, as recommended by the IFCC.
L - aspartate + 2 - oxoglutarate A S T L - glutamate + 2 - oxoacetate
Oxalate acetate + NADH M D H L - malate + NAD +
  • AST = aspartate aminotransferase
  • MDH = malate dehydrogenase
  • Alkaline phosphatase (ALP)
A photometric kinetic test was used to determine ALP following the recommendations of the IFCC.
p - nitrophenyl phosphate + H 2 O   A L P phosphate + p - nitrophenyl
  • ALP = alkaline phosphatase
  • Gamma-glutamyl transpeptidase (GGTP)
A kinetic photometric test was used to determine GGTP. The products’ concentration was determined by measuring the absorbance at a wavelength of λ = 405–410 nm.
L - gamma - glutamyl - 3 - carboxy - 4 - nitroanilide + Glycylglycine G a m m a G T Gamma - glutamyl - glycylglycine + 5 - amino - 2 - nitrobenzoate

2.7. Biochemical Analysis—Non-Enzymatic Antioxidant

2.7.1. Albumin

Albumin concentration was determined by colorimetry using bromocresol green (BCG). Bromocresol green selectively binds to albumin at a pH of 4.2 and turned it blue.

2.7.2. Creatinine

The concentration of creatinine was determined by kinetic analysis using alkaline picrate. In an alkaline pH environment, creatinine reacts with picrate to form a Janovsky complex. The rate of absorbance increases at 510 nm due to the formation of creatinine–picrate complexes, which are directly proportional to the creatinine concentration in the sample.
creatinine + alkaline picrate → creatinine-picrate complex

2.7.3. Urea

Urea was determined using the “Ureasa–GLDH” UV enzymatic test.
Urea + 2 H 2 O U r e a s e 2 NH 4 + + 2 H C O 3 2 - oxoglutarate + NH 4 + + NADH G L D H L - glutamate + NAD + + H 2 O
GLDH = Glutamate Dehydrogenase

2.7.4. Uric Acid

Uric acid was determined using the enzymatic and Trinder methods.
Uric acid + 2 H 2 O + O 2 U r a t e   o x i d a s e   ( u r i c a s e ) Allantoin + CO 2 + H 2 O 2
2 H 2 O 2 + 4 - AAP + E H S P T P e r o x i d a s e Quinonimine
M g + +
EHSPT = N-Ethyl-N-(2-hydroxy-3-sulfopropyl) n-toluidine
4 AAP = 4-amino antipyrine

2.8. Statistical Analysis

We used R 4.1.2 with RStudio (R Core Team 2021) for statistical analyses. In all tests, the level of significance was α = 0.05. The normality of data distribution was tested using the Shapiro–Wilk test. The Kruskal–Wallis test with Holm correction for multiple comparisons was used to evaluate differences between groups (package ‘agricolae’). For data preparation packages, ‘dplyr’, ‘tidyr’ and ‘tibble’ were used. Data visualization was performed using the ‘ggplot2’ package.

3. Results

3.1. Food Intake and Mortality

Bees exposed to binary and ternary mixtures had significantly lower food intake than the control group and bees exposed to single pesticides (Figure 1). Groups with more diluted formulations (10−4) had lower food intake compared to those with less diluted formulations (10−3), but this difference was not statistically significant. Groups with the same pesticide mixture at different dilutions showed decreased food intake when the pesticide was more diluted. The highest mortality, significantly different from the control group, was observed in groups GTA 10−3 and GTA 10−4 (Figure 2). Furthermore, groups AT 10−3, GA 10−3, and GA 10−4 had significantly higher mortality than the control group. Lower mortality was observed in groups G 10−3 and A 10−4 compared to the control group.

3.2. Biochemical Analysis—Enzymes

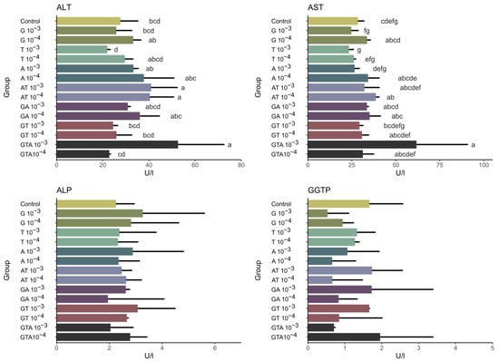
In groups AT 10−3, AT 10−4, and GTA 10−3 ALT activity was significantly higher than in the control group (Figure 3). Groups with the same pesticide mixture at different dilutions showed significant differences in the ternary mixture. AST activity was significantly higher in the groups AT 10−4 and GTA 10−3. In the GTA 10−3 group, ALT and AST activities were the highest. There were no significant differences between ALP and GGTP activities among the groups.

3.3. Biochemical Analysis—Non-Enzymatic Antioxidants

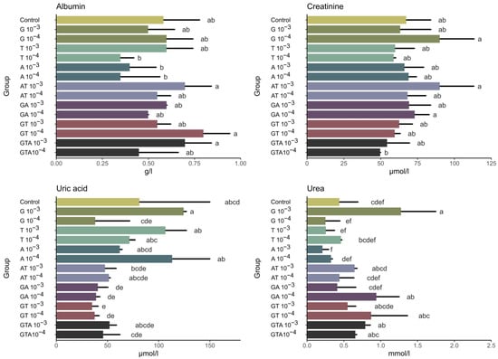
There were no significant differences between albumin and creatinine levels in the experimental and control groups (Figure 4). No significant differences were found between groups with the same pesticide mixture at different dilutions. Uric acid levels were significantly lower in the GT 10−3 group than in the control group. Urea levels were significantly higher in groups G 10−3, GA 10−4, and GTA 10−3.

4. Discussion

Plant protection products can accumulate in ecosystems, mainly in soil, air, and living organisms, e.g., plants. Systemic PPPs used in developed countries are spread in plant tissues and accumulate in plant nectar and pollen [32,33,34]. The honey bee uses nectar or pollen produced by many species, including crop plants on which PPPs are sprayed [35]. Therefore, together with plant juices, systemic PPPs can enter the bee’s body when searching for pollen and nectar [34]. Honey bee workers are exposed to PPPs in low concentrations while searching for food and water [22]. In this work, the maximum doses of PPPs allowed in oilseed rape cultivation were diluted one thousand and ten thousand times. We aimed to determine whether plant protection products found in the environment as residues affect honey bee workers. The combination of PPPs was an important aspect because, in the environment, bees are often exposed to many active PPP substances simultaneously [22,34].
Our findings suggest that PPPs’ mixture of glyphosate, tebuconazole, and acetamiprid is more toxic to bees than single pesticides or binary mixtures (Figure 2). Individual active substances are known to interact and change their toxicity to honey bees. The combined effects can be additive (i.e., equal to the sum of the individual substances), synergistic (greater effect than additive), or antagonistic (less effect than additive) [36]. Triazole fungicides can increase insecticide toxicity to honey bees [29,37,38,39]. Few studies have focused on interactions between pesticide-active substances; however, they have indicated the possibility of different effects when combined [9,12,40,41].
The mixture of acetamiprid and tebuconazole in our study synergistically affected mortality in the AT 10−3 group, whereas acetamiprid and glyphosate affected mortality in the AG 10−4 group. Furthermore, the same effect is noticeable in ternary mixtures (groups ATG 10−3 and ATG 10−2). We observed an antagonistic effect on other groups. Studies on the toxicity of combined insecticides and fungicides to larvae and adult honey bees have shown that their mixture poses significant risks. Plant protection products that initially appear safe for bees can be toxic to workers and larvae in combination. Combining chlorantraniliprole with propiconazole or iprodione causes higher larval mortality. Chlorantraniliprole–propiconazole mixtures are also known to be very toxic to workers [42]. Almasri et al. researched wintering bees. After 20 days of testing, mixtures of plant protection products caused a 52.9% mortality rate compared to single pesticides [9].
Some evidence suggests that bees prefer food containing neonicotinoids [43]. In our study, the highest food intake was noticed in groups fed with acetamiprid, a neonicotinoid insecticide (A 10−3 A 10−4). The difference was significant compared to the control group (Figure 1).
It is worth noting that some effect on mortality was seen after 4 days of treatment (Figure 2). In other words, pesticide effects on honey bees can be difficult to observe in acute studies. Similar conclusions were drawn by Zhu et al.(2014) [44].
Hemolymph analysis plays a key role in monitoring the physiological status of honey bees despite changes in the level and activity of biochemical indicators; it being one of the least understood and difficult to interpret in the biology of this insect. Individual detoxification mechanisms in the honey bee body primarily include enzymes involved in metabolizing toxins or the detoxification process, i.e., cytochrome P450 monooxygenase (P450), glutathione transferase (GST), carboxylesterases (COE), aspartate aminotransferase (AST), alanine aminotransferase (ALT), alkaline phosphatase (ALP), gamma-glutamyl transpeptidase (GGTP), and bilirubin. These antioxidant system mechanisms are designed to remove free radicals from the body or limit their possible overactivity. Antioxidants can be enzymes such as glutathione peroxidase (GPX), catalase (CAT), superoxide dismutase (SOD), or glucose-6-phosphate dehydrogenase (GP6D), and non-enzymatic antioxidants (e.g., albumin, creatinine, glutathione, uric acid, urea, and vitamins) [11,17].
In our work, we measured ALP, AST, ALT, and GGTP activities. These enzymes are indicators of protein transformation and can be used as markers of all physiological and pathological changes. They indicate the intensification of defensive, detoxification, and inflammatory processes in the honey bee’s body [11]. In the literature, there are no data on the effect of acetamiprid at this dose on the analyzed indicators. At higher concentrations in an acute toxicity test (200,000 ppb), acetamiprid increased AST and ALT activities in the hemolymph [45]. This insecticide (600, 1200, 2400, 6000, and 60,000 ppb) also affected polyphenol oxidase, carboxylesterase, and the detoxification enzyme GST [46]. Glyphosate can affect honey bees’ antioxidant levels and detoxification indicators, depending on the concentration, application method, and age of the bees [9,47]. AST, ALT, ALP, and GGTP activities did not change in the acute toxicity test (20,000,000 ppb) [45]. Using glyphosate-added syrup at concentrations of 0.1 and 1 ppb, Almasri et al. observed changes in ALP activity in the intestinal tissue (usually an increase, but these changes were not statistically significant). At 1 ppb, glyphosate increased GST activity in wintering bees, and at 0.1 ppb, it also affected glucose-6-phosphate dehydrogenase activity [9]. On the other hand, it did not affect GST activity in one-day-old bees after application by contact at 1,217,500 ppb [12]. At a concentration of 0.8 ppb [48] and 2500 ppb [49,50], the expression level of genes encoding detoxification enzymes in larvae had changed. The effect of fungicides, including tebuconazole, on honey bees’ biochemical markers has not been well-investigated [18]. In an acute toxicity test (625,000 ppb), tebuconazole increased ALP activity in hemolymph [45].
There is evidence that ALT, AST, and ALP activity in bee hemolymph decreases in response to harmful substances, the parasitic activity of Varroa destructor [51,52], and electromagnetic fields [53]. Conversely, it can increase from stressful factors (e.g., high temperatures [54] and stimulating substances, such as curcumin [55,56,57]). Several studies have examined GGTP activity in the honey bee hemolymph. Stress factors, such as high temperatures, can increase GGTP activity in the honey bee hemolymph. Şapcaliu et al.’s (2010) research [54] revealed enzyme activity ranging from 2.56 to 3.33 U/L in the control group. Additionally, GGTP activity was measured in wax moth larvae (Galleria mellonella L.). The level of this enzyme also decreased under the influence of veterinary drugs [58]. Paleolog et al. (2020) [11] studied the effects of imidacloprid, a neonicotinoid insecticide, on honey bee colonies. Imidacloprid reduced ALP, ALT, and AST activities. In our study, ALT and AST activities were similar or, in some cases, significantly higher than in the control group (Figure 3). There were no significant differences in ALP and GGTP activities between the groups.
Some elements complement the detoxification system, such as albumin and creatinine. These are endogenous, non-enzymatic proteins that bind metals and have antioxidant properties. Albumin, as an antioxidant, relinquishes its electrons to free radicals and prevents free radical reactions. Creatinine is a product of muscle and protein metabolism after the breakdown of creatine phosphate [59]. Increased activity can be determined based on creatinine and albumin levels caused by unfavorable environmental conditions, diseases, or poisoning of the organism. In our work, no statistically significant differences were found in albumin and creatinine levels between the control group and groups exposed to pesticides.
Strachecka et al. (2016) [52] researched honey bees infected with Varroa, which were treated with bromfenvinphos, a commonly used acaricide. Reductions in the antioxidant activity of enzymes AST, ALT, and ALP and the concentration of urea, uric acid, and creatinine were observed. In our study, the uric acid level significantly decreased in the GT 10−3 group compared to the control group. By contrast, urea levels were significantly higher in groups G 10−3, GA 10−4, and GTA 10−3. Uric acid, similar to urea, is a product of final nitrogen metabolism [60].

5. Conclusions

This study demonstrates the chronic oral effect of PPPs and their mixtures at low concentrations on honey bee mortality, food intake, and biochemical markers. Our findings suggest that even low concentrations (the maximum doses allowed for oilseed rape cultivation were diluted one thousand and ten thousand times) impact workers. Significantly higher mortality rates were observed in groups fed with ternary mixtures and in the AT 10−3, GA 10−3, and GA 10−4 groups than in the control group. We found that acetamiprid and tebuconazole synergistically affected mortality in the AT 10−3 group, while acetamiprid and glyphosate synergistically affected mortality in the AG 10−4 group. In addition, the same effect was also observed in ternary mixtures. Therefore, plant protection products should be assessed according to the acute toxicity of single substances and the long-term impact of pesticide mixtures. Contact with trace amounts of PPPs may affect the physiology of the insect and, in many cases, when workers return to the hive, an entire bee colony can be exposed to the harmful substance. Therefore, in future research, conducting field tests to determine changes in honey bee colonies would be valuable.

Author Contributions

Conceptualization, formal analysis, development of methodology, writing of original draft, P.M., A.M., E.B. and K.L.; writing—review and editing, data curation, development visualization, P.M., A.M., K.Z., E.B. and A.R.; conducting the experiment, P.M., A.M. and E.B.; conducting the experiment and consultation, P.M., A.M., K.Z. and N.R.; validation and consultation, P.M., K.L., A.R., K.Z. and E.B. All authors have read and agreed to the published version of the manuscript.

Funding

The APC/BPC is co-financed by Wrocław University of Environmental and Life Sciences.

Institutional Review Board Statement

Not applicable.

Data Availability Statement

The datasets generated during and/or analyzed during the current study are available from the corresponding author upon reasonable request.

Conflicts of Interest

The authors declare no conflict of interest. The funders had no role in the design of the study; in the collection, analyses, or interpretation of data; in the writing of the manuscript, or in the decision to publish the results.

References

  1. Carvalho, F.P. Pesticides, Environment, and Food Safety. Food Energy Secur 2017, 6, 48–60. [Google Scholar] [CrossRef]
  2. Yadav, I.; Devi, N. Pesticides Classification and Its Impact on Human and Environment. Environ. Sci. Eng. 2017, 6, 140–158. [Google Scholar]
  3. Popp, J.; Pető, K.; Nagy, J. Pesticide Productivity and Food Security. A Review. Agron. Sustain. Dev. 2013, 33, 243–255. [Google Scholar] [CrossRef]
  4. Geiger, F.; Bengtsson, J.; Berendse, F.; Weisser, W.W.; Emmerson, M.; Morales, M.B.; Ceryngier, P.; Liira, J.; Tscharntke, T.; Winqvist, C.; et al. Erratum to “Persistent Negative Effects of Pesticides on Biodiversity and Biological Control Potential on European Farmland” [Basic Appl. Ecol. 11 (2010) 97-105]. Basic Appl. Ecol. 2011, 12, 386–387. [Google Scholar] [CrossRef]
  5. Carlile. Pesticide Selectivity, Health and the Environment; Cambridge University Press: Cambridge, UK, 2006. [Google Scholar]
  6. Calatayud-Vernich, P.; Calatayud, F.; Simó, E.; Picó, Y. Pesticide Residues in Honey Bees, Pollen and Beeswax: Assessing Beehive Exposure. Environ. Pollut. 2018, 241, 106–114. [Google Scholar] [CrossRef]
  7. Genersch, E. Honey Bee Pathology: Current Threats to Honey Bees and Beekeeping. Appl. Microbiol. Biotechnol. 2010, 87, 87–97. [Google Scholar] [CrossRef]
  8. Allsopp, M.H.; de Lange, W.J.; Veldtman, R. Valuing Insect Pollination Services with Cost of Replacement. PLoS ONE 2008, 3, e3128. [Google Scholar] [CrossRef]
  9. Almasri, H.; Tavares, D.A.; Pioz, M.; Sené, D.; Tchamitchian, S.; Cousin, M.; Brunet, J.-L.; Belzunces, L.P. Mixtures of an Insecticide, a Fungicide and a Herbicide Induce High Toxicities and Systemic Physiological Disturbances in Winter Apis Mellifera Honey Bees. Ecotoxicol. Environ. Saf. 2020, 203, 111013. [Google Scholar] [CrossRef]
  10. Paleolog, J.; Wilde, J.; Miszczak, A.; Gancarz, M.; Strachecka, A. Antioxidation Defenses of Apis Mellifera Queens and Workers Respond to Imidacloprid in Different Age-Dependent Ways: Old Queens Are Resistant, Foragers Are Not. Animals 2021, 11, 1246. [Google Scholar] [CrossRef]
  11. Paleolog, J.; Wilde, J.; Siuda, M.; Bąk, B.; Wójcik, Ł.; Strachecka, A. Imidacloprid Markedly Affects Hemolymph Proteolysis, Biomarkers, DNA Global Methylation, and the Cuticle Proteolytic Layer in Western Honeybees. Apidologie 2020, 51, 620–630. [Google Scholar] [CrossRef]
  12. Zhu, Y.C.; Yao, J.; Adamczyk, J.; Luttrell, R. Synergistic Toxicity and Physiological Impact of Imidacloprid Alone and Binary Mixtures with Seven Representative Pesticides on Honey Bee (Apis mellifera). PLoS ONE 2017, 12, e0176837. [Google Scholar] [CrossRef] [PubMed]
  13. Renzi, M.T.; Amichot, M.; Pauron, D.; Tchamitchian, S.; Brunet, J.-L.; Kretzschmar, A.; Maini, S.; Belzunces, L.P. Chronic Toxicity and Physiological Changes Induced in the Honey Bee by the Exposure to Fipronil and Bacillus Thuringiensis Spores Alone or Combined. Ecotoxicol. Environ. Saf. 2016, 127, 205–213. [Google Scholar] [CrossRef]
  14. Migdał, P.; Roman, A.; Strachecka, A.; Murawska, A.; Bieńkowski, P. Changes of Selected Biochemical Parameters of the Honeybee under the Influence of an Electric Field at 50 Hz and Variable Intensities. Apidologie 2020, 51, 956–967. [Google Scholar] [CrossRef]
  15. Vanbergen, A.J. Threats to an Ecosystem Service: Pressures on Pollinators. Front. Ecol. Environ. 2013, 11, 251–259. [Google Scholar] [CrossRef] [PubMed]
  16. De la Rúa, P.; Jaffé, R.; Dall’Olio, R.; Muñoz, I.; Serrano, J. Biodiversity, Conservation and Current Threats to European Honeybees. Apidologie 2009, 40, 263–284. [Google Scholar] [CrossRef]
  17. Łoś, A.; Strachecka, A. Fast and Cost-Effective Biochemical Spectrophotometric Analysis of Solution of Insect “Blood” and Body Surface Elution. Sensors 2018, 18, 1494. [Google Scholar] [CrossRef]
  18. Iwasaki, J.M.; Hogendoorn, K. Non-Insecticide Pesticide Impacts on Bees: A Review of Methods and Reported Outcomes. Agric. Ecosyst. Environ. 2021, 314, 107423. [Google Scholar] [CrossRef]
  19. Yang, Y.; Ma, S.; Liu, F.; Wang, Q.; Wang, X.; Hou, C.; Wu, Y.; Gao, J.; Zhang, L.; Liu, Y.; et al. Acute and Chronic Toxicity of Acetamiprid, Carbaryl, Cypermethrin and Deltamethrin to Apis mellifera Larvae Reared In Vitro. Pest Manag. Sci. 2020, 76, 978–985. [Google Scholar] [CrossRef]
  20. Medrzycki, P.; Giffard, H.; Aupinel, P.; Belzunces, L.P.; Chauzat, M.P.; Claßen, C.; Colin, M.E.; Dupont, T.; Girolami, V.; Johnson, R.; et al. Standard Methods for Toxicology Research in Apis Mellifera. J. Apic. Res. 2013, 52, 1–60. [Google Scholar] [CrossRef]
  21. Battisti, L.; Potrich, M.; Sampaio, A.R.; de Castilhos Ghisi, N.; Costa-Maia, F.M.; Abati, R.; dos Reis Martinez, C.B.; Sofia, S.H. Is Glyphosate Toxic to Bees? A Meta-Analytical Review. Sci. Total Environ. 2021, 767, 145397. [Google Scholar] [CrossRef]
  22. Tang, F.H.M.; Lenzen, M.; McBratney, A.; Maggi, F. Risk of Pesticide Pollution at the Global Scale. Nat. Geosci. 2021, 14, 206–210. [Google Scholar] [CrossRef]
  23. Gierer, F.; Vaughan, S.; Slater, M.; Thompson, H.M.; Elmore, J.S.; Girling, R.D. A Review of the Factors That Influence Pesticide Residues in Pollen and Nectar: Future Research Requirements for Optimising the Estimation of Pollinator Exposure. Environ. Pollut. 2019, 249, 236–247. [Google Scholar] [CrossRef] [PubMed]
  24. Vargas-Valero, A.; Reyes-Carrillo, J.; Moreno-Reséndez, A.; Véliz-Deras, F.; Gaspar-Ramírez, O.; Rodríguez-Martínez, R. Residuos de Plaguicidas En Miel y Cera de Colonias de Abejas de La Comarca Lagunera. Abanico Vet. 2020, 10. [Google Scholar] [CrossRef]
  25. Wen, X.; Ma, C.; Sun, M.; Wang, Y.; Xue, X.; Chen, J.; Song, W.; Li-Byarlay, H.; Luo, S. Pesticide Residues in the Pollen and Nectar of Oilseed Rape (Brassica napus L.) and Their Potential Risks to Honey Bees. Sci. Total Environ. 2021, 786, 147443. [Google Scholar] [CrossRef] [PubMed]
  26. Zioga, E.; Kelly, R.; White, B.; Stout, J.C. Plant Protection Product Residues in Plant Pollen and Nectar: A Review of Current Knowledge. Environ. Res. 2020, 189, 109873. [Google Scholar] [CrossRef] [PubMed]
  27. Berg, C.J.; King, H.P.; Delenstarr, G.; Kumar, R.; Rubio, F.; Glaze, T. Glyphosate Residue Concentrations in Honey Attributed through Geospatial Analysis to Proximity of Large-Scale Agriculture and Transfer off-Site by Bees. PLoS ONE 2018, 13, e0198876. [Google Scholar] [CrossRef] [PubMed]
  28. El-Nahhal, Y. Pesticide Residues in Honey and Their Potential Reproductive Toxicity. Sci. Total Environ. 2020, 741, 139953. [Google Scholar] [CrossRef] [PubMed]
  29. Raimets, R.; Naudi, S.; Mänd, M.; Bartkevičs, V.; Smagghe, G.; Karise, R. Translocation of Tebuconazole between Bee Matrices and Its Potential Threat on Honey Bee (Apis mellifera Linnaeus) Queens. Insects 2021, 13, 45. [Google Scholar] [CrossRef]
  30. Karise, R.; Raimets, R.; Bartkevics, V.; Pugajeva, I.; Pihlik, P.; Keres, I.; Williams, I.H.; Viinalass, H.; Mänd, M. Are Pesticide Residues in Honey Related to Oilseed Rape Treatments? Chemosphere 2017, 188, 389–396. [Google Scholar] [CrossRef]
  31. Migdał, P.; Murawska, A.; Roman, A. A Modified Standardized Method to Extract and Store Insect Hemolymph with Use of a Glass Capillary. J. Apic. Sci. 2020, 64, 165–168. [Google Scholar] [CrossRef]
  32. Bonmatin, J.M.; Moineau, I.; Charvet, R.; Fleche, C.; Colin, M.E.; Bengsch, E.R. A LC/APCI-MS/MS Method for Analysis of Imidacloprid in Soils, in Plants, and in Pollens. Anal. Chem. 2003, 75, 2027–2033. [Google Scholar] [CrossRef] [PubMed]
  33. Schmuck, R.; Stadler, T.; Schmidt, H.-W. Field Relevance of a Synergistic Effect Observed in the Laboratory between an EBI Fungicide and a Chloronicotinyl Insecticide in the Honeybee ( Apis mellifera L., Hymenoptera). Pest Manag. Sci. 2003, 59, 279–286. [Google Scholar] [CrossRef] [PubMed]
  34. Decourtye, A.; Devillers, J. Ecotoxicity of Neonicotinoid Insecticides to Bees. In Insect Nicotinic Acetylcholine Receptors; Springer: Berlin/Heidelberg, Germany, 2010; pp. 85–95. [Google Scholar]
  35. Kaur, R.; Mavi, G.K.; Raghav, S.; Khan, I. Pesticides Classification and Its Impact on Environment. Int. J. Curr. Microbiol. Appl. Sci. 2019, 8, 1889–1897. [Google Scholar] [CrossRef]
  36. Wang, Y.; Zhu, Y.C.; Li, W. Interaction Patterns and Combined Toxic Effects of Acetamiprid in Combination with Seven Pesticides on Honey Bee (Apis mellifera L.). Ecotoxicol. Environ. Saf. 2020, 190, 110100. [Google Scholar] [CrossRef]
  37. Johnson, R.M.; Dahlgren, L.; Siegfried, B.D.; Ellis, M.D. Acaricide, Fungicide and Drug Interactions in Honey Bees (Apis mellifera). PLoS ONE 2013, 8, e54092. [Google Scholar] [CrossRef]
  38. Pilling, E.D.; Jepson, P.C. Synergism between EBI Fungicides and a Pyrethroid Insecticide in the Honeybee Apis Mellifera. Pestic. Sci. 1993, 39, 293–297. [Google Scholar] [CrossRef]
  39. Thompson, T.S.; van den Heever, J.P.; Limanowka, R.E. Determination of Glyphosate, AMPA, and Glufosinate in Honey by Online Solid-Phase Extraction-Liquid Chromatography-Tandem Mass Spectrometry. Food Addit. Contam. Part A 2019, 36, 434–446. [Google Scholar] [CrossRef]
  40. Yao, J.; Zhu, Y.C.; Adamczyk, J. Responses of Honey Bees to Lethal and Sublethal Doses of Formulated Clothianidin Alone and Mixtures. J. Econ. Entomol. 2018, 111, 1517–1525. [Google Scholar] [CrossRef]
  41. Christen, V. Different Effects of Pesticides on Transcripts of the Endocrine Regulation and Energy Metabolism in Honeybee Foragers from Different Colonies. Sci. Rep. 2023, 13, 1985. [Google Scholar] [CrossRef]
  42. Wade, A.; Lin, C.H.; Kurkul, C.; Regan, E.R.; Johnson, R.M. Combined Toxicity of Insecticides and Fungicides Applied to California Almond Orchards to Honey Bee Larvae and Adults. Insects 2019, 10, 20. [Google Scholar] [CrossRef]
  43. Kessler, S.C.; Tiedeken, E.J.; Simcock, K.L.; Derveau, S.; Mitchell, J.; Softley, S.; Radcliffe, A.; Stout, J.C.; Wright, G.A. Bees Prefer Foods Containing Neonicotinoid Pesticides. Nature 2015, 521, 74–76. [Google Scholar] [CrossRef] [PubMed]
  44. Zhu, W.; Schmehl, D.R.; Mullin, C.A.; Frazier, J.L. Four Common Pesticides, Their Mixtures and a Formulation Solvent in the Hive Environment Have High Oral Toxicity to Honey Bee Larvae. PLoS ONE 2014, 9, e77547. [Google Scholar] [CrossRef] [PubMed]
  45. Migdal, P.; Murawska, A.; Berbeć, E.; Plotnik, M.; Skorus, A.; Latarowski, K. Selected Biochemical Markers Change after Oral Administration of Pesticide Mixtures in Honey Bees. Toxics 2022, 10, 590. [Google Scholar] [CrossRef] [PubMed]
  46. Badawy, M.E.I.; Nasr, H.M.; Rabea, E.I. Toxicity and Biochemical Changes in the Honey Bee Apis Mellifera Exposed to Four Insecticides under Laboratory Conditions. Apidologie 2015, 46, 177–193. [Google Scholar] [CrossRef]
  47. Faita, M.R.; Cardozo, M.M.; Amandio, D.T.T.; Orth, A.I.; Nodari, R.O. Glyphosate-Based Herbicides and Nosema Sp. Microsporidia Reduce Honey Bee (Apis mellifera L.) Survivability under Laboratory Conditions. J. Apic. Res. 2020, 59, 332–342. [Google Scholar] [CrossRef]
  48. Tomé, H.V.V.; Schmehl, D.R.; Wedde, A.E.; Godoy, R.S.M.; Ravaiano, S.V.; Guedes, R.N.C.; Martins, G.F.; Ellis, J.D. Frequently Encountered Pesticides Can Cause Multiple Disorders in Developing Worker Honey Bees. Environ. Pollut. 2020, 256, 113420. [Google Scholar] [CrossRef] [PubMed]
  49. Vázquez, D.E.; Ilina, N.; Pagano, E.A.; Zavala, J.A.; Farina, W.M. Glyphosate Affects the Larval Development of Honey Bees Depending on the Susceptibility of Colonies. PLoS ONE 2018, 13, e0205074. [Google Scholar] [CrossRef]
  50. Vázquez, D.E.; Latorre-Estivalis, J.M.; Ons, S.; Farina, W.M. Chronic Exposure to Glyphosate Induces Transcriptional Changes in Honey Bee Larva: A Toxicogenomic Study. Environ. Pollut. 2020, 261, 114148. [Google Scholar] [CrossRef]
  51. Bajda, M.; Łoś, A.; Merska, M. Effect of Amphotericin B on the Biochemical markers in the Haemolymph of Honey Bees. Med. Weter 2014, 70, 766–769. [Google Scholar]
  52. Strachecka, A.; Olszewski, K.; Paleolog, J. Varroa Treatment with Bromfenvinphos Markedly Suppresses Honeybee Biochemical Defence Levels. Entomol. Exp. Appl. 2016, 160, 57–71. [Google Scholar] [CrossRef]
  53. Migdał, P.; Murawska, A.; Bieńkowski, P.; Strachecka, A.; Roman, A. Effect of the Electric Field at 50 Hz and Variable Intensities on Biochemical Markers in the Honey Bee’s Hemolymph. PLoS ONE 2021, 16, e0252858. [Google Scholar] [CrossRef] [PubMed]
  54. Şapcaliu, A.; Pavel, C.; Savu, V.; Căuia, E.; Matei, M.; Rădoi, I. Biochemical and Cytological Investigations on Haemolymph of Apis Mellifera Carpathica Bee in Stressful Conditions. Bull. UASVM Anim. Sci. Biotechnol. 2010, 67, 313–320. [Google Scholar]
  55. Strachecka, A.; Olszewski, K.; Paleolog, J. Curcumin Stimulates Biochemical Mechanisms of Apis Mellifera Resistance and Extends the Apian Life-Span. J. Apic. Sci. 2015, 59, 129–141. [Google Scholar] [CrossRef]
  56. Strachecka, A.; Olszewski, K.; Paleolog, J.; Borsuk, G.; Bajda, M.; Krauze, M.; Merska, M.; Chobotow, J. Coenzyme Q10 Treatments Influence the Lifespan and Key Biochemical Resistance Systems in the Honeybee Apis Mellifera. Arch. Insect Biochem. Physiol. 2014, 86, 165–179. [Google Scholar] [CrossRef] [PubMed]
  57. Strachecka, A.; Krauze, M.; Olszewski, K.; Borsuk, G.; Paleolog, J.; Merska, M.; Chobotow, J.; Bajda, M.; Grzywnowicz, K. Unexpectedly Strong Effect of Caffeine on the Vitality of Western Honeybees (Apis mellifera). Biochemistry 2014, 79, 1192–1201. [Google Scholar] [CrossRef]
  58. Sugeçti Serkan, K.B. Effects of Oxfendazole on Metabolic Enzymes in Hemolymph of Galleria mellonella L.(Lepidoptera: Pyralidae) Larvae Reared on Artificial Diet. Karaelmas Sci. Eng. J. 2018, 8, 129–137. [Google Scholar]
  59. Shemesh, O.; Golbetz, H.; Kriss, J.P.; Myers, B.D. Limitations of Creatinine as a Filtration Marker in Glomerulopathic Patients. Kidney Int. 1985, 28, 830–838. [Google Scholar] [CrossRef]
  60. Bursell, E. The Excretion of Nitrogen in Insects. Adv. Insect Physiol. 1967, 4, 33–67. [Google Scholar] [CrossRef]
Scheme 1. Experimental setup.
Scheme 1. Experimental setup.
Agriculture 14 00005 sch001
Figure 1. Daily mean syrup intake per honey bee in the examined groups. Error bars represent the standard deviation. Lowercase letters on the right show the results of the Kruskal–Wallis test with Holm correction for multiple comparisons, α = 0.05 (groups with the same letter do not differ significantly). The control group was fed clear sugar syrup, whereas other syrups contained pesticide formulations (G = glyphosate, T = tebuconazole, A = acetamiprid; combinations of letters represent a mixture of pesticides, numbers represent a dilution relative to the maximum dose allowed for oilseed rape cultivation).
Figure 1. Daily mean syrup intake per honey bee in the examined groups. Error bars represent the standard deviation. Lowercase letters on the right show the results of the Kruskal–Wallis test with Holm correction for multiple comparisons, α = 0.05 (groups with the same letter do not differ significantly). The control group was fed clear sugar syrup, whereas other syrups contained pesticide formulations (G = glyphosate, T = tebuconazole, A = acetamiprid; combinations of letters represent a mixture of pesticides, numbers represent a dilution relative to the maximum dose allowed for oilseed rape cultivation).
Agriculture 14 00005 g001
Figure 2. Kaplan–Meier survival curve during the 7-day experiment: (A) = experimental groups with a higher pesticide concentration; (B) = experimental groups with a lower pesticide concentration. The control group was fed clear sugar syrup, whereas other syrups contained pesticide formulations (G = glyphosate, T = tebuconazol, A = acetamiprid; combinations of letters represent a mixture of pesticides, numbers represent a dilution relative to the maximum dose allowed for oilseed rape cultivation).
Figure 2. Kaplan–Meier survival curve during the 7-day experiment: (A) = experimental groups with a higher pesticide concentration; (B) = experimental groups with a lower pesticide concentration. The control group was fed clear sugar syrup, whereas other syrups contained pesticide formulations (G = glyphosate, T = tebuconazol, A = acetamiprid; combinations of letters represent a mixture of pesticides, numbers represent a dilution relative to the maximum dose allowed for oilseed rape cultivation).
Agriculture 14 00005 g002
Figure 3. Hemolymph enzyme activity: ALT = alanine aminotransferase; AST = aspartate aminotransferase; ALP = alkaline phosphatase; GGTP = gamma-glutamyl transpeptidase. Bars demonstrate the mean value and error bars represent the standard deviation. Lowercase letters on the right show the results of the Kruskal–Wallis test with Holm correction for multiple comparisons, α = 0.05 (groups with the same letter do not differ significantly). The control group was fed clear sugar syrup, whereas other syrups contained pesticide formulations (G = glyphosate, T = tebuconazole, A = acetamiprid; combinations of letters represent a mixture of pesticides, and numbers represent a dilution relative to the maximum dose allowed for oilseed rape cultivation).
Figure 3. Hemolymph enzyme activity: ALT = alanine aminotransferase; AST = aspartate aminotransferase; ALP = alkaline phosphatase; GGTP = gamma-glutamyl transpeptidase. Bars demonstrate the mean value and error bars represent the standard deviation. Lowercase letters on the right show the results of the Kruskal–Wallis test with Holm correction for multiple comparisons, α = 0.05 (groups with the same letter do not differ significantly). The control group was fed clear sugar syrup, whereas other syrups contained pesticide formulations (G = glyphosate, T = tebuconazole, A = acetamiprid; combinations of letters represent a mixture of pesticides, and numbers represent a dilution relative to the maximum dose allowed for oilseed rape cultivation).
Agriculture 14 00005 g003
Figure 4. Non-enzymatic antioxidants in hemolymph concentrations. The bars demonstrate the mean value and error bars represent the standard deviation. Lowercase letters on the right show the results of the Kruskal–Wallis test with Holm correction for multiple comparisons, α = 0.05 (groups with the same letter do not differ significantly). The control group was fed clear sugar syrup, whereas other syrups contained pesticide formulations (G = glyphosate, T = tebuconazole, A = acetamiprid; combinations of letters represent a mixture of pesticides, and numbers represent a dilution relative to the maximum dose allowed for oilseed rape cultivation).
Figure 4. Non-enzymatic antioxidants in hemolymph concentrations. The bars demonstrate the mean value and error bars represent the standard deviation. Lowercase letters on the right show the results of the Kruskal–Wallis test with Holm correction for multiple comparisons, α = 0.05 (groups with the same letter do not differ significantly). The control group was fed clear sugar syrup, whereas other syrups contained pesticide formulations (G = glyphosate, T = tebuconazole, A = acetamiprid; combinations of letters represent a mixture of pesticides, and numbers represent a dilution relative to the maximum dose allowed for oilseed rape cultivation).
Agriculture 14 00005 g004
Disclaimer/Publisher’s Note: The statements, opinions and data contained in all publications are solely those of the individual author(s) and contributor(s) and not of MDPI and/or the editor(s). MDPI and/or the editor(s) disclaim responsibility for any injury to people or property resulting from any ideas, methods, instructions or products referred to in the content.

Share and Cite

MDPI and ACS Style

Migdał, P.; Murawska, A.; Berbeć, E.; Zarębski, K.; Ratajczak, N.; Roman, A.; Latarowski, K. Biochemical Indicators and Mortality in Honey Bee (Apis mellifera) Workers after Oral Exposure to Plant Protection Products and Their Mixtures. Agriculture 2024, 14, 5. https://doi.org/10.3390/agriculture14010005

AMA Style

Migdał P, Murawska A, Berbeć E, Zarębski K, Ratajczak N, Roman A, Latarowski K. Biochemical Indicators and Mortality in Honey Bee (Apis mellifera) Workers after Oral Exposure to Plant Protection Products and Their Mixtures. Agriculture. 2024; 14(1):5. https://doi.org/10.3390/agriculture14010005

Chicago/Turabian Style

Migdał, Paweł, Agnieszka Murawska, Ewelina Berbeć, Karol Zarębski, Natalia Ratajczak, Adam Roman, and Krzysztof Latarowski. 2024. "Biochemical Indicators and Mortality in Honey Bee (Apis mellifera) Workers after Oral Exposure to Plant Protection Products and Their Mixtures" Agriculture 14, no. 1: 5. https://doi.org/10.3390/agriculture14010005

APA Style

Migdał, P., Murawska, A., Berbeć, E., Zarębski, K., Ratajczak, N., Roman, A., & Latarowski, K. (2024). Biochemical Indicators and Mortality in Honey Bee (Apis mellifera) Workers after Oral Exposure to Plant Protection Products and Their Mixtures. Agriculture, 14(1), 5. https://doi.org/10.3390/agriculture14010005

Note that from the first issue of 2016, this journal uses article numbers instead of page numbers. See further details here.

Article Metrics

Back to TopTop