Comprehensive Economic Impacts of Wild Pigs on Producers of Six Crops in the South-Eastern US and California
Abstract
1. Introduction
2. Materials and Methods
3. Results
3.1. Population
3.1.1. Wild Pig Presence in County in the Last Three Years
3.1.2. Wild Pig Presence on Operation in the Last Three Years
3.2. Crops
3.3. Property
3.4. Control
4. Discussion
4.1. Population
4.2. Crop Damage
4.3. Property
4.4. Control
4.5. Limitations
5. Conclusions
Author Contributions
Funding
Institutional Review Board Statement
Data Availability Statement
Conflicts of Interest
Appendix A. Survey Sampling Methodology
Appendix B





Appendix C
| State | In County | On Operation | ||||
|---|---|---|---|---|---|---|
| Yes | Don’t Know | No | Yes | Don’t Know | No | |
| Alabama | 0.633 | 0.108 | 0.259 | 0.384 | 0.007 | 0.609 |
| (0.053) | (0.026) | (0.054) | (0.043) | (0.003) | (0.044) | |
| Arkansas | 0.485 | 0.134 | 0.381 | 0.326 | 0.027 | 0.646 |
| (0.044) | (0.038) | (0.049) | (0.038) | (0.012) | (0.039) | |
| California | 0.335 | 0.124 | 0.541 | 0.102 | 0.026 | 0.873 |
| (0.033) | (0.018) | (0.034) | (0.015) | (0.009) | (0.018) | |
| Florida | 0.867 | 0.057 | 0.076 | 0.601 | 0.038 | 0.361 |
| (0.031) | (0.021) | (0.023) | (0.067) | (0.017) | (0.069) | |
| Georgia | 0.798 | 0.096 | 0.106 | 0.630 | 0.042 | 0.328 |
| (0.049) | (0.044) | (0.033) | (0.046) | (0.025) | (0.046) | |
| Louisiana | 0.835 | (D) | 0.137 | 0.651 | (D) | 0.341 |
| (0.042) | - | (0.039) | (0.059) | - | (0.058) | |
| Mississippi | 0.649 | 0.159 | 0.192 | 0.380 | (D) | 0.567 |
| (0.070) | (0.076) | (0.046) | (0.049) | - | (0.057) | |
| Missouri | 0.155 | 0.126 | 0.720 | 0.034 | 0.081 | 0.884 |
| (0.069) | (0.054) | (0.082) | (0.007) | (0.069) | (0.069) | |
| North Carolina | 0.319 | 0.144 | 0.537 | 0.073 | 0.018 | 0.909 |
| (0.037) | (0.034) | (0.042) | (0.015) | (0.007) | (0.016) | |
| South Carolina | 0.828 | 0.065 | 0.106 | 0.534 | 0.015 | 0.450 |
| (0.025) | (0.017) | (0.020) | (0.041) | (0.006) | (0.041) | |
| Texas | 0.836 | 0.040 | 0.124 | 0.731 | 0.004 | 0.265 |
| (0.021) | (0.012) | (0.018) | (0.028) | (0.002) | (0.028) | |
| Total | 0.566 | 0.098 | 0.336 | 0.387 | 0.029 | 0.584 |
| (0.018) | (0.013) | (0.019) | (0.014) | (0.012) | (0.017) | |
| State | Subst. Increased | Somewhat. Increased | No Real Change | Somewhat. Decreased | Subst. Decreased | Eliminated Completely | Don’t Know |
|---|---|---|---|---|---|---|---|
| Alabama | 0.478 | 0.169 | 0.184 | 0.039 | 0.015 | 0.000 | 0.115 |
| (0.064) | (0.034) | (0.054) | (0.011) | (0.006) | 0.000 | (0.039) | |
| Arkansas | 0.305 | 0.285 | 0.215 | 0.051 | (D) | 0.000 | 0.142 |
| (0.049) | (0.071) | (0.070) | (0.025) | - | 0.000 | (0.032) | |
| California | 0.127 | 0.131 | 0.259 | 0.034 | (D) | 0.000 | 0.434 |
| (0.033) | (0.032) | (0.060) | (0.015) | - | 0.000 | (0.067) | |
| Florida | 0.308 | 0.170 | 0.230 | 0.048 | 0.041 | 0.000 | 0.204 |
| 0.049 | 0.043 | 0.058 | 0.017 | 0.017 | 0.000 | (0.086) | |
| Georgia | 0.530 | 0.264 | 0.115 | 0.022 | (D) | (D) | 0.050 |
| (0.037) | (0.033) | (0.018) | (0.007) | - | - | (0.023) | |
| Louisiana | 0.547 | 0.283 | 0.087 | (D) | (D) | 0.000 | 0.048 |
| (0.071) | (0.055) | (0.045) | - | - | 0.000 | (0.016) | |
| Mississippi | 0.490 | 0.229 | 0.117 | 0.025 | 0.027 | (D) | 0.109 |
| (0.056) | (0.038) | (0.022) | (0.008) | (0.010) | - | (0.029) | |
| Missouri | (D) | 0.327 | 0.136 | 0.121 | 0.107 | (D) | 0.263 |
| - | (0.081) | (0.036) | (0.037) | (0.035) | - | (0.064) | |
| N. Carolina | 0.095 | 0.245 | 0.196 | (D) | 0.016 | (D) | 0.419 |
| (0.025) | (0.049) | (0.046) | - | (0.006) | - | (0.080) | |
| S. Carolina | 0.309 | 0.251 | 0.178 | 0.062 | (D) | 0.000 | 0.184 |
| (0.038) | (0.036) | (0.042) | (0.042) | - | 0.000 | (0.037) | |
| Texas | 0.425 | 0.272 | 0.186 | 0.023 | 0.013 | 0.000 | 0.188 |
| (0.037) | (0.034) | (0.030) | (0.007) | (0.008) | 0.000 | (0.019) | |
| Total | 0.331 | 0.248 | 0.178 | 0.034 | 0.020 | 0.002 | 0.000 |
| (0.017) | (0.016) | (0.015) | (0.005) | (0.004) | (0.001) | (0.021) |
| State | Subst. Increased | Somewhat. Increased | No Real Change | Somewhat. Decreased | Subst. Decreased | Eliminated Completely | Don’t Know |
|---|---|---|---|---|---|---|---|
| Alabama | 0.536 | 0.315 | 0.055 | 0.053 | (D) | 0.000 | (D) |
| (0.059) | (0.063) | (0.015) | (0.015) | - | 0.000 | - | |
| Arkansas | 0.299 | 0.298 | 0.272 | 0.037 | 0.087 | 0.000 | (D) |
| (0.052) | (0.073) | (0.073) | (0.014) | (0.046) | 0.000 | - | |
| California | 0.265 | 0.131 | 0.482 | 0.000 | (D) | 0.000 | (D) |
| (0.080) | (0.054) | (0.097) | 0.000 | - | 0.000 | - | |
| Florida | 0.413 | 0.188 | 0.293 | 0.046 | 0.044 | 0.000 | (D) |
| 0.057 | 0.055 | 0.070 | 0.016 | 0.018 | 0.000 | - | |
| Georgia | 0.580 | 0.199 | 0.154 | 0.034 | 0.014 | (D) | 0.019 |
| (0.037) | (0.028) | (0.027) | (0.011) | (0.007) | - | (0.007) | |
| Louisiana | 0.569 | 0.296 | 0.062 | 0.047 | (D) | 0.000 | (D) |
| (0.077) | (0.066) | (0.025) | (0.022) | - | 0.000 | - | |
| Mississippi | 0.411 | 0.291 | 0.157 | 0.088 | 0.029 | (D) | (D) |
| (0.045) | (0.044) | (0.032) | (0.030) | (0.011) | - | - | |
| Missouri | (D) | 0.145 | 0.108 | 0.287 | 0.255 | (D) | (D) |
| - | (0.064) | (0.044) | (0.092) | (0.095) | - | - | |
| N. Carolina | 0.171 | 0.245 | 0.316 | 0.072 | 0.059 | (D) | (D) |
| (0.058) | (0.059) | (0.073) | (0.040) | (0.027) | - | - | |
| S. Carolina | 0.337 | 0.297 | 0.222 | 0.022 | (D) | (D) | (D) |
| (0.048) | (0.050) | (0.056) | (0.008) | - | - | - | |
| Texas | 0.388 | 0.358 | 0.185 | 0.040 | 0.006 | 0.000 | 0.039 |
| (0.039) | (0.041) | (0.032) | (0.012) | (0.003) | 0.000 | (0.012) | |
| Total | 0.358 | 0.275 | 0.218 | 0.056 | 0.045 | 0.009 | 0.000 |
| (0.019) | (0.019) | (0.019) | (0.009) | (0.009) | (0.003) | (0.015) |
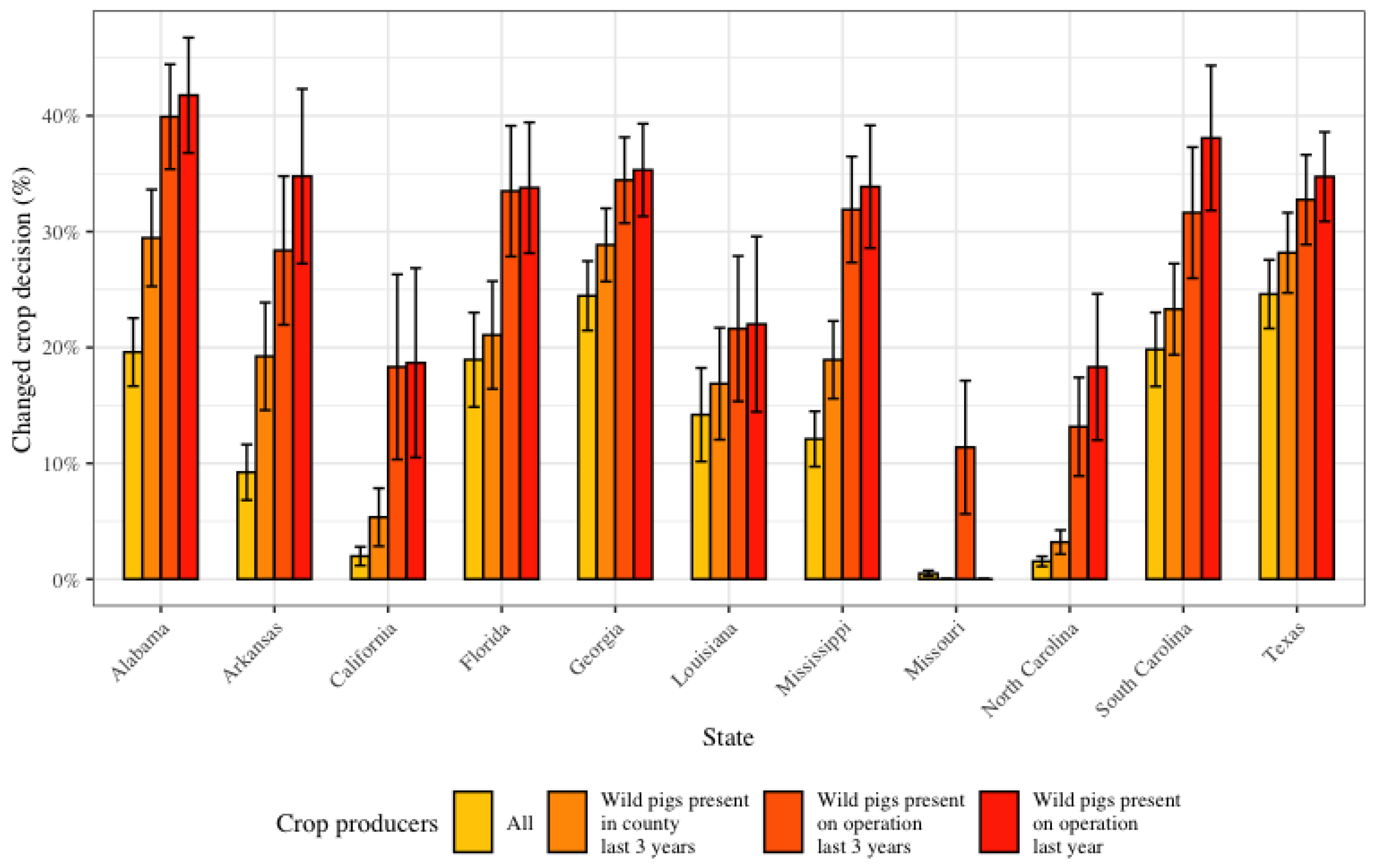
| State | All | Wild Pigs in County in Last 3 Years | Wild Pigs on Operation in Last 3 Years | Wild Pigs on Operation in Previous Year |
|---|---|---|---|---|
| Alabama | 0.196 | 0.295 | 0.399 | 0.418 |
| (0.029) | (0.042) | (0.045) | (0.050) | |
| Arkansas | 0.092 | 0.192 | 0.284 | 0.348 |
| (0.008) | (0.046) | (0.064) | (0.075) | |
| California | 0.020 | 0.053 | 0.183 | 0.187 |
| (0.008) | (0.025) | (0.080) | (0.082) | |
| Florida | 0.189 | 0.211 | 0.335 | 0.338 |
| (0.041) | (0.047) | (0.056) | (0.056) | |
| Georgia | 0.245 | 0.289 | 0.344 | 0.353 |
| (0.030) | (0.032) | (0.037) | (0.040) | |
| Louisiana | 0.142 | 0.169 | 0.216 | 0.220 |
| (0.040) | (0.048) | (0.063) | (0.076) | |
| Mississippi | 0.121 | 0.189 | 0.319 | 0.339 |
| (0.024) | (0.034) | (0.046) | (0.053) | |
| Missouri | 0.005 | (D) | 0.114 | (D) |
| (0.002) | - | (0.058) | - | |
| North Carolina | 0.015 | 0.032 | 0.132 | 0.183 |
| (0.004) | (0.010) | (0.042) | (0.063) | |
| South Carolina | 0.198 | 0.233 | 0.316 | 0.381 |
| (0.032) | (0.039) | (0.057) | (0.063) | |
| Texas | 0.246 | 0.282 | 0.328 | 0.347 |
| (0.030) | (0.035) | (0.039) | (0.039) | |
| Total | 0.126 | 0.213 | 0.308 | 0.332 |
| (0.009) | (0.015) | (0.020) | (0.021) |
| Crop | Not Planted or Planted Less of | Replacement |
|---|---|---|
| Corn | 0.533 | 0.076 |
| (0.041) | (0.016) | |
| Soybeans | 0.087 | 0.189 |
| (0.017) | (0.029) | |
| Wheat | 0.181 | 0.132 |
| (0.042) | (0.028) | |
| Rice | 0.019 | 0.010 |
| (0.006) | (0.005) | |
| Sorghum | 0.212 | 0.076 |
| (0.032) | (0.027) | |
| Peanuts | 0.196 | 0.018 |
| (0.024) | (0.004) | |
| Other | 0.193 | 0.318 |
| (0.045) | (0.035) | |
| No other | 0.385 | |
| (0.041) |
| State | Were Wild Pigs Present on Any Field of This Crop? | Did You Replant Any of This Crop Because of Damage Caused by Wild Pigs? | Was This Crop Damaged by Wild Pigs during Its Growing Season? | Did the Presence of Wild Pigs Make This Crop More Costly to Harvest? |
|---|---|---|---|---|
| Alabama | 0.383 | 0.152 | 0.319 | 0.214 |
| (0.044) | (0.024) | (0.039) | (0.029) | |
| Arkansas | 0.234 | 0.058 | 0.141 | 0.087 |
| (0.038) | (0.013) | (0.024) | (0.018) | |
| California | 0.038 | (D) | 0.024 | (D) |
| (0.014) | - | (0.012) | - | |
| Florida | 0.501 | 0.195 | 0.376 | 0.308 |
| (0.068) | (0.040) | (0.059) | (0.052) | |
| Georgia | 0.624 | 0.239 | 0.520 | 0.386 |
| (0.057) | (0.033) | (0.053) | (0.048) | |
| Louisiana | 0.551 | 0.170 | 0.249 | 0.212 |
| (0.070) | (0.036) | (0.046) | (0.050) | |
| Mississippi | 0.386 | 0.182 | 0.280 | 0.169 |
| (0.036) | (0.027) | (0.031) | (0.027) | |
| Missouri | 0.014 | (D) | 0.010 | 0.007 |
| (0.005) | - | (0.004) | (0.003) | |
| North Carolina | 0.052 | 0.020 | 0.036 | 0.019 |
| (0.014) | (0.010) | (0.009) | (0.005) | |
| South Carolina | 0.448 | 0.116 | 0.333 | 0.263 |
| (0.050) | (0.023) | (0.045) | (0.040) | |
| Texas | 0.599 | 0.095 | 0.454 | 0.254 |
| (0.042) | (0.013) | (0.042) | (0.035) | |
| Total | 0.317 | 0.086 | 0.230 | 0.150 |
| (0.016) | (0.006) | (0.013) | (0.010) |
| State | Corn | Soybeans | Wheat | Rice | Sorghum | Peanuts |
|---|---|---|---|---|---|---|
| Alabama | 1149 | 433 | 129 | - | - | 6434 |
| (489) | (303) | (127) | - | - | (3684) | |
| Arkansas | 1182 | 599 | - | 449 | - | - |
| (424) | (344) | - | (441) | - | - | |
| California | 122 | - | - | - | - | - |
| (120) | - | - | - | - | - | |
| Florida | 126 | 4 | 141 | - | - | 1436 |
| (87) | (4) | (141) | - | - | (356) | |
| Georgia | 8268 | 828 | 257 | - | - | 11,409 |
| (2572) | (347) | (203) | - | - | (4057) | |
| Louisiana | 2159 | 2065 | 262 | 111 | 356 | - |
| (497) | (552) | (261) | (110) | (304) | - | |
| Mississippi | 5992 | 10,389 | - | - | - | 64 |
| (1971) | (5383) | - | - | - | (64) | |
| Missouri | - | 276 | - | - | - | - |
| - | (268) | - | - | - | - | |
| North Carolina | 200 | 72 | - | - | - | 111 |
| (91) | (39) | - | - | - | (87) | |
| South Carolina | 1743 | 616 | 53 | (D) | - | 262 |
| (450) | (234) | (52) | - | - | (144) | |
| Texas | 16,526 | 174 | 8670 | 1058 | 1083 | 665 |
| (7499) | (134) | (4642) | (891) | (594) | (338) |
| State | Corn | Soybeans | Wheat | Rice | Sorghum | Peanuts |
|---|---|---|---|---|---|---|
| Alabama | 223,215 | 168,299 | 6428 | - | - | 544,056 |
| (89,615) | (108,676) | (6368) | - | - | (191,856) | |
| Arkansas | 693,882 | 180,053 | - | 168,490 | - | - |
| (268,428) | (102,889) | - | (165,222) | - | - | |
| California | 48,611 | - | - | - | - | - |
| (47,939) | - | - | - | - | - | |
| Florida | 30,518 | 183 | 17,655 | - | - | 432,812 |
| (21,394) | (181) | (17,602) | - | - | (117,976) | |
| Georgia | 1,695,480 | 58,700 | 21,530 | - | - | 4,033,674 |
| (595,995) | (47,154) | (19,625) | - | - | (1,309,735) | |
| Louisiana | 1,342,538 | 441,279 | 17,444 | 553 | 31,077 | - |
| (376,898) | (137,172) | (17,409) | (551) | (30,997) | - | |
| Mississippi | 1,234,573 | 1,055,551 | - | - | - | 530 |
| (357,998) | (366,009) | - | - | - | (529) | |
| Missouri | - | 55,230 | - | - | - | - |
| - | (53,558) | - | - | - | - | |
| N. Carolina | 25,855 | 25,467 | - | - | - | 3066 |
| (14,480) | (12,492) | - | - | - | (2650) | |
| S. Carolina | 361,648 | 68,495 | 5269 | (D) | - | 74,113 |
| (100,106) | (28,815) | (5174) | - | - | (39,919) | |
| Texas | 1,745,965 | 8400 | 712,813 | 330,964 | 76,416 | 95,402 |
| (425,609) | (5038) | (319,868) | (239,833) | (45,022) | (50,329) |
| State | Corn | Soybeans | Wheat | Rice | Sorghum | Peanuts |
|---|---|---|---|---|---|---|
| Alabama | 1789 | 1096 | 211 | - | 17 | |
| (568) | (891) | (96) | - | (17) | (22,798) | |
| Arkansas | 735 | 983 | 1287 | 1311 | 85 | - |
| (231) | (460) | (876) | (629) | (67) | - | |
| California | - | - | 286 | - | - | - |
| - | - | (259) | - | - | - | |
| Florida | 1410 | 254 | 141 | - | - | 1316 |
| (626) | (172) | (141) | - | - | (319) | |
| Georgia | 15,266 | 1144 | 1563 | (D) | 83 | 20,168 |
| (4535) | (543) | (469) | - | (72) | (8341) | |
| Louisiana | 2115 | 1752 | 427 | 1918 | 83 | - |
| (730) | (944) | (418) | (1426) | (83) | - | |
| Mississippi | 3476 | 1947 | 809 | 430 | 19 | - |
| (1793) | (745) | (761) | (353) | (19) | - | |
| Missouri | 565 | 402 | - | - | - | - |
| (546) | (349) | - | - | - | - | |
| N. Carolina | 1136 | 773 | 307 | - | - | 100 |
| (782) | (512) | (242) | - | - | (70) | |
| S. Carolina | 3796 | 1122 | 723 | (D) | 222 | 446 |
| (854) | (362) | (385) | - | (125) | (139) | |
| Texas | 23,492 | 308 | 18,306 | 3397 | 5699 | 31,510 |
| (8723) | (160) | (10,922) | (1773) | (2631) | (31,283) |
| State | Corn | Soybeans | Wheat | Rice | Sorghum | Peanuts |
|---|---|---|---|---|---|---|
| Alabama | 253,106 | 89,881 | 29,677 | - | - | 188,820 |
| (99,209) | (61,057) | (16,122) | - | - | (56,989) | |
| Arkansas | 272,848 | 248,919 | 41,562 | 404,155 | 6702 | - |
| (97,465) | (123,235) | (36,521) | (226,528) | (6685) | - | |
| California | - | - | 48,374 | - | - | - |
| - | - | (47,796) | - | - | - | |
| Florida | 262,238 | 113,425 | 17,655 | - | - | 1,035,366 |
| (119,485) | (64,697) | (17,602) | - | - | (786,959) | |
| Georgia | 4,393,213 | 160,737 | 183,678 | (D) | 4478 | 1,920,292 |
| (1,917,008) | (80,782) | (59,118) | - | (4,465) | (523,762) | |
| Louisiana | 898,904 | 600,493 | 26,305 | 372,900 | 139 | - |
| (377,137) | (347,071) | (26,114) | (345,565) | (138) | - | |
| Mississippi | 861,713 | 719,834 | 10,158 | 54,718 | 11,676 | 26,517 |
| (376,410) | (282,221) | (7192) | (39,030) | (11,657) | (26,471) | |
| Missouri | 84,408 | 70,986 | - | - | - | - |
| (81,900) | (54,767) | - | - | - | - | |
| N. Carolina | 2,304,342 | 54,726 | 12,969 | - | - | 8104 |
| (2,163,558) | (30,286) | (11,665) | - | - | (5881) | |
| S. Carolina | 462,042 | 307,405 | 134,502 | (D) | 31,141 | 83,585 |
| (139,988) | (147,454) | (77,989) | - | (21,514) | (28,734) | |
| Texas | 1,946,916 | 106,013 | 1,342,121 | 1,535,662 | 1,034,524 | 95,402 |
| (534,358) | (45,181) | (377,874) | (913,669) | (596,814) | (63,781) |
| Yes | Don’t Know | No | Mean Hours | Mean Cost (S) | |
|---|---|---|---|---|---|
| Buildings | 0.026 | 0.032 | 0.942 | 29.8 | 2810 |
| (0.007) | (0.012) | (0.014) | (16.1) | (1658) | |
| Fencing | 0.373 | 0.023 | 0.604 | 149.8 | 2382 |
| (0.024) | (0.004) | (0.024) | (92.3) | (3) | |
| Field | 0.600 | 0.039 | 0.361 | 54.7 | 1362 |
| (0.024) | (0.012) | (0.024) | (18.8) | (149) | |
| Other Crop | 0.157 | 0.082 | 0.761 | 21.4 | 1526 |
| (0.015) | (0.017) | (0.021) | (6.9) | (388) | |
| Irrigation | 0.082 | 0.027 | 0.891 | 164.2 | 2277 |
| (0.012) | (0.005) | (0.013) | (111.7) | (624) | |
| Vehicle | 0.087 | 0.021 | 0.892 | 65.1 | 7110 |
| (0.016) | (0.004) | (0.016) | (43.1) | (3460) | |
| Residential | 0.056 | 0.020 | 0.924 | 11.1 | 511 |
| (0.012) | (0.006) | (0.013) | (6.9) | (245) | |
| Road | 0.162 | 0.019 | 0.819 | 10.8 | 738 |
| (0.015) | (0.003) | (0.016) | (1.3) | (94) | |
| Feed | 0.180 | 0.025 | 0.795 | 22.1 | 2320 |
| (0.019) | (0.011) | (0.021) | (7.8) | (466) | |
| Fecal | 0.138 | 0.172 | 0.691 | 3.6 | 320 |
| (0.018) | (0.016) | (0.022) | (1.5) | (147) | |
| Water source | 0.163 | 0.097 | 0.740 | 5.2 | 456 |
| (0.017) | (0.014) | (0.021) | (1.0) | (105) | |
| Terraces | 0.246 | 0.089 | 0.665 | 8.8 | 605 |
| (0.019) | (0.014) | (0.022) | (1.6) | (100) | |
| Wildlife Habitat | 0.160 | 0.140 | 0.700 | 8.9 | 2 |
| (0.015) | (0.017) | (0.021) | (2.7) | (14) | |
| Topsoil Erosion | 0.257 | 0.095 | 0.647 | 19.7 | 1573 |
| (0.020) | (0.016) | (0.023) | (5.6) | (553) | |
| Fecal Contam. Crops | 0.067 | 0.135 | 0.798 | 1.9 | 270 |
| (0.011) | (0.016) | (0.018) | (0.6) | (117) | |
| Other | 0.059 | 0.113 | 0.828 | 8.5 | 1027 |
| (0.011) | (0.017) | (0.019) | (3.276) | (401) |
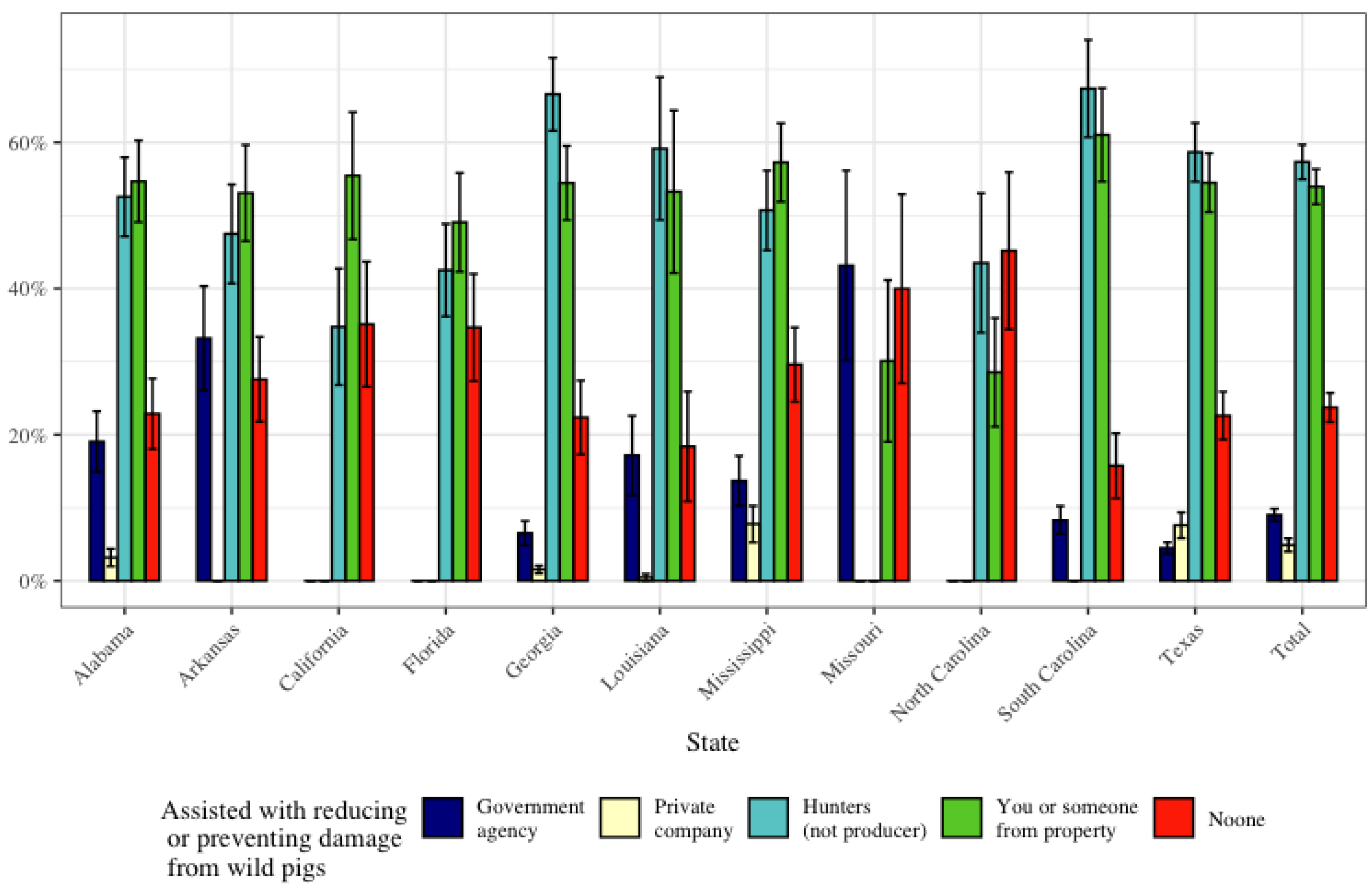
| State | Federal, State, or County Agency | University Outreach Services | Private Company | Hunters (Not Including Yourself) | Yourself (or Someone Living on Your Property) | None |
|---|---|---|---|---|---|---|
| Alabama | 0.191 | 0.034 | 0.032 | 0.526 | 0.547 | 0.229 |
| (0.041) | (0.012) | (0.012) | (0.054) | (0.056) | (0.048) | |
| Arkansas | 0.332 | (D) | 0.000 | 0.475 | 0.531 | 0.276 |
| (0.071) | - | 0.000 | (0.068) | (0.066) | (0.058) | |
| California | (D) | 0.000 | (D) | 0.348 | 0.554 | 0.351 |
| - | 0.000 | - | (0.080) | (0.087) | (0.086) | |
| Florida | (D) | 0.000 | (D) | 0.425 | 0.491 | 0.347 |
| - | 0.000 | - | (0.063) | (0.068) | (0.073) | |
| Georgia | 0.065 | 0.012 | 0.016 | 0.666 | 0.545 | 0.224 |
| (0.017) | (0.006) | (0.005) | (0.050) | (0.051) | (0.051) | |
| Louisiana | 0.172 | (D) | 0.005 | 0.592 | 0.533 | 0.184 |
| (0.054) | - | (0.005) | (0.098) | (0.111) | (0.075) | |
| Mississippi | 0.137 | (D) | 0.078 | 0.507 | 0.573 | 0.296 |
| (0.034) | - | (0.025) | (0.055) | (0.054) | (0.051) | |
| Missouri | 0.432 | 0.000 | 0.000 | (D) | 0.301 | 0.400 |
| (0.130) | 0.000 | 0.000 | - | (0.111) | (0.129) | |
| North Carolina | (D) | 0.009 | (D) | 0.435 | 0.285 | 0.452 |
| - | (0.009) | - | (0.095) | (0.074) | (0.108) | |
| South Carolina | 0.083 | 0.022 | (D) | 0.674 | 0.610 | 0.157 |
| (0.019) | (0.008) | - | (0.067) | (0.064) | (0.044) | |
| Texas | 0.045 | 0.010 | 0.076 | 0.587 | 0.545 | 0.226 |
| (0.008) | (0.006) | (0.018) | (0.040) | (0.040) | (0.033) | |
| Total | 0.090 | 0.011 | 0.049 | 0.573 | 0.539 | 0.237 |
| (0.009) | (0.003) | (0.009) | (0.024) | (0.024) | (0.020) |
| State | Shouting on Sight | Hunting with Dogs | Hunting without Dogs | Aerial Hunting | Trapping | Other |
|---|---|---|---|---|---|---|
| Alabama | 66,742 | 13,885 | 86,392 | 5248 | 52,489 | - |
| (34,386) | (5265) | (56,385) | (4985) | (15,934) | - | |
| Arkansas | 34,583 | 32,959 | 33,151 | 27,960 | 34,332 | 23,441 |
| (11,658) | (20,636) | (17,095) | (19,399) | (16,661) | (22,928) | |
| California | 7304 | 3203 | 4492 | - | 1138 | - |
| (2855) | (3193) | (2293) | - | (780) | - | |
| Florida | 20,239 | 26,517 | 31,723 | 610 | 23,544 | 106,009 |
| (4252) | (9822) | (8844) | (578) | (6202) | (96,972) | |
| Georgia | 224,413 | 175,934 | 237,748 | 146,230 | 171,615 | 281,192 |
| (35,891) | (75,331) | (57,697) | (94,814) | (28,698) | (218,679) | |
| Louisiana | 47,346 | 11,487 | 32,728 | 1915 | 45,588 | - |
| (13,169) | (3523) | (8831) | (1121) | (13,977) | - | |
| Mississippi | 54,877 | 72,635 | 49,510 | 52,076 | 149,709 | 106,144 |
| (11,151) | (42,856) | (13,825) | (37,129) | (96,775) | (67,571) | |
| Missouri | 3617 | - | 3898 | - | 1390 | 61,922 |
| (1690) | - | (3772) | - | (990) | (61,327) | |
| N. Carolina | 5567 | 7525 | 3949 | - | 13,528 | - |
| (1,940) | (3471) | (1726) | - | (9843) | - | |
| S. Carolina | 79,775 | 24,997 | 74,929 | 11,934 | 45,587 | 19,384 |
| (27,439) | (6434) | (34,244) | (8918) | (15,085) | (11,641) | |
| Texas | 453,739 | 408,655 | 419,942 | 111,115 | 378,192 | 318,065 |
| (113,841) | (114,610) | (169,141) | (65,798) | (88,380) | (157,954) | |
| Total | 998,201 | 777,795 | 978,462 | 357,091 | 917,112 | 916,157 |
| State | Shouting on Sight | Hunting with Dogs | Hunting without Dogs | Aerial Hunting | Trapping | Other |
|---|---|---|---|---|---|---|
| Alabama | 948,054 | 81,194 | 538,545 | - | 1,890,758 | 155,014 |
| (215,652) | (81,194) | (150,587) | - | (500,216) | (143,494) | |
| Arkansas | 827,460 | 288,800 | - | 676,338 | - | 140,643 |
| (244,125) | - | (398,018) | - | (849,625) | - | |
| California | 109,545 | 191,604 | 68,266 | - | 52,557 | 411,208 |
| (44,432) | (191,604) | (32,354) | - | (51,727) | (404,710) | |
| Florida | 13,720,137 | 189,976 | 898,313 | 30,707 | 1,032,904 | 4,652,323 |
| (12,172,498) | (189,976) | (279,506) | (28,904) | (365,766) | (2,952,480) | |
| Georgia | 6,062,422 | 589,747 | 4,437,536 | 6,523,258 | 7,285,686 | 8,939,669 |
| (846,720) | (589,747) | (799,537) | (3,514,666) | (1,735,686) | (1,686,530) | |
| Louisiana | 787,970 | 186,059 | 430,354 | 105,615 | 963,719 | - |
| (226,904) | (186,059) | (129,365) | (73,015) | (215,999) | - | |
| Mississippi | 1,600,155 | 158,030 | 924,363 | 792,986 | 1,584,500 | 3,660,808 |
| (369,821) | (158,030) | (343,899) | (458,670) | (420,101) | (3,376,688) | |
| Missouri | 127,088 | - | 19,668 | - | 2434 | 1,238,438 |
| (116,833) | - | (12,733) | - | (2411) | (1,226,540) | |
| N. Carolina | 151,739 | 203,233 | 412,554 | - | 509,738 | - |
| (68,202) | (102,800) | (232,572) | - | (482,574) | - | |
| S. Carolina | 1,621,214 | 608,267 | 1,496,982 | 378,235 | 942,739 | 2,817,310 |
| (696,669) | (240,039) | (961,572) | (365,466) | (248,076) | (1,910,934) | |
| Texas | 7,195,859 | 5,531,802 | 6,845,674 | 5,325,809 | 7,309,737 | 6,091,471 |
| (1,748,155) | (1,459,325) | (3,029,989) | (1,014,621) | (1,440,613) | (2,683,279) | |
| Total | 33,151,642 | 10,940,065 | 17,151,607 | 13,832,949 | 23,968,693 | 28,106,885 |
References
- Tisdell, C.A. Wild Pigs: Environmental Pest or Economic Resource? Pergamon Press: New York, NY, USA, 1982. [Google Scholar]
- Briedermann, L. Schwarzwild; VEB Deutscher Landwirtschaftsverlag: Berlin, Germany, 1986. [Google Scholar]
- Heptner, V.G.; Nasimovich, A.A.; Bannikov, A.G.; Hoffmann, R.S. Mammals of the Soviet Union; Smithsonian Institution Libraries and National Science Foundation: Washington, DC, USA, 1988; Volume 1. [Google Scholar]
- VerCauteren, K.C.; Beasley, J.C.; Ditchkoff, S.S.; Mayer, J.J.; Roloff, G.J.; Strickland, B.K. (Eds.) Invasive Wild Pigs in North America: Ecology, Impacts, and Management; CRC Press: Boca Raton, FL, USA, 2020. [Google Scholar]
- Mayer, J.J. Overview of Wild Pig Damage. In Wild Pigs: Biology, Damage, Control Techniques and Management; SRNL-RP-2009-00869; Mayer, J.J., Brisbin, I.L., Jr., Eds.; Savannah River National Laboratory: Aiken, SC, USA, 2009; pp. 221–246. [Google Scholar]
- Strickland, B.K.; Smith, M.D.; Smith, A.L. Wild pig damage to resources. In Invasive Wild Pigs in North America: Ecology, Impacts, and Management; Vercauteren, K.C., Beasley, J.C., Ditchkoff, S.S., Mayer, J.J., Roloff, G.J., Strickland, B.K., Eds.; CRC Press: Boca Raton, FL, USA; Taylor & Francis Group: Boca Raton, FL, USA, 2020; pp. 143–168. [Google Scholar]
- Lowe, S.; Browne, M.; Boudjelas, S.; De Poorter, M. 100 of the World’s Worst Invasive Alien Species: A Selection from the Global Invasive Species Database; Invasive Species Specialist Group, Species Survival Commission, World Conservation Union (IUCN): Auckland, New Zealand, 2000. [Google Scholar]
- Keuling, O.; Podgórski, T.; Monaco, A.; Melletti, M.; Merta, D.; Albrycht, M.; Genov, P.V.; Gethöffer, F.; Vetter, S.G.; Jori, F. Eurasian wild boar Sus scrofa (Linnaeus, 1758). In Ecology, Evolution and Management of Wild Pigs and Peccaries: Implications for Conservation; Melletti, M., Meijaard, E., Eds.; Cambridge University Press: Cambridge, UK, 2018; pp. 202–233. [Google Scholar]
- Lewis, J.S.; Corn, J.L.; Mayer, J.J.; Jordan, T.R.; Farnsworth, M.L.; Burdett, C.L.; VerCauteren, K.C.; Sweeney, S.J.; Miller, R.S. Historical, current, and potential population size estimates of invasive wild pigs (Sus scrofa) in the United States. Biol. Invasions 2019, 21, 2373–2384. [Google Scholar] [CrossRef]
- Brooks, J.E.; Ahmad, E.; Hussain, I.; Khan, M.H. The agricultural importance of the wild boar (Sus scrofa L.) in Pakistan. Trop. Pest Manag. 2008, 35, 278–281. [Google Scholar] [CrossRef]
- Lindblom, S. Distribution of Wild Boar (Sus scrofa) Damage and Harvest Loss in Crop Fields. Master’s Thesis, Swedish University of Agricultural Sciences, Uppsala, Sweden, 2010. [Google Scholar]
- Amici, A.; Serrani, F.; Rossi, C.M.; Primi, R. Increase in crop damage caused by wild boar (Sus scrofa L.): The “refuge effect”. Agron. Sustain. Dev. 2012, 32, 683–692. [Google Scholar] [CrossRef]
- Schön, T. The Cost of Having Wild Boar: Damage to Agriculture in South-Southeast Sweden. Master’s Thesis, Swedish University of Agricultural Sciences, Umeå, Sweden, 2013. [Google Scholar]
- Lombardini, M.; Meriggi, A.; Fozzi, A. Factors influencing wild boar damage to agricultural crops in Sardinia (Italy). Curr. Zool. 2016, 63, 507–514. [Google Scholar] [CrossRef] [PubMed]
- Khattak, R.H.; Teng, L.; Mehmood, T.; Ahmad, S.; Liu, Z. Impacts of the wild boar (Sus scrofa) on the livelihood of rural communities in Pakistan and understanding public attitudes towards wild boars. Animals 2022, 12, 3381. [Google Scholar] [CrossRef] [PubMed]
- Tian, N.; Gan, J.; Holley, G. Assessing feral swine damage in the western gulf region of Arkansas, Louisiana, and Texas. Biol. Invasions 2023, 25, 1527–1540. [Google Scholar] [CrossRef]
- Anderson, A.; Slootmaker, C.; Harper, E.; Holderieath, J.; Shwiff, S.A. Economic estimates of feral swine damage and control in 11 US states. Crop Prot. 2016, 89, 89–94. [Google Scholar] [CrossRef]
- McKee, S.; Anderson, A.; Carlisle, K.; Shwiff, S.A. Economic estimates of invasive wild pig damage to crops in 12 US states. Crop Prot. 2020, 132, 105105. [Google Scholar] [CrossRef]
- Carlisle, K.; Didero, N.M.; McKee, S.; Elser, J.; Shwiff, S.A. Towards a more comprehensive understanding of wild pig (Sus scrofa) impacts on agricultural producers: Insights from a Texas case study. Crop Prot. 2021, 150, 105793. [Google Scholar] [CrossRef]
- Wywialowski, A.P. Agricultural producers’ perceptions of wildlife-caused losses. Wildl. Soc. Bull. 1994, 22, 370–382. [Google Scholar]
- Conover, M.R. Resolving Human-Wildlife Conflicts: The Science of Wildlife Damage Management; CRC Press: Boca Raton, FL, USA, 2001. [Google Scholar]
- Tzilkowski, W.M.; Brittingham, M.C.; Lovallo, M.J. Wildlife damage to corn in Pennsylvania: Farmer and on-the-ground estimates. J. Wildl. Manag. 2002, 66, 678–682. [Google Scholar] [CrossRef]
- Johnson-Nistler, C.M.; Knight, J.E.; Cash, S.D. Considerations related to Richardson’s ground squirrel (Spermophilus richardsonii) control in Montana. Agron. J. 2005, 97, 1460–1464. [Google Scholar] [CrossRef]
- USDA (U.S. Department of Agriculture). History of Feral Swine in the Americas. Maps: Feral Swine Populations by County. U.S. Department of Agriculture, Animal and Plant Health Inspection Service. 2023. Available online: https://www.aphis.usda.gov/aphis/resources/pests-diseases/feral-swine/sa-fs-history (accessed on 2 September 2023).
- Salassi, M.; Cater, M.; Gentry, G. Economic IMPACT of Feral Swine Damage to Agricultural Lands in Louisiana; RR125; LSU AgCenter, Louisiana State University: Baton Rouge, LA, USA, 2022. [Google Scholar]
- MDC (Missouri Department of Conservation). 2021 Missouri Feral Hog Report; Missouri Department of Conservation: Columbus, MO, USA, 2022.
- Tanger, S.M.; Guidry, K.; Nui, H.; Richard, C.; Abreu, M. Dollar Estimates of Feral Hog Damage to Agriculture in Louisiana; Research Information Sheet 113. Agricultural Economics and Agribusiness, LSU AgCenter, Louisiana State University: Baton Rouge, LA, USA, 2015. [Google Scholar]
- Shwiff, S.A.; Ernest, K.L.; Degroot, S.L.; Anderson, A.M.; Shwiff, S.S. Chapter 12. The Economic Impact of Blackbird Damage to Crops. In Ecology and Management of Blackbirds (Icteridae) in North America; CRC Press: Boca Raton, FL, USA, 2017; p. 207. [Google Scholar]
- West, B.C.; Cooper, A.L.; Armstrong, J.B. Managing wild pigs: A technical guide. Hum. Wildl. Interact. Monogr. 2009, 1, 1–54. [Google Scholar]
- Mapston, M.E. Feral Hogs in Texas; Document No. B-6149 5-04. Wildlife Services, Texas Cooperative Extension; Texas A&M University: College Station, TX, USA, 2004. [Google Scholar]
- Beach, R. Depredation problems involving feral hogs. In Feral Swine: A Compendium for Resource Managers; Hanselka, C.W., Cadenhead, J.F., Eds.; Texas Agricultural Extension Service: Kerrville, TX, USA, 1993; pp. 67–75. [Google Scholar]
- Nunley, G. Wildlife Services. In Proceedings of the Feral Swine Symposium, Fort Worth, TX, USA, 2–3 June 1999; p. 19. [Google Scholar]
- Rodriguez, S.L. Understanding Perceptions of the Impact of Feral Hogs on Private Lands in South Carolina: A Report for USDA Natural Resource Conservation Service and the South Carolina Farm Bureau; Clemson University: Clemson, SC, USA, 2016. [Google Scholar]
- Saunders, G.; Bryant, H. The evaluation of a feral pig eradication program during a simulated exotic disease outbreak. Aust. Wildl. Res. 1988, 15, 73–81. [Google Scholar] [CrossRef]
- Geisser, H.; Reyer, H.-U. Efficacy of hunting, feeding, and fencing to reduce crop damage by wild boars. J. Wildl. Manag. 2004, 68, 939–946. [Google Scholar] [CrossRef]
- Giménez-Anaya, A.; Herrero, J.; García-Serrano, A.; Garcíagonzález, R.; Prada, C. Wild boar battues reduce crop damages in a protected area. Folia Zool. 2016, 65, 214–220. [Google Scholar] [CrossRef]
- Mayer, J.J. Estimation of the Number of Wild Pigs Found in the United States; SRNS–STI–2014–00292; Savannah River Nuclear Solutions, LLC, Savannah River Site: Aiken, SC, USA, 2014. [Google Scholar]









| State | Percent of Producers | Lost Profit (in USD) | ||
|---|---|---|---|---|
| Yes | Don’t Know | No | ||
| Alabama | 0.743 | 0.078 | 0.179 | 6,933,718 |
| (0.082) | (0.033) | (0.082) | (926,957) | |
| Arkansas | 0.552 | (D) | 0.370 | 5,265,996 |
| (0.150) | - | (0.160) | (1,132,637) | |
| California | (D) | 0.000 | (D) | (D) |
| - | 0.000 | - | - | |
| Florida | 0.734 | (D) | (D) | 3,497,868 |
| (0.097) | - | - | (967,157) | |
| Georgia | 0.743 | 0.131 | 0.127 | 16,998,240 |
| (0.058) | (0.036) | (0.054) | (2,099,421) | |
| Louisiana | 0.887 | (D) | (D) | 9,922,290 |
| (0.059) | - | - | (2,261,822) | |
| Mississippi | 0.697 | 0.080 | 0.224 | 9,840,681 |
| (0.094) | (0.034) | (0.095) | (2,159,329) | |
| Missouri | (D) | 0.000 | (D) | (D) |
| - | 0.000 | - | - | |
| North Carolina | 0.496 | (D) | 0.476 | 1,431,930 |
| (0.132) | - | (0.135) | (583,963) | |
| South Carolina | 0.787 | 0.060 | 0.154 | 5,332,667 |
| (0.067) | (0.034) | (0.060) | (888,833) | |
| Texas | 0.765 | 0.153 | 0.083 | 60,126,576 |
| (0.050) | (0.046) | (0.020) | (9,806,642) | |
| Total | 0.745 | 0.118 | 0.138 | 121,814,963 |
| (0.030) | (0.023) | (0.021) | (10,796,792) | |
| State | Replant | Harvest | ||||
|---|---|---|---|---|---|---|
| Hours | Expenses (USD) | Total Cost (USD) | Hours | Expenses (USD) | Total Cost (USD) | |
| Alabama | 8144 | 941,997 | 1,074,258 | 32,032 | 561,484 | 1,081,682 |
| Arkansas | 2231 | 1,042,424 | 1,078,659 | 4400 | 974,186 | 1,045,642 |
| California | 122 | 48,611 | 50,584 | 286 | 48,374 | 53,024 |
| Florida | 1707 | 481,168 | 508,886 | 3120 | 1,428,683 | 1,479,350 |
| Georgia | 20,762 | 5,809,384 | 6,146,558 | 38,224 | 6,662,399 | 7,283,164 |
| Louisiana | 4952 | 1,832,891 | 1,913,312 | 6295 | 1,898,741 | 2,000,974 |
| Mississippi | 16,446 | 2,290,654 | 2,557,730 | 6681 | 1,684,616 | 1,793,122 |
| Missouri | 276 | 55,230 | 59,715 | 966 | 155,394 | 171,087 |
| N. Carolina | 382 | 54,388 | 60,594 | 2316 | 2,380,141 | 2,417,751 |
| S. Carolina | 2673 | 509,525 | 552,937 | 6309 | 1,018,675 | 1,121,137 |
| Texas | 28,177 | 3,028,794 | 3,486,390 | 82,711 | 6,060,639 | 7,403,872 |
| Total | 85,872 | 16,095,065 | 17,489,623 | 183,342 | 22,873,332 | 25,850,806 |
| State | Corn | Soybeans | Wheat | Rice | Sorghum | Peanuts |
|---|---|---|---|---|---|---|
| Alabama | 2.13% | 0.45% | 0.64% | 0.00% | 2.09% | 5.93% |
| Arkansas | 0.50% | 0.22% | 0.44% | 0.06% | 0.09% | 0.00% |
| California | 0.08% | 0.00% | 0.00% | 0.00% | 0.00% | 0.00% |
| Florida | 3.34% | 5.93% | (D) | 0.00% | (D) | 1.77% |
| Georgia | 4.79% | 1.72% | 2.85% | (D) | 4.60% | 2.09% |
| Louisiana | 1.35% | 0.44% | 2.36% | 0.91% | 7.43% | (D) |
| Mississippi | 1.73% | 0.31% | 0.43% | 0.27% | (D) | 3.33% |
| Missouri | 0.00% | 0.01% | 0.00% | 0.00% | (D) | (D) |
| North Carolina | 0.18% | 0.16% | 0.04% | 0.00% | 0.00% | 0.22% |
| South Carolina | 1.94% | 0.51% | 1.03% | NA | 11.57% | 1.21% |
| Texas | 1.97% | 1.84% | 2.30% | 8.40% | 1.05% | 0.79% |
| State | Corn | Soybeans | Wheat | Rice | Sorghum | Peanuts | Total |
|---|---|---|---|---|---|---|---|
| Alabama | 5,696,889 | 1,020,547 | 464,167 | - | 18,450 | 11,304,171 | 18,504,225 |
| Arkansas | 3,716,372 | 5,814,927 | 282,582 | 815,914 | 3768 | - | 10,633,562 |
| California | 84,777 | - | 6601 | - | - | - | 91,378 |
| Florida | 1,341,495 | 462,281 | (D) | - | (D) | 2,976,654 | 4,780,430 |
| Georgia | 15,261,240 | 1,545,512 | 884,779 | (D) | 197,461 | 19,617,780 | 37,506,772 |
| Louisiana | 8,344,264 | 4,358,593 | 127,460 | 4,348,746 | 658,077 | (D) | 17,837,139 |
| Mississippi | 11,199,535 | 5,216,330 | 61,075 | 400,027 | (D) | 1,518,186 | 18,395,154 |
| Missouri | 171,538 | 267,062 | - | - | (D) | (D) | 438,600 |
| North Carolina | 1,419,486 | 1,604,568 | 81,164 | - | - | 264,040 | 3,369,259 |
| South Carolina | 5,949,621 | 1,063,670 | 385,514 | - | 425,959 | 1,474,639 | 9,299,403 |
| Texas | 39,041,489 | 1,882,508 | 15,673,896 | 17,005,865 | 7,322,944 | 1,360,196 | 82,286,897 |
| Total | 92,226,706 | 23,235,997 | 17,967,239 | 22,570,552 | 8,626,659 | 38,515,667 | 203,142,819 |
| State | Total Hours | Total Payments | Total Repair Costs |
|---|---|---|---|
| Alabama | 26,525 | 2,278,963 | 2,709,726 |
| (4417) | (459,194) | ||
| Arkansas | 18,110 | 9,852,141 | 10,146,248 |
| (3298) | (5,405,848) | ||
| California | 14,648 | 2,155,798 | 2,393,674 |
| (4045) | (1,160,193) | ||
| Florida | 154,788 | 2,237,760 | 4,751,515 |
| (114,794) | (614,784) | ||
| Georgia | 283,063 | 12,646,987 | 17,243,925 |
| (154,173) | (5,958,331) | ||
| Louisiana | 28,474 | 1,536,884 | 1,999,306 |
| (8174) | (342,523) | ||
| Mississippi | 30,633 | 6,703,409 | 7,200,883 |
| (8515) | (2,435,177) | ||
| Missouri | 4710 | 713,509 | 790,001 |
| (2245) | (398,297) | ||
| North Carolina | 29,241 | 781,022 | 1,255,891 |
| (25,610) | (359,292) | ||
| South Carolina | 40,782 | 2,460,839 | 3,123,138 |
| (12,492) | (516,898) | ||
| Texas | 1,352,694 | 29,383,097 | 51,350,855 |
| (571,694) | (4,981,871) | ||
| Total | 1,983,667 | 70,750,409 | 102,965,161 |
| (603,974) | (9,903,592) |
| State | Total Hours | Total Expenses | Total Control Costs |
|---|---|---|---|
| Alabama | 224,756 | 3,613,565 | 7,263,598 |
| Arkansas | 186,426 | 1,933,241 | 4,960,792 |
| California | 16,137 | 833,180 | 1,095,251 |
| Florida | 208,642 | 20,524,360 | 23,912,701 |
| Georgia | 1,237,132 | 33,838,318 | 53,929,343 |
| Louisiana | 139,064 | 2,473,717 | 4,732,122 |
| Mississippi | 484,951 | 8,720,842 | 16,596,442 |
| Missouri | 70,827 | 1,387,628 | 2,537,859 |
| North Carolina | 30,569 | 1,277,264 | 1,773,703 |
| South Carolina | 256,606 | 7,864,747 | 12,032,028 |
| Texas | 2,089,708 | 38,300,352 | 72,237,208 |
| Total | 4,944,818 | 127,151,841 | 207,455,692 |
| State | Statewide Population Estimate a | ||
|---|---|---|---|
| 2019 | 2020 | 2021 | |
| Alabama | 467.7 [59.0–603.7] | 549.1 [68.5–700.9] | 549.1 [68.5–700.9] |
| Arkansas | 610.1 [66.7–780.9] | 647.3 [70.3–828.0] | 652.1 [70.8–834.0] |
| California | 599.8 [18.7–914.7] | 599.8 [18.7–914.7] | 599.8 [18.7–914.5] |
| Florida | 811.7 [94.8–1030.1] | 812.0 [94.9–1030.6] | 812.0 [94.9–1030.6] |
| Georgia | 410.1 [50.0–738.7] | 994.1 [117.4–1242.3] | 995.0 [117.5–1243.6] |
| Louisiana | 568.1 [67.3–717.7] | 603.3 [71.5–762.3] | 603.3 [71.5–762.4] |
| Mississippi | 374.3 [47.4–488.8] | 387.0 [48.8–504.4] | 428.8 [53.5–554.9] |
| Missouri | 151.1 [14.9–201.7] | 111.5 [11.1–151.3] | 92.0 [9.2–126.2] |
| North Carolina | 164.0 [19.3–218.0] | 166.9 [19.7–222.0] | 168.0 [19.8–223.6] |
| South Carolina | 111.1 [13.7–151.2] | 124.3 [15.4–168.3] | 124.4 [15.4–168.4] |
| Texas | 2941.2 [270.7–3888.9] | 2941.2 [270.7–3888.9] | 2941.2 [270.7–3889.0] |
Disclaimer/Publisher’s Note: The statements, opinions and data contained in all publications are solely those of the individual author(s) and contributor(s) and not of MDPI and/or the editor(s). MDPI and/or the editor(s) disclaim responsibility for any injury to people or property resulting from any ideas, methods, instructions or products referred to in the content. |
© 2024 by the authors. Licensee MDPI, Basel, Switzerland. This article is an open access article distributed under the terms and conditions of the Creative Commons Attribution (CC BY) license (https://creativecommons.org/licenses/by/4.0/).
Share and Cite
McKee, S.C.; Mayer, J.J.; Shwiff, S.A. Comprehensive Economic Impacts of Wild Pigs on Producers of Six Crops in the South-Eastern US and California. Agriculture 2024, 14, 153. https://doi.org/10.3390/agriculture14010153
McKee SC, Mayer JJ, Shwiff SA. Comprehensive Economic Impacts of Wild Pigs on Producers of Six Crops in the South-Eastern US and California. Agriculture. 2024; 14(1):153. https://doi.org/10.3390/agriculture14010153
Chicago/Turabian StyleMcKee, Sophie C., John J. Mayer, and Stephanie A. Shwiff. 2024. "Comprehensive Economic Impacts of Wild Pigs on Producers of Six Crops in the South-Eastern US and California" Agriculture 14, no. 1: 153. https://doi.org/10.3390/agriculture14010153
APA StyleMcKee, S. C., Mayer, J. J., & Shwiff, S. A. (2024). Comprehensive Economic Impacts of Wild Pigs on Producers of Six Crops in the South-Eastern US and California. Agriculture, 14(1), 153. https://doi.org/10.3390/agriculture14010153

