SIMONTO-Pea: Phenological Models to Predict Crop Growth Stages in BBCH of Grain and Green Peas (Pisum sativum) for Temporal Pest Management
Abstract
:1. Introduction
2. Materials and Methods
2.1. Data Sets
2.1.1. Sample Sites
2.1.2. Grain Pea and Green Pea Data Sets
2.2. Data Acquisition
- The sowing date (BBCH 0) was chosen as the starting point for the simulation of the pea growth stages. Sowing dates were provided by the farmers.
- Phenological growth stages using the BBCH scale of peas [6] were recorded on a weekly basis. To develop practically applicable models, the data sets for grain peas had the maximum BBCH 89, whereas for green peas the maximum was BBCH 79, because green peas are usually harvested before.
- The hourly air temperature [°C] data were interpolated data from weather stations located nearby the sample sites [30,31]. The weather data are provided by weather stations from the German Weather Service and the federal states of Germany. The interpolations are calculated for each km2 throughout Germany.
- The geographical coordinates of a given sample site were used to calculate the photoperiod for the daily possible development rate. They were linked to the Solar Calculator [32] to precisely calculate the site-specific photoperiod.
2.3. Model Development
2.3.1. Development Rate According to Air Temperature and Photoperiod
| DRd | = | Daily plant development rate; |
| DR(T) | = | Development rate as a function of air temperature; |
| DR(P) | = | Development rate as a function of relative photoperiod. |
| DR(T,P) | = | Development rate as a function of air temperature (DR(T)) and relative photoperiod (DR(P)); |
| DRopt | = | Optimum development rate; |
| Y | = | Air temperature or relative photoperiod; |
| Ymin | = | Minimum air temperature or rel. photoperiod for plant development; |
| Yopt | = | Optimum air temperature or rel. photoperiod for plant development; |
| Ymax | = | Maximum air temperature or rel. photoperiod for plant development; |
| n | = | Equation parameter. |
| BBCH x | = | Crop growth stage; |
| ∑DRd | = | Cumulated daily development rate from sowing date to BBCH x. |
2.3.2. BBCH and Index Stages
2.3.3. Gompertz Regression
| a | = | Y-axis intercept; |
| b | = | Slope; |
| ∑DRd | = | Cumulated daily development rate from the sowing date to date x; |
| Indexmax | = | 57 and 48 for grain and green peas, respectively. |
2.4. Validation
2.4.1. Linear Regression
2.4.2. Praxis Validation
2.4.3. Root-Mean-Square Error
| y′i | = | Predicted index stages or date; |
| yi | = | Observed index stages or date; |
| n | = | Number of observations. |
3. Results
3.1. Model Development
3.1.1. Index Stages
3.1.2. BBCH Stages
3.2. Validation
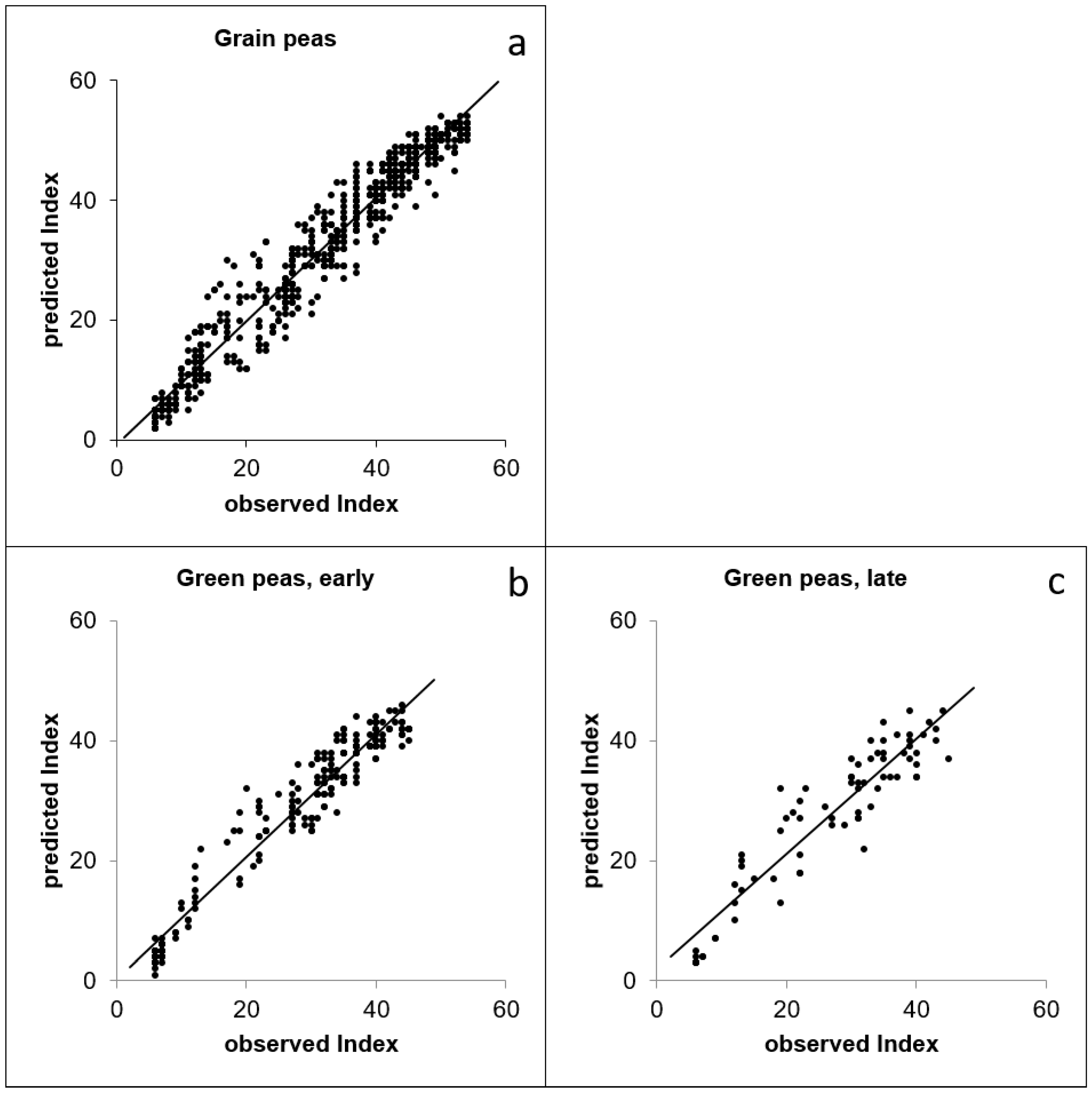
3.2.1. Linear Regression
3.2.2. Praxis Validation
3.2.3. Root-Mean-Square Error
4. Discussion
4.1. Model Development
4.2. Validation
4.3. General Discussion
5. Conclusions
Author Contributions
Funding
Institutional Review Board Statement
Data Availability Statement
Acknowledgments
Conflicts of Interest
References
- BMEL (Ed.) Umsetzung der EU-Agrarreform in Deutschland; Bundesministerium für Ernährung und Landwirtschaft: Berlin, Germany, 2015. [Google Scholar]
- Jacobs, A.; Koch, H.-J.; Märländer, B. Preceding crops influence agronomic efficiency in sugar beet cultivation. Agron. Sustain. Dev. 2018, 38, 2. [Google Scholar] [CrossRef]
- Federal Statistical Office Germany. Wachstum und Ernte -Feldfrüchte-. 2017. Available online: https://www.destatis.de/DE/Home/_inhalt.html (accessed on 11 November 2023).
- Ritchie, J.T.; Nesmith, D.S. Temperature and Crop Development. In Modeling Plant and Soil Systems; Hanks, R.J., Ritchie, J.T., Eds.; American Society of Agronomy: Madison, WI, USA, 1991; pp. 5–29. ISBN 9780891182238. [Google Scholar]
- Zadoks, J.C.; Chang, T.T.; Konzak, C.F. A decimal code for the growth stages of cereals. Weed Res. 1974, 14, 415–421. [Google Scholar] [CrossRef]
- Meier, U.; Bleiholder, H.; Buhr, L.; Feller, C.; Hack, H.; Heß, M.; Lancashire, P.D.; Schnock, U.; Stauß, R.; van den Boom, T.; et al. The BBCH system to coding the phenological growth stages of plants—History and publications. J. Kult. 2009, 61, 41–52. [Google Scholar]
- Knott, C. A key for stages of development of the pea (Pisum sativum). Ann. Appl. Biol. 1987, 111, 233–244. [Google Scholar] [CrossRef]
- Meier, U. Growth Stages of Mono-and Dicotyledonous Plants, 2nd ed.; Federal Biological Research Centre for Agriculture and Forestry: Braunschweig, Germany, 2001. [Google Scholar]
- Weber, E.; Bleiholder, H. Erläuterungen zu den BBCH-Dezimal-Codes für die Entwicklungsstadien von Mais, Raps, Faba-Bohne, Sonnenblume und Erbse—Mit Abbildungen. Gesunde Pflanze 1990, 42, 308–321. [Google Scholar]
- Lancashire, P.D.; Bleiholder, H.; van den Boom, T.; Langelüddeke, P.; Stauß, R.; Weber, E.; Witzenberger, A. A uniform decimal code for growth stages of crops and weeds. Ann. Appl. Biol. 1991, 119, 561–601. [Google Scholar] [CrossRef]
- Doré, T.; Meynard, J.M. On-farm analysis of attacks by the pea weevil (Sitona lineatus L.; Col., Curculionidae) and the resulting damage to pea (Pisum sativum L.) crops. J. Appl. Entomol. 1995, 119, 49–54. [Google Scholar] [CrossRef]
- Biddle, A.J.; Cattlin, N.D.; Kraft, J.M. Pests, Diseases, and Disorders of Peas and Beans: A Colour Handbook; Manson: London, UK, 2007; ISBN 9781840760187. [Google Scholar]
- Hill, D.S. Agricultural Insect Pests of Temperate Regions and Their Control; 1. publ; Cambridge University Press: Cambridge, UK, 1987; ISBN 0521240131. [Google Scholar]
- Thöming, G.; Norli, H.R.; Saucke, H.; Knudsen, G.K. Pea plant volatiles guide host location behaviour in the pea moth. Arthropod-Plant Interact. 2014, 8, 109–122. [Google Scholar] [CrossRef]
- Langenbuch, R. Zur Biologie des Erbsenwicklers Grapholitha nigricana Steph. Arb. Physiol. Angew. Entomol. 1941, 6, 219–245. [Google Scholar]
- Knudsen, G.K.; Tasin, M.; Aak, A.; Thöming, G. A Wind Tunnel for Odor Mediated Insect Behavioural Assays. J. Vis. Exp. 2018, 141, e58385. [Google Scholar] [CrossRef]
- Hoffmann, G.M.; Schmutterer, H. Parasitäre Krankheiten und Schädlinge an Landwirtschaftlichen Kulturpflanzen, 2nd ed.; Verlag Eugen Ulmer GmbH & Co.: Stuttgart, Germany, 1999; ISBN 9783800132072. [Google Scholar]
- Johnen, T.; Böttcher, U.; Kage, H. A variable thermal time of the double ridge to flag leaf emergence phase improves the predictive quality of a CERES-Wheat type phenology model. Comput. Electron. Agric. 2012, 89, 62–69. [Google Scholar] [CrossRef]
- Böttcher, U.; Rampin, E.; Hartmann, K.; Zanetti, F.; Flenet, F.; Morison, M.; Kage, H. A phenological model of winter oilseed rape according to the BBCH scale. Crop Pasture Sci. 2016, 67, 345–358. [Google Scholar] [CrossRef]
- Roßberg, D.; Jörg, E.; Falke, K. SIMONTO—Ein neues Ontogenesemodell für Wintergetreide und Winterraps. Nachrichtenblatt Dtsch. Pflanzenschutzdienstes 2005, 57, 74–80. [Google Scholar]
- Falke, K.; Racca, P. Darstellung der Schaderreger-Infektions-Gefahr (SIG) im Getreide in Form von Risikokarten. In Proceedings of the Conference Proceedings. 57. Deutsche Pflanzenschutztagung, Berlin, Germany, 6–9 September 2010; Julius Kühn-Institute, Ed.; Julius Kühn-Institute: Quedlinburg, Germany, 2010; pp. 136–137, ISBN 978-3-930037-68-1. [Google Scholar] [CrossRef]
- Racca, P.; Tschöpe, B. SIMONTO-Lupin: An ontogenetic simulation model for lupin species (Lupinus angustifolius, L. luteus and L. albus). J. Kult. 2011, 63, 333–339. [Google Scholar]
- Bourgeois, G.; Jenni, S.; Laurence, H.; Tremblay, N. Improving the Prediction of Processing Pea Maturity Based on the Growing-degree Day Approach. HortScience 2000, 35, 611–614. [Google Scholar] [CrossRef]
- Ney, B.; Turc, O. Heat-Unit-Based Description of the Reproductive Development of Pea. Crop Sci. 1993, 33, 510. [Google Scholar] [CrossRef]
- Oliveira, E.C.D.; Costa, J.M.N.D.; Paula Júnior, T.J.D.; Ferreira, W.P.M.; Justino, F.B.; Neves, L.D.O. The performance of the CROPGRO model for bean (Phaseolus vulgaris L.) yield simulation. Acta Sci. Agron. 2012, 34, 239–246. [Google Scholar] [CrossRef]
- Biarnès, V.; Lecoeur, J.; Jeuffroy, M.-H.; Vocanson, A.; Ney, B. 8 A model which integrates knowledge on pea crop physiology and agronomic diagnosis. In Physiology of the Pea Crop, 1st ed.; Munier-Jolain, N., Biarnès, V., Chaillet, I., Lecoeur, J., Jeuffroy, M.-H., Eds.; CRC Press: Enfield, NH, USA, 2010; pp. 201–211. ISBN 9781578085705. [Google Scholar]
- Olivier, F.C.; Annandale, J.G. Thermal time requirements for the developmnet of green pea. Field Crops Res. 1998, 56, 301–307. [Google Scholar] [CrossRef]
- Dingle Robertson, L.; McNairn, H.; Jiao, X.; McNairn, C.; Ihuoma, S.O. Monitoring Crops Using Compact Polarimetry and the RADARSAT Constellation Mission. Can. J. Remote Sens. 2022, 48, 793–813. [Google Scholar] [CrossRef]
- Gao, F.; Zhang, X. Mapping Crop Phenology in Near Real-Time Using Satellite Remote Sensing: Challenges and Opportunities. J. Remote Sens. 2021, 2021, 1–14. [Google Scholar] [CrossRef]
- Zeuner, T. Landwirtschaftliche Schaderregerprognose mit Hilfe von Geographischen Informationssystemen. Ph.D. Thesis, Johannes Gutenberg Universität Mainz, Mainz, Germany, 2007. [Google Scholar]
- Racca, P.; Zeuner, T.; Jung, J.; Kleinhenz, B. Model Validation and Use of Geographic Information Systems in Crop Protection Warning Service. In Precision Crop Protection—The Challenge and Use of Heterogeneity, 1st ed.; Oerke, E.-C., Gerhards, R., Menz, G., Sikora, R.A., Eds.; Springer: Dordrecht, The Netherlands, 2010; pp. 259–276. ISBN 978-90-481-9276-2. [Google Scholar]
- NOAA. Solar Calculator. Available online: https://www.esrl.noaa.gov/gmd/grad/solcalc/calcdetails.html (accessed on 11 November 2023).
- Berry, J.; Björkman, O. Photosynthetic Response and Adaptation to Temperature in Higher Plants. Annu. Rev. Plant Physiol. 1980, 31, 491–543. [Google Scholar] [CrossRef]
- Berry, J.A. Adaptation of photosynthetic processes to stress. Science 1975, 188, 644–650. [Google Scholar] [CrossRef] [PubMed]
- Geiger, D.R. General Lighting Requirements for Photosynthesis. In International Lighting in Controlled Environments Workshop; Tibbitts, T.W., Ed.; NASA Tech Proceeding No. NASA-CP-95-3309; University of Wisconsin: Madison, WI, USA, 1994; pp. 3–18. [Google Scholar]
- Dawson, T. Plant Ecophysiology: Integrative Biology 151; Lecture Topic 6; College of Letters and Science, University of California: Berkeley, CA, USA, 2015. [Google Scholar]
- Hau, B. Ein Erweitertes Analytisches Modell für Epidemien von Pflanzenkrankheiten; Habilitation; Justus-Liebig-Universität Gießen: Gießen, Germany, 1988. [Google Scholar]
- Gompertz, B. On the Nature of the Function Expressive of the Law of Human Mortality, and on a New Mode of Determining the Value of Life Contingencies. Philos. Trans. R. Soc. Lond. 1825, 115, 513–583. [Google Scholar]
- Summerfield, R.J.; Roberts, E.H. Photo-thermal regulation of flowering in pea, lentil, faba bean and chickpea. In World Crops: Cool Season Food Legumes: A Global Perspective of the Problems and Prospects for Crop Improvement in Pea, Lentil, Faba Bean and Chickpea; Summerfield, R.J., Ed.; Springer: Dordrecht, The Netherlands, 1988; pp. 911–922. ISBN 978-94-010-7742-2. [Google Scholar]
- Roche, R.; Jeuffroy, M.-H.; Ney, B. Comparison of different models predicting the date of beginning of flowering in pea (Pisum sativum L.). Ecol. Model. 1999, 118, 213–226. [Google Scholar] [CrossRef]
- Kirby, E.J.M.; Weightman, R.M. Discrepancies between observed and predicted growth stages in wheat. J. Agric. Sci. 1997, 129, 379–384. [Google Scholar] [CrossRef]
- Informationssystem für Die Lntegrierte Pflanzenproduktion e. V. Available online: www.isip.de (accessed on 11 November 2023).
- Racca, P.; Kakau, J.; Kleinhenz, B.; Kuhn, C. Impact of climate change on the phenological development of winter wheat, sugar beet and winter oilseed rape in Lower Saxony, Germany. J. Plant Dis. Prot. 2015, 122, 16–27. [Google Scholar] [CrossRef]






| Data Sets (Sites) | Observations | Model Development | Validation | |
|---|---|---|---|---|
| Grain peas | 225 | 2518 | 1848 | 670 |
| Green peas, early | 141 | 847 | 644 | 203 |
| Green peas, late | 49 | 312 | 239 | 73 |
| Sum | 415 | 3677 | 2731 | 946 |
| BBCH | Index | BBCH | Index | BBCH | Index | BBCH | Index |
|---|---|---|---|---|---|---|---|
| 0 | 0 | 18 | 15 | 60 | 30 | 76 | 45 |
| 1 | 1 | 19 | 16 | 61 | 31 | 77 | 46 |
| 3 | 2 | 30 | 17 | 62 | 32 | 78 | 47 |
| 5 | 3 | 31 | 18 | 63 | 33 | 79 | 48 |
| 7 | 4 | 32 | 19 | 64 | 34 | 81 | 49 |
| 8 | 5 | 33 | 20 | 65 | 35 | 82 | 50 |
| 9 | 6 | 34 | 21 | 66 | 36 | 83 | 51 |
| 10 | 7 | 35 | 22 | 67 | 37 | 84 | 52 |
| 11 | 8 | 36 | 23 | 68 | 38 | 85 | 53 |
| 12 | 9 | 37 | 24 | 69 | 39 | 86 | 54 |
| 13 | 10 | 38 | 25 | 71 | 40 | 87 | 55 |
| 14 | 11 | 39 | 26 | 72 | 41 | 88 | 56 |
| 15 | 12 | 51 | 27 | 73 | 42 | 89 | 57 |
| 16 | 13 | 55 | 28 | 74 | 43 | ||
| 17 | 14 | 59 | 29 | 75 | 44 |
| a | b | SD | R2N | p | Pr Chi2 | n | |
|---|---|---|---|---|---|---|---|
| Grain peas | −1.28 *** | 0.14 *** | 0.001 | 0.47 | <0.0001 | <0.0001 | 1848 |
| Green peas, early | −1.46 *** | 0.22 *** | 0.002 | 0.55 | <0.0001 | <0.0001 | 644 |
| Green peas, late | −1.44 *** | 0.19 *** | 0.003 | 0.48 | <0.0001 | <0.0001 | 239 |
| Intercept | Slope | p | R2 | n | |
|---|---|---|---|---|---|
| Grain peas | −0.71 * | 1.03 *** | <0.0001 | 0.95 | 670 |
| Green peas, early | 0.09 n.s. | 1.02 *** | <0.0001 | 0.94 | 203 |
| Green peas, late | 1.89 n.s. | 0.96 *** | <0.0001 | 0.86 | 73 |
| Too Early | Correct | Too Late | n | |
|---|---|---|---|---|
| Grain peas | 9.1% | 77.6% | 13.3% | 670 |
| Green peas, early | 4.4% | 85.7% | 9.9% | 203 |
| Green peas, late | 11.0% | 82.2% | 6.8% | 73 |
| RMSEIndex | RMSEdays | n | |
|---|---|---|---|
| Grain peas | 3.4 | 6.7 | 670 |
| Green peas, early | 3.4 | 5.3 | 203 |
| Green peas, late | 4.5 | 6.4 | 73 |
Disclaimer/Publisher’s Note: The statements, opinions and data contained in all publications are solely those of the individual author(s) and contributor(s) and not of MDPI and/or the editor(s). MDPI and/or the editor(s) disclaim responsibility for any injury to people or property resulting from any ideas, methods, instructions or products referred to in the content. |
© 2023 by the authors. Licensee MDPI, Basel, Switzerland. This article is an open access article distributed under the terms and conditions of the Creative Commons Attribution (CC BY) license (https://creativecommons.org/licenses/by/4.0/).
Share and Cite
Schieler, M.; Riemer, N.; Kleinhenz, B.; Saucke, H.; Veith, M.; Racca, P. SIMONTO-Pea: Phenological Models to Predict Crop Growth Stages in BBCH of Grain and Green Peas (Pisum sativum) for Temporal Pest Management. Agriculture 2024, 14, 15. https://doi.org/10.3390/agriculture14010015
Schieler M, Riemer N, Kleinhenz B, Saucke H, Veith M, Racca P. SIMONTO-Pea: Phenological Models to Predict Crop Growth Stages in BBCH of Grain and Green Peas (Pisum sativum) for Temporal Pest Management. Agriculture. 2024; 14(1):15. https://doi.org/10.3390/agriculture14010015
Chicago/Turabian StyleSchieler, Manuela, Natalia Riemer, Benno Kleinhenz, Helmut Saucke, Michael Veith, and Paolo Racca. 2024. "SIMONTO-Pea: Phenological Models to Predict Crop Growth Stages in BBCH of Grain and Green Peas (Pisum sativum) for Temporal Pest Management" Agriculture 14, no. 1: 15. https://doi.org/10.3390/agriculture14010015
APA StyleSchieler, M., Riemer, N., Kleinhenz, B., Saucke, H., Veith, M., & Racca, P. (2024). SIMONTO-Pea: Phenological Models to Predict Crop Growth Stages in BBCH of Grain and Green Peas (Pisum sativum) for Temporal Pest Management. Agriculture, 14(1), 15. https://doi.org/10.3390/agriculture14010015

