Next Article in Journal
A Global Forecasting Approach to Large-Scale Crop Production Prediction with Time Series Transformers
Previous Article in Journal
Modulation of the Irrigation Practices in Croatia for More Sustainable Olive Growing
Previous Article in Special Issue
Agronomic, Physiological, Genetic and Phytochemical Characteristics of Onion Varieties Influenced by Daylength Requirements
 
 
Font Type:
Arial Georgia Verdana
Font Size:
Aa Aa Aa
Line Spacing:
Column Width:
Background:
Article

The Impact of Salinity on Growth, Physio-Biochemical Characteristics, and Quality of Urospermum picroides and Reichardia picroides Plants in Varied Cultivation Regimes

by
Nikolina Vidalis
1,
Maria Kourkouvela
1,
Dimitrios-Christos Argyris
1,
Georgios Liakopoulos
2,
Alexios Alexopoulos
3,
Spyridon A. Petropoulos
4 and
Ioannis Karapanos
1,*
1
Laboratory of Vegetable Production, Department of Crop Science, Agricultural University of Athens, Iera Odos 75, 11855 Athens, Greece
2
Laboratory of Plant Physiology and Morphology, Department of Crop Science, Agricultural University of Athens, Iera Odos 75, 11855 Athens, Greece
3
Laboratory of Agronomy, Department of Agriculture, University of the Peloponnese, Antikalamos, 24100 Kalamata, Greece
4
Department of Agriculture Crop Production and Rural Environment, University of Thessaly, Fytokou Street, 38446 Volos, Greece
*
Author to whom correspondence should be addressed.
Agriculture 2023, 13(9), 1852; https://doi.org/10.3390/agriculture13091852
Submission received: 3 August 2023 / Revised: 7 September 2023 / Accepted: 14 September 2023 / Published: 21 September 2023

Abstract

Salinity stress is severely affecting modern horticulture and puts food security under threat for current and future generations. The aim of the present study was to evaluate the effect of saline conditions (three salinity levels: 2.0, 5.0 and 10.0 dS m−1) on the growth, physiological processes and quality of two wild edible species (Urospermum picroides and Reichardia picroides) grown under three different cropping systems (pots indoors (GP) and outdoors (FP); and floating hydroponics (FH)). Our results indicate that high salinity affected growth parameters in all the studied cropping systems in the case of U. picroides, whereas R. picroides was not affected only when grown in pots outdoors. Moreover, total soluble solids content and titratable acidity in both species were not affected by high salinity for any of the cropping systems, except for in the case of FP system. Similarly, carotenoids content decreased under high salinity when both species were grown in the FP system. A varied effect was recorded for total phenolic compounds content in response to salinity levels, although the FP system resulted in considerably higher phenolics accumulation in both species, while proline content increased when plants were subjected to high salinity, regardless of the cropping system. The antioxidant activity also varied among the studied treatments for both assays (TEAC and FRAP), although cultivation outdoors in pots resulted in considerably higher values compared to the other systems. Finally, nitrate content showed decreasing trends with increasing salinity in plants grown in the GP (both species) and FP system (only U. picroides), whereas no significant differences in physiological parameters in comparison to the control treatment were recorded, except for the stomatal conductance (FP and GP system) and transpiration rate (FP) of R. picroides plants. In conclusion, it seems that the tested plant species responded differently to the salinity treatments but they both displayed a lack of severe stress even at high salinity.

1. Introduction

Soil salinization and the quality degradation of irrigation water due to climate change and anthropogenic activities is imminent, with severe impact on crop production and food security around the globe [1,2,3]. Most of the conventional crops, especially important staple food crops, are susceptible to saline conditions with significant implications on the obtained yields and the income of farmers [4]. Therefore, modern agriculture has to reconsider the well-established practices of the past and try to shift to more sustainable and environmentally friendly ones, focusing on novel agronomic tools and on species that are resilient to salinity stress such as halophytes and wild edible plants [5,6,7].
Several recent studies have highlighted the importance of introducing new alternative species into the existing farming systems aiming to increase agrobiodiversity and also allow farmers to overcome harsh environmental conditions that are prohibitive for the cultivation of conventional crops [8,9]. Especially in the Mediterranean basin, there are numerous wild species that have been used for human consumption throughout the centuries and they are an integral part of local gastronomy [10,11,12]. However, considering that the common practice so far has been to collect these species from the wild raises major concerns regarding the threat of genetic erosion and the ecosystems’ disruption due to irrational harvesting. For this purpose, gaining knowledge about the commercial cultivation of wild edible species is necessary to establish a valid and sustainable value chain and allow their integration into the existing farming systems [13,14,15].
Recent studies highlighted the potential of cultivating various wild species under saline conditions including Cichorium spinosum [16,17,18], Crithmum maritimum [19] and Chenopodium album [20,21] among others. Urospermum picroides (L.) Scop. Ex F.W.Schmidt (prickly goldenfleece) and Reichardia picroides (L.) Roth (common brighteyes), are two wild edible species that have attracted the interest of researchers for their systematic cultivation either in soil mixtures/substrates under cover [22] or in hydroponic systems [23]. Both of them belong to the Asteraceae family, they are rich sources of phenolic compounds and various antioxidants and are commonly used in the Mediterranean diet in various forms [24,25]. They are known for their ability to grow in different environments, and, in many cases, show remarkable adaptability to stressful conditions, either from the climate (e.g., high temperatures and drought), or from the soil (e.g., low pH and high salinity) [23,26,27,28]. Recently, the effect of low pH [29] and high salinity levels [23,29,30] on the growth, yield and quality of these species showed promising results regarding the tolerance of the species to unfavorable conditions.
So far, most of the studies regarding wild edible species refer to greenhouse experiments using hydroponic systems [23,31,32,33], pots [34,35] and soil [36], or field cultivation [37,38,39]. However, more research is needed on the comparison of different cropping systems to evaluate their effect on plant performance, especially in the small-scale farming systems of Mediterranean rural areas [40], while special attentions should be paid to chemical composition and bioactive properties in comparison to plants collected from the wild [39,41,42]. Considering that wild edible species have low input requirements, the evaluation of their performance under different cropping systems of varied intensity (e.g., greenhouse vs. field cultivation or hydroponics vs. cropping in growth substrates) needs to be studied in order to reveal their potential for commercial cultivation, especially under unfavorable conditions (e.g., salinity stress). In hydroponic floating systems, the exposure of plants to stress conditions, such as low pH or high concentration of salts in the nutrient solution, is immediate and gives a measure of the resistance of plants to specific abiotic stressors [43]. In contrast, the gradual exposure of plants to high salinity conditions, e.g., through irrigation with saline water in the soil or soilless substrates, may allow the gradual adaptation of plants to these conditions due to the gradual build-up of salts in the growing medium [44,45]. In addition, cultivation practices related to climate conditions (e.g., cropping under cover or in the open field, in substrates or in hydroponic systems) may affect the growth, production and quality characteristics of plants and particularly the concentration of substances with medicinal properties [46,47]. Differences in temperature and lighting (e.g., light intensity, wavelength) between indoor and outdoor cultivation may affect both the physiology of plant growth and the composition of secondary metabolites linked to the medicinal properties of the plants [48]. At the same time, the presence of organic matter in growth substrates (such as peat), in addition to the concentration and availability of inorganic nutrients and water, may significantly affect plant physiology and growth [49]. The changes observed in plants subjected to high salinity stress differ according to climate (e.g., temperature, light) not only in terms of photosynthesis and transpiration [49] but also in functions linked to the secondary metabolism as well [29,30]. Therefore, cropping systems and cultivation practices may significantly differentiate plants’ response to high salinity where the absorption of water and consequently of salts depends significantly on the conditions that determine the rate of evaporation of water through stomata [48].
To date, there are limited data regarding the comparative study of the growth, production and quality of the plants under different cultivation systems, e.g., grown under cover or in the open field, or grown in substrates or in a floating hydroponic system. Therefore, increasing the knowledge about the requirements needed for their commercial cultivation is important in order to define the conditions that facilitate increased plant growth without compromising the quality and nutritional value of their edible leaves. The aim of the present study was to evaluate the effect of saline conditions on plant growth, chemical composition and the physiological processes of U. picroides and R. picroides grown in pots (indoors and outdoors) or in a floating hydroponic system (indoors). The studied cropping systems were chosen to reveal the effect of the direct exposure of plants to salinity stress (e.g., in the hydroponic floating system) compared to cropping in growth substrates, as well as to evaluate the effect of growing the studied species indoors and outdoors in the same growth substrate. The presented results will provide new information regarding the cultivation of these species under soilless conditions and reveal the effect that growing conditions may have on the tested parameters.

2. Materials and Methods

2.1. Plant Material, Experimental Treatments and Conditions during Cropping

Plants of Urospermum picroides (U. picroides hereafter) and Reichardia picroides (R. picroides hereafter), were cultivated in the heated glasshouse and the experimental field of the Laboratory of Vegetable Production at the Agricultural University of Athens, Greece (37°58′55.83″ N, 23°42′16.69″ E), from mid-August 2021 to early December 2021. Seeds of both species were sown in 150-cell styrofoam sowing trays filled with white peat bedding substrate (Klassmann-Deilmann TS1, Geeste, Germany, pH 6.0, with P and K base fertilization without N addition) on 24 August 2021 and then they were placed in the glasshouse. Sowing trays were regularly irrigated and after the formation of the second true leaf were fertigated with nutrient solution according to Chatzigianni et al. [50], formulated as follows: 11.5 mM NO3, 1.5 mM NH4, 7.5 mM K, 4.4 mM Ca, 1.5 mM Mg, 1.2 mM H2PO4, 4.8 mM SO4, 30.0 μΜ Β, 15.0 μΜ Fe, 8.0 μM Mn, 6.0 μΜ Zn, 0.7 μM Cu and 0.5 μΜ Mo (E.C. 2.0 dS m−1, pH 5.6).
Both species were grown under three cropping systems, namely, cultivation in pots in the greenhouse (GP hereafter), in pots at the field (FP) and in a floating hydroponic system in the greenhouse (FH). In particular, transplantation took place at the 3 true-leaf stage (at 5 October 2021; 41 days after sowing (DAS)) in either 3 L pots filled with a 2:1 (v:v) mixture of white peat bedding substrate (Klassmann-Deilmann TS1) and agricultural perlite (Perloflor, Isocon S.A., Athens, Greece) or in 54-cell styrofoam sowing trays with cell dimensions of 5 cm × 5 cm × 5 cm, as previously described by Alexopoulos et al. [29,30] for hydroponic production. After transplantation half the pots remained in the greenhouse (same conditions as in the case of the hydroponic system), while the rest were placed outdoors (field conditions). For hydroponic cultivation, sowing trays were placed in 160 L containers (0.8 m length × 0.5 m width × 0.4 m height), filled with 100 L of the same nutrient solution used for the fertigation of plants. Nutrient solution was regularly replenished and permanently supplied with air using air pumps.
Immediately after transplantation, three salinity treatments were implemented with different EC (electrical conductivity) values of the nutrient solution used for the fertigation of the plants in the three cropping systems, achieved by adding different amounts of NaCl. The EC levels studied were 2.0 dS m−1 (EC-2—control: nutrient solution EC without any NaCl addition), 5.0 dS m−1 (EC-5) and 10.0 dS m−1 (EC-10).
Throughout the growing period, mean daily temperatures in the greenhouse ranged between 19 and 25 °C, whereas mean maximum and minimum temperatures were 31.2 and 15.5 °C, respectively, ranging between 22.4 and 37.7 °C (maximum) and 12.8 and 18.8 °C (minimum), with the use of ventilation and heating. In the field, the following temperatures were recorded: 13–20 °C mean daily temperature range, 26.3 °C mean maximum temperature, ranging between 16.0 and 37.7 °C, and 12.2 °C mean minimum temperature, ranging between 9.0 and 18.7 °C. In the same period, maximum values of solar radiation in the field ranged between 211 and 942 W/m2, whereas mean daily values ranged between 21.6 and 173.0 W/m2, with an average for the total growing period of 108.2 W/m2. The respective values of solar radiation inside the greenhouse were found to be 25–30% lower than those in the field. Temperature and solar radiation values in the field were obtained from an automatic weather station of the NOANN network of the National Observatory of Athens, Greece [51], whereas those inside the greenhouse were recorded on 10 min basis, using a Hobo Weather Station (Onset Copr., Bourne, MA, USA). In the case of floating hydroponics, the pH and EC values of the nutrient solution within the containers was monitored every 3 days. EC showed an insignificant increase of 0.2 dS m−1 towards the end of the experimental period whereas pH remained constant in all EC treatments and in both species throughout the experiment.
The experiment was performed using a two-factorial (growing system × EC level) completely randomized design (CRD), comprising three treatments per factor (growing system: GP, FP and FH and EC level: EC-2, EC-5, EC-10), and five replications comprising 8 plants each (360 plants in total for each species).
Harvest was applied according to plant phenology and when the rosette reached a marketable size (e.g., plants adequately grown, prior to the flowering stage whilst all the leaves were still green and tender and older leaves did not show any wilting, yellowing or senescence) [29]. In particular, U. picroides plants were harvested the same day in all treatments (on 3 November 2021—69 DAS), whereas in R. picroides harvesting took place on 21 November 2021 (88 DAS) and 9 November 2021 (76 DAS) in the case of field (FP) and greenhouse (GP and FH) grown plants, respectively.

2.2. Growth Parameters

For the assessment of growth parameters, 8 plants from each replication were used. The tested parameters included the number of leaves, leaf area using a LiCor 3100C leaf area meter (LiCor Environmental, Lincoln, NE, USA) and fresh leaf weight (using a PM 3600 analytical balance, Mettler-Toledo, Columbus, OH, USA). Moreover, leaves from 4 plants were used separately for the determination of dry leaf weight and dry weight percentage, after drying at 85 °C until constant weight. The leaves from the rest of the plants (4 plants) were pooled in one batch and stored at −80 °C until further chemical analyses. Leaf mass per area (LMA) was calculated after dividing leaf dry weight by the respective leaf area of each plant and was expressed as mg cm−2.

2.3. Chemical Analyses in Leaves

The content of leaves in total soluble solids (TSSC), titratable acidity (TA), total phenolic compounds (TPC), proline and nitrates was determined as previously described [52,53,54], while the content of pigments (chlorophylls and carotenoids) in leaves was quantified as previously described in the literature [53,55,56].
Total antioxidant activity (TAA) of leaves was measured based on the protocols for the TEAC (Trolox Equivalent Antioxidant Capacity—[57]) and FRAP (Ferric Reducing Antioxidant Power—[58]) assays, using the methanolic extracts obtained from the assays for the quantification of total phenolic compounds, following the Folin–Ciocalteu protocol after slight modifications [29].

2.4. Chlorophyll Fluorescence and Leaf Gas Exchange

Measurements were performed in fully developed leaves of U. picroides and R. picroides plants at 68 and 73 DAS, respectively, at 8:00 a.m. and 12:00 a.m. Chlorophyll fluorescence and gas exchange measurements were performed on the same leaves. The in vivo chlorophyll fluorescence parameters were recorded using pulse amplitude modulated fluorometry to study light-response curves of PSII photochemical parameters using a portable chlorophyll fluorometer (PAM 2100, Walz GmbH, Effeltrich, Gemany). Each leaf was acclimated for 30 min before the measurements were taken, using dark leaf clips. After dark adaptation, the PAM measuring light (650 nm; PFD ca. 0.15 μmol quanta m−2 s−1; kept steady during all experiments) was turned on and the minimal fluorescence value in the dark-adapted state (F0) was recorded. Subsequently, a 0.8 s saturation pulse (ca. PFD 15,000 μmol quanta m−2 s−1) was applied for the recording of the maximal fluorescence in the dark-adapted state (Fm). Afterwards, various actinic light intensities (using the halogen lamp of the instrument; white light) were applied, at PAR photon flux density (PFD) between ca. 50 and 1100 μmol quanta m−2 s−1 (steady state was accomplished by applying each light intensity for 30 s) to create light response curves. For each light level, maximum fluorescence in the light (Fm′) and steady state fluorescence (Fs) were determined. Maximum (intrinsic) quantum yield of PSII photochemistry was calculated as ΦPSIIo = Fv/Fm, where Fv = Fm − F0. Effective quantum yield of PSII photochemistry was calculated as ΦPSII = ΔF/Fm′ = (Fm′ − Fs)/Fm′ [59], where Fs is the steady-state level fluorescence immediately before the application of the saturation pulse. Electron transport rate (ETR) was calculated as ETR = Q × ΦPSII × 0.5 × 0.84 (where Q is the PAR PFD incident on the leaf and assuming an equal distribution of photons between the two photosystems and a leaf absorbance of 84%). Fluorescence quenching coefficients (photochemical quenching; qP, and non-photochemical quenching; qN) were calculated according to van Kooten and Snel [60] and Baker [61], as qP = ΔF/(Fm′ − F0′) = (Fm′ − Fs)/(Fm′ − F0′) and qN = (Fm − Fm′)/(Fm − F0′). The parameter F0′ was calculated using the approximation of Oxborough and Baker [62]: F0′ = F0/(Fv/Fm + F0/Fm′). Stern–Volmer non-photochemical quenching was calculated as NPQ = (Fm − Fm′)/Fm′ [63].
Measurements of light-saturated net CO2 assimilation rate and stomatal conductance were performed using a portable open-circuit gas-exchange instrument (LCPro+, ADC BioScientific Ltd., Hoddesdon, UK), equipped with a broad leaf chamber enclosing 6.25 cm2 of leaf area. Temperature and relative air humidity inside the chamber were 29.3 ± 2.1 °C, and 41.3 ± 3.6%, respectively. Gas exchange parameters (net rate of CO2 assimilation (A); transpiration rate (E); intercellular CO2 (ci); and stomatal conductance to H2O (gs)) were measured using light curves at ambient CO2 atmospheric concentration under saturating photosynthetic PFD, supplied via the LED light of the instrument’s chamber (1840 μmol m−2 s−1). Each leaf was acclimated at least for 10 min before recording the measurements.

2.5. Statistical Analysis

All data of each species were subjected to two-way ANOVA to determine the effect of the studied experimental factors (EC level and growing system) and their interaction on the tested parameters. In addition, one-way ANOVA was performed in each species and growing system, to study the effect of EC level on those characteristics. Differences in means were evaluated using the Duncan’s Multiple Range Test (DMRT) at the 5% significance level. The presence of significant correlations among TEAC, FRAP and TPC, and between DW% and TSSC as well, were assessed between all pairs of means using the Pearson’s correlation test. Additionally, principal component analysis (PCA) was implemented to assess the contribution of each variable to the total diversity and classify the tested cropping systems and salinity levels according to crop performance (yield), chemical composition and physiological processes for each species. All statistical analyses were performed with the StatGraphics Centurion-XVII statistical package (StatPoint Technologies Inc., Warrenton, VA, USA).

3. Results

3.1. Plant Growth and Yield

The results of the effect of salinity levels on the leaf number and leaf area of the tested species in relation to the cropping system are presented in Table 1. In the case of U. picroides, high salinity (EC-10) inhibited the formation of leaves, where the leaves formed under saline conditions were compared to the control treatment for all cropping systems, except in the case of hydroponics where moderate salinity (EC-5) resulted in increased leaf area. On the other hand, plants of R. picroides grown in pots in greenhouse conditions formed the highest number of leaves under moderate salinity (EC-5), while leaf area was negatively affected by high salinity (EC-10). High salinity also had a detrimental effect in regard to leaf number and leaf area for plants grown in the hydroponic system, whereas no significant differences in the leaf number and leaf area were recorded between the studied salinity treatments for plants grown in pots under field conditions.
The fresh weight of leaves per plant was variably influenced by the level of salinity and the cropping system, as indicated by the significant interactions of salinity × cropping system in both species (Table 2). In particular, the fresh and dry weight of U. picroides plants grown in pots within the greenhouse were negatively affected by saline conditions (EC-5 and EC-10) compared to the control treatment, while in the case of the hydroponic system moderate salinity resulted in increased values of fresh and dry weight. In the case of plants grown in pots in the field, fresh weight was negatively affected only by high salinity (EC-10), whereas dry weight was reduced for both salinity levels (EC-5 and EC-10) compared to the control treatment. On the other hand, moderate salinity resulted in increased fresh weight for R. picroides plants grown in pots in the greenhouse, while no significant effect was recorded on dry weight for the studied salinity levels in the same cropping system. In the hydroponic system, high salinity significantly reduced both fresh and dry weight, whereas no significant differences between the studied salinity levels were recorded in terms of the fresh and dry weight of R. picroides plants grown in the field in pots.
A varied effect of salinity and the cropping system on the dry weight of leaves of both species was also observed (Table 3). In U. picroides FP plants leaf dry weight (%) and LMA values were significantly reduced under high salinity, whereas the opposite trend was recorded in FH plants. Moreover, no significant effect of salinity level on dry weight was recorded for GP plants, whereas LMA was significantly reduced at the highest salinity level under the same cropping system. For R. picroides GP plants, moderate salinity (EC-5) reduced leaf dry weight, while high salinity (EC-10) significantly increased LMA values compared either to the control or the moderate salinity treatments. In the case of the hydroponic system, salinity did not affect the dry weight of leaves of R. picroides plants, while moderate salinity resulted in significantly higher LMA values compared to the rest of the treatments. Similarly, salinity did not affect the dry weight of plants grown in pots in the field, while the control treatment recorded significantly lower values compared to EC-5 and EC-10 treatments.

3.2. Organoleptic Traits, Antioxidants and Secondary Metabolism Products

3.2.1. Total Soluble Solids Content (TSSC) and Titratable Acidity (TA)

Total soluble solids content and titratable acidity in relation to the salinity level and cropping system are presented in Table 4, where a variable effect was recorded. In the case of U. picroides moderate and/or high salinity significantly increased TSSC compared to the control treatment for all the tested cropping systems, whereas the effect of salinity on TA varied depending on the cropping system. In particular, the control and EC-10 treatments showed the highest TA in plants grown indoors in pots; the TA of the EC-10 treatment was significantly higher than the control treatment in hydroponically grown plants, while no significant differences were recorded between the EC-5 and EC-10 treatments; the control treatment presented the highest TA in U. picroides plants grown outdoors in pots. On the other hand, salinity did not significantly affect the TSSC and TA of R. picroides plants, regardless of the growing system, except for in the case of the hydroponic system where both moderate and high salinity significantly increased the TSSC compared to the control treatment and the GP system where the control and EC-10 treatments were significantly higher than the EC-5 treatment (Table 4).

3.2.2. Pigments Content (Chlorophylls and Carotenoids)

The content of pigments (chlorophylls and carotenoids) in the leaves of the studied species was variably affected by salinity and cropping system (Table 5). Chlorophylls content in U. picroides was negatively affected only by moderate salinity (EC-5) in greenhouse-grown plants (pots and hydroponic cultivation), while no effect was recorded for field-grown plants. Moreover, a similar trend was recorded for hydroponic cultivation where the EC-5 treatment significantly reduced carotenoids content, while for pot grown plants (GP and FP) both salinity levels (EC-5 and EC-10) significantly reduced carotenoids content compared to the control treatment (except for in the case of GP plants where the EC-10 treatment did not differ significantly from the control treatment). Regarding the pigments content of R. picroides plants, salinity did not affect chlorophylls contents in both the FH and FP systems, while high salinity (EC-10) significantly increased the chlorophylls content compared to the control and the EC-5 treatments (Table 5). Moreover, carotenoids content was increased under moderate and/or high salinity in greenhouse-grown plants (GP and FH systems), whereas high salinity had a negative effect on the carotenoids content in field-grown plants (FP system).

3.2.3. Total Phenolic Compounds and Proline Content

In both species a variable effect of salinity and the cropping system on total phenolic compounds (TPC) and proline content was recorded (Table 6). In particular, TPC content in U. picroides plants was significantly higher under high salinity in the GP system, while the control treatment resulted in the highest TPC content in the case of the FP system. For plants grown in the hydroponic system, both the control and high salinity treatments resulted in the highest TPC content. The proline content of the same species was the highest under high salinity conditions, regardless of the cropping system. On the other hand, salinity did not affect the TPC content of R. picroides plants grown in the GP system, while the EC-5 and the control treatment resulted in the highest TPC content for the FH and FP systems, respectively (Table 6). Moreover, the proline content of R. picroides plants was also the highest under high salinity conditions in all the tested cropping systems.

3.2.4. Antioxidant Activity

Regarding antioxidant activity, a variable response to salinity and the cropping system was recorded in both species for the studied assays (Table 7). In particular, antioxidant activity for the TEAC assay was the highest under high salinity conditions in the case of U. picroides plants, regardless of the cropping system, while moderate salinity recorded the highest TEAC values in R. picroides plants grown under the FH and FP systems. In contrast, no significant effect was observed for R. picroides plants grown in the GP system. On the other hand, the FRAP assay did not show consistent results for both species and it either decreased under moderate salinity in the GP system, or increased in the case of the control treatment and high salinity for plants of the same species grown in the FH and FP system, respectively. A variable effect was also recorded in R. picoides plants where the highest values were observed for the control (FP system), the EC-5 (FH system) or the EC-10 treatment (GP system).

3.3. Nitrate Content

In both species, the effect of salinity on the accumulation of nitrates in leaves was variable among the different growing systems (Figure 1). In particular, the control treatment recorded the highest nitrate content in U. picroides plants grown in the GP and FP system, whereas no significant effect of salinity was recorded for the hydroponic system (FH). On the other hand, salinity had a significant effect on the nitrate content of R. picroides plants grown under the GP system, whereas no significant effect was recorded for the FH and FP cropping systems (Figure 1).

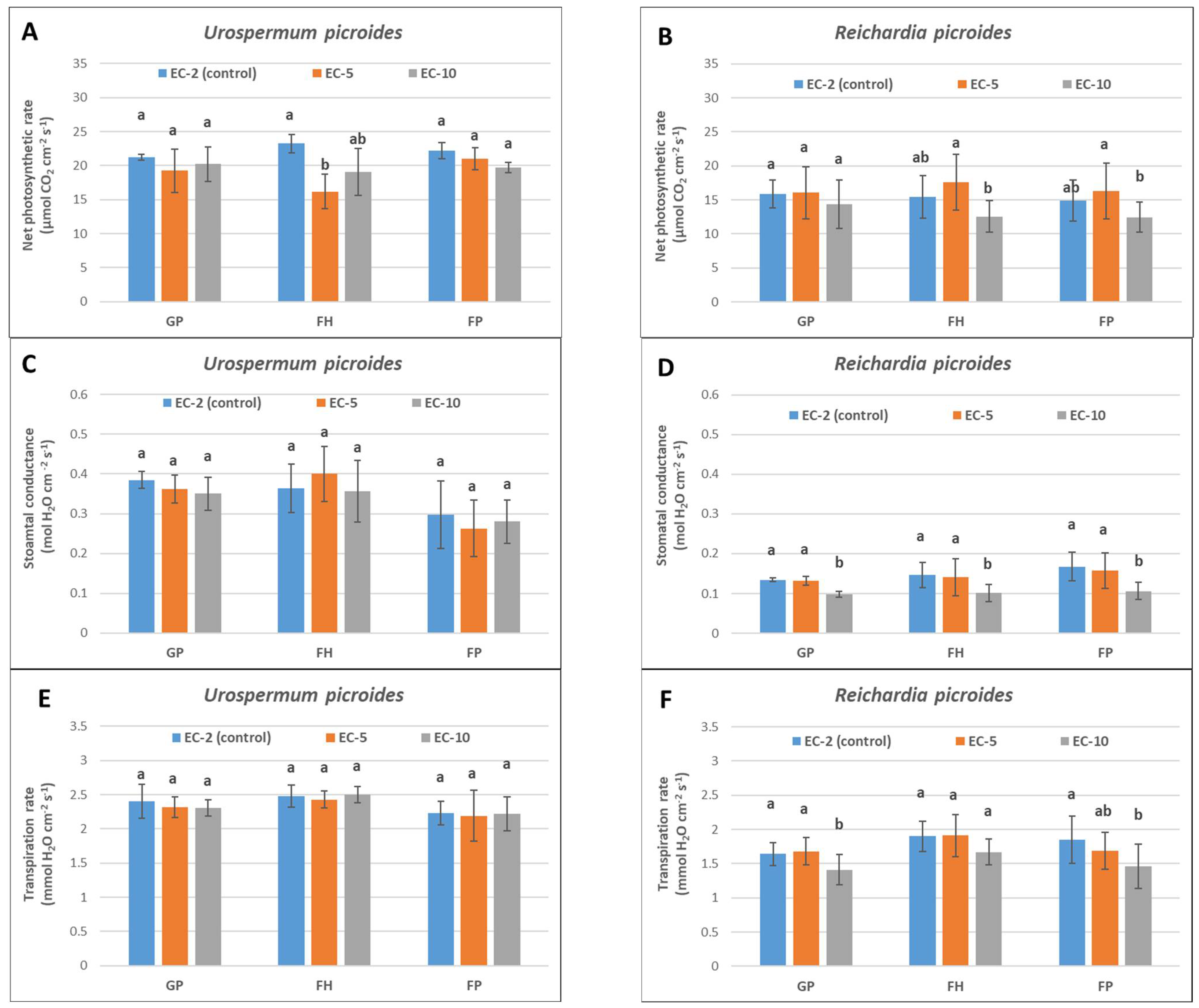
3.4. Gas Exchange and Chlorophyll Fluorescence

The net photosynthetic rate of U. picroides plants grown in pots, either in the field or in the greenhouse was not affected by salinity; however, in the floating system (FH), EC-5 resulted in the lowest values of the net photosynthetic rate (Figure 2A). Similarly, salinity did not affect the net photosynthetic rate in R. picroides plants grown in the GP system, whereas high salinity conditions (EC-10) had significantly lower values compared to the EC-5 treatment (Figure 2A).
Regarding stomatal conductance, salinity had no effect on U. picroides plants, regardless of the cropping system, whereas in R. picroides plants, EC-10 significantly reduced stomatal conductance values compared to the control and EC-5 treatment in all cropping systems (Figure 2B). Similarly, the transpiration rate of U. picroides plants was not affected by salinity in any of the studied growing systems, whereas a lack of a salinity effect was recorded for R. picroides plants grown in the hydroponic system; in contrast, the EC-10 treatment reduced the transpiration rate in relation to the control and the EC-5 treatment (GP system) or only in the control treatment (FP; Figure 2C).
Regarding the maximum quantum efficiency of PSII primary photochemistry, no significant effects of salinity were recorded for both plant species, regardless of the cropping system, except for in the case of R. picroides plants grown in the hydroponic system (FH) where a significant reduction was recorded for the highest salinity level (Table 8).

3.5. Principal Component Analysis (PCA)

The principal component analysis (PCA) was conducted to identify groups and highlight similarities and differences between the experimental treatments in multivariate data. Our analysis showed that in the case of U. picroides the first four principal components (PCs) were associated with Eigen values higher than 1 and explained 88.1% of the cumulative variance, with PC1 accounting for 44.4%, PC2 for 18.9%, PC3 for 13.7% and PC4 for 11.1%. In particular, PC1 was positively correlated with FRAP, LMA, proline content, TEAC, TPC and TSSC, whereas it was negatively correlated with E-transpiration, Fv/Fm, FW, gs-conductance, leaf area and leaf number. On the other hand, PC2 was positively correlated with carotenoids, chlorophylls, DW%, leaf area, leaf number and TA, whereas it was negatively correlated with FRAP. Finally, PC3 was positively correlated with FW, whereas a negative correlation was recorded for carotenoids and proline content. Therefore, PCA allows the discrimination of the tested factors as presented in the respective scatterplots and loading plots. The scatterplot in Figure 3 shows four distinct groups for the tested cropping systems and salinity levels based on the crop performance, chemical composition, and physiological attributes of U. picroides plants.
Moreover, the loading plot of the first two components also revealed groups of positively correlated variables (Figure 4). In the upper left quadrant were the nitrate, chlorophylls, DW, leaf number, leaf area, Fv/Fm and FW; in the lower left quadrant were the gs-conductance and E transpiration; in the upper right quadrant were the carotenoids, TA, A-net photosynthetic rate, DW%, LMA, and TPC; and in the lower right quadrant were the TEAC, FRAP, TSSC and proline content.
The loading plot of PC1 and PC3 correlated variables is as follows: in the upper left quadrant were the nitrate, Fv/Fm, FW and leaf area; in the lower left quadrant were the leaf number, DW, E-transpiration, gs-conductance and chlorophylls; in the upper right quadrant were the TPC, FRAP, TEAC, LMA, DW% and A-net photosynthetic rate; and in the lower right quadrant were the TSSC, carotenoids, TA and proline (Figure 5).
In the case of R. picroides, the first four principal components (PCs) were associated with Eigen values higher than 1 and explained 78.0% of the cumulative variance, with PC1 accounting for 41.3%, PC2 for 19.0%, PC3 for 11.6% and PC4 for 6.1%. In particular, PC1 was positively correlated with nitrate and proline content, whereas it was negatively correlated with carotenoids, DW, FRAP, FW, leaf number, LMA, TEAC and TPC. On the other hand, PC2 was positively correlated with FW, leaf area and leaf number, whereas it was negatively correlated with chlorophylls, DW%, E-transpiration, proline and TSSC. Finally, PC3 was positively correlated with A-net photosynthetic rate, DW%, E-transpiration, FRAP, gs-conductance, TPC and TSSC, whereas it was not negatively correlated with any of the tested variables. Therefore, PCA allows for the division of the tested factors as presented in the respective scatterplots and loading plots. The scatterplot in Figure 6 shows four distinct groups of the tested cropping systems and salinity levels based on the crop performance, chemical composition, and physiological attributes of U. picroides plants.
Moreover, the loading plot of the first two components also revealed groups of positively correlated variables (Figure 7). In the upper left quadrant were the leaf area, FW, DW, leaf number and gs-conductance; in the lower left quadrant were the TEAC, LMA < FRAP, TPC, carotenoids, DW% and chlorophylls; in the upper right quadrant were the Fv/FM, A-net photosynthetic rate and nitrate; and in the lower right quadrant were the E-transpiration, proline and TSSC.
The loading plot of PC1 and PC3 correlated variables as follows: in the upper left quadrant were the gs-conductance, FRAP, TPC, carotenoids, DW% and chlorophylls; in the lower left quadrant were the leaf number, TEAC, LMA, DW, FW, leaf area and TA; in the upper right quadrant were the A-net photosynthetic rate, E-transpiration, Fv/Fm, nitrate and TSSC; and in the lower right quadrant was proline only (Figure 8).

4. Discussion

During the last few years, there has been an increasing amount of evidence regarding the response of wild edible species (WEPs) to environmental conditions and agronomic practices, especially regarding their resilience to adverse/stressful soil and climatic factors [17,64]. However, despite prolific scientific research there is still a lack of information that could serve in aiding the domestication and exploitation of WEPs as complementary/alternative crops in existing farming systems. In that sense, the present study aimed at providing more insight on the salinity response in relation to the growth environment (greenhouse vs. field) and the cultivation system (soil vs. hydroponics) for two wild edible greens, Urospermum picroides and Reichardia picroides, that have gained much attention recently mostly due to their health-promoting properties and the high nutritional value.
Regarding plant growth and yield, in both species high salinity (EC-10) significantly reduced the number, area, and fresh and dry weight of the leaves of greenhouse-grown plants (GP and FH cropping systems) in comparison to the control treatment, with only a few exceptions showing no effect (the dry weight of the leaves of R. picroides in the GP system). On the other hand, the highest EC level had a less intense effect on field-grown plants, especially in the case of R. picroides where no effect was recorded for the EC-10 treatment in all growth and yield parameters. This could be attributed to the fact that plants grown in pots in the field received 30% less frequent irrigation and therefore less NaCl than plants grown in pots in the greenhouse, due to the lower temperatures that prevailed outdoors, as well as due to rainfalls which led to the partial leaching of NaCl from the pots in the field, thus avoiding the build-up of salts in the growing medium. Moreover, for plants grown under the same environmental conditions (GP and FH cropping systems) a varied response was recorded with moderate salinity (EC-5) depending on the species, showing no significant differences or higher values compared to the control treatment for most of the studied parameters (e.g., leaf area, fresh and dry leaf weight of U. picroides in the FH system; leaf number and leaf fresh weight of R. picroides in the GP system). These findings indicate the varied adaptation mechanisms of the studied species to salinity stress depending not only on the environmental conditions but also on the cropping system.
Several studies have demonstrated that wild edible greens are relatively tolerant to NaCl; however, their response to salinity depends on the species, the salinity level, the duration of the crop and the growing season [17,64,65]. For example, the fresh and dry weight of R. picroides plants grown in a floating hydroponic system were not affected when subjected to 5.0 dS m−1 NaCl for 4 weeks after transplantation, whereas the fresh weight of 6-week-old plants was negatively affected by salinity [23]. Similarly, the addition of NaCl in the nutrient solution up to 6.0 dS m−1 had no effect on R. picroides grown in a floating system but impaired Taraxacum officinale growth parameters [29]. Moreover, the growth of wild chicory (Cichorium intybus) plants was not seriously decreased at 10.0 dS m−1 NaCl [66], whereas growth characteristics of U. picroides were severely impaired at 6.0 dS m−1 and 10.0 dS m−1 compared to the control treatment (2.0 dS m−1; no NaCl addition) [30].
Our results suggest that the cropping system and environmental conditions play a significant role in the growth of the tested species under saline conditions. In particular, the impact of NaCl on plants varied not only between field and greenhouse conditions, thus indicating environmental, climatic and spatial effects [67], but also between cultivation in pots and the floating system in the greenhouse, indicating an additional consequence of the cultivation method on the NaCl effect. The positive effects of moderate salinity on growth parameters in both species grown in floating hydroponics could be associated with the better availability of nutrients compared to in pot-grown plants which facilitated the adaptation to saline conditions and the alleviation of any stress effects [50]. Similarly, Papadimitriou et al. [68] also indicated the resilience of Scolymus hispanicus plants grown in a soilless system to moderate salinity stress. Another possible explanation for the differences observed between pot and hydroponically grown plants could be the gradual increase in NaCl concentration in pots compared to hydroponic system where the nutrient solution was regularly replenished, thus preventing the build-up of salts. As mentioned by Papadimitriou et al. [68], the growing of plants in substrates (e.g., perlite) results in increased EC values of the drainage which significantly affects the nutrients and water uptake and eventually plant growth.
Based on the present results, it could be suggested that R. picroides is more resilient to salinity stress than U. picroides when grown in pots, especially at the highest studied NaCl levels (i.e., 10.0 dS m−1), since the fresh and dry weight of the leaves were impaired to a higher extent. On the other hand, a contrasting trend was recorded for the hydroponic system, where the fresh and dry weight of U. picroides leaves decreased to a lesser extent compared to R. picroides, while the percentage of dry weight (DW %) and leaf mass per area increased under high salinity conditions. These findings are in agreement with the reports of Alexopoulos et al. [29,30] who highlighted the susceptibility of U. picroides and the relative tolerance of R. picroides to high salinity levels (10.0 dS m−1) in a floating hydroponic system similar to our study. These authors reported that the variable response of the studied species to salinity stress could be attributed to differences in their capacity to efficiently overcome the limited availability of water in the rootzone due to osmotic effects; a mechanism commonly observed in salinity studies of sensitive and moderately tolerant species [69]. Moreover, a meta-analysis study suggested a positive correlation between leaf mass area and increasing salinity [70], which was not always the case in our study (e.g., for R. picroides and U. picroides plants grown in the FH and FP systems, respectively) indicating that changes in leaf morphology (production of smaller and thicker leaves) is not always the preferred mechanism for plants to avoid salinity stress [71]. This could be justified by the findings of our study regarding the R. picroides plants grown in the FP system where high salinity did not affect either the fresh biomass yield or the leaf number, the leaf area or the leaf mass per area. Therefore, other tolerance mechanisms could be postulated involving physiological and molecular processes, ion homeostasis, root morphology, etc. [69].
In general, the leaf TSSC in plants treated with NaCl-supplemented nutrient solution was either increased, or remained unaffected, e.g., the FP system for both species or the GP system for R. picroides. However, no significant correlation between TSSC and DW% was observed in both species, suggesting that any increase in TSSC due to salinity was not a result of the concentration. On the other hand, a variable effect was recorded regarding the TA of the plants grown under different growing systems and salinity levels. Although mild salinity is recognized as eustressor in fruit vegetables [72], its effect on taste characteristics such as the TSSC and TA in leafy vegetables and wild greens in particular is highly variable and shows no correlation with the tolerance or susceptibility of the species to salinity. According to the studies of Alexopoulos et al. [29,30], NaCl-induced salinity stress at EC values up to 10.0 dS m−1 had no effect on the leaf TSSC of Taraxacum officinale and R. picroides, but resulted in an increase in TSSC in U. picroides and Hedypnois cretica plants grown in a floating hydroponic system. Moreover, in the same studies it was reported that increasing the salinity up to 10.0 dS m−1 had a positive effect on TA in Taraxacum officinale, R. picroides and H. cretica plants but not in U. picroides. In contrast, Petropoulos et al. [17] indicated a decrease in free sugars content in spiny chicory (CIchorium spinosum L.) leaves, while Klados and Tzortzakis [16] noticed increased bitterness and sourness in the leaves of the same species with increasing salinity (up to 12.0 dS m−1 NaCl). Moreover, in lettuce (Lactuca sativa L.), which is considered a moderately sensitive to NaCl-induced salinity species [73], leaf TSSC was doubled at 12.6 dS m−1 in red lettuce [74], increased at 4.5 dS m−1 in iceberg lettuce [75] or remained unaffected by 2.0 dS m−1 NaCl in red and green looseleaf lettuce grown in floating hydroponics [76]. Regardless of these findings, unlike fruits, the concentration of organic acids in the studied leafy greens is very low and comparable to levels found in related species collected in the wild like Cichorium intybus and Taraxacum obovatum [77]; thus, organic acids do not significantly contribute to the taste of the studied edible greens and saline conditions are not expected to induce severe changes in the organoleptic properties of cultivated plants as soon as salinity levels do not exceed species-specific thresholds.
The concentration of pigments presented a variable response to salinity and the growing system. It is interesting to highlight that high salinity did not affect chlorophylls content in any of the studied species and growing systems, whereas a negative effect on carotenoids content was recorded only in the case of pot-grown plants under field conditions. In any case, the changes in pigments content induced by NaCl had practically no effect on the visual appearance and the green color of the leaves. In contrast, it is reported that mild salinity stress increased the concentration of chlorophylls and/or green color intensity in a number of green vegetables (e.g., spinach at 2.0 dS m−1 NaCl—[78]; wild rocket at 3.5 dS m−1 [79])). On the other hand, 6.0 dS m−1 NaCl reduced the chlorophyll content in spinach [80] whereas in lettuce a much lower NaCl level of 2.5 dS m−1 was detrimental for SPAD index values and chlorophyll fluorescence [81]. Differences in the NaCl effect on the concentration of photosynthetic pigments have also been reported in wild greens, as there was no effect of NaCl up to 10.0 dS m−1 in R. picroides, U. picroides and Hedypnois cretica grown in a floating hydroponic system [23,29,30], or in Cichorium spinosum under 2.0 and 4.0 dS m−1 NaCl [17], whereas in Amaranthus lividus a reduction of total chlorophylls and green color was obvious at 5.0 dS m−1 NaCl [82]. However, the severity of salt stress is determined by the salt tolerance of the species, the growth stage of the plant, the period and the method of stress application; therefore, contrasting results should be expected among reports in the literature.
Moreover, based on our results no active participation of carotenoids was observed as part of a resistance strategy to increase salinity considering the chlorophyll to carotenoid ratios, whose changes were small and inconsistent to the salinity gradients). Other studies also report that increased salinity did not affect or show contrasting results in terms of carotenoids content in the case of leafy vegetables such as lettuce [83,84] or spinach [78,85].
Several studies have reported the beneficial effects of mild, moderate or even severe NaCl-induced salinity stress on the biosynthesis of phenolic compounds in a number of wild and/or cultivated leafy vegetables grown in soilless culture (e.g., Lactuca sativa—[86,87]; Cichorium spinosum—[16,17]; Eruca sativa and Diplotaxis tenuifolia—[79]). However, in our study, only U. picroides plants grown in the GP system at EC-10 and R. picroides grown in the FH system at EC-5 exhibited an increase in TPC compared to the control treatment, whereas in the rest of the treatments either no effect or a reduction of TPC under high salinity conditions was observed. Although salinity stress is associated with the induction of the secondary metabolism and the de novo biosynthesis of phenolic compounds in plants [88,89], several environmental and cultural factors, including the severity and duration of the stress, the growth stage at which plants were subjected to stress and the genotype may differentiate the response of plants in terms of phenolic compounds production. This finding is confirmed by Alexopoulos et al. [29,30] who indicated the varied response of four wild edible species grown in a floating hydroponic system under saline conditions (2.0, 6.0 and 10.0 dS m−1), while Maggini et al. [23] found a significant interaction between the tested factors, namely the harvesting stage (4 and 6 weeks after transplantation) and salinity level (0–10.0 dS m−1 NaCl) on the TPC content of R. picroides plants grown in a floating hydroponic system.
Nevertheless, field-grown plants of both species presented considerably higher TPC values, regardless of the EC level, indicating that growing conditions in the field (e.g., lower temperatures, UV radiation and precipitation) may induce the secondary metabolism and phenolics accumulation to a greater extent than salinity itself. Similarly, Hamilton and Fonseca [90] reported the varied response of TPC content in three leafy vegetables (Diplotaxis tenuifolia, Eruca sativa, and Lepidium sativum) depending on the salinity level (EC: 1.5 to 9.5 dS m−1) and the cultivation period (March to June) suggesting that levels higher than the tested ones (9.5 dS m−1) might be needed to define the tolerance threshold of the studied species. On the other hand, Bonasia et al. [79] highlighted the importance of the cultivation system (ebb and flow and floating system), salinity level (2.5, 3.5 and 4.5 dS m−1) and the genotype of wild rocket, while they considered the moderate salinity level (3.5 dS m−1) the most preferable to obtain high yields and high quality end products.
Similarly, Ceccanti et al. [41] reported higher TPC values in Cichorium intybus, Picris hieracioides and Sansquisorba minor, but not in Plantago coronopus and Rumex acetosa plants grown in the field compared to soilless cultivation and cultivation in the greenhouse in pots. In contrast to our study, Oh et al. [91] reported a higher TPC as well as the content of individual phenolic compounds (i.e., chicoric acid and chlorogenic acid), and a greater activation of key genes involved in the biosynthesis of phenolic substances, ascorbic acid and α-tocopherol in lettuce plants grown in the field than those in high tunnels, thus indicating the importance of the cropping system on the biosynthesis of bioactive compounds in leafy vegetables.
In both species, TAA did not follow the response of TPC to the experimental factors of this study (salinity level and cropping system), while a differential response of TAA to salinity and the cropping system was recorded, depending on the assay used (TEAC or FRAP). Despite that, Pearson’s correlation coefficients between TEAC-FRAP, TEAC-TPC and FRAP-TPC were significant and higher than 0.8 in all cases, reaching 0.99 between TEAC-TPC in R. picroides and between TEAC-FRAP in U. picroides. Although high positive correlations of TEAC (ABTS), DPPH, FRAP and TPC have been reported in various plant and food matrices [92,93,94,95], large differences in TAA values have been repeatedly reported among different antioxidant activity assays in a number of plants, including vegetables and wild edible species; therefore, the implementation of at least two different methods for TAA determination is advised [96,97,98]. Moreover, the results of our study indicate that field-grown plants of both species presented higher TAA values than those cultivated in the greenhouse, suggesting that the growth environment may have a greater impact than salinity level on the studied species. Similarly, pak choi plants cultivated in the field in conventional or organic farming systems recorded higher ORAC values than plants cultivated in high tunnels [99].
The overall response of the studied species to salinity shows that the content of their total antioxidants, as well as taste components and pigments, varied depending on the cropping system. In particular, Urospermum picroides recorded an increased content of TSS, TA, chlorophylls, carotenoid, TPC and antioxidant activity (TEAC assay) when grown under greenhouse conditions, thus indicating a positive eustress of salinity on this particular species by improving its functional quality. On the other hand, the results for R. picroides do not justify the beneficial effect of salinity on the antioxidant- and taste-related compounds which could be due to the higher resistance of this species due to tolerance mechanisms that allow plants to overcome NaCl-induced salinity stress without inducing their antioxidant defense system. It is well established that several wild edible species are resilient to unfavorable environmental conditions such as salinity stress, especially those that are usually found in coastal areas [17,23,33].
On the other hand, field conditions effectively activated the secondary metabolism, leading to the accumulation of phenolics and to a substantially higher TAA in relation to greenhouse-grown plants. Maggini et al.’s study [22] also reported the lack of response of R. picroides’ TAA and TPC to salinity, especially in a coastal-salinity tolerant ecotype, whereas the greenhouse-cultivated plants of two ecotypes had a lower content of anthocyanins and phenol glycosides compared to those harvested from the wild.
Moreover, in agreement with our results they also found that in the coastal salt-tolerant ecotype salinity stress did not restore the nutraceutical properties of cultivated plants to the levels of those harvested from the wild which makes questionable this cultivation practice as a means to improve the functional quality of wild edible species under commercial cultivation conditions.
The gradual increase in proline content under high salinity conditions in both species and for all the cropping systems (except for the GP system in R. picroides plants where the increase was not statistically significant) indicates that plants were subjected to stress that induced their defense system through the production of proline. A similar finding was reported by Alexopoulos et al. [29,30], who also indicated that increasing salinity up to 10.0 dS m−1 induced the accumulation of proline in U. picroides and R. picorides plants grown in a floating hydroponic system.
Similarly, Sergio et al. [66] recorded a gradual increase in the content of proline in wild chicory plants with increasing amounts of NaCl in the irrigation water (0 to 20.0 dS m−1 NaCl). Proline accumulation is considered a valid indicator of stress conditions, since excessive proline content is usually found in plants subjected to stress and it is pivotal to stress relief through its activity as an osmolyte, and as a defense and signaling molecule [100]. Our data indicate that the increased content of proline did not always alleviate the negative effects of salt stress, especially in the case of U. picroides plants where a significant decrease in the fresh yield was recorded in all studied cropping systems. On the other hand, in R. picroides plants the highest increase in proline content compared to the control treatment was recorded under high salinity in the FH system where a significant decrease in fresh weight was also observed, while in the rest of the cropping systems (GP and FP) where high salinity did not inhibit plant growth, a slight increase in proline was recorded. Therefore, it could be suggested that in stress tolerant species such as R. picroides proline accumulation may serve as a protective compound against salinity stress, whereas in salt susceptible species such as U. picroides this defense mechanism is not sufficient to mitigate the stress effects and other defense strategies could be also involved [101,102]. This explanation could also be justified by the results of Alexopoulos et al. [29,30], who tested four wild edible species under saline conditions and suggested that proline accumulation is not proportionally associated to fresh yield reduction but depends on the species and other possible mechanisms in the plant defense against stress.
The varied response of the tested species to salinity stress could be also justified by the varied contents of total soluble solids and titratable acidity, antioxidant compounds contents such as phenolic compounds and carotenoids and the antioxidant activity which indicates that different mechanisms are involved under different cropping systems at high salinity as, for example, with the U. picroides plants grown in the FH system, where the high content of TSS and high titratable acidity are not accompanied by increased TPC and carotenoids content compared to the control treatment but by increased proline and TEAC antioxidant activity. On the other hand, the increased content of TSS in R. picroides plants grown in the FH system under moderate and high salinity is followed by increased carotenoids, TPC (especially in the EC-5 treatment) and proline (EC-10 treatment) content, and high antioxidant activity in the TEAC and FRAP assays.
Regarding the nitrates content of leaves, the effect of salinity was highly influenced by the species, the growing system and the level of salinity. In contrast to previous reports of nitrate reduction in both EC-6 and EC-10 in relation to the control treatment in U. picroides plants grown in floating hydroponics [30], the results of our study showed a drastic reduction in the nitrate concentrations of plants grown in pots either in the greenhouse or in the field, whereas no salinity effect was recorded in the floating system (FH). In contrast, the nitrate content in R. picroides decreased with increasing amounts of NaCl in the nutrient solution only in the case of the GP system, whereas no significant effects were recorded for the FH and FP cropping systems. Similarly to our study, Maggini et al. [23] did not observe significant differences in nitrate content at high salinity conditions (10.0 dS m−1 NaCl) in R. picroides plants grown in a floating system when they harvested at 4 weeks after transplantation, while a significant reduction was recorded when the harvest took place at 6 weeks after transplantation. Moreover, in contrast to our study, Alexopoulos et al. [29,30] recorded a significant decrease in the nitrate content of R. picroides and U. picroides plants grown in a floating system under high salinity conditions, although this decrease was lower in the case of R. picroides (17% and 61% for R. picroides and U. picroides, respectively). The same authors suggested that this lower capability of R. picroides plants to control nitrate accumulation under saline conditions compared to U. picroides could be due to the competition in absorption between NO3 and Cl ions from plants. According to El-Nakhel et al. [103] and Di Mola et al. [35], the accumulation of Cl in the nutrient solution may result in reduced nitrate uptake and nitrogen deficiency. This response is repeatedly demonstrated in many cultivated and wild species and is exploited in commercial soilless cultivation to produce safer leafy vegetables [104], as nitrate is widely characterized as an important anti-nutritional factor, particularly in leafy greens [105].
The regulation of nitrate accumulation in wild edible species through regulated EC values in the nutrient solution could be of high value, as in agreement with previous reports [106] our study suggests there is an excessive accumulation of nitrates in such species under control conditions, especially when cultivated in the greenhouse and supplied with adequate N [33]. Nonetheless, our results presented substantially lower nitrate concentrations in field-grown plants for both species, at levels comparable to or considerably lower than the lower limits of nitrates imposed by EC regulations for cultivated leafy vegetables such as lettuce and spinach [107]. As previously mentioned, plants in the field received 30% less fertigation and therefore less N than in the greenhouse, where precipitation led to leaching of NO3 from the growing substrate, hence, nitrate availability in plants grown in the field was limited, resulting in reduced nitrate uptake and accumulation.
The majority of crop plants show a reduction in yield of 50–80% if grown under moderate salinity levels corresponding to an EC of 4–8 dS m−1 [108], with photosynthesis impairment being the main cause for this loss [109]. Both species examined in the present study, especially U. picroides, showed a relatively high tolerance to moderate to high levels of salinity (EC-5 and EC-10) in terms of photosynthetic and transpiration rate, as well as of stomatal conductance. On the other hand, photosynthesis parameters were mildly reduced in R. picroides plants due to high salinity, while PSII photochemical efficiency was not affected in any of the studied species and growing systems, with the sole exception of R. picroides in hydroponics under EC-10. This finding indicates that hydraulic and/or stomatal restrictions should be associated with the decline in photosynthetic rate. Indeed, both the stomatal conductance and transpiration rate in this species were significantly affected by the EC-10 salinity treatment in the GP and FP system, respectively, compared to the control treatment.

5. Conclusions

In conclusion, it seems that the two plant species tested responded differently to the salinity treatments but they both showed a lack of stress severity even at the highest salinity tested (i.e., 10.0 dS m−1), despite the observed reduction in fresh yield in the case of U. picroides in all the evaluated cropping systems and R. picroides in FH system. The significant maintenance of the operational efficiency of the photosynthetic machinery, photosynthesis and stress-related metabolism, corroborates a significant salinity tolerance against ionic stress due to adaptation or long-term acclimation. Adaptation seemed to be more efficient in R. picroides plants since too few anatomical, biochemical and physiological adjustments took place during growth under saline conditions, excluding proline accumulation. Moreover, the reduction of yield in R. picroides was not associated with the slight reduction in photosynthesis parameters probably due to absence of salinity-mediated physiological modifications and stomatal limitations related to osmotic and/or hydraulic perturbations. This differentiation and even contrasting response between yield and photosynthesis under salinity is not uncommon in plants. The acclimation of the tested species could be supported by anatomical and biochemical adjustments, e.g., the significant reduction in leaf area accompanied by an increase in leaf mass area in greenhouse plants; the reduction in leaf number and leaf fresh weight; the significant accumulation of total soluble solids and proline; or the increase in leaf antioxidant capacity, resulting in a more stress-compatible leaf construction and the maintenance of vital leaf photosynthetic functions. Therefore, it could be suggested that the integration of wild edible species in commercial cultivation systems is a promising alternative to conventional crops since it will allow cultivation under arduous conditions. However, further research is needed to fine tune those agronomic practices to ensure high yield and quality of the final products, as well as to evaluate the effect of abiotic stressors on the biochemical and nutritional parameters of edible leaves.

Author Contributions

Conceptualization, N.V. and I.K.; methodology, N.V., M.K., D.-C.A., G.L., A.A. and I.K.; software, N.V., G.L. and I.K.; validation, N.V., G.L. and I.K.; formal analysis, N.V., G.L. and I.K.; investigation, N.V., M.K., D.-C.A., G.L. and I.K.; resources, N.V., G.L., A.A. and I.K.; data curation, N.V., G.L., S.A.P. and I.K.; writing—original draft preparation, N.V., G.L., A.A., S.A.P. and I.K.; writing—review and editing, N.V., G.L., A.A., S.A.P. and I.K.; visualization, N.V., S.A.P. and I.K.; supervision, I.K.; project administration, N.V., G.L., A.A., S.A.P. and I.K. All authors have read and agreed to the published version of the manuscript.

Funding

This research received no external funding.

Institutional Review Board Statement

Not applicable.

Data Availability Statement

Data are available upon request.

Acknowledgments

The authors thank Emeritus Konstantinos Akoumianakis for providing the original collection of seeds of wild edible greens from Greece.

Conflicts of Interest

The authors declare no conflict of interest.

References

  1. FAO. FAOSTAT Production and Trade Statistics. 2021. Available online: http://www.fao.org/faostat/en/#data/QC/visualize (accessed on 20 July 2023).
  2. Ashraf, M.; Foolad, M.R. Roles of glycine betaine and proline in improving plant abiotic stress resistance. Environ. Exp. Bot. 2007, 59, 206–216. [Google Scholar] [CrossRef]
  3. Jamil, A.; Riaz, S.; Ashraf, M.; Foolad, M.R. Gene expression profiling of plants under salt stress. CRC. Crit. Rev. Plant Sci. 2011, 30, 435–458. [Google Scholar] [CrossRef]
  4. Slama, I.; Abdelly, C.; Bouchereau, A.; Flowers, T.; Savouré, A. Diversity, distribution and roles of osmoprotective compounds accumulated in halophytes under abiotic stress. Ann. Bot. 2015, 115, 433–447. [Google Scholar] [CrossRef]
  5. Petropoulos, S.A.A.; Karkanis, A.; Martins, N.; Ferreira, I.C.F.R. Edible halophytes of the Mediterranean basin: Potential candidates for novel food products. Trends Food Sci. Technol. 2018, 74, 69–84. [Google Scholar] [CrossRef]
  6. Dogan, Y. Traditionally used wild edible greens in the Aegean Region of Turkey. Acta Soc. Bot. Pol. 2012, 81, 329–342. [Google Scholar] [CrossRef]
  7. Morales, P.; Ferreira, I.C.F.R.; Carvalho, A.M.; Sánchez-Mata, M.C.; Cámara, M.; Fernández-Ruiz, V.; Pardo-de-Santayana, M.; Tardío, J. Mediterranean non-cultivated vegetables as dietary sources of compounds with antioxidant and biological activity. LWT Food Sci. Technol. 2014, 55, 389–396. [Google Scholar] [CrossRef]
  8. Corrêa, R.C.G.; Di Gioia, F.; Ferreira, I.C.F.R.; Petropoulos, S.A. Wild greens used in the Mediterranean diet. In The Mediterranean Diet: An Evidence-Based Approach; Preedy, V., Watson, R., Eds.; Academic Press: London, UK, 2020; pp. 209–228. ISBN 9788578110796. [Google Scholar]
  9. Chatzopoulou, E.; Carocho, M.; Di Gioia, F.; Petropoulos, S.A. The beneficial health effects of vegetables and wild edible greens: The case of the mediterranean diet and its sustainability. Appl. Sci. 2020, 10, 9144. [Google Scholar] [CrossRef]
  10. Capurso, C.; Vendemiale, G. The Mediterranean Diet Reduces the Risk and Mortality of the Prostate Cancer: A Narrative Review. Front. Nutr. 2017, 4, 38. [Google Scholar] [CrossRef]
  11. Ceccanti, C.; Landi, M.; Benvenuti, S.; Pardossi, A.; Guidi, L. Mediterranean wild edible plants: Weeds or “new functional crops”? Molecules 2018, 23, 2299. [Google Scholar] [CrossRef]
  12. Guarrera, P.M.; Savo, V. Wild food plants used in traditional vegetable mixtures in Italy. J. Ethnopharmacol. 2016, 185, 202–234. [Google Scholar] [CrossRef]
  13. Benvenuti, S.; Maggini, R.; Pardossi, A. Agronomic, Nutraceutical, and Organoleptic Performances of Wild Herbs of Ethnobotanical Tradition. Int. J. Veg. Sci. 2017, 23, 270–281. [Google Scholar] [CrossRef]
  14. Zimmerer, K.S.; Vanek, S.J. Toward the integrated framework analysis of linkages among agrobiodiversity, livelihood diversification, ecological systems, and sustainability amid global change. Land 2016, 5, 10. [Google Scholar] [CrossRef]
  15. Johns, T.; Powell, B.; Maundu, P.; Eyzaguirre, P.B. Agricultural biodiversity as a link between traditional food systems and contemporary development, social integrity and ecological health. J. Sci. Food Agric. 2013, 93, 3433–3442. [Google Scholar] [CrossRef]
  16. Klados, E.; Tzortzakis, N. Effects of substrate and salinity in hydroponically grown Cichorium spinosum. J. Soil Sci. Plant Nutr. 2014, 14, 211–222. [Google Scholar] [CrossRef]
  17. Petropoulos, S.; Levizou, E.; Ntatsi, G.; Fernandes, Â.; Petrotos, K.; Akoumianakis, K.; Barros, L.; Ferreira, I. Salinity effect on nutritional value, chemical composition and bioactive compounds content of Cichorium spinosum L. Food Chem. 2017, 214, 129–136. [Google Scholar] [CrossRef] [PubMed]
  18. Chatzigianni, M.; Aliferis, K.A.; Ntatsi, G.; Savvas, D. Effect of N supply level and N source ratio on Cichorium spinosum L. metabolism. Agronomy 2020, 10, 952. [Google Scholar] [CrossRef]
  19. Renna, M. Reviewing the prospects of sea fennel (Crithmum maritimum L.) as emerging vegetable crop. Plants 2018, 7, 92. [Google Scholar] [CrossRef]
  20. Tanveer, M.; Shah, A.N. An insight into salt stress tolerance mechanisms of Chenopodium album. Environ. Sci. Pollut. Res. 2017, 24, 16531–16535. [Google Scholar] [CrossRef]
  21. Calone, R.; Bregaglio, S.; Sanoubar, R.; Noli, E.; Lambertini, C.; Barbanti, L. Physiological adaptation to water salinity in six wild halophytes suitable for Mediterranean agriculture. Plants 2021, 10, 309. [Google Scholar] [CrossRef]
  22. Maggini, R.; Benvenuti, S.; Leoni, F.; Pardossi, A. Terracrepolo (Reichardia picroides (L.) Roth.): Wild food or new horticultural crop? Sci. Hortic. (Amst.) 2018, 240, 224–231. [Google Scholar] [CrossRef]
  23. Maggini, R.; Benvenuti, S.; Leoni, F.; Incrocci, L.; Pardossi, A. Effects of NaCl on Hydroponic Cultivation of Reichardia picroides (L.) Roth. Agronomy 2021, 11, 2352. [Google Scholar] [CrossRef]
  24. Petropoulos, S.A.; Fernandes, Â.; Tzortzakis, N.; Sokovic, M.; Ciric, A.; Barros, L.; Ferreira, I.C.F.R. Bioactive compounds content and antimicrobial activities of wild edible Asteraceae species of the Mediterranean flora under commercial cultivation conditions. Food Res. Int. 2019, 119, 859–868. [Google Scholar] [CrossRef] [PubMed]
  25. García-Herrera, P.; Sánchez-Mata, M.C.; Cámara, M.; Fernández-Ruiz, V.; Díez-Marqués, C.; Molina, M.; Tardío, J. Nutrient composition of six wild edible Mediterranean Asteraceae plants of dietary interest. J. Food Compos. Anal. 2014, 34, 163–170. [Google Scholar] [CrossRef]
  26. Salonikioti, A.; Petropoulos, S.; Antoniadis, V.; Levizou, E.; Alexopoulos, A. Wild Edible Species with Phytoremediation Properties. Procedia Environ. Sci. 2015, 29, 98–99. [Google Scholar] [CrossRef]
  27. Sýkora, K.V.; Babalonas, D.; Papastergiadou, E.S. Strandline and sand-dune vegetation of coasts of Greece and of some other Aegean countries. Phytocoenologia 2003, 33, 409–446. [Google Scholar] [CrossRef]
  28. Platis, D.P.; Papoui, E.; Bantis, F.; Katsiotis, A.; Koukounaras, A.; Mamolos, A.P.; Mattas, K. Underutilized Vegetable Crops in the Mediterranean Region: A Literature Review of Their Requirements and the Ecosystem Services Provided. Sustainability 2023, 15, 4921. [Google Scholar] [CrossRef]
  29. Alexopoulos, A.A.; Assimakopoulou, A.; Panagopoulos, P.; Bakea, M.; Vidalis, N.; Karapanos, I.C.; Petropoulos, S.A. Impact of salinity on the growth and chemical composition of two underutilized wild edible greens: Taraxacum officinale and Reichardia picroides. Horticulturae 2021, 7, 160. [Google Scholar] [CrossRef]
  30. Alexopoulos, A.A.; Assimakopoulou, A.; Panagopoulos, P.; Bakea, M.; Vidalis, N.; Karapanos, I.C.; Rouphael, Y.; Petropoulos, S.A. Hedypnois cretica L. and Urospermum picroides L. Plant Growth, Nutrient Status and Quality Characteristics under Salinity Stress. Horticulturae 2023, 9, 65. [Google Scholar] [CrossRef]
  31. Amoruso, F.; Signore, A.; Gómez, P.A.; Martínez-Ballesta, M.D.C.; Giménez, A.; Franco, J.A.; Fernández, J.A.; Egea-Gilabert, C. Effect of Saline-Nutrient Solution on Yield, Quality, and Shelf-Life of Sea Fennel (Crithmum maritimum L.) Plants. Horticulturae 2022, 8, 127. [Google Scholar] [CrossRef]
  32. Ceccanti, C.; Landi, M.; Incrocci, L.; Pardossi, A.; Guidi, L. Suitability of hydroponically-grown Rumex acetosa L. as fresh-cut produce. Horticulturae 2020, 6, 4. [Google Scholar] [CrossRef]
  33. Chatzigianni, M.; Alkhaled, B.; Livieratos, I.; Stamatakis, A.; Ntatsi, G.; Savvas, D. Impact of nitrogen source and supply level on growth, yield and nutritional value of two contrasting ecotypes of Cichorium spinosum L. grown hydroponically. J. Sci. Food Agric. 2018, 98, 1615–1624. [Google Scholar] [CrossRef] [PubMed]
  34. Carrascosa, Á.; Pascual, A.; Ros, M.; Petropoulos, S.; Alguacil, M. The Effect of Fertilization Regime on Growth Parameters of Sonchus oleraceus and Two Genotypes of Portulaca oleracea. Biol. Life Sci. Forum 2022, 16, 7. [Google Scholar]
  35. Di Mola, I.; Petropoulos, S.A.; Ottaiano, L.; Cozzolino, E.; El-Nakhel, C.; Rouphael, Y.; Mori, M. Bioactive Compounds, Antioxidant Activity, and Mineral Content of Wild Rocket (Diplotaxis tenuifolia L.) Leaves as Affected by Saline Stress and Biostimulant Application. Appl. Sci. 2023, 13, 1569. [Google Scholar] [CrossRef]
  36. Castagna, A.; Mariottini, G.; Gabriele, M.; Longo, V.; Souid, A.; Dauvergne, X.; Magné, C.; Foggi, G.; Conte, G.; Santin, M.; et al. Nutritional Composition and Bioactivity of Salicornia europaea L. Plants Grown in Monoculture or Intercropped with Tomato Plants in Salt-Affected Soils. Horticulturae 2022, 8, 828. [Google Scholar] [CrossRef]
  37. Andrzejewska, J.; Sadowska, K.; Mielcarek, S. Effect of sowing date and rate on the yield and flavonolignan content of the fruits of milk thistle (Silybum marianum L. Gaertn.) grown on light soil in a moderate climate. Ind. Crops Prod. 2011, 33, 462–468. [Google Scholar] [CrossRef]
  38. Bielski, S. Milk thistle (Silybum marianum L. Gaertn.) achene yield had a positive response to nitrogen fertilization, row spacing, sowing date, and weed control methods. Ind. Crops Prod. 2021, 160. [Google Scholar] [CrossRef]
  39. Disciglio, G.; Tarantino, A.; Frabboni, L.; Gagliardi, A.; Michela, M.; Tarantino, E.; Gatta, G.; Beta, L.; Miller, F.; Cichorium, L.; et al. Qualitative characterisation of cultivated and wild edible plants: Mineral elements, phenols content and antioxidant capacity. Ital. J. Agron. 2017, 12, 383–394. [Google Scholar] [CrossRef]
  40. Galli, F.; Grando, S.; Adamsone-Fiskovica, A.; Bjørkhaug, H.; Czekaj, M.; Duckett, D.G.; Almaas, H.; Karanikolas, P.; Moreno-Pérez, O.M.; Ortiz-Miranda, D.; et al. How do small farms contribute to food and nutrition security? Linking European small farms, strategies and outcomes in territorial food systems. Glob. Food Secur. 2020, 26, 100427. [Google Scholar] [CrossRef]
  41. Ceccanti, C.; Landi, M.; Incrocci, L.; Pardossi, A.; Venturi, F.; Taglieri, I.; Ferroni, G.; Guidi, L. Comparison of three domestications and wild-harvested plants for nutraceutical properties and sensory profiles in five wild edible herbs: Is domestication possible? Foods 2020, 9, 1065. [Google Scholar] [CrossRef]
  42. Papafilippaki, A.; Nikolaidis, N.P. Comparative study of wild and cultivated populations of Cichorium spinosum: The influence of soil and organic matter addition. Sci. Hortic. (Amst.) 2020, 261, 108942. [Google Scholar] [CrossRef]
  43. Munns, R.; James, R.A.; Läuchli, A. Approaches to increasing the salt tolerance of wheat and other cereals. J. Exp. Bot. 2006, 57, 1025–1043. [Google Scholar] [CrossRef] [PubMed]
  44. Shaar-Moshe, L.; Blumwald, E.; Peleg, Z. Unique physiological and transcriptional shifts under combinations of salinity, drought, and heat. Plant Physiol. 2017, 174, 421–434. [Google Scholar] [CrossRef] [PubMed]
  45. Santangeli, M.; Capo, C.; Beninati, S.; Pietrini, F.; Forni, C. Gradual exposure to salinity improves tolerance to salt stress in rapeseed (Brassica napus L.). Water 2019, 11, 1667. [Google Scholar] [CrossRef]
  46. Chrysargyris, A.; Skaltsa, H.; Konstantopoulou, M. Medicinal and Aromatic Plants (MAPs): The Connection between Cultivation Practices and Biological Properties. Agronomy 2022, 12, 3108. [Google Scholar] [CrossRef]
  47. Petropoulos, S.; Fernandes, Â.; Karkanis, A.; Ntatsi, G.; Barros, L.; Ferreira, I.C.F.R. Successive Harvesting Affects Yield, Chemical Composition and Antioxidant Activity of Cichorium spinosum L. Food Chem. 2017, 237, 83–90. [Google Scholar] [CrossRef]
  48. Taiz, L.; Zeiger, E. Plant Physiology, 4th ed.; Sinauer Associates Publishers: Sunderland, UK, 2006. [Google Scholar]
  49. Schulz, H.; Dunst, G.; Glaser, B. Positive effects of composted biochar on plant growth and soil fertility. Agron. Sustain. Dev. 2013, 33, 817–827. [Google Scholar] [CrossRef]
  50. Chatzigianni, M.; Ntatsi, G.; Theodorou, M.; Stamatakis, A.; Livieratos, I.; Rouphael, Y.; Savvas, D. Functional Quality, Mineral Composition and Biomass Production in Hydroponic Spiny Chicory (Cichorium spinosum L.) Are Modulated Interactively by Ecotype, Salinity and Nitrogen Supply. Front. Plant Sci. 2019, 10, 1040. [Google Scholar] [CrossRef]
  51. Lagouvardos, K.; Kotroni, V.; Bezes, A.; Koletsis, I.; Kopania, T.; Lykoudis, S.; Mazarakis, N.; Papagiannaki, K.; Vougioukas, S. The automatic weather stations NOANN network of the National Observatory of Athens: Operation and database. Geosci. Data J. 2017, 4, 4–16. [Google Scholar] [CrossRef]
  52. Petropoulos, S.A.; Olympios, C.; Ropokis, A.; Vlachou, G.; Ntatsi, G. Fruit volatiles, quality, and yield of watermelon as affected by grafting. J. Agric. Sci. Technol. 2014, 16, 873–885. [Google Scholar]
  53. Karapanos, I.; Papandreou, A.; Skouloudi, M.; Makrogianni, D.; Fernández, J.A.; Rosa, E.; Ntatsi, G.; Bebeli, P.J.; Savvas, D. Cowpea fresh pods—A new legume for the market: Assessment of their quality and dietary characteristics of 37 cowpea accessions grown in southern Europe. J. Sci. Food Agric. 2017, 97, 4343–4352. [Google Scholar] [CrossRef]
  54. Bates, L.S. Rapid determination of free proline for water-stress studies. Plant Soil 1973, 39, 205–207. [Google Scholar] [CrossRef]
  55. Alexopoulos, A.A.; Marandos, E.; Assimakopoulou, A.; Vidalis, N.; Petropoulos, S.A.; Karapanos, I.C. Effect of Nutrient Solution pH on the Growth, Yield and Quality of Taraxacum officinale and Reichardia picroides in a Floating Hydroponic System. Agronomy 2021, 11, 1118. [Google Scholar] [CrossRef]
  56. Lichtenthaler, H.K.; Buschmann, C. Chlorophylls and Carotenoids: Measurement and Characterization by UV-VIS Spectroscopy. Curr. Protoc. Food Anal. Chem. 2001, 1, F4.3.1–F4.3.8. [Google Scholar] [CrossRef]
  57. Re, R.; Pellegrini, N.; Proteggente, A.; Pannala, A.; Yang, M.; Rice-Evans, C. Antioxidant activity applying an improved ABTS radical cation decolorization assay. Free Radic. Biol. Med. 1999, 26, 1231–1237. [Google Scholar] [CrossRef]
  58. Benzie, I.F.; Straint, J.J. The ferric reducing ability of plasma (FRAP) as a measure of “Antioxidant Power”: The FRAP assay. Anal. Biochem. 1996, 239, 70–76. [Google Scholar] [CrossRef]
  59. Genty, B.; Briantais, J.M.; Baker, N.R. The relationship between the quantum yield of photosynthetic electron transport and quenching of chlorophyll fluorescence. Biochim. Biophys. Acta Gen. Subj. 1989, 990, 87–92. [Google Scholar] [CrossRef]
  60. van Kooten, O.; Snel, J.F.H. The use of chlorophyll fluorescence nomenclature in plant stress physiology. Photosynth. Res. 1990, 25, 147–150. [Google Scholar] [CrossRef]
  61. Baker, N.R. Chlorophyll Fluorescence: A Probe of Photosynthesis In Vivo. Annu. Rev. Plant Biol. 2008, 59, 89–113. [Google Scholar] [CrossRef]
  62. Oxborough, K.; Baker, N.R. Resolving chlorophyll a fluorescence images of photosynthetic efficiency into photochemical and non-photochemical components—Calculation of qP and Fv’/Fm’ without measuring Fo’. Photosynth. Res. 1997, 54, 135–142. [Google Scholar] [CrossRef]
  63. Lichtenthaler, H.K.; Buschmann, C. Chlorophyll Fluorescence Spectra of Green Bean Leaves. J. Plant Physiol. 1987, 129, 137–147. [Google Scholar] [CrossRef]
  64. Petropoulos, S.A.; Fernandes, Â.; Dias, M.I.; Pereira, C.; Calhelha, R.C.; Chrysargyris, A.; Tzortzakis, N.; Ivanov, M.; Sokovic, M.D.; Barros, L.; et al. Chemical composition and plant growth of Centaurea raphanina subsp. mixta plants cultivated under saline conditions. Molecules 2020, 25, 2204. [Google Scholar] [CrossRef]
  65. Karkanis, A.; Polyzos, N.; Kompocholi, M.; Petropoulos, S.A. Rock Samphire, a Candidate Crop for Saline Agriculture: Cropping Practices, Chemical Composition and Health Effects. Appl. Sci. 2022, 12, 737. [Google Scholar] [CrossRef]
  66. Sergio, L.; de Paola, A.; Cantore, V.; Pieralice, M.; Cascarano, N.A.; Bianco, V.V.; Di Venere, D. Effect of salt stress on growth parameters, enzymatic antioxidant system, and lipid peroxidation in wild chicory (Cichorium intybus L.). Acta Physiol. Plant. 2012, 34, 2349–2358. [Google Scholar] [CrossRef]
  67. Arzani, A. Improving salinity tolerance in crop plants: A biotechnological view. In Vitro Cell. Dev. Biol. Plant 2008, 44, 373–383. [Google Scholar] [CrossRef]
  68. Papadimitriou, D.M.; Daliakopoulos, I.N.; Kontaxakis, E.; Sabathianakis, M.; Manios, T.; Savvas, D. Effect of moderate salinity on Golden Thistle (Scolymus hispanicus L.) grown in a soilless cropping system. Sci. Hortic. (Amst.) 2022, 303, 111182. [Google Scholar] [CrossRef]
  69. Munns, R.; Tester, M. Mechanisms of salinity tolerance. Annu. Rev. Plant Biol. 2008, 59, 651–681. [Google Scholar] [CrossRef]
  70. Poorter, H.; Niinemets, Ü.; Poorter, L.; Wright, I.J.; Villar, R. Causes and consequences of variation in leaf mass per area (LMA): A meta-analysis. New Phytol. 2009, 182, 565–588. [Google Scholar] [CrossRef]
  71. Negrão, S.; Schmöckel, S.M.; Tester, M. Evaluating physiological responses of plants to salinity stress. Ann. Bot. 2017, 119, 1–11. [Google Scholar] [CrossRef]
  72. Rouphael, Y.; Petropoulos, S.A.; Cardarelli, M.; Colla, G. Salinity as eustressor for enhancing quality of vegetables. Sci. Hortic. (Amst.) 2018, 234, 361–369. [Google Scholar] [CrossRef]
  73. Shannon, M.C.; Grieve, C.M. Tolerance of vegetable crops to salinity. HortScience 1999, 78, 5–38. [Google Scholar] [CrossRef]
  74. Sakamoto, K.; Kogi, M.; Yanagisawa, T. Effects of Salinity and Nutrients in Seawater on Hydroponic Culture of Red Leaf Lettuce. Environ. Control Biol. 2014, 52, 189–195. [Google Scholar] [CrossRef][Green Version]
  75. Okasha, A.M.; Eldib, E.M.; Elmetwalli, A.H.; Farooque, A.A.; Yaseen, Z.M.; Elsayed, S. Maximization of Water Productivity and Yield of Two Iceberg Lettuce Cultivars in Hydroponic Farming System Using Magnetically Treated Saline Water. Agriculture 2022, 12, 101. [Google Scholar] [CrossRef]
  76. Carillo, P.; Soteriou, G.A.; Kyriacou, M.C.; Giordano, M.; Raimondi, G.; Napolitano, F.; Di Stasio, E.; Di Mola, I.; Mori, M.; Rouphael, Y. Regulated salinity eustress in a floating hydroponic module of sequentially harvested lettuce modulates phytochemical constitution, plant resilience, and post-harvest nutraceutical quality. Agronomy 2021, 11, 1040. [Google Scholar] [CrossRef]
  77. Sánchez-Mata, M.C.; Loera, R.D.C.; Morales, P.; Fernández-Ruiz, V.; Cámara, M.; Marqués, C.D.; Pardo-de-Santayana, M.; Tardío, J.; Cabrera Loera, R.D.; Morales, P.; et al. Wild vegetables of the Mediterranean area as valuable sources of bioactive compounds. Genet. Resour. Crop Evol. 2012, 59, 431–443. [Google Scholar] [CrossRef]
  78. Xu, C.; Mou, B. Responses of spinach to salinity and nutrient deficiency in growth, physiology, and nutritional value. J. Am. Soc. Hortic. Sci. 2016, 141, 12–21. [Google Scholar] [CrossRef]
  79. Bonasia, A.; Lazzizera, C.; Elia, A.; Conversa, G. Nutritional, biophysical and physiological characteristics of wild rocket genotypes as affected by soilless cultivation system, salinity level of nutrient solution and growing period. Front. Plant Sci. 2017, 8, 300. [Google Scholar] [CrossRef]
  80. Kaya, C.; Higgs, D.; Sakar, E. Response of two leafy vegetables grown at high salinity to supplementary potassium and phosphorus during different growth stages. J. Plant Nutr. 2002, 25, 2663–2676. [Google Scholar] [CrossRef]
  81. Lucini, L.; Rouphael, Y.; Cardarelli, M.; Canaguier, R.; Kumar, P.; Colla, G. The effect of a plant-derived biostimulant on metabolic profiling and crop performance of lettuce grown under saline conditions. Sci. Hortic. (Amst.) 2015, 182, 124–133. [Google Scholar] [CrossRef]
  82. Hossain, N.; Sarker, U.; Raihan, S.; Al-huqail, A.A.; Siddiqui, M.H. Pigmentation, Polyphenol and Flavonoid Contents, and Flavonoid Contents, and Antioxidant Activity of Amaranthus lividus Leafy Vegetables. Molecules 2022, 27, 1821. [Google Scholar] [CrossRef]
  83. Borghesi, E.; Carmassi, G.; Uguccioni, M.C.; Vernieri, P.; Malorgio, F. Effects of Calcium and Salinity Stress on Quality of Lettuce in Soilless Culture. J. Plant Nutr. 2013, 36, 677–690. [Google Scholar] [CrossRef]
  84. Mahmoudi, H.; Baâtour, O.; Huang, J.; Nasri, N.; Ben Salah, I.; Tarchoun, I.; Zaghdoudi, M.; Gruber, M.Y.; Lachaâl, M.; Ouerghi, Z.; et al. Verte and Romaine lettuce varieties (Lactuca sativa) show differential responses to high NaCl concentrations. J. Plant Nutr. Soil Sci. 2012, 175, 641–648. [Google Scholar] [CrossRef]
  85. Yavuz, D.; Kılıç, E.; Seymen, M.; Dal, Y.; Kayak, N.; Kal, Ü.; Yavuz, N. The effect of irrigation water salinity on the morph-physiological and biochemical properties of spinach under deficit irrigation conditions. Sci. Hortic. (Amst.) 2022, 304, 111272. [Google Scholar] [CrossRef]
  86. Conversa, G.; Bonasia, A.; Lazzizera, C.; Elia, A. Soilless cultivation system, electrical conductivity of nutrient solution, and growing season on yield and quality of baby-leaf oak-leaf lettuce. Agronomy 2021, 11, 1220. [Google Scholar] [CrossRef]
  87. Neocleous, D.; Koukounaras, A.; Siomos, A.S.; Vasilakakis, M. Changes in photosynthesis, yield, and quality of baby lettuce under salinity stress. J. Agric. Sci. Technol. 2014, 16, 1335–1343. [Google Scholar]
  88. Chele, K.H.; Tinte, M.M.; Piater, L.A.; Dubery, I.A.; Tugizimana, F. Soil salinity, a serious environmental issue and plant responses: A metabolomics perspective. Metabolites 2021, 11, 724. [Google Scholar] [CrossRef]
  89. Naikoo, M.I.; Dar, M.I.; Raghib, F.; Jaleel, H.; Ahmad, B.; Raina, A.; Khan, F.A.; Naushin, F. Role and regulation of plants phenolics in abiotic stress tolerance: An overview. In Plant Signaling Molecules Role and Regulation Under Stressful Environments; Woodhead Publishing: Sawston, UK, 2019; pp. 157–168. [Google Scholar] [CrossRef]
  90. Hamilton, J.M.; Fonseca, J.M. Effect of saline irrigation water on antioxidants in three hydroponically grown leafy vegetables: Diplotaxis tenuifolia, Eruca sativa, and Lepidium sativum. HortScience 2010, 45, 546–552. [Google Scholar] [CrossRef]
  91. Oh, M.M.; Carey, E.E.; Rajashekar, C.B. Antioxidant phytochemicals in lettuce grown in high tunnels and open field. Hortic. Environ. Biotechnol. 2011, 52, 133–139. [Google Scholar] [CrossRef]
  92. Parejo, I.; Viladomat, F.; Bastida, J.; Rosas-Romero, A.; Flerlage, N.; Burillo, J.; Codina, C. Comparison between the radical scavenging activity and antioxidant activity of six distilled and nondistilled mediterranean herbs and aromatic plants. J. Agric. Food Chem. 2002, 50, 6882–6890. [Google Scholar] [CrossRef]
  93. Clarke, G.; Ting, K.N.; Wiart, C.; Fry, J. High correlation of 2,2-diphenyl-1-picrylhydrazyl (DPPH) radical scavenging, ferric reducing activity potential and total phenolics content indicates redundancy in use of all three assays to screen for antioxidant activity of extracts of plants from the m. Antioxidants 2013, 2, 1–10. [Google Scholar] [CrossRef]
  94. Dudonné, S.; Vitrac, X.; Coutiére, P.; Woillez, M.; Mérillon, J.M. Comparative study of antioxidant properties and total phenolic content of 30 plant extracts of industrial interest using DPPH, ABTS, FRAP, SOD, and ORAC assays. J. Agric. Food Chem. 2009, 57, 1768–1774. [Google Scholar] [CrossRef]
  95. Chaves, N.; Santiago, A.; Alías, J.C. Quantification of the antioxidant activity of plant extracts: Analysis of sensitivity and hierarchization based on the method used. Antioxidants 2020, 9, 76. [Google Scholar] [CrossRef] [PubMed]
  96. Číž, M.; Čížová, H.; Denev, P.; Kratchanova, M.; Slavov, A.; Lojek, A. Different methods for control and comparison of the antioxidant properties of vegetables. Food Control 2010, 21, 518–523. [Google Scholar] [CrossRef]
  97. Huang, D.; Boxin, O.U.; Prior, R.L. The chemistry behind antioxidant capacity assays. J. Agric. Food Chem. 2005, 53, 1841–1856. [Google Scholar] [CrossRef]
  98. Ozgen, M.; Reese, R.N.; Tulio, A.Z.; Scheerens, J.C.; Miller, A.R. Modified 2,2-azino-bis-3-ethylbenzothiazoline-6-sulfonic acid (ABTS) method to measure antioxidant capacity of selected small fruits and comparison to ferric reducing antioxidant power (FRAP) and 2,2′-diphenyl-1-picrylhydrazyl (DPPH) methods. J. Agric. Food Chem. 2006, 54, 1151–1157. [Google Scholar] [CrossRef] [PubMed]
  99. Zhao, X.; Iwamoto, T.; Carey, E.E. Antioxidant capacity of leafy vegetables as affected by high tunnel environment, fertilisation and growth stage. J. Sci. Food Agric. 2007, 87, 2692–2699. [Google Scholar] [CrossRef] [PubMed]
  100. Hayat, S.; Hayat, Q.; Alyemeni, M.N.; Wani, A.S.; Pichtel, J.; Ahmad, A. Role of proline under changing environments: A review. Plant Signal. Behav. 2012, 7, 1456–1466. [Google Scholar] [CrossRef]
  101. Ben Amor, N.; Ben Hamed, K.; Debez, A.; Grignon, C.; Abdelly, C. Physiological and antioxidant responses of the perennial halophyte Crithmum maritimum to salinity. Plant Sci. 2005, 168, 889–899. [Google Scholar] [CrossRef]
  102. Amor, N.B.; Jiménez, A.; Megdiche, W.; Lundqvist, M.; Sevilla, F.; Abdelly, C. Response of antioxidant systems to NaCl stress in the halophyte Cakile maritima. Physiol. Plant 2006, 126, 446–457. [Google Scholar] [CrossRef]
  103. El-Nakhel, C.; Cozzolino, E.; Ottaiano, L.; Petropoulos, S.A.; Nocerino, S.; Pelosi, M.E.; Rouphael, Y.; Mori, M.; Mola, I. Di Effect of Biostimulant Application on Plant Growth, Chlorophylls and Hydrophilic Antioxidant Activity of Spinach (Spinacia oleracea L.) Grown under Saline Stress. Horticulturae 2022, 8, 971. [Google Scholar] [CrossRef]
  104. Kyriacou, M.C.; Rouphael, Y. Towards a new definition of quality for fresh fruits and vegetables. Sci. Hortic. (Amst.) 2018, 234, 463–469. [Google Scholar] [CrossRef]
  105. Santamaria, P. Nitrate in vegetables: Toxicity, content, intake and EC regulation. J. Sci. Food Agric. 2006, 86, 10–17. [Google Scholar] [CrossRef]
  106. Lenzi, A.; Orlandini, A.; Bulgari, R.; Ferrante, A.; Bruschi, P. Antioxidant and mineral composition of three wild leafy species: A comparison between microgreens and baby greens. Foods 2019, 8, 487. [Google Scholar] [CrossRef]
  107. European Union. Statement on Possible Public Health Risks for Infants and Young Children from the Presence of Nitrates in Leafy Vegetables. EFSA J. 2010, 8, 2010–2012. [Google Scholar]
  108. Zörb, C.; Geilfus, C.M.; Dietz, K.J. Salinity and crop yield. Plant Biol. 2019, 21, 31–38. [Google Scholar] [CrossRef]
  109. Vineeth, T.V.; Krishna, G.K.; Pandesha, P.H.; Sathee, L.; Thomas, S.; James, D.; Ravikiran, K.T.; Taria, S.; John, C.; Vinaykumar, N.M.; et al. Photosynthetic machinery under salinity stress: Trepidations and adaptive mechanisms. Photosynthetica 2023, 61, 73–93. [Google Scholar] [CrossRef]
Figure 1. Salinity effect on the concentration of nitrates (mg NO3 kg−1 fresh weight (f.w.)) of the tested species grown under different cropping systems (mean ± S.D.; n = 5); different letters above columns indicate significant differences among salinity levels in each cultivation system according to the Duncan’s Multiple Range test at 5% significance level; vertical lines above bars indicate SD values.
Figure 1. Salinity effect on the concentration of nitrates (mg NO3 kg−1 fresh weight (f.w.)) of the tested species grown under different cropping systems (mean ± S.D.; n = 5); different letters above columns indicate significant differences among salinity levels in each cultivation system according to the Duncan’s Multiple Range test at 5% significance level; vertical lines above bars indicate SD values.
Agriculture 13 01852 g001
Figure 2. Salinity effect on the net photosynthetic rate (μmol CO2 cm−2 s−1; A,B), stomatal conductance (mol H2O cm−2 s−1; C,D) and transpiration rate (mmol H2O cm−2 s−1; E,F) of the tested species grown under different cropping systems (mean ± S.D.; n = 5); different letters above columns indicate significant differences among salinity levels in each cultivation system according to the Duncan’s Multiple Range test at 5% significance level; vertical lines above bars indicate SD values.
Figure 2. Salinity effect on the net photosynthetic rate (μmol CO2 cm−2 s−1; A,B), stomatal conductance (mol H2O cm−2 s−1; C,D) and transpiration rate (mmol H2O cm−2 s−1; E,F) of the tested species grown under different cropping systems (mean ± S.D.; n = 5); different letters above columns indicate significant differences among salinity levels in each cultivation system according to the Duncan’s Multiple Range test at 5% significance level; vertical lines above bars indicate SD values.
Agriculture 13 01852 g002
Figure 3. Three-dimensional scatterplot of principal components 1, 2, and 3 for Urospermum picroides.
Figure 3. Three-dimensional scatterplot of principal components 1, 2, and 3 for Urospermum picroides.
Agriculture 13 01852 g003
Figure 4. The loading plot of principal components 1 and 2 for Urospermum picroides.
Figure 4. The loading plot of principal components 1 and 2 for Urospermum picroides.
Agriculture 13 01852 g004
Figure 5. The loading plot of principal components 1 and 3 for Urospermum picroides.
Figure 5. The loading plot of principal components 1 and 3 for Urospermum picroides.
Agriculture 13 01852 g005
Figure 6. Three-dimensional scatterplot of principal components 1, 2, and 3 for Reichardia picroides.
Figure 6. Three-dimensional scatterplot of principal components 1, 2, and 3 for Reichardia picroides.
Agriculture 13 01852 g006
Figure 7. The loading plot of principal components 1 and 2 for Reichardia picroides.
Figure 7. The loading plot of principal components 1 and 2 for Reichardia picroides.
Agriculture 13 01852 g007
Figure 8. The loading plot of principal components 1 and 3 for Reichardia picroides.
Figure 8. The loading plot of principal components 1 and 3 for Reichardia picroides.
Agriculture 13 01852 g008
Table 1. Effect of salinity on plant leaf number and leaf area per plant of the tested species grown under different cropping systems (mean ± S.D.; n = 5).
Table 1. Effect of salinity on plant leaf number and leaf area per plant of the tested species grown under different cropping systems (mean ± S.D.; n = 5).
Urospermum picroidesReichardia picroides
Leaf NumberLeaf Area (cm2)Leaf NumberLeaf Area (cm2)
Salinity (S)******nsns
Cropping system (C)************
S × Cns*nsns
Salinity levelGreenhouse—Pots (GP)
EC-2 (control)13.3 ± 0.6 a†568.6 ± 51.5 a18.9 ± 2.2 b413.6 ± 32.6 ab
EC-512.8 ± 0.9 a483.5 ± 41.2 b23.9 ± 2.3 a462.4 ± 41.1 a
EC-1011.7 ± 0.5 b398.5 ± 72.0 c18.6 ± 2.7 b400.3 ± 42.3 b
Greenhouse—Floating hydroponics (FH)
EC-2 (control)12.7 ± 0.9 a452.1 ± 36.4 b19.0 ± 0.7 a303.4 ± 33.2 a
EC-511.9 ± 0.3 ab520.4 ± 46.5 a18.6 ± 2.0 a294.9 ± 31.8 a
EC-1011.1 ± 1.1 b358.6 ± 30.4 c16.2 ± 1.6 b222.8 ± 20.7 b
Field—Pots (FP)
EC-2 (control)10.8 ± 0.9 a278.0 ± 25.3 a37.2 ± 4.4 a377.3 ± 58.9 a
EC-59.5 ± 1.2 ab240.2 ± 19.7 b36.4 ± 5.9 a364.3 ± 66.9 a
EC-108.8 ± 0.7 b176.2 ± 13.0 c39.7 ± 7.0 a396.8 ± 64.7 a
†: Means in the same column and for the same cultivation system followed by the same letter do not significantly differ according to the Duncan’s Multiple Range test at 5% significance level; *: significant difference at 0.05; ***: significant difference at 0.001; ns: not significant.
Table 2. Salinity effect on fresh and dry leaf weight per plant of the tested species grown under different cropping systems (mean ± S.D.; n = 5).
Table 2. Salinity effect on fresh and dry leaf weight per plant of the tested species grown under different cropping systems (mean ± S.D.; n = 5).
Urospermum picroidesReichardia picroides
Fresh Leaf Weight (g) Dry Leaf Weight (g)Fresh Leaf Weight (g) Dry Leaf Weight (g)
Salinity (S)******nsns
Cropping system (C)************
S × C*****
Salinity levelGreenhouse—Pots (GP)
EC-2 (control)25.3 ± 2.2 a† 1.77 ± 0.11 a25.8 ± 2.0 b1.55 ± 0.12 a
EC-522.4 ± 1.3 b1.57 ± 0.23 a30.7 ± 2.3 a1.53 ± 0.12 a
EC-1020.0 ± 1.9 b1.60 ± 0.23 a26.8 ± 3.1 b1.61 ± 0.24 a
Greenhouse—Floating hydroponics (FH)
EC-2 (control)22.9 ± 1.6 b1.38 ± 0.10 b20.9 ± 2.8 a1.26 ± 0.17 a
EC-525.7 ± 1.6 a1.54 ± 0.09 a 19.3 ± 1.3 a1.35 ± 0.09 a
EC-1017.9 ± 2.1 c1.25 ± 0.09 b15.5 ± 2.2 b0.93 ± 0.13 b
Field—Pots (FP)
EC-2 (control)14.6 ± 1.1 a1.32 ± 0.10 a31.9 ± 4.4 a2.16 ± 0.31 a
EC-513.3 ± 1.2 a1.06 ± 0.10 b33.2 ± 6.0 a2.32 ± 0.42 a
EC-1010.1 ± 1.3 b0.71 ± 0.09 c36.8 ± 4.9 a2.57 ± 0.35 a
†: Means in the same column and for the same cultivation system followed by the same letter do not significantly differ according to the Duncan’s Multiple Range test at 5% significance level; *: significant difference at 0.05; **: significant difference at 0.01; ***: significant difference at 0.001; ns: not significant.
Table 3. Salinity effect on the percentage of dry weight (DW%) and leaf mass per area (LMA, mg cm−2) of the tested species grown under different cropping systems (mean ± S.D.; n = 5).
Table 3. Salinity effect on the percentage of dry weight (DW%) and leaf mass per area (LMA, mg cm−2) of the tested species grown under different cropping systems (mean ± S.D.; n = 5).
Urospermum picroidesReichardia picroides
DW (%)LMA (mg cm−2)DW (%)LMA (mg cm−2)
Salinity (S)nsnsns***
Cropping system (C)************
S × C******ns***
Salinity levelGreenhouse—Pots (GP)
EC-2 (control)7.20 ± 0.45 a†3.11 ± 0.22 b6.20 ± 0.45 a3.75 ± 0.13 b
EC-56.80 ± 0.84 a3.26 ± 0.22 b5.00 ± 0.01 b3.32 ± 0.16 c
EC-107.40 ± 0.55 a3.79 ± 0.38 a6.25 ± 0.50 a4.02 ± 0.22 a
Greenhouse—Floating hydroponics (FH)
EC-2 (control)6.00 ± 0.01 b3.05 ± 0.19 b6.20 ± 0.84 a4.14 ± 0.17 b
EC-56.25 ± 0.50 b2.98 ± 0.23 b7.20 ± 1.30 a4.60 ± 0.27 a
EC-107.00 ± 0.01 a3.49 ± 0.27 a6.40 ± 0.55 a4.17 ± 0.24 b
Field—Pots (FP)
EC-2 (control)9.00 ± 0.71 a4.76 ± 0.37 a7.20 ± 1.10 a5.75 ± 0.11 b
EC-58.20 ± 0.84 a4.43 ± 0.36 ab6.80 ± 0.45 a6.38 ± 0.05 a
EC-107.00 ± 0.01 b4.02 ± 0.36 b7.00 ± 0.71 a6.52 ± 0.43 a
†: in the same column and for the same cultivation system followed by the same letter results do not significantly differ according to the Duncan’s Multiple Range test at 5% significance level; ***: significant difference at 0.001; ns: not significant.
Table 4. Effect of salinity on the total soluble solids content (TSSC; °Brix) and titratable acidity (TA; g malic acid 100 g−1 f.w.) of leaves of the tested species grown under different cropping systems (mean ± S.D.; n = 5).
Table 4. Effect of salinity on the total soluble solids content (TSSC; °Brix) and titratable acidity (TA; g malic acid 100 g−1 f.w.) of leaves of the tested species grown under different cropping systems (mean ± S.D.; n = 5).
Urospermum picroidesReichardia picroides
TSSC
(°Brix)
TA (g Malic Acid 100 g−1)TSSC
(°Brix)
TA (g Malic Acid 100 g−1)
Salinity (S)*****nsns
Cropping system (C)**ns**ns
S × Cns**ns
Salinity levelGreenhouse—Pots (GP)
EC-2 (control)2.35 ± 0.17 b†0.074 ± 0.015 a2.40 ± 0.27 a0.057 ± 0.005 a
EC-52.74 ± 0.27 a0.050 ± 0.005 b2.14 ± 0.27 a0.046 ± 0.010 b
EC-102.98 ± 0.20 a0.070 ± 0.009 a2.46 ± 0.26 a0.058 ± 0.009 a
Greenhouse—Floating hydroponics (FH)
EC-2 (control)2.26 ± 0.23 b0.053 ± 0.006 b2.34 ± 0.22 b0.054 ±0.009 a
EC-52.44 ± 0.29 b0.059 ± 0.011 ab3.06 ± 0.15 a0.059 ± 0.007 a
EC-103.23 ± 0.33 a0.068 ± 0.007 a2.88 ± 0.28 a0.058 ± 0.014 a
Field—Pots (FP)
EC-2 (control)3.18 ± 0.54 a0.078 ± 0.015 a2.70 ± 0.31 a0.057 ± 0.006 a
EC-52.97 ± 0.55 a0.055 ± 0.012 b2.30 ± 0.38 a0.059 ± 0.012 a
EC-103.54 ± 0.59 a0.056 ± 0.007 b2.48 ± 0.29 a0.061 ± 0.013 a
†: Means in the same column and for the same cultivation system followed by the same letter do not significantly differ according to the Duncan’s Multiple Range test at 5% significance level; *: significant difference at 0.05; **: significant difference at 0.01; ***: significant difference at 0.001; ns: not significant.
Table 5. Effect of salinity on the total chlorophylls (mg 100 g−1 fresh weight (f.w.)) and carotenoids (mg 100 g−1 fresh weight (f.w.)) content in leaves of the tested species grown under different cropping systems (mean ± S.D.; n = 5).
Table 5. Effect of salinity on the total chlorophylls (mg 100 g−1 fresh weight (f.w.)) and carotenoids (mg 100 g−1 fresh weight (f.w.)) content in leaves of the tested species grown under different cropping systems (mean ± S.D.; n = 5).
Urospermum picroidesReichardia picroides
Chlorophylls
(mg 100 g−1 f.w.)
Carotenoids
(mg 100 g−1 f.w.)
Chlorophylls (mg 100 g−1 f.w.)Carotenoids (mg 100 g−1 f.w.)
Salinity (S)******nsns
Cropping system (C)********
S × Cnsnsnsns
Salinity levelGreenhouse—Pots (GP)
EC-2 (control)111.1 ± 13.9 a†10.03 ± 2.14 a62.6 ± 4.0 b5.37 ± 0.53 ab
EC-589.8 ± 16.7 b8.14 ± 1.61 b55.7 ± 8.5 b5.21 ± 0.86 b
EC-10113.2 ± 3.9 a9.00 ± 0.88 ab75.0 ± 10.9 a6.22 ± 0.62 a
Greenhouse—Floating hydroponics (FH)
EC-2 (control)89.0 ± 14.8 b9.05 ± 0.55 a73.9 ± 11.1 a5.68 ± 0.94 b
EC-570.8 ± 3.2 c6.36 ± 0.81 b74.8 ± 6.9 a7.59 ± 1.17 a
EC-10102.9 ± 9.0 a9.49 ± 1.39 a74.7 ± 9.6 a6.87 ± 1.15 ab
Field—Pots (FP)
EC-2 (control)84.1 ± 8.8 a10.45 ± 0.60 a71.2 ± 5.5 a8.32 ± 0.92 ab
EC-578.9 ± 5.9 a8.85 ± 0.61 b74.3 ± 10.0 a8.71 ± 0.79 a
EC-1082.2 ± 16.4 a8.88 ± 0.74 b72.4 ± 2.7 a7.39 ± 0.90 b
†: Means in the same column and for the same cultivation system followed by the same letter do not significantly differ according to the Duncan’s Multiple Range test at 5% significance level; *: significant difference at 0.05; ***: significant difference at 0.001; ns: not significant.
Table 6. Effect of salinity on the total phenolic compounds (TPC; mg GAE 100 g−1 fresh weight (f.w.)) and proline (μmole proline g−1 f.w.) content in leaves of the tested species grown under different cropping systems (mean ± S.D.; n = 5).
Table 6. Effect of salinity on the total phenolic compounds (TPC; mg GAE 100 g−1 fresh weight (f.w.)) and proline (μmole proline g−1 f.w.) content in leaves of the tested species grown under different cropping systems (mean ± S.D.; n = 5).
Urospermum picroidesReichardia picroides
TPC (mg GAE 100 g−1 f.w.)Proline
(μmole g−1 f.w.)
TPC (mg GAE 100 g−1 f.w.)Proline (μmole g−1 f.w.)
Salinity (S)ns*******
Cropping system (C)***********
S × C**ns******
Salinity levelGreenhouse—Pots (GP)
EC-2 (control)47.0 ± 5.0 b†0.158 ± 0.046 c50.1 ± 5.4 a0.448 ± 0.009 b
EC-549.2 ± 8.4 b0.482 ± 0.112 b45.5 ± 9.1 a0.394 ± 0.110 b
EC-1059.8 ± 8.3 a1.053 ± 0.129 a51.8 ± 3.5 a0.578 ± 0.144 a
Greenhouse—Floating hydroponics (FH)
EC-2 (control)40.4 ± 3.1 a0.137 ± 0.034 c62.8 ± 5.7 b0.028 ± 0.006 c
EC-528.9 ± 4.5 b0.248 ± 0.019 b91.0 ± 8.7 a1.010 ± 0.120 b
EC-1036.9 ± 0.7 a0.720 ± 0.083 a65.3 ± 10.5 b1.444 ± 0.228 a
Field—Pots (FP)
EC-2 (control)139.8 ± 6.7 a0.195 ± 0.045 b165.5 ± 11.0 a0.118 ± 0.018 b
EC-5127.8 ± 5.9 b0.301 ± 0.025 b148.8 ± 8.3 b0.142 ± 0.014 b
EC-10112.6 ± 11.5 c0.949 ± 0.140 a136.8 ± 10.8 b0.383 ± 0.049 a
†: Means in the same column and for the same cultivation system followed by the same letter do not significantly differ according to the Duncan’s Multiple Range test at 5% significance level; *: significant difference at 0.05; **: significant difference at 0.01; ***: significant difference at 0.001; ns: not significant.
Table 7. Salinity effect on the antioxidant activity of leaves of the tested species grown under different cropping systems (mean ± S.D.; n = 5) assayed by the TEAC (mmol Trolox 100 g−1 fresh weight (f.w.)) and FRAP (mg ascorbate 100 g−1 f.w.) methods.
Table 7. Salinity effect on the antioxidant activity of leaves of the tested species grown under different cropping systems (mean ± S.D.; n = 5) assayed by the TEAC (mmol Trolox 100 g−1 fresh weight (f.w.)) and FRAP (mg ascorbate 100 g−1 f.w.) methods.
Urospermum picroidesReichardia picroides
TEAC (mmol Trolox 100 g−1 f.w.)FRAP (mg Ascorbate 100 g−1 f.w.)TEAC (mmol Trolox 100 g−1 f.w.)FRAP (mg Ascorbate 100 g−1 f.w.)
Salinity (S)ns*******
Cropping system (C)************
S × Cns********
Salinity levelGreenhouse—Pots (GP)
EC-2 (control)7.35 ± 1.68 b†58.12 ± 9.90 a12.50 ± 1.23 a32.39 ± 4.37 b
EC-58.81 ± 1.90 b48.70 ± 5.55 b12.96 ± 0.88 a33.80 ± 1.18 b
EC-1012.68 ± 2.46 a60.27 ± 2.95 a12.67 ± 0.94 a39.49 ± 4.43 a
Greenhouse—Floating hydroponics (FH)
EC-2 (control)6.01 ± 0.70 b41.18 ± 4.64 a13.80 ± 1.04 b44.14 ± 5.95 b
EC-55.98 ± 0.70 b32.14 ± 5.87 b15.58 ± 1.41 a73.97 ± 6.59 a
EC-108.19 ± 0.77 a30.43 ± 0.51 b14.30 ± 1.15 ab39.04 ± 7.61 b
Field—Pots (FP)
EC-2 (control)28.75 ± 4.40 b 124.3 ± 21.9 b37.19 ± 3.88 c157.7 ± 13.9 a
EC-524.86 ± 7.58 b121.4 ± 28.7 b45.00 ± 1.84 a123.9 ± 19.4 b
EC-1044.34 ± 2.29 a222.3 ± 3.9 a40.93 ± 2.95 b110.3 ± 15.0 b
†: Means in the same column and for the same cultivation system followed by the same letter do not significantly differ according to the Duncan’s Multiple Range test at 5% significance level; *: significant difference at 0.05; **: significant difference at 0.01; ***: significant difference at 0.001; ns: not significant.
Table 8. Salinity effect on the maximum quantum efficiency of PSII primary photochemistry of the tested species grown under different cropping systems (mean ± S.D.; n = 5).
Table 8. Salinity effect on the maximum quantum efficiency of PSII primary photochemistry of the tested species grown under different cropping systems (mean ± S.D.; n = 5).
Salinity levelMaximum Quantum Efficiency of PSII (Fv/Fm)
Urospermum picroidesReichardia picroides
Greenhouse—Pots (GP)
EC-2 (control)0.839 ± 0.002 a†0.833 ± 0.006 a
EC-50.832 ± 0.007 a0.833 ± 0.006 a
EC-100.829 ± 0.008 a0.832 ±0.013 a
Greenhouse—Floating hydroponics (FH)
EC-2 (control)0.844 ± 0.005 a0.828 ± 0.006 a
EC-50.833 ± 0.004 a0.831 ± 0.012 a
EC-100.831 ± 0.010 a0.816 ± 0.009 b
Field—Pots (FP)
EC-2 (control)0.825 ± 0.014 a0.817 ± 0.035 a
EC-50.830 ± 0.012 a0.826 ± 0.010 a
EC-100.823 ± 0.005 a0.814 ± 0.022 a
†: in the same column and for the same cultivation system followed by the same letter results do not significantly differ according to the Duncan’s Multiple Range test at 5% significance level.
Disclaimer/Publisher’s Note: The statements, opinions and data contained in all publications are solely those of the individual author(s) and contributor(s) and not of MDPI and/or the editor(s). MDPI and/or the editor(s) disclaim responsibility for any injury to people or property resulting from any ideas, methods, instructions or products referred to in the content.

Share and Cite

MDPI and ACS Style

Vidalis, N.; Kourkouvela, M.; Argyris, D.-C.; Liakopoulos, G.; Alexopoulos, A.; Petropoulos, S.A.; Karapanos, I. The Impact of Salinity on Growth, Physio-Biochemical Characteristics, and Quality of Urospermum picroides and Reichardia picroides Plants in Varied Cultivation Regimes. Agriculture 2023, 13, 1852. https://doi.org/10.3390/agriculture13091852

AMA Style

Vidalis N, Kourkouvela M, Argyris D-C, Liakopoulos G, Alexopoulos A, Petropoulos SA, Karapanos I. The Impact of Salinity on Growth, Physio-Biochemical Characteristics, and Quality of Urospermum picroides and Reichardia picroides Plants in Varied Cultivation Regimes. Agriculture. 2023; 13(9):1852. https://doi.org/10.3390/agriculture13091852

Chicago/Turabian Style

Vidalis, Nikolina, Maria Kourkouvela, Dimitrios-Christos Argyris, Georgios Liakopoulos, Alexios Alexopoulos, Spyridon A. Petropoulos, and Ioannis Karapanos. 2023. "The Impact of Salinity on Growth, Physio-Biochemical Characteristics, and Quality of Urospermum picroides and Reichardia picroides Plants in Varied Cultivation Regimes" Agriculture 13, no. 9: 1852. https://doi.org/10.3390/agriculture13091852

APA Style

Vidalis, N., Kourkouvela, M., Argyris, D.-C., Liakopoulos, G., Alexopoulos, A., Petropoulos, S. A., & Karapanos, I. (2023). The Impact of Salinity on Growth, Physio-Biochemical Characteristics, and Quality of Urospermum picroides and Reichardia picroides Plants in Varied Cultivation Regimes. Agriculture, 13(9), 1852. https://doi.org/10.3390/agriculture13091852

Note that from the first issue of 2016, this journal uses article numbers instead of page numbers. See further details here.

Article Metrics

Back to TopTop