Perennial Ryegrass (Lolium perenne L.) Response to Different Forms of Sulfur Fertilizers
Abstract
:1. Introduction
2. Materials and Methods
2.1. Pot Experiment
2.2. Schedule of Experience
2.3. Cultivated Plant and Its Vegetation
2.4. Sample Preparation and Methods for Chemical Analysis
2.5. Statistical Analysis
3. Results and Discussion
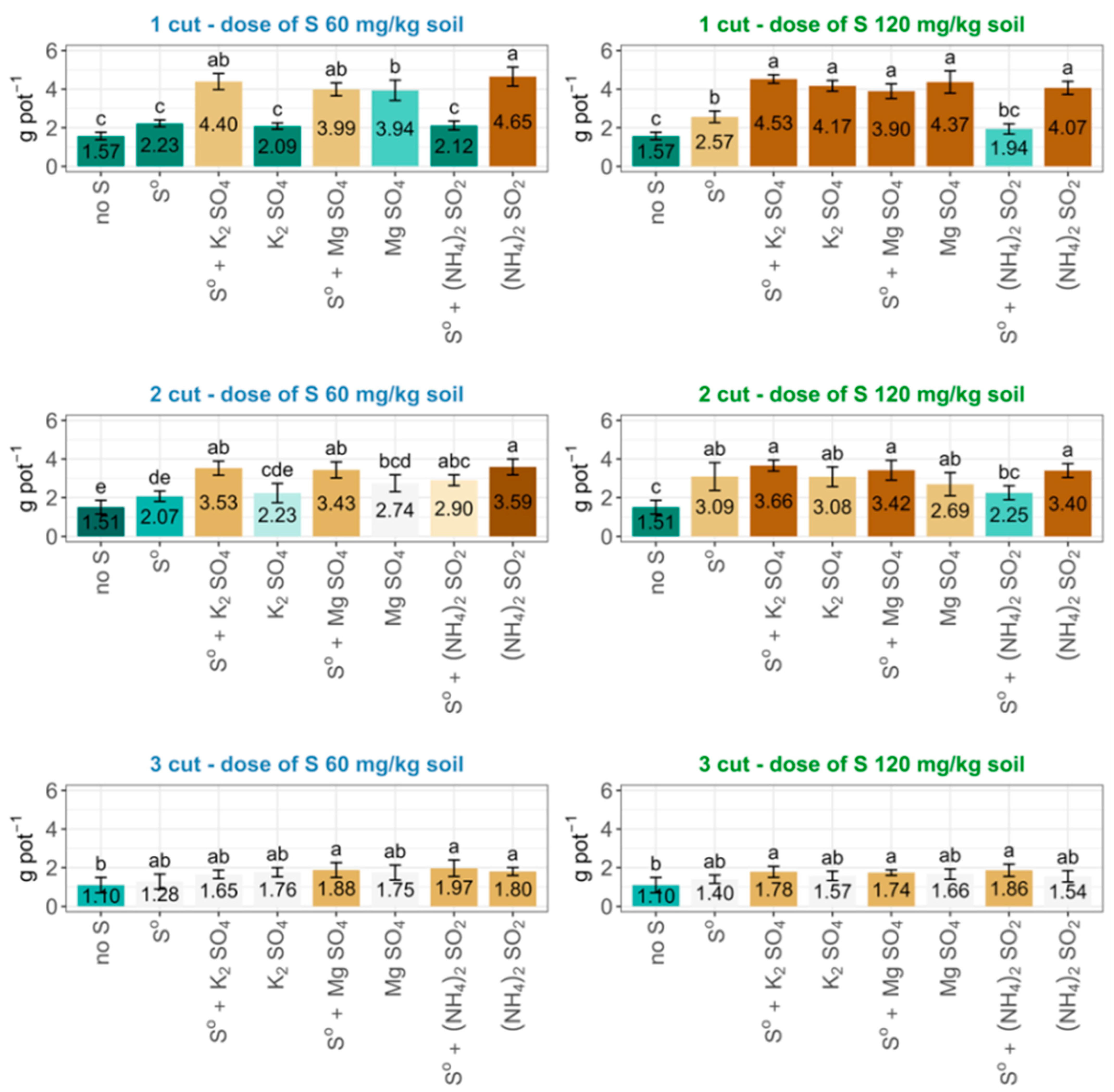
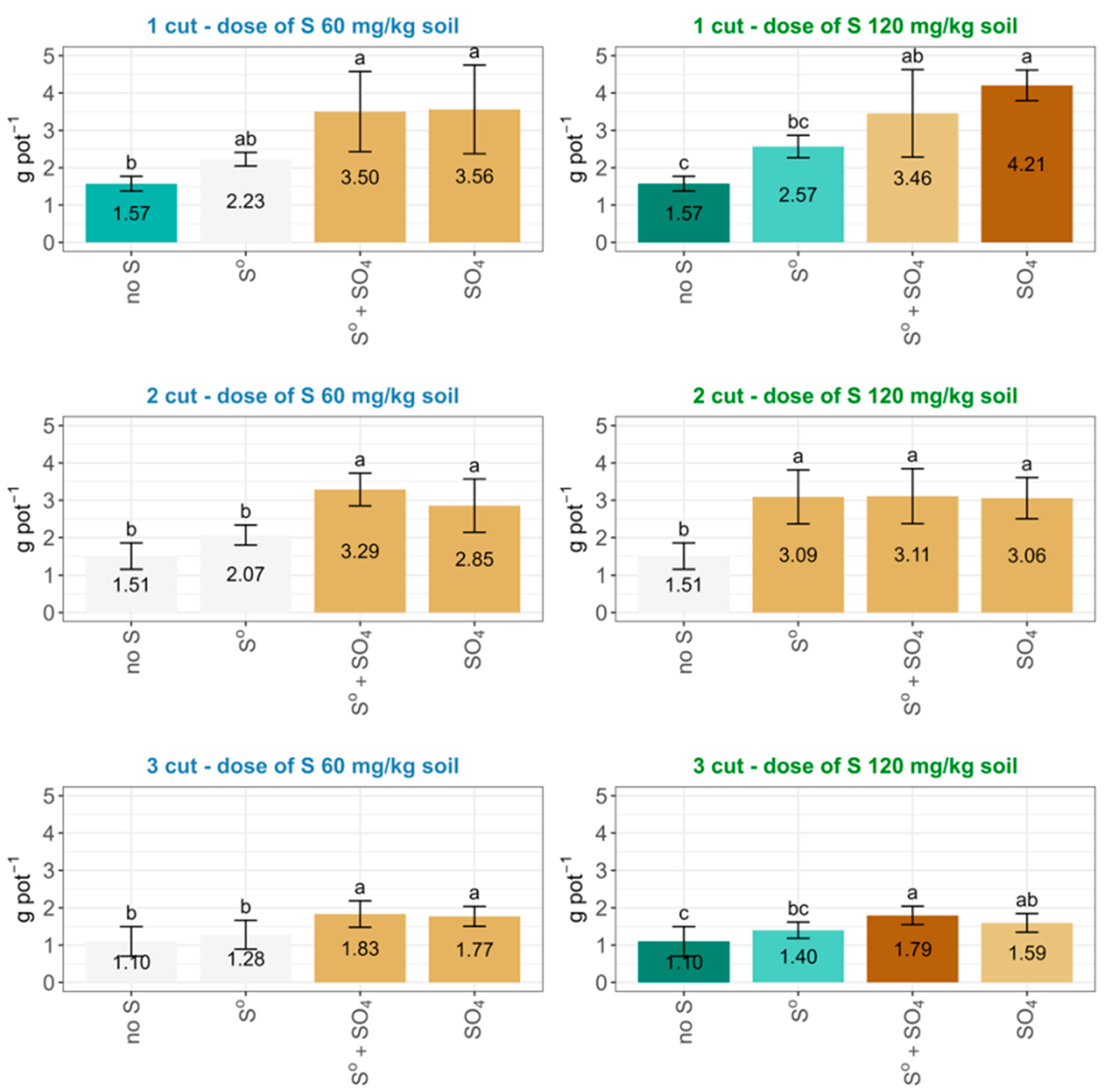
3.1. Fresh and Dry Mass
3.2. Nitrogen Content and Uptake
3.3. Sulfur Content and Uptake
3.4. Soil Properties after Experiment
4. Conclusions
Author Contributions
Funding
Data Availability Statement
Conflicts of Interest
References
- Zenda, T.; Liu, S.; Dong, A.; Duan, H. Revisiting Sulphur—The Once Neglected Nutrient: It’s Roles in Plant Growth, Metabolism, Stress Tolerance and Crop Production. Agriculture 2021, 11, 626. [Google Scholar] [CrossRef]
- Kopriva, S.; Malagoli, M.; Takahashi, H. Sulfur Nutrition: Impacts on Plant Development, Metabolism, and Stress Responses. J. Exp. Bot. 2019, 70, 4069–4073. [Google Scholar] [CrossRef] [PubMed]
- Haider, K.; Schäffer, A. Turnover of Nitrogen, Phosphorus and Sulfur in Soils and Sediments. In Soil Biochemistry; Science Publishers: Enfield, NH, USA, 2009; pp. 49–75. [Google Scholar]
- Messick, D. The Sulphur Outlook, TFI Fertilizer Outlook Presentations; The World Sulphur Institute: Tampa, FL, USA, 2013; Available online: http://www.firt.org (accessed on 20 August 2023).
- Webb, J.; Jephcote, C.; Fraser, A.; Wiltshire, J.; Aston, S.; Rose, R.; Vincent, K.; Roth, B. Do UK Crops and Grassland Require Greater Inputs of Sulphur Fertilizer in Response to Recent and Forecast Reductions in Sulphur Emissions and Deposition? Soil Use Manag. 2016, 32, 3–16. [Google Scholar] [CrossRef]
- Feinberg, A.; Stenke, A.; Peter, T.; Hinckley, E.-L.S.; Driscoll, C.T.; Winkel, L.H.E. Reductions in the Deposition of Sulfur and Selenium to Agricultural Soils Pose Risk of Future Nutrient Deficiencies. Commun. Earth Environ. 2021, 2, 101. [Google Scholar] [CrossRef]
- Hartmann, K.; Lilienthal, H.; Schnug, E. Risk Mapping of Potential Sulphur Deficiency in Agriculture under Actual and Future Climate Scenarios in Germany. In Effects of Climate Change on Plants: Implications for Agriculture; Halford, N.G., Jones, H.D., Lawlor, D.W., Eds.; Aspects of Applied Biology; Association of Applied Biologists: Wellesbourne, UK, 2008; Volume 88, pp. 113–120. [Google Scholar]
- Engardt, M.; Simpson, D.; Schwikowski, M.; Granat, L. Deposition of Sulphur and Nitrogen in Europe 1900–2050. Model Calculations and Comparison to Historical Observations. Tellus B Chem. Phys. Meteorol. 2017, 69, 1328945. [Google Scholar] [CrossRef]
- Rengel, Z.; Cakmak, I.; White, P.J. Marschner’s Mineral Nutrition of Plants, 4th ed.; Elsevier Ltd.: Oxford, UK, 2023. [Google Scholar]
- Taiz, L.; Zeiger, E.; Møller, I.M.; Murphy, A.S. (Eds.) Plant Physiology and Development, 6th ed.; Sinauer Associates, Inc.: Sunderland, MA, USA, 2015. [Google Scholar]
- Narayan, O.P.; Kumar, P.; Yadav, B.; Dua, M.; Johri, A.K. Sulfur Nutrition and Its Role in Plant Growth and Development. Plant Signal. Behav. 2022, 2030082. [Google Scholar] [CrossRef]
- Castro, V.; Carpena, M.; Fraga-Corral, M.; Lopez-Soria, A.; Garcia-Perez, P.; Barral-Martinez, M.; Perez-Gregorio, R.; Cao, H.; Simal-Gandara, J.; Prieto, M.A. Sulfur-Containing Compounds from Plants. In Natural Secondary Metabolites: From Nature, Through Science, to Industry; Carocho, M., Heleno, S.A., Barros, L., Eds.; Springer International Publishing: Cham, Switzerland, 2023; pp. 363–402. ISBN 978-3-031-18587-8. [Google Scholar]
- Shah, S.H.; Islam, S.; Mohammad, F. Sulphur as a Dynamic Mineral Element for Plants: A Review. J. Soil Sci. Plant Nutr. 2022, 22, 2118–2143. [Google Scholar] [CrossRef]
- Fageria, V.D. Nutrient Interactions in Crop Plants. J. Plant Nutr. 2001, 24, 1269–1290. [Google Scholar] [CrossRef]
- Skwierawska, M.; Skwierawska, M.; Skwierawski, A.; Benedycka, Z.; Jankowski, K. Sulphur as a Fertiliser Component Determining Crop Yield and Quality. J. Elem. 2016, 21, 609–623. [Google Scholar] [CrossRef]
- Stevens, R.J.; Watson, C.J. The Response of Grass for Silage to Sulphur Application at 20 Sites in Northern Ireland. J. Agric. Sci. 1986, 107, 565–571. [Google Scholar] [CrossRef]
- Hahtonen, M.; Saarela, I. The Effects of Sulphur Application on Yield, Sulphur Content and N/S-Ratio of Grasses for Silage at Six Sites in Finland. Acta Agric. Scand. Sect. B-Soil Plant Sci. 1995, 45, 104–111. [Google Scholar] [CrossRef]
- Zhao, J.F.; Withers, A.P.J.; Evans, J.E.; Monaghan, J.; Salmon, E.S.; Shewry, R.P.; McGrath, P.S. Sulphur Nutrition: An Important Factor for the Quality of Wheat and Rapeseed. Soil Sci. Plant Nutr. 1997, 43, 1137–1142. [Google Scholar] [CrossRef]
- Grzebisz, W.; Przygocka-Cyna, K. Spring Malt Barley Response to Elemental Sulphur– the Prognostic Value of N and S Concentrations in Malt Barley Leaves. Plant Soil Environ. 2007, 53, 388–394. [Google Scholar] [CrossRef]
- Zhao, F.J.; Tausz, M.; De Kok, L.J. Role of Sulfur for Plant Production in Agricultural and Natural Ecosystems. In Sulfur Metabolism in Phototrophic Organisms; Hell, R., Dahl, C., Knaff, D., Leustek, T., Eds.; Springer: Berlin/Heidelberg, Germany, 2008; pp. 417–435. [Google Scholar]
- De Bona, F.D.; Monteiro, F.A. Nitrogen and Sulfur Fertilization and Dynamics in a Brazilian Entisol under Pasture. Soil Sci. Soc. Am. J. 2010, 74, 1248–1258. [Google Scholar] [CrossRef]
- Rathore, S.S.; Shekhawat, K.; Kandpal, B.K.; Premi, O.P. Improving Nutrient Use Efficiency in Oilseeds Brassica. In Nutrient Use Efficiency: From Basics to Advances; Rakshit, A., Singh, H.B., Sen, A., Eds.; Springer: New Delhi, India, 2015; pp. 317–327. ISBN 978-81-322-2169-2. [Google Scholar]
- Singh, D.P.; Gulpadiya, V.K.; Chauhan, R.S.; Singh, S.P. Effect of Sulphur on Productivity, Economics and Nutrient Uptake in Spinach. Ann. Plant Soil Res. 2015, 17, 29–32. [Google Scholar]
- Mathot, M.; Thélier-Huché, L.; Lambert, R. Sulphur and Nitrogen Content as Sulphur Deficiency Indicator for Grasses. Eur. J. Agron. 2009, 30, 172–176. [Google Scholar] [CrossRef]
- Mathot, M.; Mertens, J.; Verlinden, G.; Lambert, R. Positive Effects of Sulphur Fertilisation on Grasslands Yields and Quality in Belgium. Eur. J. Agron. 2008, 28, 655–658. [Google Scholar] [CrossRef]
- Edmeades, D.C.; Thorrold, B.S.; Roberts, A.H.C. The Diagnosis and Correction of Sulfur Deficiency and the Management of Sulfur Requirements in New Zealand Pastures: A Review. Aust. J. Exp. Agric. 2005, 45, 1205–1223. [Google Scholar] [CrossRef]
- Aspel, C.; Murphy, P.N.C.; McLaughlin, M.J.; Forrestal, P.J. Sulfur Fertilization Strategy Affects Grass Yield, Nitrogen Uptake, and Nitrate Leaching: A Field Lysimeter Study#. J. Plant Nutr. Soil Sci. 2022, 185, 209–220. [Google Scholar] [CrossRef]
- FAO. Standard Operating Procedure for Soil Total Nitrogen-Dumas Dry Combustion Method; FAO: Rome, Italy, 2021. [Google Scholar]
- Butters, B.; Chenery, E.M. A Rapid Method for the Determination of Total Sulphur in Soils and Plants. Analyst 1959, 84, 239–245. [Google Scholar] [CrossRef]
- Bardsley, C.E.; Lancaster, J.D. Determination of Reserve Sulfur and Soluble Sulfates in Soils. Soil Sci. Soc. Am. J. 1959, 24, 265–268. [Google Scholar] [CrossRef]
- Egner, H.; Riehm, H. Doppellaktatmethode. In Methodenbuch Band I. Die Untersuchung von Boden; Thun, R., Hersemann, R., Knickmann, E., Eds.; Neumann Verlag: Radebeul/Berlin, Germany, 1955; pp. 110–125. [Google Scholar]
- Schachtschabel, P. Das Pflanzenverfügbare Magnesium Des Boden Und Seine Bestimmung. Z. Pflanzenernährung Düngung Bodenkd. 1954, 67, 9–23. [Google Scholar]
- R Core Team. R: A Language and Environment for Statistical Computing. In R Foundation for Statistical Computing; R Core Team: Vienna, Austria, 2023; Available online: https://www.R-project.org (accessed on 6 June 2023).
- Degryse, F.; da Silva, R.C.; Baird, R.; Beyrer, T.; Below, F.; McLaughlin, M.J. Uptake of Elemental or Sulfate-S from Fall- or Spring-Applied Co-Granulated Fertilizer by Corn—A Stable Isotope and Modeling Study. Field Crops Res. 2018, 221, 322–332. [Google Scholar] [CrossRef]
- Taube, F.; Jahns, U.; Wulfes, R.; Südekum, K.-H. Einfluß Der Schwefelversorgung Auf Ertrag Und Inhaltsstoffe von Deutschem Weidelgras (Lolium perenne L.). Pflanzenbauwissenschaften 2000, 4, 42–51. [Google Scholar]
- Grant, C.A.; Mahli, S.S.; Karamanos, R.E. Sulfur Management for Rapeseed. Field Crops Res. 2012, 128, 119–128. [Google Scholar] [CrossRef]
- Grygierzec, B.; Luty, L.; Musiał, K. The Efficiency of Nitrogen and Sulphur Fertilization on Yields and Value of N:S Ratio for Lolium x Boucheanum. Plant Soil Environ. 2015, 61, 137–143. [Google Scholar] [CrossRef]
- Jankowski, K.J.; Kijewski, Ł.; Groth, D.; Skwierawska, M.; Budzyński, W.S. The Effect of Sulfur Fertilization on Macronutrient Concentrations in the Post-Harvest Biomass of Rapeseed (Brassica napus L. Ssp. Oleifera Metzg). J. Elem. 2015, 3, 585–597. [Google Scholar] [CrossRef]
- Brown, L.; Scholefield, D.; Jewkes, E.C.; Preedy, N.; Wadge, K.; Butler, M. The Effect of Sulphur Application on the Efficiency of Nitrogen Use in Two Contrasting Grassland Soils. J. Agric. Sci. 2000, 135, 131–138. [Google Scholar] [CrossRef]
- De Kok, L.J.; Tausz, M.; Hawkesford, M.J.; Hoefgen, R.; McManus, M.T.; Norton, R.M.; Rennenberg, H.; Saito, K.; Schnug, E.; Tabe, L. Sulfur Metabolism in Plants: Mechanisms and Applications to Food Security and Responses to Climate Change; Springer: Dordrecht, The Netherlands, 2012. [Google Scholar]
- Hawkesford, M.J.; De Kok, L.J. Managing Sulphur Metabolism in Plants. Plant Cell Environ. 2006, 29, 382–395. [Google Scholar] [CrossRef]
- Hawkesford, M.J. Plant Responses to Sulphur Deficiency and the Genetic Manipulation of Sulphate Transporters to Improve S-Utilization Efficiency. J. Exp. Bot. 2000, 51, 131–138. [Google Scholar] [CrossRef]
- Dijkshoorn, W.; van Wijk, A.L. The Sulphur Requirements of Plants as Evidenced by the Sulphur-Nitrogen Ratio in the Organic Matter a Review of Published Data. Plant Soil 1967, 26, 129–157. [Google Scholar] [CrossRef]
- Mathot, M.; Lambert, R.; Toussaint, B.; Peeters, A. Total Sulphur Content and N:S Ratio as Indicators for S Deficiency in Grasses. Int. Grassl. Congr. Proc. 2005, 976. [Google Scholar]
- Tallec, T.; Diquélou, S.; Lemauviel, S.; Cliquet, J.B.; Lesuffleur, F.; Ourry, A. Nitrogen:Sulphur Ratio Alters Competition between Trifolium Repens and Lolium Perenne under Cutting: Production and Competitive Abilities. Eur. J. Agron. 2008, 29, 94–101. [Google Scholar] [CrossRef]
- Murphy, M.D.; O’Donnell, T. Sulphur Deficiency in Herbage in Ireland: 2. Sulphur Fertilisation and Its Effect on Yield and Quality of Herbage. Ir. J. Agric. Res. 1989, 28, 79–90. [Google Scholar]
- Boswell, C.; Friesen, D. Elemental Sulfur Fertilizers and Their Use on Crops and Pastures. Nutr. Cycl. Agroecosystems 1993, 35, 127–149. [Google Scholar] [CrossRef]
- Deubel, A.; Braune, H.; Tanneberg, H.; Merbach, W. Conversion and Acidifying Effect of Elemental Sulphur in an Alkaline Loess Soil. Arch. Agron. Soil Sci. 2007, 53, 161–171. [Google Scholar] [CrossRef]
- Skwierawska, M.; Zawartka, L.; Zawadzki, B. The Effect of Different Rates and Forms of Sulphur Applied on Changes of Soil Agrochemical Properties. Plant Soil Environ. 2008, 54, 171–177. [Google Scholar] [CrossRef]
- Kulczycki, G. The Effect of Elemental Sulfur Fertilization on Plant Yields and Soil Properties. In Advances in Agronomy; Academic Press: Cambridge, MA, USA, 2021; ISBN 0065-2113. [Google Scholar]
- Zhao, F.J.; Wu, J.; McGrath, S.P. Soil Organic Sulphur and Its Turnover. In Humic Substances in Terrestrial Ecosystems; Alessandro, P., Ed.; Elsevier Science B.V.: Amsterdam, The Netherlands, 1996; pp. 467–506. ISBN 978-0-444-81516-3. [Google Scholar]
- Jaggi, A.F.F.; Aulakh, M.S.; Sharma, R. Temperature Effects on Soil Organic Sulphur Mineralization and Elemental Sulphur Oxidation in Subtropical Soils of Varying PH. Nutr. Cycl. Agroecosyst. 1999, 54, 175–182. [Google Scholar] [CrossRef]
- Haque, M.A.; Mclaren, R.G.; Condron, L.M.; Williams, P.H.; Francis, G.S. Organic Sulphur and Nitrogen in Pasture-Cereal Mixed Cropping Soils and Related Factors—A Review . J. Soil Nat. 2007, 1, 39–54. [Google Scholar]
- Ikoyi, I.; Fowler, A.; Storey, S.; Doyle, E.; Schmalenberger, A. Sulfate Fertilization Supports Growth of Ryegrass in Soil Columns but Changes Microbial Community Structures and Reduces Abundances of Nematodes and Arbuscular Mycorrhiza. Sci. Total Environ. 2020, 704, 135315. [Google Scholar] [CrossRef]
- Magnucka, E.G.; Kulczycki, G.; Oksińska, M.P.; Kucińska, J.; Pawęska, K.; Milo, Ł.; Pietr, S.J. The Effect of Various Forms of Sulfur on Soil Organic Matter Fractions and Microorganisms in a Pot Experiment with Perennial Ryegrass (Lolium perenne L.). Plants 2023, 12, 2649. [Google Scholar] [CrossRef] [PubMed]
- Freney, J.; Spencer, K. Soil Sulphate Changes in the Presence and Absence of Growing Plants. Aust. J. Agric. Res. 1960, 11, 339–345. [Google Scholar] [CrossRef]
- Barrow, N.J. Studies on Mineralization of Sulphur from Soil Organic Matter. Aust. J. Agric. Res. 1961, 12, 306–319. [Google Scholar] [CrossRef]
- Gilbert, M.; Shaw, K. Residual Effects of Sulfur Fertilizers on Cut Swards of a Stylosanthes Guianensis and Native Grass Pasture on a Euchrozem Soil in North Queensland. Aust. J. Exp. Agric. 1981, 21, 334–342. [Google Scholar] [CrossRef]





| Agronomic Category/Soil Texture | pH | C total | N total | S total | P | K | Mg | S-SO4 |
|---|---|---|---|---|---|---|---|---|
| Soluble Forms | ||||||||
| 1M KCl dm−3 | g kg−1 soil | mg kg−1 | mg kg−1 Soil | |||||
| Light/Loamy sand | 3.9 | 6.18 | 0.57 | 115 | 74 | 78 | 13 | 6.82 |
| Treatments | N Content (g kg−1 Dry Mass) | |||||||
|---|---|---|---|---|---|---|---|---|
| 1 Cut | 2 Cut | 3 Cut | Mean in Cuts | |||||
| Sulfur dose 60 mg kg−1 soil | ||||||||
| no S | 42.0 | ab | 55.3 | a | 45.9 | a | 47.7 | a |
| S0 | 42.5 | ab | 54.8 | a | 34.5 | b | 43.9 | ab |
| S0 + K2SO4 | 43.1 | ab | 39.1 | d | 19.8 | d | 34.0 | e |
| K2SO4 | 42.4 | ab | 50.1 | abc | 29.8 | b | 40.8 | bc |
| S0 + MgSO4 | 40.1 | b | 45.3 | bcd | 20.2 | cd | 35.2 | de |
| MgSO4 | 43.9 | ab | 53.3 | a | 29.0 | bc | 42.1 | bc |
| S0 + (NH4)2SO4 | 45.9 | a | 52.0 | ab | 29.5 | b | 42.5 | bc |
| (NH4)2SO4 | 42.8 | ab | 43.5 | cd | 30.4 | b | 38.9 | cd |
| Comparison of sulfur forms for dose 60 mg kg−1 soil | ||||||||
| no S | 42.0 | a | 55.3 | a | 45.9 | a | 47.7 | a |
| S0 | 42.5 | a | 54.8 | a | 34.5 | b | 43.9 | ab |
| S0 + SO4 | 43.0 | a | 45.5 | b | 23.2 | c | 37.2 | c |
| SO4 | 43.0 | a | 49.0 | ab | 29.7 | b | 40.6 | b |
| Sulfur dose 120 mg kg−1 soil | ||||||||
| no S | 42.0 | a | 55.3 | a | 45.9 | a | 47.7 | a |
| S0 | 41.5 | a | 50.6 | a | 36.8 | b | 43.0 | ab |
| S0 + K2SO4 | 40.9 | a | 33.3 | c | 19.0 | d | 31.1 | c |
| K2SO4 | 42.5 | a | 50.6 | a | 28.2 | c | 40.4 | b |
| S0 + MgSO4 | 40.6 | a | 37.5 | bc | 21.7 | cd | 33.3 | c |
| MgSO4 | 43.3 | a | 46.8 | ab | 28.2 | c | 39.4 | b |
| S0 + (NH4)2SO4 | 44.7 | a | 50.1 | a | 36.4 | b | 43.7 | ab |
| (NH4)2SO4 | 44.5 | a | 48.1 | a | 29.5 | bc | 40.7 | b |
| Comparison of sulfur forms for dose 120 mg kg−1 soil | ||||||||
| no S | 42.0 | a | 55.3 | a | 45.9 | a | 47.7 | a |
| S0 | 41.5 | a | 50.6 | a | 36.8 | ab | 43.0 | ab |
| So+SO4 | 42.1 | a | 40.3 | b | 25.7 | c | 36.0 | c |
| SO4 | 43.4 | a | 48.5 | a | 28.6 | bc | 40.2 | b |
| Comparison of sulfur doses: 60 and 120 mg kg−1 soil | ||||||||
| no S | 42.0 | a | 55.3 | a | 45.9 | a | 47.7 | a |
| 60 mg kg−1 soil | 43.0 | a | 48.3 | ab | 27.6 | b | 39.6 | b |
| 120 mg kg−1 soil | 42.6 | a | 45.3 | b | 28.5 | b | 38.8 | b |
| Treatments | N Uptake (mg pot−1) | |||||||
|---|---|---|---|---|---|---|---|---|
| 1 Cut | 2 Cut | 3 Cut | Total Uptake | |||||
| Sulfur dose 60 mg kg−1 soil | ||||||||
| no S | 66.0 | c | 82.8 | d | 50.4 | a | 199 | d |
| S0 | 94.6 | c | 113 | bcd | 44.2 | a | 245 | cd |
| S0 + K2SO4 | 189 | ab | 138 | abc | 32.5 | a | 325 | b |
| K2SO4 | 88.6 | c | 110 | cd | 53.3 | a | 248 | cd |
| S0 + MgSO4 | 160 | b | 155 | a | 36.6 | a | 327 | ab |
| MgSO4 | 174 | ab | 147 | abc | 51.1 | a | 356 | ab |
| S0 + (NH4)2SO4 | 97.3 | c | 151 | ab | 56.5 | a | 296 | bc |
| (NH4)2SO4 | 199 | a | 156 | a | 54.3 | a | 389 | a |
| Comparison of sulfur forms for dose 60 mg kg−1 soil | ||||||||
| no S | 66.0 | c | 82.8 | c | 50.4 | a | 199 | b |
| S0 | 94.6 | bc | 113 | bc | 44.2 | a | 252 | b |
| S0 + SO4 | 149 | ab | 148 | a | 41.9 | a | 339 | a |
| SO4 | 154 | a | 138 | ab | 52.9 | a | 344 | a |
| Sulfur dose 120 mg kg−1 soil | ||||||||
| no S | 66.0 | d | 82.8 | c | 50.4 | ab | 199 | d |
| S0 | 107 | c | 157 | ab | 51.3 | ab | 303 | bc |
| S0 + K2SO4 | 185 | ab | 121 | abc | 33.6 | b | 308 | abc |
| K2SO4 | 178 | ab | 154 | ab | 44.1 | b | 355 | ab |
| S0 + MgSO4 | 158 | b | 125 | abc | 37.5 | b | 299 | bc |
| MgSO4 | 189 | a | 126 | abc | 46.2 | ab | 342 | ab |
| S0 + (NH4)2SO4 | 86.8 | cd | 113 | bc | 67.7 | a | 265 | c |
| (NH4)2SO4 | 181 | ab | 164 | a | 45.6 | ab | 367 | a |
| Comparison of sulfur forms for dose 120 mg kg−1 soil | ||||||||
| no S | 66.0 | c | 82.8 | c | 50.4 | a | 199 | c |
| S0 | 107 | bc | 157 | a | 51.3 | a | 315 | b |
| S0 + SO4 | 143 | b | 120 | b | 46.3 | a | 309 | b |
| SO4 | 183 | a | 148 | a | 45.3 | a | 376 | a |
| Comparison of sulfur doses: 60 and 120 mg kg−1 soil | ||||||||
| no S | 66 | b | 83 | b | 50.4 | a | 199 | b |
| 60 mg kg−1 soil | 143 | a | 139 | a | 46.9 | a | 329 | a |
| 120 mg kg−1 soil | 155 | a | 137 | a | 46.6 | a | 339 | a |
| Treatments | S Content (g kg−1 Dry Mass) in Perennial Ryegrass | |||||||
|---|---|---|---|---|---|---|---|---|
| 1 Cut | 2 Cut | 3 Cut | Mean in Cuts | |||||
| Sulfur dose 60 mg kg−1 soil | ||||||||
| no S | 4.09 | b | 4.84 | d | 5.28 | bc | 4.74 | d |
| S0 | 4.88 | a | 5.62 | bc | 6.27 | ab | 5.59 | abc |
| S0 + K2SO4 | 4.72 | ab | 5.40 | bcd | 4.16 | cd | 4.76 | d |
| K2SO4 | 4.94 | a | 6.01 | ab | 7.33 | a | 6.09 | a |
| S0 + MgSO4 | 4.79 | a | 5.58 | bc | 3.96 | d | 4.78 | d |
| MgSO4 | 4.55 | ab | 5.40 | bcd | 5.45 | b | 5.13 | cd |
| S0 + (NH4)2SO4 | 4.93 | a | 5.25 | cd | 5.86 | b | 5.35 | bc |
| (NH4)2SO4 | 4.93 | a | 6.30 | a | 6.04 | b | 5.76 | ab |
| Comparison of sulfur forms for dose 60 mg kg−1 soil | ||||||||
| no S | 4.09 | b | 4.84 | c | 5.28 | ab | 4.74 | b |
| S0 | 4.88 | a | 5.62 | ab | 6.27 | a | 5.59 | a |
| S0 + SO4 | 4.81 | a | 5.41 | b | 4.66 | b | 4.96 | b |
| SO4 | 4.80 | a | 5.90 | a | 6.27 | a | 5.66 | a |
| Sulfur dose 120 mg kg−1 soil | ||||||||
| no S | 4.09 | e | 4.84 | cd | 5.28 | de | 4.74 | d |
| S0 | 5.37 | c | 5.53 | bc | 6.77 | c | 5.89 | c |
| So + K2SO4 | 4.96 | cd | 4.50 | d | 4.71 | e | 4.72 | d |
| K2SO4 | 6.88 | a | 6.00 | b | 11.2 | a | 8.02 | a |
| S0 + MgSO4 | 4.78 | d | 5.34 | bc | 4.43 | e | 4.85 | d |
| MgSO4 | 5.15 | cd | 5.77 | b | 5.63 | cde | 5.52 | c |
| S0 + (NH4)2SO4 | 5.48 | c | 5.30 | bcd | 6.06 | cd | 5.61 | c |
| (NH4)2SO4 | 6.21 | b | 7.58 | a | 8.56 | b | 7.45 | b |
| Comparison of sulfur forms for dose 120 mg kg−1 soil | ||||||||
| no S | 4.09 | c | 4.84 | b | 5.28 | b | 4.74 | b |
| S0 | 5.37 | ab | 5.53 | ab | 6.77 | ab | 5.89 | b |
| S0 + SO4 | 5.07 | b | 5.04 | b | 5.07 | b | 5.06 | b |
| SO4 | 6.08 | a | 6.45 | a | 8.46 | a | 7.00 | a |
| Comparison of Sulfur doses: 60 and 120 mg kg−1 soil | ||||||||
| no S | 4.09 | c | 4.84 | b | 5.28 | b | 4.74 | b |
| 60 mg kg−1 soil | 4.82 | b | 5.65 | ab | 5.58 | b | 5.35 | b |
| 120 mg kg−1 soil | 5.55 | a | 5.72 | a | 6.76 | a | 6.01 | a |
| Treatments | S Uptake (mg pot−1) | |||||||
|---|---|---|---|---|---|---|---|---|
| 1 Cut | 2 Cut | 3 Cut | Total Uptake | |||||
| Sulfur dose 60 mg kg−1 soil | ||||||||
| no S | 6.41 | d | 7.27 | d | 5.71 | e | 19.4 | e |
| S0 | 10.9 | c | 11.6 | cd | 7.90 | cde | 30.4 | d |
| S0 + K2SO4 | 20.7 | ab | 19.0 | ab | 6.85 | de | 46.5 | b |
| K2SO4 | 10.4 | cd | 13.5 | c | 12.9 | a | 36.7 | cd |
| S0 + MgSO4 | 19.2 | ab | 19.2 | ab | 7.21 | de | 45.5 | b |
| MgSO4 | 17.9 | b | 14.8 | bc | 9.40 | bcd | 42.1 | bc |
| S0 + (NH4)2SO4 | 10.4 | c | 15.2 | bc | 11.3 | ab | 36.9 | cd |
| (NH4)2SO4 | 22.9 | a | 22.6 | a | 10.9 | abc | 56.4 | a |
| Comparison of sulfur forms for dose 60 mg kg−1 soil | ||||||||
| no S | 6.41 | b | 7.27 | b | 5.71 | b | 19.4 | b |
| S0 | 10.9 | ab | 11.6 | b | 7.90 | b | 30.4 | b |
| S0 + SO4 | 16.8 | a | 17.8 | a | 8.46 | b | 43.0 | a |
| SO4 | 17.1 | a | 17.0 | a | 11.0 | a | 45.1 | a |
| Sulfur dose 120 mg kg−1 soil | ||||||||
| no S | 6.41 | e | 7.27 | d | 5.71 | d | 19.4 | d |
| S0 | 13.8 | d | 17.0 | bc | 9.38 | bcd | 40.2 | bc |
| S0 + K2SO4 | 22.4 | bc | 16.4 | bc | 8.49 | cd | 47.4 | b |
| K2SO4 | 28.7 | a | 18.5 | b | 17.5 | a | 64.8 | a |
| S0 + MgSO4 | 18.5 | c | 18.0 | b | 7.67 | cd | 44.2 | b |
| MgSO4 | 22.5 | bc | 15.5 | bc | 9.21 | bcd | 47.3 | b |
| S0 + (NH4)2SO4 | 10.6 | de | 11.9 | cd | 11.3 | bc | 33.8 | c |
| (NH4)2SO4 | 25.3 | ab | 25.7 | a | 13.4 | ab | 64.4 | a |
| Comparison of sulfur forms for dose 120 mg kg−1 soil | ||||||||
| no S | 6.41 | c | 7.27 | c | 5.71 | b | 19.4 | c |
| S0 | 13.8 | b | 17.0 | ab | 9.38 | ab | 40.2 | b |
| S0 + SO4 | 17.2 | b | 15.4 | b | 9.15 | b | 41.8 | b |
| SO4 | 25.5 | a | 19.9 | a | 13.4 | a | 58.8 | a |
| Comparison of sulfur doses: 60 and 120 mg kg−1 soil | ||||||||
| no S | 6.41 | c | 7.27 | b | 5.71 | b | 19.4 | c |
| 60 mg kg−1 soil | 16.1 | b | 16.5 | a | 9.49 | a | 42.1 | b |
| 120 mg kg−1 soil | 20.3 | a | 17.6 | a | 11.0 | a | 48.9 | a |
| Treatments | N:S in Perennial Ryegrass | |||||||
|---|---|---|---|---|---|---|---|---|
| 1 Cut | 2 Cut | 3 Cut | Mean in Cuts | |||||
| Sulfur dose 60 mg kg−1 soil | ||||||||
| no S | 10.3 | a | 11.4 | a | 8.74 | a | 10.3 | a |
| S0 | 8.76 | bc | 9.78 | b | 5.52 | b | 8.30 | bc |
| S0 + K2SO4 | 9.15 | abc | 7.26 | c | 4.81 | b | 7.73 | cd |
| K2SO4 | 8.62 | bc | 8.39 | bc | 4.10 | b | 6.92 | d |
| S0 + MgSO4 | 8.42 | c | 8.11 | c | 5.10 | b | 7.75 | cd |
| MgSO4 | 9.66 | ab | 9.91 | ab | 5.42 | b | 8.81 | b |
| S0 + (NH4)2SO4 | 9.32 | abc | 9.92 | ab | 5.02 | b | 8.25 | bc |
| (NH4)2SO4 | 8.69 | bc | 6.91 | c | 5.01 | b | 7.25 | d |
| Comparison of sulfur forms for dose 60 mg kg−1 soil | ||||||||
| no S | 10.3 | a | 11.4 | a | 8.74 | a | 10.3 | a |
| S0 | 8.76 | b | 9.78 | ab | 5.52 | b | 8.30 | b |
| S0 + SO4 | 8.96 | b | 8.43 | b | 4.98 | b | 7.91 | b |
| SO4 | 8.99 | b | 8.40 | b | 4.84 | b | 7.66 | b |
| Sulfur dose 120 mg kg−1 soil | ||||||||
| no S | 10.3 | a | 11.4 | a | 8.74 | a | 10.3 | a |
| S0 | 7.75 | bc | 9.18 | bc | 5.49 | bc | 7.81 | b |
| S0 + K2SO4 | 8.26 | bc | 7.38 | cde | 4.10 | cd | 7.18 | b |
| K2SO4 | 6.17 | d | 8.52 | bcd | 2.52 | e | 5.82 | c |
| S0 + MgSO4 | 8.53 | b | 6.99 | de | 4.97 | bc | 7.27 | b |
| MgSO4 | 8.41 | b | 8.15 | bcde | 5.02 | bc | 7.66 | b |
| S0 + (NH4)2SO4 | 8.19 | bc | 9.47 | b | 6.00 | b | 7.91 | b |
| (NH4)2SO4 | 7.19 | cd | 6.36 | e | 3.47 | de | 6.05 | c |
| Comparison of sulfur forms for dose 120 mg kg−1 soil | ||||||||
| no S | 10.3 | a | 11.4 | a | 8.74 | a | 10.3 | a |
| S0 | 7.75 | bc | 9.18 | b | 5.49 | b | 7.81 | b |
| S0 + SO4 | 8.33 | b | 7.95 | b | 5.02 | b | 7.45 | b |
| SO4 | 7.26 | c | 7.68 | b | 3.67 | c | 6.51 | c |
| Comparison of sulfur doses: 60 and 120 mg kg−1 soil | ||||||||
| no S0 | 10.3 | a | 11.4 | a | 8.74 | a | 10.3 | a |
| 60 mg kg−1 soil | 8.95 | b | 8.61 | b | 5.00 | b | 7.52 | b |
| 120 mg kg−1 soil | 7.79 | c | 8.01 | b | 4.51 | b | 6.77 | c |
| Treatments | pH | Corganic | Ntotal | Stotal | S-SO4 | S-SO4/Stotal | ||||||
|---|---|---|---|---|---|---|---|---|---|---|---|---|
| 1M KCl dm−3 | (g kg−1 Soil) | (mg kg−1 Soil) | % | |||||||||
| Sulfur dose 60 mg kg−1 soil | ||||||||||||
| no S | 6.59 | a | 8.58 | a | 0.610 | a | 94 | e | 3.99 | f | 4.23 | c |
| S0 | 6.47 | b | 6.83 | bc | 0.544 | abc | 106 | d | 12.7 | a | 11.9 | a |
| S0 + K2SO4 | 6.48 | b | 7.27 | b | 0.522 | bcd | 136 | a | 10.4 | bc | 7.65 | b |
| K2SO4 | 6.43 | b | 6.86 | bc | 0.468 | d | 104 | d | 6.02 | ef | 6.35 | b |
| S0 + MgSO4 | 6.43 | b | 5.84 | c | 0.568 | ab | 126 | ab | 7.65 | de | 6.06 | bc |
| MgSO4 | 6.48 | b | 7.83 | ab | 0.532 | bcd | 110 | cd | 7.06 | de | 6.43 | b |
| S0 + NH4)2SO4 | 6.38 | b | 6.96 | b | 0.496 | cd | 117 | bc | 11.7 | ab | 10.1 | a |
| (NH4)2SO4 | 6.44 | b | 7.74 | ab | 0.554 | abc | 133 | a | 8.58 | cd | 6.47 | b |
| Comparison of sulfur forms for dose 60 mg kg−1 soil | ||||||||||||
| no S | 6.59 | a | 8.58 | a | 0.610 | a | 94 | c | 3.99 | d | 4.23 | d |
| S0 | 6.47 | b | 6.83 | bc | 0.544 | ab | 106 | b | 12.7 | a | 11.9 | a |
| S0 + SO4 | 6.43 | b | 6.69 | c | 0.529 | b | 126 | a | 9.92 | b | 7.93 | b |
| SO4 | 6.45 | b | 7.48 | b | 0.518 | b | 116 | ab | 7.22 | c | 6.42 | c |
| Sulfur dose 120 mg kg−1 soil | ||||||||||||
| no S | 6.59 | a | 8.58 | a | 0.610 | a | 94 | e | 3.99 | c | 4.23 | e |
| S0 | 6.37 | b | 5.39 | c | 0.466 | c | 147 | cd | 23.0 | a | 15.7 | a |
| S0 + K2SO4 | 6.36 | b | 7.62 | ab | 0.518 | bc | 158 | b | 21.8 | a | 13.8 | ab |
| K2SO4 | 6.36 | b | 7.34 | b | 0.498 | bc | 144 | d | 13.5 | b | 9.37 | cd |
| S0 + MgSO4 | 6.36 | b | 6.84 | b | 0.536 | bc | 159 | ab | 19.7 | a | 12.4 | bc |
| MgSO4 | 6.41 | b | 7.73 | ab | 0.526 | bc | 153 | bc | 10.7 | b | 7.00 | de |
| S0 + (NH4)2SO4 | 6.40 | b | 7.20 | b | 0.500 | bc | 146 | cd | 21.4 | a | 14.6 | ab |
| (NH4)2SO4 | 6.37 | b | 7.57 | b | 0.556 | ab | 167 | a | 10.8 | b | 6.52 | de |
| Comparison of sulfur forms for dose 120 mg kg−1 soil | ||||||||||||
| no S | 6.59 | a | 8.58 | a | 0.610 | a | 94 | b | 3.99 | c | 4.23 | c |
| S0 | 6.37 | b | 5.39 | c | 0.466 | c | 147 | a | 23.0 | a | 15.7 | a |
| S0 + SO4 | 6.37 | b | 7.22 | b | 0.518 | bc | 154 | a | 21.0 | a | 13.6 | a |
| SO4 | 6.38 | b | 7.55 | b | 0.527 | b | 155 | a | 11.7 | b | 7.63 | b |
| Comparison of sulfur doses: 60 and 120 mg kg−1 soil | ||||||||||||
| no S0 | 6.59 | a | 8.58 | a | 0.610 | a | 94 | c | 3.99 | c | 4.23 | c |
| 60 mg kg−1 soil | 6.44 | b | 7.05 | b | 0.526 | b | 119 | b | 9.15 | b | 7.78 | b |
| 120 mg kg−1 soil | 6.38 | c | 7.10 | b | 0.514 | b | 153 | a | 17.3 | a | 11.3 | a |
Disclaimer/Publisher’s Note: The statements, opinions and data contained in all publications are solely those of the individual author(s) and contributor(s) and not of MDPI and/or the editor(s). MDPI and/or the editor(s) disclaim responsibility for any injury to people or property resulting from any ideas, methods, instructions or products referred to in the content. |
© 2023 by the authors. Licensee MDPI, Basel, Switzerland. This article is an open access article distributed under the terms and conditions of the Creative Commons Attribution (CC BY) license (https://creativecommons.org/licenses/by/4.0/).
Share and Cite
Kulczycki, G.; Sacała, E.; Koszelnik-Leszek, A.; Milo, Ł. Perennial Ryegrass (Lolium perenne L.) Response to Different Forms of Sulfur Fertilizers. Agriculture 2023, 13, 1773. https://doi.org/10.3390/agriculture13091773
Kulczycki G, Sacała E, Koszelnik-Leszek A, Milo Ł. Perennial Ryegrass (Lolium perenne L.) Response to Different Forms of Sulfur Fertilizers. Agriculture. 2023; 13(9):1773. https://doi.org/10.3390/agriculture13091773
Chicago/Turabian StyleKulczycki, Grzegorz, Elżbieta Sacała, Anna Koszelnik-Leszek, and Łukasz Milo. 2023. "Perennial Ryegrass (Lolium perenne L.) Response to Different Forms of Sulfur Fertilizers" Agriculture 13, no. 9: 1773. https://doi.org/10.3390/agriculture13091773
APA StyleKulczycki, G., Sacała, E., Koszelnik-Leszek, A., & Milo, Ł. (2023). Perennial Ryegrass (Lolium perenne L.) Response to Different Forms of Sulfur Fertilizers. Agriculture, 13(9), 1773. https://doi.org/10.3390/agriculture13091773

