Next Article in Journal
“Pullum Ovum”. Highlighting the Nutrient Content through Innovative Determination Methods
Next Article in Special Issue
The Effect of Eco-Scheme Support on Romanian Farms—A Gini Index Decomposition by Income Source at Farm Level
Previous Article in Journal
The Biosurfactants Mannosylerythritol Lipids (MELs) as Stimulant on the Germination of Lactuca sativa L.
Previous Article in Special Issue
The Impact of the Establishment of the Mount Wuyi National Park on the Livelihood of Farmers
 
 
Font Type:
Arial Georgia Verdana
Font Size:
Aa Aa Aa
Line Spacing:
Column Width:
Background:
Article

Incorporating Consumers’ Low-Carbon and Freshness Preferences in Dual-Channel Agri-Foods Supply Chains: An Analysis of Decision-Making Behavior

1
Jiangsu Modern Logistics Research Base of Business School, Yangzhou University, Yangzhou 225127, China
2
Engineering Research Center of High-Efficiency and Energy-Saving Large Axial Flow Pumping Station, Jiangsu Province, Yangzhou University, Yangzhou 225009, China
3
School of Politics and Public Administration, Soochow University, Suzhou 215123, China
4
Grand Canal Research Institute, Yangzhou University, Yangzhou 225127, China
*
Author to whom correspondence should be addressed.
Agriculture 2023, 13(9), 1647; https://doi.org/10.3390/agriculture13091647
Submission received: 19 July 2023 / Revised: 15 August 2023 / Accepted: 18 August 2023 / Published: 22 August 2023

Abstract

:
The purchasing decisions of consumers increasingly incorporate considerations of freshness and the carbon footprint of agri-foods. This study aims to investigate the impact of consumer preferences on decision-making behavior within dual-channel supply chains. Specifically, it classifies the structure of the supply chain channels into two types: producer-led and seller-led online channels, and examines two distinct decision-making scenarios: centralized and decentralized decision-making. The study applies the game theory modeling method to analyze the differences in the selling prices, freshness, low carbon levels, and profits of agri-foods in these scenarios. The findings indicate that as consumer preference for the online channel grows, it becomes more challenging to sell homogeneous agri-foods at higher prices through physical (entity) channels. Moreover, the introduction of online channels by sellers leads to higher selling prices for agri-foods in the supply chain under decentralized decision-making compared to centralized decision-making, and the freshness and low carbon level of agri-foods primarily depend on the cost structure of the supply chain. From the perspective of enhancing produce quality, promoting low carbon development, and attaining high-quality products at a reasonable price, centralized decision-making within the supply chain and seller-led online channels are more advantageous. However, it is important to note that pursuing these benefits may result in a certain amount of sacrifice in terms of supply chain profit.

1. Introduction

Freshness holds paramount significance as an indicator of the quality of agri-foods [1]. With the continuous economic and social development, along with the improved living standards of consumers, their inclination towards purchasing agri-foods with high levels of freshness has notably increased [1]. Furthermore, the widespread recognition of the concept of low-carbon development and the influence of extreme global weather events have led to an escalating number of consumers incorporating low-carbon and environmental considerations into their purchase decisions [2]. At the present juncture, the cost of fresh agricultural products persists at a high level [3]. The various nodes constituting the supply chain lack the necessary incentives to solely bear the elevated costs associated with environmental friendliness and freshness. This circumstance poses challenges in catering to consumer preferences for carbon-efficient and fresh agricultural products. Addressing this scenario necessitates a pronounced reinforcement of the complementary collaboration between upstream and downstream entities within the supply chain [4].
In contemporary times, the swift progression of the Internet economy has spurred suppliers and vendors to extend their online direct sales channels through self-built platforms, outsourcing, and other avenues. This strategic expansion aims to achieve a synergy between online and offline realms, thereby optimizing the amalgamation and growth of these dual channels. This endeavor not only curtails the intermediary stages in fresh food consumption but also bolsters the efficiency of the circulation of such products. Consequently, this enhancement augments the financial gains for these stakeholders. Presently, fresh product suppliers and retailers maintain not only a vertical cooperative association but also engage in horizontal competition. While the suppliers furnish agricultural products, they concurrently utilize online direct sales channels to command a portion of the retailer’s market share. Notably, due to their efforts in providing services related to low-carbon practices and preservation of fresh product offerings [5], suppliers, to some extent, encounter free-riding behavior from retailers [6]. Moreover, consumer preferences exhibit diverse behaviors in choosing optimal supply chain channels, significantly influencing the decision-making process [7].
Hence, considering the ecologically conscious and freshness-oriented preferences of consumers and taking into account the contemporary practices of live streaming and e-commerce within the agricultural sector, it becomes imperative to address the ensuing inquiries when devising a dual-channel supply chain framework for agricultural products: What ramifications emerge on the sales price, low-carbon quotient, freshness factor, and sales profitability of agricultural commodities within the diverse channel architecture models presided over by distinct stakeholders within the supply chain? How do these consequences undergo transformations in response to varying decision-making scenarios adopted by the participants within the supply chain? Which specific channel structure and decision-making scenarios exhibit a more conducive environment for the ecological preservation and safeguarding of perishable produce? Armed with these interrogations, we embarked on an in-depth and comprehensive examination.

2. Literature Review

2.1. The Impact of Low Carbon on Supply Chain Decisions for Agri-Foods

Several scholars have conducted analyses on the impact of low carbon degrees on decision-making within agricultural supply chains, with a specific focus on the realm of green development in these chains. For instance, Tseng et al. [8] examined the characteristics of design, practice, and management involved in the supply chain of green agri-foods in Asia and suggested the need for “top-down” governmental policies for agri-foods. Ye and Liu [9] emphasized that the growing preference for environmentally friendly products among consumers, whether in a single oligarch or multi-oligarch competitive market, can prompt enterprises to increase production input of green agri-foods and enhance the greenness of their products. This, in turn, leads to greater optimal revenue for the enterprises. Sarkis [10] provided a comprehensive examination of the implementation of green agricultural supply chain management strategies. Hua and Ding [11] studied the three-level supply chain coordination of green agri-foods, considering factors such as product greenness, research and development costs, and others, aiming to achieve a win–win situation for each entity within the supply chain. Fu et al. [12] identified high product premiums and asymmetric information as key factors influencing consumers’ purchase decisions regarding green agri-foods. Mittal and Sangwan [13] analyzed the challenges faced by the green production industry and explored the relationship between the involved parties and the government in agri-food production. They employed the fuzzy TOPSIS decision model and found that factors such as a lack of awareness of green production, high technical risk, and inadequate legislation were crucial influences affecting green production in the current economic and social context.

2.2. The IMPACT of Freshness and Freshness Effort on Supply Chain Decisions

Numerous scholars have extensively examined the influence of freshness preservation efforts on supply chain decision-making. For instance, Blackburn and Scudder [14] employed watermelon and corn as illustrative examples to demonstrate the progressive decline in freshness levels of agri-foods over time. Blackburn suggested that preserving freshness should be a crucial consideration in efforts to influence product demand. Expanding on this notion, Hsu [15] incorporated the retailer’s preservation effort input into a decision model, investigating optimal ordering strategies and preservation effort levels for retailers involved in freshness preservation. Dye and Hsieh [16] recognized the gradual loss of value in agri-foods over time, prompting their exploration of optimal replenishment strategies and freshness input levels for agricultural retailers through inventory portrayals. Qin [17] delved into the influence of product quality, price, and other factors on the demand rate of agri-foods, examining the optimal pricing and ordering strategies within the supply chain context. Furthermore, Chen et al. [18] explored the significance of freshness in agri-foods, considering both their perishability and the value-added growth of fresh produce. In the specific context of fresh produce supply chain decisions, Xiong [19] proposed a dynamic pricing strategy for producers and retailers, accounting for perceived ambiguous market demand. Lee and Dye [20] assumed that the inventory of fresh produce determines demand and analyzed the optimal freshness and inventory levels for supply chain members involved in the produce industry. Building upon the concept of time-varying deterioration rates of fresh produce, Dye [16] developed a game model to analyze inventory planning and freshness levels of retailers, with the objective of profit maximization within the supply chain. Lastly, Dan et al. [21] examined the development of the fresh produce supply chain in the existing “Internet Plus” environment, identifying the trends in supply chain service integration and business transformation.

2.3. The Decision-Making Behaviour in a Dual-Channel Supply Chain for Agri-Foods

Numerous scholars have conducted studies on the decision-making behavior of dual-channel supply chains in the agri-food sector. These scholars argue that the increasing market competition and growing consumer demand have compelled fresh produce companies to establish online direct sales channels and adopt a dual-channel model that integrates both online and offline operations for fresh produce [22]. In comparison to the single-channel model, the dual-channel model offers greater benefits to the participants in the agricultural supply chain [23]. Zhang and Liu [24] have emphasized that the introduction of online direct sales channels by manufacturers inevitably divides the customer base with retailer sales channels, leading to inevitable conflicts between manufacturers and retailers within dual-channel supply chains. They suggest that such conflicts are an inherent characteristic of this model. Chen and Zhang [25] have analyzed the challenges related to channel prices and members’ profits in a dual-channel supply chain. They compared the outcomes of solving centralized and decentralized decision game models, ultimately concluding that retailers and producers can maximize their profits through decentralized decision-making. However, they also note that this cooperation among channel members may eventually cease over time. Sun and Xiao [26] have taken into account consumer channel preferences and low-carbon preferences in the context of a dual-channel supply chain. They developed various decision game models to obtain optimal strategies for reducing low-carbon emissions. The study revealed that manufacturers can enhance the distribution of low-carbon products by developing new technologies, while retailers can improve consumer recognition of low-carbon products through effective advertising campaigns [26]. Li and Zhao [27] conducted a comparative analysis between the traditional channel model and the all-channel model in the agricultural supply chain. Li proposed an implementation path and policy recommendations for integrating the agricultural supply chain under the all-channel model [27].

2.4. Literature Gap and How to Address the Problem

Above all, compared to existing research, This study investigates the impact of low-carbon and freshness preferences on supply chain decisions within agricultural supply chains. While prior research has individually explored the influence of these factors and considered the context of dual-channel supply chain development, there is a notable gap in systematic studies that simultaneously consider both the low-carbon and freshness preferences of consumers. Furthermore, the variations in decision-making behavior among supply chain participants under different channel structures and decision types remain unexplored. To address these gaps, this study incorporates consumers’ low-carbon and freshness preferences into the demand function and examines the resulting changes in sales price, low-carbon level, freshness, and profit of agri-foods within the supply chain. The analysis is conducted by investigating decentralized and centralized decision-making within two distinct channel structure models: producer-led and seller-led online channels. The primary objective of these findings is to provide theoretical insights for decision-making in the dual-channel agri-food supply chain. Figure 1 shows the research framework of this thesis, which is shown with the inclusion of the yellow line for the manufacturer’s dual-channel supply chain and otherwise for the retailer’s dual-channel supply chain.

3. Materials and Methods

3.1. Problem Description

This paper focuses on the analysis of a three-level supply chain comprising risk-neutral producers, sellers, and consumers of agri-foods. The study investigates the impact of factors such as freshness of the produce, low carbon levels, and market prices on consumer demand. Prior to the marketing season, sellers send order forms and requests to producers, who incur production costs per unit of produce c. In order to ensure freshness and low carbon level, the producer must make corresponding cost inputs and agree on the supply price pw with the seller according to the product input cost at the arrival of the marketing season, the seller determines the retail price based on the wholesale price and market conditions pr, it may be noted that pr = pw + r, where r > 0 is the markup of the seller. This research makes several key assumptions to establish a foundation for the analysis:
① The supply chain participant takes profit maximization as the decision objective, and consumers can freely choose online or offline agri-foods purchase channels, and there is no cross-selling and no difference in the agri-foods purchased in different channels, but the sales cost ce of online channel is less than the sales cost cr of offline channels for the supply chain participant. Since agri-foods are perishable and perishable, it is assumed that all unsold agri-foods are lost and no longer discounted.
② Referring to the studies of scholars such as Lan et al. [28] and Cai et al. [5], it was assumed that the freshness of agri-foods θ and the level of freshness preservation effort τ is related to  θ ( τ ) = θ 0 τ , where  θ 0 [ 0 , 1 ]  is the initial freshness level. Referring to the studies of scholars such as Xu et al. [29] and Yang et al. [2], it is assumed that the freshness input cost of agricultural product producers c1 and the level of preservation effort τ is related to  c 1 ( τ ) = 1 / 2 λ 1 τ 2 , where λ1 > 0 is the coefficient of freshness preservation effort cost; the low carbon input cost of agricultural product producers c2 and the low carbon level of agri-foods g is  c 2 ( g ) = 1 / 2 λ 2 g 2 where λ2 > 0 is the low carbon effort cost coefficient.
③ Since the actual consumer demand is influenced by the freshness of the produce θ, low carbon level g and price pr and it is affected by the multiple effects of freshness, low carbon level, and price; referring to the linear inverse demand function, it is assumed that the demand for offline channel  d r ( θ , g , p r ) = ρ a + α θ + β g b p r  and the online channel demand  d e ( θ , g , p r ) = ( 1 ρ ) a + α θ + β g b p r  , where 0 < ρ < 1 is the proportion of consumers choosing offline channels to purchase, b > 0 is the price elasticity of demand, and α > 0 is the sensitivity coefficient of consumer demand to the freshness of agri-foods, and β > 0 is the sensitivity coefficient of consumer demand to the low carbon level of agri-foods.

3.2. Symbol Description

Based on the problem description and underlying assumptions above, the symbols used in this study are described in Table 1 below.

3.3. Model Construction

(1)
Producers open online channels (Model 1)
When producers in the supply chain of agri-foods prevail, such as when the producers are large in scale or have high brand recognition, the producers of agri-foods will open online direct sales channels, such as the Qinchuan rice produced in Qinfeng village in Changshu. In order to regulate the market price, producers follow the guideline retail price  p r . The producer sells the product to consumers at the guide retail price and, at the same time, supplies the product to its downstream sellers at  p w . The supply chain structure is shown in Figure 2.
At this point, the profit of the producer of agri-foods in the supply chain  π m 1 , the profit of the seller  π r 1  and the profit of the supply chain  π 1  are as follows:
π m 1 = p r c c e d e θ τ , g , p r + p w c c w d r θ τ , g , p r c 1 τ c 2 g
π r 1 = p r p w c r d r θ τ , g , p r
π 1 = p r c d e · + d r · c e d e · c r + c w d r · c 1 τ c 2 g
(2)
Seller open online channels (Model 2)
When the seller in the agri-foods supply chain is dominant, for example, when the seller is larger or has higher brand recognition, the agri-foods seller will open online direct sales channels, such as large stores. The seller and the producer agree on the purchase price  p w  and determine the markup according to the purchase price and market situation  r  to obtain the market retail price  p r  The supply chain structure is shown in Figure 3.
At this point, the profit of the producer of agri-foods in the supply chain    π m , the profit of the seller    π r  and the overall profit of the supply chain    π  are
π m 2 = p w c c w d e θ τ , g , p r + d r θ τ , g , p r c 1 τ c 2 g
π r 2 = p r p w c r d r θ τ , g , p r + p r p w c e d e θ τ , g , p r
π 2 = p r c c w d e · + d r · c e d e · c r d r · c 1 τ c 2 g

4. Results

4.1. Decentralized Decision-Making Scenarios

Theorem 1.
In the case where the producer opens an online channel, when  3 2 b λ 1 α 2 θ 0 2 > λ 1 β 2 λ 2  time, there exists the optimal solution that makes the producer and the seller maximize profit at the same time. At this time, the optimal decision of the supply chain participating subjects is
p w 1 d * = b λ 1 C 2 c r β 2 2 b λ 2 + 2 λ 2 α 2 θ 0 2 + C 2 λ 2 b β λ 1 + a ρ 1 2 b λ 2 β 2 + β λ 1 + λ 1 β 3 + β λ 2 α 2 θ 0 2 b H α , β
p r 1 d * = 4 λ 1 λ 2 b 2 C + c r + 2 λ 1 λ 2 b 4 a ρ 4 a β 2 b H α , β + a 2 ρ 1 + b C + c r 2 b        
τ 1 d * = α θ 0 λ 2 2 b C + c r + 4 a ρ 1 β H α , β
g 1 d * = β λ 1 2 b C + c r + 4 a ρ 1 β H α , β      
Among them,  H α , β = 4 α 2 θ 0 2 λ 2 6 b λ 1 λ 2 + 3 β 2 + β λ 1 C = 2 c + c e + c w . At this point, the profits of the producer and the seller are
π m 1 d * = p r 1 d * c c e d e θ τ 1 d * , g 1 d * , p r 1 d * + p w 1 d * c c w d r θ τ 1 d * , g 1 d * , p r 1 d * c 1 τ 1 d * c 2 g 1 d *
π r 1 d * = p r 1 d * p w 1 d * c r d r θ τ 1 d * , g 1 d * , p r 1 d *                                                    
Proof of Theorem 1.
Using backward induction to solve, the functional expressions in the hypothesis are brought into Equations (1) and (2) to obtain the profit functions of the producer and seller  π m 1 = p r c c e 1 ρ a + α θ 0 τ + β g bp r + p w c c w ρ a + α θ 0 τ + β g bp r 1 / 2 λ 1 τ 2 1 / 2 λ 2 g 2   and  π r 1 = p r p w c r ρ a + α θ 0 τ + β g bp r , find  π r 1  with respect to the partial derivatives of  p r  yielding  π r 1 p r = c r 2 p r + p w b + ρ a + α θ 0 τ + β g  and its second order derivative  2 π r 1 2 p r = 2 b < 0 . Therefore, there exists a maximum value. Let  π r 1 p r = 0  to get  p r 1 * = ρ a + α θ 0 τ + bc r + bp w + β g 2 b . Putting  p r *  Substitute into Equation (1) and find  π m 1  with respect to  p w τ  and  g  for the Hessian Matrix  H 3 = 3 b 2 α θ 0 2 β 2 α θ 0 2 α 2 θ 0 2 2 b λ 1 2 b α β θ 0 2 b β 2 α β θ 0 2 b β 2 2 b λ 2 2 b  and its first order principal subformula  3 b 2 < 0 , if  3 2 b λ 1 α 2 θ 0 2 > λ 1 β 2 λ 2 , then the second order principal subformula  3 2 b λ 1 α 2 θ 0 2 > 0 , the third-order principal subformula  ( α 2 θ 0 2 3 2 b λ 1 ) λ 2 + λ 1 β 2 < 0 , At this point, the Hesse matrix is negative definite, so there is a maximum value of  π m 1 . Let  π m 1 p w = 0 π m 1 τ = 0 , and  π m 1 g = 0 , the joint cubic equation yields  p w 1 d * = b 2 c + c e 2 c r + c w β 2 2 λ 2 b + 2 λ 2 α 2 θ 0 2 + 2 c + c e + c w 2 λ 2 b β + a ρ 1 2 b λ 2 β 2 + β + β 3 λ 1 + β λ 2 α 2 θ 0 2 4 b α 2 θ 0 2 λ 2 + 3 β 2 6 b λ 2 + β b λ 1 τ 1 d * = α θ 0 λ 2 2 b 2 c + c e + c r + c w + 4 a ρ 1 β 4 α 2 θ 0 2 λ 2 6 b λ 1 λ 2 + 3 β 2 + β λ 1 , and  g 1 d * = β λ 1 2 b 2 c + c e + c r + c w + 4 a ρ 1 β 4 α 2 θ 0 2 λ 2 6 b λ 1 λ 2 + 3 β 2 + β λ 1 . Substituting the relevant parameters, then  p r 1 d * = b 2 c + c e + c r + c w λ 1 3 β 2 + β 2 λ 1 λ 2 b + 4 λ 2 α 2 θ 0 2 2 β + 2 ρ a + a b λ 1 λ 2 + a 2 ρ 1 λ 1 3 β 2 + β + 4 λ 2 α 2 θ 0 2 8 b α 2 θ 0 2 λ 2 12 b 2 λ 1 λ 2 + 2 3 β 2 + β b λ 1  Simplify to obtain Theorem 1. QED. □
Theorem 2.
In the case where the seller opens an online channel, when  b λ 1 α 2 θ 0 2 > λ 1 β 2 λ 2 , there exists the optimal solution that makes the producer and the seller maximize profit at the same time. At this time, the optimal decision of the supply chain participating subjects is
p w 2 d * = b 6 c + 6 c w c e c r + a λ 2 λ 1 8 β 2 c + c w λ 1 8 λ 2 α 2 θ 0 2 c + c w 8 G α , β    
p r 2 d * = 2 c + 2 c w + c e + c r 2 G α , β b λ 1 λ 2 b + 2 a G α , β + b a λ 2 λ 1 8 b G α , β      
τ 2 d * = α θ 0 λ 2 a b 2 c + 2 c w + c e + c r 4 G α , β          
g 2 d * = β λ 1 a b 2 c + 2 c w + c e + c r 4 G α , β          
Among them,  G α , β = b λ 1 λ 2 β 2 λ 1 α 2 θ 0 2 λ 2 . At this point, the profits of the producer and the seller are
π m 2 d * = p r 2 d * c c e d e θ τ 2 d * , g 2 d * , p r 2 d * + p w 2 d * c c w d r θ τ 2 d * , g 2 d * , p r 2 d * c 1 τ 2 d * c 2 g 2 d *
π r 2 d * = p r 2 d * p w 2 d * c r d r θ τ 2 d * , g 2 d * , p r 2 d *            
Proof of Theorem 2.
Using backward induction to solve, the functional expressions in the hypothesis are brought into Equations (4) and (5) to obtain the profit functions of the producer and seller  π m 2 = p w c c w a + 2 α θ 0 τ + 2 β g 2 b r + p w 1 / 2 λ 1 τ 2 1 / 2 λ 2 g 2  and  π r 2 = r a + 2 α θ 0 τ + 2 β g 2 b r + p w c e + c r α θ 0 τ + β g b r + p w + ρ a c e c r a c e , find  π m 2  with respect to  p w τ , and  g . Obtain the first-order derivatives of  π m 2 p w = 2 α θ 0 τ + a 4 b φ p w + 2 β g + 2 b φ c + c w π m 2 τ = 2 α θ 0 p w c c w λ 1 τ , and  π m 2 g = 2 β p w c c w λ 2 g , then find  π m 2  with respect to  p w τ , and  g  for the Hessian Matrix  H 3 = 4 b 2 α θ 0 2 β 2 α θ 0 λ 1 0 2 β 0 λ 2 , and its first order principal subformula  4 b < 0 , if  b λ 1 α 2 θ 0 2 > λ 1 β 2 λ 2 , then, the second order principal subformula  4 b λ 1 4 α 2 θ 0 2 > 0 , the third-order principal subformula  4 λ 1 β 2 λ 2 4 b λ 1 4 α 2 θ 0 2 < 0 .
At this point, the  π m 2  is an equation with respect to  p w τ  and  g  of the joint concave function for which there exists an optimal solution. Let  π m 2 p w = 0 π m 2 τ = 0 , and  π m 2 g = 0 , the joint cubic equation yields  p w 2 d * = 2 b c + c w r + a λ 2 λ 1 4 β 2 c + c w λ 1 4 λ 2 α 2 θ 0 2 c + c w 4 b λ 1 λ 2 4 β 2 λ 1 4 λ 2 α 2 θ 0 2 , τ 2 d * = α θ 0 λ 2 a 2 b c + c w + r 2 b λ 1 λ 2 2 α 2 θ 0 2 λ 2 2 β 2 λ 1 , and  g 2 d * = β λ 1 a 2 b c + c w + r 2 b λ 1 λ 2 2 β 2 λ 1 2 α 2 θ 0 2 λ 2 . Substituting  p w 2 d * τ 2 d * , and  g 2 d *  into the expressions of  π r 2 , we get  π r 2 r = b λ 1 λ 2 a b 2 c + 4 r c e c r 2 c w 2 b λ 1 λ 2 2 β 2 λ 1 2 λ 2 α 2 θ 0 2 , and    2 π r 2 2 r = 4 b 2 λ 1 λ 2 2 β 2 λ 1 2 b λ 1 λ 2 + 2 λ 2 α 2 θ 0 2 , if  0 < b λ 1 α 2 θ 0 2 < λ 1 β 2 λ 2 , then  2 π r 2 2 r < 0 . That is,   π r 2  is a strictly concave function on  r  for which there exists an optimal solution. Let  π r 2 r = 0  to obtain  r d * = a b 2 c c e c r + 2 c w 4 b . Substituting  r d *  into the expressions of  p w 2 d * τ 2 d * g 2 d * , and  p r , we obtain  p w 2 d * = b 6 c + 6 c w c e c r + a λ 2 λ 1 8 β 2 c + c w λ 1 8 λ 2 α 2 θ 0 2 c + c w 8 b λ 1 λ 2 8 β 2 λ 1 8 λ 2 α 2 θ 0 2 τ 2 d * = α θ 0 λ 2 a b 2 c + 2 c w + c e + c r 4 b λ 1 λ 2 4 α 2 θ 0 2 λ 2 4 β 2 λ 1 g 2 d * = β λ 1 a b 2 c + 2 c w + c e + c r 4 b λ 1 λ 2 4 β 2 λ 1 4 α 2 θ 0 2 λ 2 , and  p r 2 d * = 2 c + 2 c w + c e + c r b λ 1 λ 2 2 β 2 λ 1 2 λ 2 α 2 θ 0 2 b + 3 b a λ 2 λ 1 2 a α 2 θ 0 2 λ 2 + β 2 λ 1 8 b b λ 1 λ 2 β 2 λ 1 λ 2 α 2 θ 0 2 . QED. □

4.2. Centralized Decision-Making Scenarios

Theorem 3.
In the case that the producer opens an online channel, when  b λ 1 α 2 θ 0 2 > λ 1 β 2 λ 2 , there is an optimal solution that maximizes the total profit of the supply chain. The optimal decision of the supply chain participants at this time is
p r 1 c * = 2 c + c e + c r + c w 2 G α , β b λ 2 λ 1 + a λ 2 λ 1 4 G α , β        
τ 1 c * = a b 2 c + c e + c r + c w λ 2 α θ 0 2 G α , β        
g 1 c * = a b 2 c + c e + c r + c w λ 1 β 2 G α , β      
Among them,  G α , β = b λ 1 λ 2 β 2 λ 1 α 2 θ 0 2 λ 2 . At this point, the profits of the producer and the seller are
π m 2 c * = p r 2 c * c c e d e θ τ 2 c * , g 2 c * , p r 2 c * + p w 2 c * c c w d r θ τ 2 c * , g 2 c * , p r 2 c * c 1 τ 2 c * c 2 g 2 c *
π r 2 c * = p r 2 c * p w 2 c * c r d r θ τ 2 c * , g 2 c * , p r 2 c *            
Proof of Theorem 3.
Substitute the functional expression in the hypothesis into Equation (3) to obtain the total supply chain profit  π 1 = p r c a + 2 α θ 0 τ + 2 β g 2 b p r c e a ρ a + α θ 0 τ + β g b p r c r + c w a + α θ 0 τ + β g b p r 1 / 2 λ 1 τ 2 1 / 2 λ 2 g 2 , find  π 1  with respect to  p r τ , and  g . Obtain the first-order derivatives of  π 1 p r = 2 α θ 0 τ b p r + β g b 2 p r 2 c c w + c e c r + a π 1 τ = α θ 0 2 p r 2 c c w c e c r λ 1 τ , and  π 1 g = β 2 p r 2 c c w c e c r λ 2 g . Then, find  π 1  with respect to  p r τ , and  g , for the Hessian Matrix  H 3 = 4 b 2 α θ 0 2 β 2 α θ 0 λ 1 0 2 β 0 λ 2  and its first order principal subformula  4 b < 0 , if  b λ 1 α 2 θ 0 2 > λ 1 β 2 λ 2 , then the second-order principal subformula  4 b λ 1 4 α 2 θ 0 2 > 0 , the third-order principal subformula  4 λ 1 β 2 λ 2 4 b λ 1 4 α 2 θ 0 2 < 0 . At this point, the  π 1  is an equation with respect to  p r , and  τ , the  g  of the joint concave function for which there exists an optimal solution. Let  π 1 p r = 0 π 1 τ = 0 , and  π 1 g = 0 , the joint cubic equation yields  p r 1 c * = 2 c + c e + c r + c w b λ 2 λ 1 2 β 2 λ 1 2 λ 2 α 2 θ 0 2 + a λ 2 λ 1 4 b λ 2 4 β 2 λ 1 4 α 2 θ 0 2 λ 2 τ 1 c * = a b 2 c + c e + c r + c w λ 2 α θ 0 2 b λ 2 2 β 2 λ 1 2 α 2 θ 0 2 λ 2 , and  g 1 c * = a b 2 c + c e + c r + c w λ 1 β 2 b λ 2 2 β 2 λ 1 2 α 2 θ 0 2 λ 2 . QED. □
Theorem 4.
In the case that the seller opens an online channel, when  b λ 1 α 2 θ 0 2 > λ 1 β 2 λ 2 , there is an optimal solution that maximizes the total profit of the supply chain. The optimal decision of the supply chain participants at this time is
p r 2 c * = 2 c + c e + c r + 2 c w 2 G α , β b λ 2 λ 1 + a λ 2 λ 1   4 G α , β              
τ 2 c * = a b 2 c + c e + c r + 2 c w λ 2 α θ 0 2 G α , β          
g 2 c * = a b 2 c + c e + c r + 2 c w λ 1 β 2 G α , β            
Among them,  G α , β = b λ 1 λ 2 β 2 λ 1 α 2 θ 0 2 λ 2 . At this point, the profits of the producer and the seller are
π m 2 c * = p r 2 c * c c e d e θ τ 2 c * , g 2 c * , p r 2 c * + p w 2 c * c c w d r θ τ 2 c * , g 2 c * , p r 2 c * c 1 τ 2 c * c 2 g 2 c *
π r 2 c * = p r 2 c * p w 2 c * c r d r θ τ 2 c * , g 2 c * , p r 2 c *  
Proof of Theorem 4.
Substitute the functional expression in the hypothesis into Equation (6) to obtain the total supply chain profit  π 2 = p w + r c c w a + 2 α θ 0 τ + 2 β g 2 b p w 2 b r c e a ρ a + α θ 0 τ + β g b p w b r c r ρ a + α θ 0 τ + β g b p w b r 1 / 2 λ 1 τ 2 1 / 2 λ 2 g 2 , find  π 2  with respect to  p w τ , and  g . Obtain the first-order derivatives of  π 2 p w = b 2 c + c e + c r + 2 c w 4 p w 4 r + 2 α θ 0 τ + 2 β g + a π 2 τ = α θ 0 2 c 2 r + c e + c r + 2 c w 2 p w λ 1 τ , and  π 2 g = β 2 c + c e + c r + 2 c w 2 p r 2 r λ 2 g , then find  π 2  with respect to  p w τ , and  g  for the Hessian Matrix  H 3 = 4 b 2 α θ 0 2 β 2 α θ 0 λ 1 0 2 β 0 λ 2  and its first order principal subformula  4 b < 0 , if  b λ 1 α 2 θ 0 2 > λ 1 β 2 λ 2 , then the second-order principal subformula  4 b λ 1 4 α 2 θ 0 2 > 0 , the third-order principal subformula  4 λ 1 β 2 λ 2 4 b λ 1 4 α 2 θ 0 2 < 0 . At this point, the  π 2  is an equation with respect to  p w   τ  and  g  of the joint concave function for which there exists an optimal solution. Let  π 2 p w = 0 π 2 τ = 0 , and  π 2 g = 0 , the joint cubic equation yields  p w 2 c * = 2 c + c e + c r + 2 c w 2 r 2 β 2 λ 1 b λ 2 λ 1 + 2 λ 2 α 2 θ 0 2 + 2 b r λ 2 λ 1 a λ 2 λ 1 4 β 2 4 b λ 2 λ 1 + 4 α 2 θ 0 2 λ 2 τ 2 c * = a b 2 c + c e + c r + 2 c w λ 2 α θ 0 2 b λ 2 2 β 2 λ 1 2 α 2 θ 0 2 λ 2 , and  g 2 c * = a b 2 c + c e + c r + 2 c w λ 1 β 2 b λ 2 2 β 2 λ 1 2 α 2 θ 0 2 λ 2 . At this point,  p r 2 c * = p w 2 c * + r = 2 c + c e + c r + 2 c w b λ 2 λ 1 2 β 2 λ 1 2 α 2 θ 0 2 λ 2 + a λ 2 λ 1 4 b λ 1 λ 2 β 2 λ 1 α 2 θ 0 2 λ 2 . QED. □

4.3. Comparison and Analysis of Results

Corollary 1.
In the case where the producer opens an online channel if consumers are more sensitive to the low-carbon level of the produce ( β > 1 ), the optimal selling price of producers and sellers in the supply chain, freshness and low-carbon level of agri-foods in the decentralized decision decreases on average with the increase in consumer preference for offline channels (That is, the proportion of consumers choosing online channels).
Proof of Corollary 1.
The first-order partial derivative of the producer’s selling price of agri-foods with respect to the consumer’s offline channel preference is obtained  p w 1 d * ρ = a ρ 2 b λ 2 β 2 + β λ 1 b H α , β , as we know that  H α , β = 4 α 2 θ 0 2 λ 2 6 b λ 1 λ 2 + 3 β 2 + β λ 1 = 4 α 2 θ 0 2 λ 2 6 b λ 1 λ 2 + 4 λ 1 β 2 + β λ 1 1 β , when  3 2 b λ 1 α 2 θ 0 2 > λ 1 β 2 λ 2  and  4 α 2 θ 0 2 λ 2 6 b λ 1 λ 2 + 4 λ 1 β 2 < 0 , if  β > 1 , then  β λ 1 1 β < 0 , At this time,  H α , β < 0 , and  2 b λ 2 β 2 + β λ 1 > 2 b λ 1 λ 2 λ 1 β 2 > 3 2 b λ 1 λ 1 β 2 > α 2 θ 0 2 > 0 . Therefore,  p w 1 d * ρ < 0 . At this time, the optimal selling price of agricultural producers is negatively correlated with consumers’ offline channel preference. Similarly, it can be proved that  p r 1 d * ρ < 0 τ 1 d * ρ < 0 ,   g 1 d * ρ < 0 . QED. □
Corollary 1 highlights the relationship between consumer channel preference and the sales of homogeneous agri-foods in physical and online channels. Specifically, when consumers exhibit a higher preference for offline sales channels, it becomes easier to sell homogeneous agri-foods at higher prices through physical channels. Conversely, when consumers prefer online channels, the task of selling homogeneous agri-foods at higher prices in physical channels becomes more challenging. In order to enhance the premium associated with multiple-channel sales, it is advisable for supply chain participants to minimize the promotion of homogeneous agri-foods across different channels and instead focus on creating differentiated competitive advantages within each sales channel.
Corollary 2.
When the supply chain cost satisfies a specific condition  2 c + c e + c r + 2 c w b a , the freshness and low carbon levels of agri-foods in the supply chain at a decentralized decision are lower than in the case of a centralized decision, so  τ 2 d * τ 2 c * g 2 d * g 2 c * . Otherwise, the freshness and low carbon level of agri-foods in the supply chain at a decentralized decision is higher than that at a centralized decision, so  τ 2 d * > τ 2 c *   g 2 d * > g 2 c * .
Proof of Corollary 2.
By  τ 2 d * τ 2 c * = λ 2 α θ 0 2 c + c e + c r + 2 c w b a 4 G α , β , g 2 d * g 2 c * = λ 1 β 2 c + c e + c r + 2 c w b a 4 G α , β , it can be shown that the proof  p r 2 d * > p r 2 c *  is equivalent to the proof  2 c + c e + c r + 2 c w b λ 1 λ 2 2 β 2 λ 1 2 α 2 θ 0 2 λ 2 < a λ 2 λ 1  and it is also equivalent to the proof  2 c + c e + c r + 2 c w b λ 1 λ 2 2 β 2 λ 1 2 α 2 θ 0 2 λ 2 a λ 2 λ 1 < 1 . When  2 c + c e + c r + 2 c w b > a , and  2 c + c e + c r + 2 c w b a > 0 . When  b λ 1 α 2 θ 0 2 > λ 1 β 2 λ 2 , and  G α , β > 0 , then  τ 2 d * > τ 2 c * ,   g 2 d * > g 2 c * . When  2 c + c e + c r + 2 c w b a 0 , and  τ 2 d * τ 2 c * ,   g 2 d * g 2 c * . QED. □
According to Corollary 2, when considering the enhancement of quality (freshness) and low carbon development in the agri-food supply chain, neither decentralized decision-making nor centralized decision-making holds a significant advantage over the other. The selection of the appropriate supply chain structure primarily depends on the cost associated with it at a given time. If the cost of the supply chain is high and exceeds a specific threshold, decentralized decision-making becomes more favorable for improving the freshness of agri-foods and promoting low-carbon development. Conversely, if the supply chain cost is lower, centralized decision-making is more advantageous in terms of enhancing freshness and facilitating low-carbon development.
Corollary 3.
The freshness, low carbon level, and retail price of agri-foods in the two different supply chain channel structures in the centralized decision case are the same when the cost of agri-foods producers to sell their products to sellers is zero. That is,  p r 1 c * = p r 2 c * , τ 1 c * = τ 2 c * , and  g 1 c * = g 2 c * .
Proof of Corollary 3.
By  p r 1 c * p r 2 c * = c w 2 G α , β b λ 2 λ 1 4 G α , β , τ 1 c * τ 2 c * = b c w λ 2 α θ 0 2 G α , β g 1 c * g 2 c * = b c w λ 1 β 2 G α , β . It is known that when  c w = 0 , then  p r 1 c * = p r 2 c * , τ 1 c * = τ 2 c * , and  g 1 c * = g 2 c * . Otherwise, by the precondition  b λ 1 α 2 θ 0 2 > λ 1 β 2 λ 2 , it follows that  G α , β > 0 , then  τ 1 c * > τ 2 c * g 1 c * > g 2 c * . QED.
Corollary 3 elucidates the influence of agribusiness engagement in contract farming and the implementation of integrated supply chain development on the selection of a dual-channel structure within the supply chain. From the perspective of enhancing the quality and low carbon level of agri-foods, it is evident that when supply chain collaboration adopts a centralized decision-making approach, it is more advantageous for producers to lead the development of online channels rather than for sellers to initiate online channels. This observation also underscores the benefits of agricultural development when agri-food producers increase their specialization, allocate more resources to agricultural production, and expand their sales network through multiple channels.
Corollary 4.
When  2 β 2 λ 1 + 2 α 2 θ 0 2 λ 2 λ 1 λ 2 < b , the selling price of agri-foods in the case of centralized decision is lower than the selling price of the seller-led online channel. Otherwise, the selling price of agri-foods in the case of centralized decision is greater than the producer-led online channel than the seller-led online channel.
Proof of Corollary 4.
By  G α , β = b λ 1 λ 2 β 2 λ 1 α 2 θ 0 2 λ 2 , it can be shown that  2 G α , β b λ 2 λ 1 = b λ 1 λ 2 2 β 2 λ 1 2 α 2 θ 0 2 λ 2 , when  2 β 2 λ 1 + 2 α 2 θ 0 2 λ 2 λ 1 λ 2 < b ,  and  p r 1 c * p r 2 c * = c w 2 G α , β b λ 2 λ 1 4 G α , β < 0 ; when  2 β 2 λ 1 + 2 α 2 θ 0 2 λ 2 λ 1 λ 2 > b , and  p r 1 c * p r 2 c * = c w 2 G α , β b λ 2 λ 1 4 G α , β > 0 . QED.
Corollary 4 demonstrates that the optimal selling price magnitude of agri-foods within both supply chain channel structures in a centralized decision-making scenario is predominantly dependent on the values of pertinent parameters. In conjunction with Corollary 3, it can be observed that achieving the simultaneous objectives of high quality and favorable pricing for agri-foods within the supply chain is feasible for a specific set of parameters. □
Corollary 5.
In the case that the seller dominates the opening of online channels, when  b λ 1 λ 2 2 β 2 λ 1 2 α 2 θ 0 2 λ 2 λ 2 λ 1 > a 2 c + c e + c r + 2 c w , the selling price of agri-foods with decentralized decision is higher than the centralized decision; otherwise, the selling price of agri-foods with a decentralized decision is lower than the centralized decision.
Proof of Corollary 5.
Known that  p r 2 d * p r 2 c * = 2 c + c e + c r + 2 c w b λ 1 λ 2 2 β 2 λ 1 2 α 2 θ 0 2 λ 2 a λ 2 λ 1 4 G α , β , by the precondition  b λ 1 α 2 θ 0 2 > λ 1 β 2 λ 2 , it follows that  G α , β > 0 , when  b λ 1 λ 2 2 β 2 λ 1 2 α 2 θ 0 2 λ 2 λ 2 λ 1 > a 2 c + c e + c r + 2 c w , 2 c + c e + c r + 2 c w b λ 1 λ 2 2 β 2 λ 1 2 α 2 θ 0 2 λ 2 a λ 2 λ 1 > 0 , that is  p r 2 d * > p r 2 c * . Otherwise,  p r 2 d * p r 2 c * . QED. □
Corollary 5 demonstrates that in the context of a seller-led online channel, whether supply chain participants engage in competition or cooperation has minimal impact on the selling price of agri-foods. Instead, the selling price of agri-foods in the channel primarily depends on the cost structure and relevant parameters. Therefore, the choice of channel structure and price configuration should be adapted to the situation.

5. Algorithm and Sensitivity Analysis

5.1. Analysis of Algorithms

Considering that the model parameters of this study are complex and some of the conclusions are difficult to analyze by analytic equations, it is proposed to further analyze the results in the form of arithmetic tests. Referring to Liu et al. [30], combining with the reality of this study, the parameters are set  a = 40 θ 0 = 1 ρ =  0.4,  λ 1 = 100 λ 2 = 60 α = 4 β = 5 b = 0.6 , and  c = 15,  c w = 5 c e = 5 c r = 19.5 . The optimal decision values of the supply chain participants in different situations are obtained by calculation and are shown in Table 2.
Based on the analysis presented in Table 2, we observe that when consumers exhibit a preference for online channels, a majority of agri-foods are sold through those channels. In the decentralized decision-making mode, the profit and selling price of agri-foods demonstrates a significant increase compared to the centralized decision-making mode. However, it is important to note that the freshness and low carbon levels of agri-foods in the decentralized mode are noticeably lower than those in the centralized mode.
Further analysis reveals that in the decentralized decision-making mode when producers open online channels, the profit distribution within the supply chain tends to favor the producers. Conversely, when sellers take the initiative to open online channels, the profit distribution tilts toward the sellers.
Overall, when producers open online channels, the profit, sales price, low carbon level, freshness, and sales volume of supply chain participants experience a higher level of performance compared to the scenario where sellers open online channels. This suggests that the decision to open online channels by producers yields more favorable outcomes for the supply chain as a whole.

5.2. Parameter Sensitivity Analysis

According to the assumptions above,  ρ α β , and b represent the degree of consumer offline channel preference, the sensitivity coefficient of consumer demand to the freshness of agri-foods, the sensitivity coefficient of consumer demand to the low carbon level of agri-foods and the price elasticity of consumer demand, respectively. In the following, the effects of these parameters on the results are analyzed next.
(1)
The influence of consumer preference for offline channels
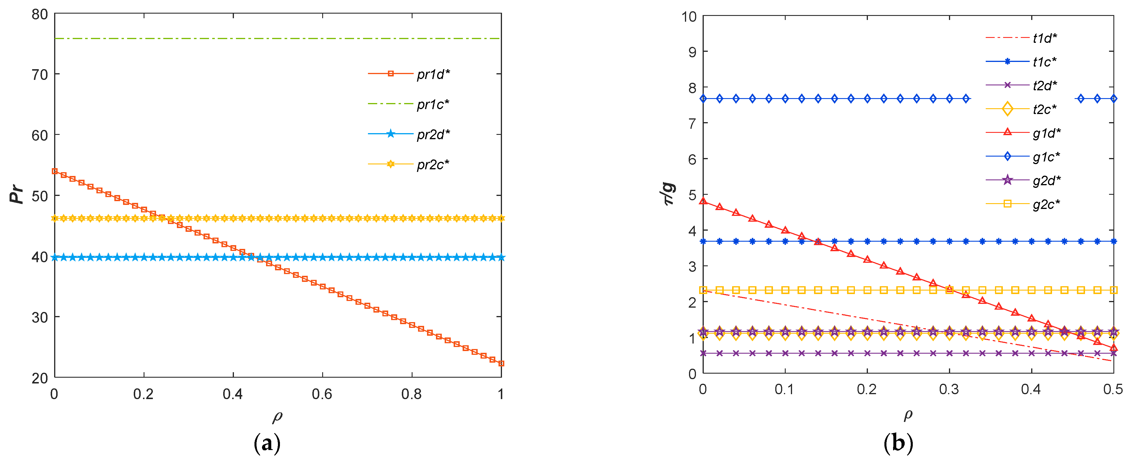
Under the assumption of consistent parameters, this study investigates the influence of consumer preference for offline channels on optimal agricultural market prices, preservation efforts, and low carbon levels (refer to Figure 4). Figure 4a demonstrates a gradual decrease in the market price of agri-foods under decentralized decision-making as consumer preference for offline channels increases, particularly when producers dominate the opening of online channels. Additionally, when more than half of consumers express a preference for offline channels, the market price of agri-foods decreases to a level lower than the other three decision scenarios. In contrast, the market price of agri-foods remains insensitive to consumers’ preference for offline channels when sellers dominate the opening of online channels or when producers dominate the opening of online channels with a centralized decision. Figure 4b reveals a decrease in the level of preservation effort and low-carbon water in the supply chain, on average, as consumer offline channel preference increases in cases where producers dominate the opening of the online channel and decentralize the decision. Conversely, in alternative scenarios, the freshness effort and low carbon level of agri-foods in the supply chain exhibit no significant variation in response to consumer offline channel preference.
(2)
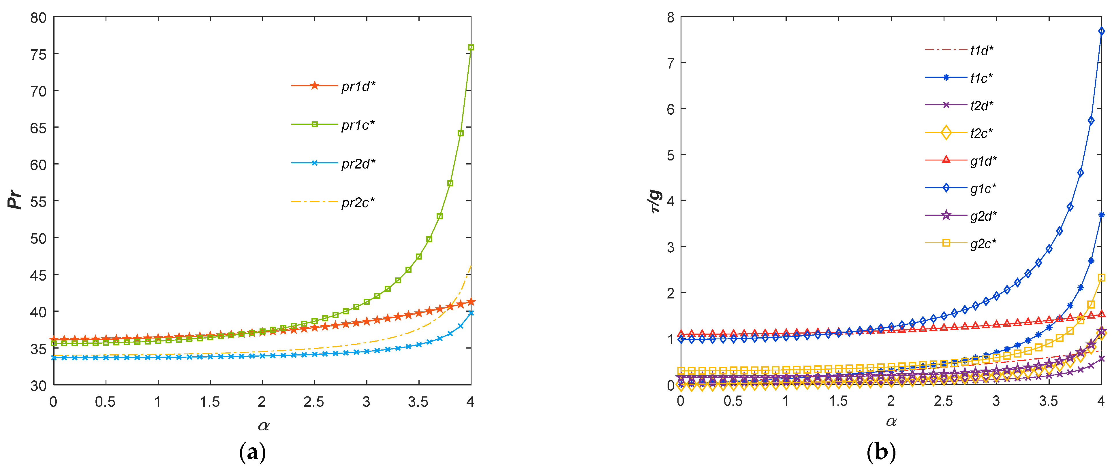
Influence of consumer freshness preference
Under the condition of keeping the aforementioned parameters constant, this study examines the impact of consumer freshness preference on the optimal market price of agricultural goods, freshness preservation efforts, and low carbon levels. The results depicted in Figure 5a reveal a positive correlation between consumer freshness preference and the optimal market price of agri-foods, regardless of the employed channel structures and decision-making methods. Additionally, the analysis indicates that the market price of agri-foods exhibits heightened sensitivity to changes in consumer freshness preference when producers have control over online channel access and decision-making processes. Figure 5b illustrates that, across various channel structures and decision-making approaches, higher consumer freshness preference is associated with increased freshness preservation efforts and low carbon levels within the agri-food supply chain. Notably, in scenarios where producers dominate the opening of online channels and centralize decision-making, a stronger consumer freshness preference leads to a more rapid escalation of freshness preservation efforts and low carbon levels.
(3)
Influence of consumers’ low-carbon preferences
The present study examines the impact of consumer low-carbon preferences on optimal agricultural market prices, preservation efforts, and low-carbon levels while keeping the aforementioned parameters constant (see Figure 6). According to Figure 6a, within a reasonable range of parameters, there is a positive correlation between consumer low-carbon preferences and the market price of agri-foods. Specifically, as consumer low-carbon preferences increase, the market price of agri-foods tends to rise. Moreover, when the producer-led opening of online channels and decentralized decision-making is considered, the price growth is amplified with higher low-carbon preferences. However, in the case of other channel structures and decision-making mechanisms, the growth rate of agricultural market prices gradually slows down and stabilizes.
Turning to Figure 6b reveals that the efforts to maintain freshness and low carbon levels in the supply chain increase with consumer low-carbon preferences across various channel structures and decision scenarios. Furthermore, the growth rate of these preservation efforts and low carbon levels becomes more pronounced as low-carbon preferences rise. Remarkably, when producers dominate the opening of online channels and centralize decision-making, the preservation efforts for freshness and low carbon levels in the supply chain exhibit the highest growth rate, indicating their sensitivity to changes in parameters.
(4)
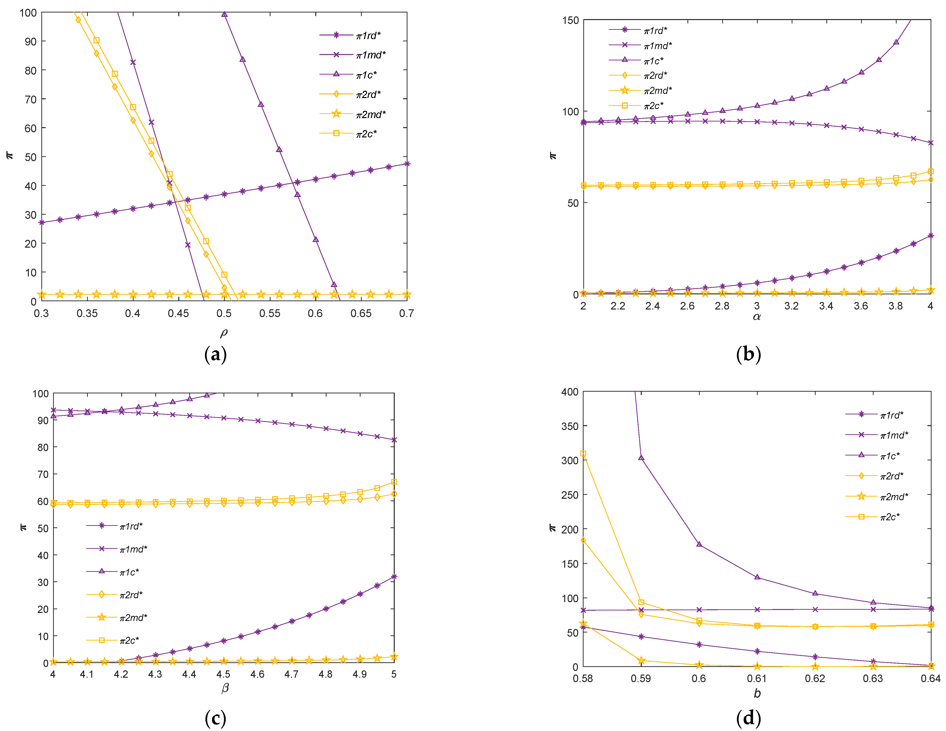
Impact on profits of supply chain members
To investigate the impact of consumers’ offline channel preferences ( ρ ), freshness preference (α), low-carbon preference (β), and the price elasticity of demand (b) on supply chain profit (Figure 7), an analysis was conducted. Based on Figure 7a, it can be observed that the total supply chain revenue declines as consumer offline channel preference increases in different channel structures under centralized decision-making. In the case of a producer-led online channel, the producer’s profit decreases with an increase in consumer offline channel preference when decentralized decision-making is employed, while the seller’s profit increases. Conversely, when the seller leads the online channel, the producer’s profit increases with the consumer’s offline channel preference under decentralized decision-making, while the seller’s profit decreases. Analysis of Figure 7b,c reveals that when the producer leads the opening of the online channel, only the producer’s profit decreases with an increase in freshness preference and low-carbon preference level under decentralized decision-making. However, the profit in the supply chain increases with the rise in freshness preference and low-carbon preference level of consumers under all other supply chain structures and decision scenarios. Moreover, supply chain profits are found to be more sensitive to changes in freshness preferences compared to low-carbon preferences. Lastly, Figure 7d indicates that within a reasonable range of parameter values, producer profits are not significantly affected by the price elasticity of consumer demand only when the producer dominates the opening of the online channel and decentralizes the decision. However, in all other channel structures and decision scenarios, supply chain profits decrease as the price elasticity of consumer demand increases.

6. Discussion

(1)
In this academic paper, we introduce the concept of the level of preservation effort as an indicator for assessing the degree of commitment to the preservation of perishable produce. While we initially categorized freshness efforts as a linear relationship related to fresh produce preservation, it is important to recognize that real-world freshness efforts are influenced by a range of factors, including physical and chemical technologies. Therefore, the heterogeneity in the level of preservation effort needs to be discussed in subsequent research efforts for different types of fresh produce.
(2)
In this paper, the impact of logistics service level on the supply chain is weakened, but due to the characteristics of fresh agricultural products, logistics, and transportation costs cannot be ignored. Therefore, in the subsequent study, the model can introduce third-party logistics to establish the “supplier a TPL a retailer” three-level supply chain model.
(3)
In this study, we examine the linear correlation between market demand and selling price, low carbon content, and freshness. We also acknowledge the possibility of exploring uncertain stochastic demand functions in subsequent research endeavors.
(4)
Assuming a scenario in which consumers embrace uniform pricing for fresh produce acquired from dual channels, it is noteworthy that the pricing dynamics of fresh produce will tend towards non-uniformity in both online and offline contexts. Consequently, it is reasonable to propose that in forthcoming investigations, a comprehensive exploration of the implications stemming from the non-uniform pricing strategy within dual-channel systems on supply chain decision-making warrants attention.

7. Conclusions

In this paper, we examine the factors influencing the market demand of agri-foods, namely the sales price, freshness, and low carbon level. To understand consumer preferences, we introduce three decision variables: “offline channel preference”, “freshness preference”, and “low carbon preference”. Our study focuses on a three-level supply chain consisting of producers, sellers, and consumers, and we establish a dual-channel supply chain structure model with both producer-led and seller-led agri-foods. We investigate the relationship between product price, freshness, low carbon level, and supply chain profit under both decentralized and centralized control decision-making models. Based on our analysis, we draw the following conclusions:
[1]
The cost disparity between different sales channels impacts the selling of homogeneous agri-foods at high prices in physical channels, especially when more consumers opt for Internet sales channels. To enhance the premium associated with multi-channel sales, participants in the agri-foods supply chain should minimize the promotion of homogeneous agri-foods across different channels. Instead, they should strive to create differentiated competitive advantages in each sales channel.
[2]
Comparing the producer-led opening of online sales channels with the dual-channel strategy led by sellers, we find that the supply chain exhibits higher levels of greenness, low carbon, and quality of agri-foods when the latter approach is adopted. However, achieving these benefits requires supply chain participants to sacrifice a portion of their profits to invest in freshness and low-carbon initiatives for agri-foods. To pursue a “high quality and high price” development strategy for agri-foods, it may be advisable to establish online channels led by sellers and encourage collaboration among supply chain members to expand the market and optimize cost structures.
[3]
The selling cost of agri-foods to sellers plays a crucial role in determining the proximity of freshness, low carbon level, and retail price between the two different channel structures under centralized decision-making. When the selling cost from agri-food producers to sellers is zero, the freshness, low carbon level, and retail price of agri-foods are identical in both supply chain channel structures. Therefore, to minimize consumer channel consumption discrepancies, it is essential to promote strategic cooperation among agricultural supply chain participants and establish integrated alliances, such as farm-enterprise partnerships for contract farming and self-base production.
These findings contribute to our understanding of the agri-foods market dynamics and provide valuable insights for supply chain participants to optimize their strategies and operations in the context of dual-channel distribution. Further research can delve into the specific mechanisms and implementation strategies for fostering collaboration and integration among supply chain members to enhance overall efficiency and customer satisfaction.

Author Contributions

Writing—original draft preparation, J.X.; writing—review and editing, S.X.; data curation, T.C.; validation, D.Z.; funding acquisition, Z.L. All authors have read and agreed to the published version of the manuscript.

Funding

National Natural Science Foundation of China: 72103178; the Ministry of Education of Humanities and Social Science project: 22YJC790004; the Open Project Program of Engineering Research Center of High-efficiency and Energy-saving Large Axial Flow Pumping Station, Jiangsu Province, Yangzhou University: ECHEAP014; the Jiangsu Province Education Science 14th Five-Year Plan Key Project Fund: B/2022/01/36; the Yangzhou University High-end Talent Support Program.

Institutional Review Board Statement

Not applicable.

Data Availability Statement

Data are contained within the article.

Conflicts of Interest

The authors declare no conflict of interest.

References

  1. Wu, D.Q.; Liu, Y.L. Research on aquatic product supply chain coordination considering transport time and consumer preference. Oper. Res. Manag. Sci. 2022, 31, 107–112. [Google Scholar]
  2. Yang, Y.; Yao, G. Fresh agri-foods supply chain coordination considering consumers’ dual preferences under carbon CAP-and-Trade mechanism. J. Ind. Manag. Optim. 2023, 19, 2071–2090. [Google Scholar] [CrossRef]
  3. Wang, L.; Dan, B. The incentive mechanism for preservation in fresh agricultural supply chain considering consumer utility. J. Small Bus. Manag. 2015, 29, 200–206. [Google Scholar]
  4. Dutta, D.K.; Hora, M. From invention success to commercialization success: Technology ventures and the benefits of upstream and downstream supply-chain alliances. J. Small Bus. Manag. 2017, 55, 216–235. [Google Scholar] [CrossRef]
  5. Cai, X.Q.; Chen, J.; Xiao, Y.B. Optimization and coordination of fresh product supply chains with freshness-keeping effort. Prod. Oper. Manag. 2010, 19, 261–278. [Google Scholar] [CrossRef]
  6. Cao, Y.; Yi, C.Q.; Wan, G.Y. Pricing and service strategies of dual-channel supply chain based on manufacturer’s online channel selection. J. Ind. Eng. Eng. Manag. 2021, 35, 189–199. [Google Scholar]
  7. Zhang, Y.; Zhang, J. Strategic customer behavior with disappointment aversion customers and two alleviation policies. Int. J. Prod. Econ. 2017, 191, 170–177. [Google Scholar] [CrossRef]
  8. Tseng, M.L.; Shun, F.C.; Tan, R.R. Sustainable consumption and production for Asia: Sustainability through green design and practice. J. Clean. Prod. 2013, 40, 1–5. [Google Scholar] [CrossRef]
  9. Ye, Y.G.; Liu, X.F. Research on optimal decision-making of enterprises in green agricultural product supply chain under consumers’ valuation. Commer. Res. 2020, 62, 92–99. [Google Scholar]
  10. Sarkis, J. A strategic decision framework for greens up plychain management. J. Clean. Prod. 2003, 11, 397–409. [Google Scholar] [CrossRef]
  11. Hua, J.N.; Ding, X.B. Three-level supply chain coordination of green agri-foods under stochastic demand. Ind. Eng. J. 2020, 23, 51–58. [Google Scholar]
  12. Fu, L.F.; Deng, H.L.; Wei, W. Analysis of influencing factors and consumption behavior of green agri-foods based on probit model. Ecol. Econ. 2014, 30, 60–64. [Google Scholar]
  13. Mittal, V.K.; Sangwan, K.S. Prioritizing barriers to green manufacturing: Environmental, social and economic perspectives. Procedia Cirp 2014, 15, 135–140. [Google Scholar] [CrossRef]
  14. Blackburn, J.; Scudder, G. Supply chain strategies for perishable products: The case of fresh produce. Prod. Oper. Manag. 2010, 18, 129–137. [Google Scholar] [CrossRef]
  15. Hsu, P. Preservation technology investment for deteriorating inventory. Int. J. Prod. Econ. 2010, 124, 388–394. [Google Scholar] [CrossRef]
  16. Dye, C.Y.; Hsieh, T.P. An optimal replenishment policy for deteriorating items with effective investment in preservation technology. Eur. J. Oper. Res. 2012, 218, 106–112. [Google Scholar] [CrossRef]
  17. Qin, Y. Joint pricing and inventory control for fresh produce and foods with quality and physical quantity deteriorating simultaneously. Int. J. Prod. Econ. 2014, 152, 42–48. [Google Scholar] [CrossRef]
  18. Chen, H.; Zhou, Z.F.; Chen, J. Inventory replenishment strategy for fresh agri-foods in growth value ameliorating cycle. Syst. Eng. 2012, 1, 91–96. [Google Scholar]
  19. Xiong, Y. Dynamic pricing model and algorithm for perishable products with fuzzy demand. Appl. Stoch. Models Bus. Ind. 2010, 26, 758–774. [Google Scholar] [CrossRef]
  20. Lee, Y.P.; Dye, C.Y. An inventory model for deteriorating items under stock-dependent demand and controllable deterioration rate. Comput. Ind. Eng. 2012, 63, 10–22. [Google Scholar] [CrossRef]
  21. Dan, B.; Liu, M.L.; Shao, B.J. Product and service integration business model of “internet plus” fresh agricultural product supply chain. J. Bus. Econ. 2017, 9, 11–20. [Google Scholar]
  22. Bai, S.Z.; Jia, X.L. Research on operational strategy of capital-constrained dual-channel supply chain of fresh agri-foods. Chin. J. Manag. Sci. 2022, 1–13. [Google Scholar]
  23. Pu, X.J.; Jin, D.L. The operational efficiency measurement of agro-food supply chains: The single “farmer-supermarket direct purchase” vs. dual channe. Chin. J. Manag. Sci. 2017, 25, 98–105. [Google Scholar]
  24. Zhang, C.T.; Liu, L.P. Research on coordination mechanism in three-level green supply chain under non-cooperative game. Appl. Math. Model. 2013, 37, 3369–3379. [Google Scholar] [CrossRef]
  25. Chen, J.; Zhang, H.; Sun, Y. Implementing coordination contracts in a manufacturer Stackelberg dual-channel supply chain. Omega 2012, 40, 571–583. [Google Scholar] [CrossRef]
  26. Sun, J.N.; Xiao, Z.D. Decision-making of dual-channel supply chain emission reduction based on consumer preference to low-carbon. Chin. J. Manag. Sci. 2018, 26, 49–56. [Google Scholar]
  27. Li, M.; Zhao, X.F. Research on the characteristics and laws of agro-Food supply chain Integration——A comparative analysis between Traditional Channel and Omni-Channel Mode. Economist 2022, 7, 119–128. [Google Scholar]
  28. Lan, J.Y.; Shi, Q.C.; Feng, Z.H. Research on Corporate Social Responsibility Sharing Strategy Selection in Fresh E-commerce supply chain. Chin. J. Manag. Sci. 2022, 1–15. [Google Scholar]
  29. Xu, J.; Cai, J.; Yao, G.; Dai, P. Strategy optimization of quality Improvement and pricesubsidy of agri-foodssupply Chain. Foods 2022, 11, 1761. [Google Scholar] [CrossRef]
  30. Liu, M.L.; An, B.; Ma, S.X. Optimal strategies and coordination of fresh e-commerce supply chain considering freshness-keeping effort and value-added Service. Chin. J. Manag. Sci. 2020, 28, 76–88. [Google Scholar]
Figure 1. The research framework for the study of decision-making in dual-channel agri-foods supply chains considering consumers’ low carbon and freshness preferences.
Figure 1. The research framework for the study of decision-making in dual-channel agri-foods supply chains considering consumers’ low carbon and freshness preferences.
Agriculture 13 01647 g001
Figure 2. The structure of the agricultural supply chain with producers opening online channels.
Figure 2. The structure of the agricultural supply chain with producers opening online channels.
Agriculture 13 01647 g002
Figure 3. The structure of agri-foods supply chain under the online channel opened by sellers.
Figure 3. The structure of agri-foods supply chain under the online channel opened by sellers.
Agriculture 13 01647 g003
Figure 4. Consumer offline channel preference ρ on optimal produce market price  P r  (a), freshness preservation effort τ and low carbon level g (b).
Figure 4. Consumer offline channel preference ρ on optimal produce market price  P r  (a), freshness preservation effort τ and low carbon level g (b).
Agriculture 13 01647 g004
Figure 5. Consumer freshness preference α on the market price of optimal agri-foods  P r  (a), freshness preservation effort τ and low carbon level g (b).
Figure 5. Consumer freshness preference α on the market price of optimal agri-foods  P r  (a), freshness preservation effort τ and low carbon level g (b).
Agriculture 13 01647 g005
Figure 6. Consumer low carbon preference β on the optimal agricultural market price  P r  (a), freshness preservation effort τ and low carbon level g (b).
Figure 6. Consumer low carbon preference β on the optimal agricultural market price  P r  (a), freshness preservation effort τ and low carbon level g (b).
Agriculture 13 01647 g006
Figure 7. Consumer offline channel preference  ρ  (a), freshness preference  α  (b), low carbon preference  β  (c), and price elasticity of demand b (d) on supply chain profitability.
Figure 7. Consumer offline channel preference  ρ  (a), freshness preference  α  (b), low carbon preference  β  (c), and price elasticity of demand b (d) on supply chain profitability.
Agriculture 13 01647 g007
Table 1. The description of the notations.
Table 1. The description of the notations.
SymbolsMeaning
aTotal demand for fresh produce market
1 − ρProportion of consumers choosing online purchase channels for agri-foods
θ0Initial freshness
λ1Preservation investment cost factor
gLow carbon level for fresh produce
c2Low carbon input costs for agricultural producers
βSensitivity coefficient of consumers to low carbon levels of agri-foods
prRetail prices of agri-foods
crCost of offline sales for agricultural product sellers
cwOff-line sales costs for agricultural producers
deOnline channel market demand
πmAgricultural producer profits
ρProportion of consumers choosing offline purchase channels for agri-foods
θProduce Freshness
τLevel of preservation efforts of agricultural producers
c1Preservation investment cost
λ2Low Carbon Investment Cost Factor
aSensitivity coefficient of consumer demand to freshness of produce
bPrice elasticity of consumer demand
pwWholesale prices of agri-foods
ceCost of selling agri-foods online
cUnit production cost of fresh produce
drOffline channel market demand
πrProfit for agricultural product sellers
πTotal supply chain profit
*Optimal value
Superscript cCentralized decision-making situations
Table 2. Optimal decision results of agricultural supply chain participants under different situations and different decision methods.
Table 2. Optimal decision results of agricultural supply chain participants under different situations and different decision methods.
Parameters
Models
Producers Open Online Channels (Model 1)Vendors Open Online Channels (Model 2)
Decentralized Decision Centralized Decision Decentralized Decision Centralized Decision
  p w * 3.27/26.96/
  p r * 41.2875.8239.7646.18
  τ * 0.733.690.561.11
  g * 1.527.681.162.32
  d e * 9.7331.648.1812.36
  d r * 1.7323.640.184.36
  π m * 82.61/2.26/
  π r * 31.95/62.53/
  π * /177.05/67.05
Disclaimer/Publisher’s Note: The statements, opinions and data contained in all publications are solely those of the individual author(s) and contributor(s) and not of MDPI and/or the editor(s). MDPI and/or the editor(s) disclaim responsibility for any injury to people or property resulting from any ideas, methods, instructions or products referred to in the content.

Share and Cite

MDPI and ACS Style

Xu, J.; Xiong, S.; Cui, T.; Zhang, D.; Li, Z. Incorporating Consumers’ Low-Carbon and Freshness Preferences in Dual-Channel Agri-Foods Supply Chains: An Analysis of Decision-Making Behavior. Agriculture 2023, 13, 1647. https://doi.org/10.3390/agriculture13091647

AMA Style

Xu J, Xiong S, Cui T, Zhang D, Li Z. Incorporating Consumers’ Low-Carbon and Freshness Preferences in Dual-Channel Agri-Foods Supply Chains: An Analysis of Decision-Making Behavior. Agriculture. 2023; 13(9):1647. https://doi.org/10.3390/agriculture13091647

Chicago/Turabian Style

Xu, Jing, Shihao Xiong, Tingyu Cui, Dongmei Zhang, and Zhibin Li. 2023. "Incorporating Consumers’ Low-Carbon and Freshness Preferences in Dual-Channel Agri-Foods Supply Chains: An Analysis of Decision-Making Behavior" Agriculture 13, no. 9: 1647. https://doi.org/10.3390/agriculture13091647

APA Style

Xu, J., Xiong, S., Cui, T., Zhang, D., & Li, Z. (2023). Incorporating Consumers’ Low-Carbon and Freshness Preferences in Dual-Channel Agri-Foods Supply Chains: An Analysis of Decision-Making Behavior. Agriculture, 13(9), 1647. https://doi.org/10.3390/agriculture13091647

Note that from the first issue of 2016, this journal uses article numbers instead of page numbers. See further details here.

Article Metrics

Back to TopTop