Artefacts in Field Trial Research—Lateral Ammonia Fluxes Confound Fertiliser Plot Experiments
Abstract
:1. Introduction
2. Materials and Methods
2.1. Experimental Site
2.2. Experimental Design
2.3. Digestate and Fertilisation
2.4. NH3 Volatilisation Model
2.5. Ammonia Volatilisation Measurements
2.6. Measurement of N Uptake
2.7. Statistical Analysis
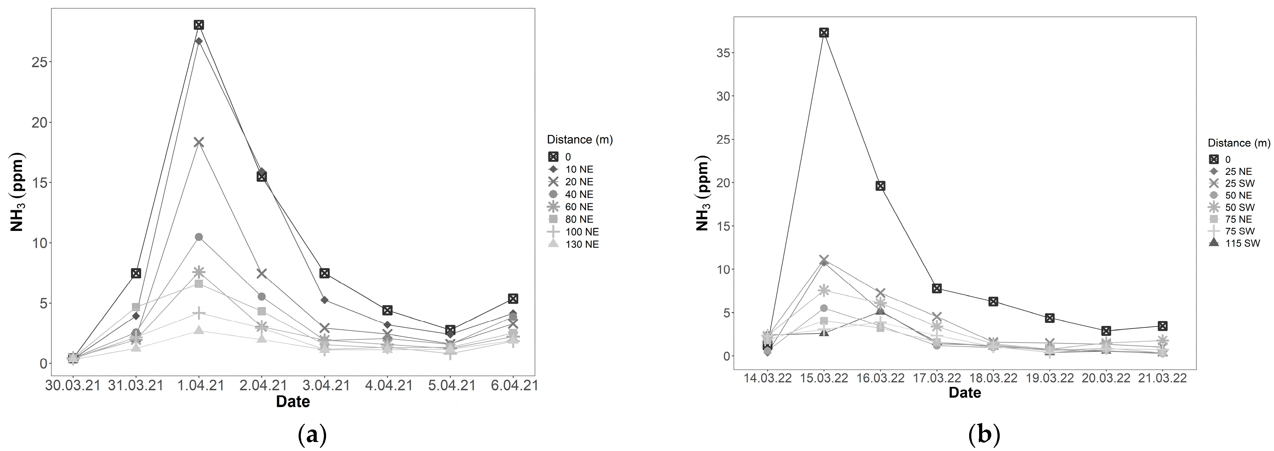
3. Results
4. Discussion
5. Conclusions
Author Contributions
Funding
Institutional Review Board Statement
Data Availability Statement
Acknowledgments
Conflicts of Interest
Appendix A



| Date | Mean Temperature (Daily, °C) | Mean Temperature (During DTM Measurement, °C) | Mean Wind Speed (Daily, m s−1) | Mean Wind Speed (During DTM Measurement, m s−1) | Wind Direction | Mean Pressure (During DTM Measurement, hPa) |
|---|---|---|---|---|---|---|
| 30 March 2021 | 12.7 | 0.9 | ESE | |||
| 31 March 2021 | 13.4 | 1 | SSE | |||
| 1 April 2021 | 13.7 | 2 | W | |||
| 2 April 2021 | 8.3 | 3 | NW | |||
| 3 April 2021 | 4.4 | 2.8 | NW | |||
| 4 April 2021 | 5.2 | 1.5 | WNW | |||
| 5 April 2021 | 5.3 | 4.3 | SW | |||
| 6 April 2021 | −0.8 | 3.3 | WSW | |||
| 29 April 2021 | 12.9 | 2.5 | 1007.4 | |||
| 30 April 2021 | 14.1 | 3.3 | 1008.4 | |||
| 1 May 2021 | 10.5 | 2.8 | 1009.1 | |||
| 2 May 2021 | 6.3 | 4.1 | 1017.6 | |||
| 3 May 2021 | 10.0 | 3.1 | 1021.6 | |||
| 4 May 2021 | 16.0 | 4.9 | 1007.7 | |||
| 14 March 2022 | 8.2 | 12.1 | 2.3 | 2.1 | WSW | 1028 |
| 15 March 2022 | 7.1 | 8.9 | 1.7 | 1.1 | ENE | 1026.0 |
| 16 March 2022 | 7.1 | 8.9 | 2.8 | 2.6 | E | 1026.4 |
| 17 March 2022 | 6.1 | 7.9 | 1.8 | 1.3 | E | 1027.2 |
| 18 March 2022 | 7.5 | 10.0 | 3.2 | 3.4 | NE | 1036.9 |
| 19 March 2022 | 5.5 | 8.0 | 3.5 | 3.6 | NNE | 1033.7 |
| 20 March 2022 | 6.7 | 10.7 | 2.9 | 3.3 | E | 1031.0 |
| 21 March 2022 | 6.3 | 9.7 | 1.6 | 1.8 | ENE | 1032.8 |
| 28 April 2022 | 14.3 | 2.3 | 1027.2 | |||
| 29 April 2022 | 16.1 | 2.6 | 1024.1 | |||
| 30 April 2022 | 12.2 | 2.5 | 1020.7 | |||
| 1 May 2022 | 10.5 | 1.7 | 1020.4 | |||
| 2 May 2022 | 1.7 | 15.6 | 1014.9 | |||
| 3 May 2022 | 2.0 | 16.3 | 1013.7 | |||
| 4 May 2022 | 2.1 | 16.6 | 1015.3 |


| Distance across the Field from Fertilised Clover–Grass Plot (m) | δ15N Grass Component (‰) | Fraction of Total N in Grass Component Derived from Gaseous NH3 Emissions |
|---|---|---|
| 3 | 1.35 | 0.068 |
| 9 | 1.53 | 0.060 |
| 9 | 2.24 | 0.029 |
| 15 | 2.16 | 0.032 |
| 16.5 | 2.90 | 0 |
References
- Brackin, R.; Näsholm, T.; Robinson, N.; Guillou, S.; Vinall, K.; Lakshmanan, P.; Schmidt, S.; Inselsbacher, E. Nitrogen fluxes at the root-soil interface show a mismatch of nitrogen fertilizer supply and sugarcane root uptake capacity. Sci. Rep. 2015, 5, 15727. [Google Scholar] [CrossRef] [PubMed]
- Raun, W.R.; Johnson, G.V. Improving nitrogen use efficiency for cereal production. Agron. J. 1999, 91, 357. [Google Scholar] [CrossRef]
- Eurich-Menden, B.; Döhler, H.; Dämmgen, U. Ammonia emissions of German agriculture. Landtechnik 2004, 59, 162–163. [Google Scholar] [CrossRef]
- Möller, K.; Stinner, W. Effects of different manuring systems with and without biogas digestion on soil mineral nitrogen content and on gaseous nitrogen losses (ammonia, nitrous oxides). Eur. J. Agron. 2009, 30, 1–16. [Google Scholar] [CrossRef]
- Battye, W.; Aneja, V.P.; Schlesinger, W.H. Is nitrogen the next carbon? Earth’s Future 2017, 5, 894–904. [Google Scholar] [CrossRef]
- Mosier, A.R. Exchange of gaseous nitrogen compounds between agricultural systems and the atmosphere. Plant Soil 2001, 228, 17–27. [Google Scholar] [CrossRef]
- Underwood, A.J. Components of design in ecological field experiments. Ann. Zool. Fenn. 2009, 46, 93–111. [Google Scholar] [CrossRef]
- Petersen, R.G. Agricultural Field Experiments: Design and Analysis; Marcel Dekker, Inc.: New York, NY, USA, 1994; ISBN 0824789121. [Google Scholar]
- Gomez, K.A.; Gomez, A.A. Statistical Procedures for Agricultural Research, 2nd ed.; Wiley: New York, NY, USA, 1984; ISBN 9780471879312. [Google Scholar]
- Jackson, W.A.; Asmussen, L.E.; Hauser, E.W.; White, A.W. Nitrate in surface and subsurface flow from a small agricultural watershed. J. Environ. Qual. 1973, 2, 480–482. [Google Scholar] [CrossRef]
- Vervoort, R.W.; Radcliffe, D.E.; Cabrera, M.L.; Latimore, M., Jr. Nutrient losses in surface and subsurface flow from pasture applied poultry litter and composted poultry litter. Nutr. Cycl. Agroecosystems 1998, 50, 287–290. [Google Scholar] [CrossRef]
- Castro, A.; Stulen, I.; De Kok, L.J. Atmospheric NH3 as plant nutrient: A case study with Brassica oleracea. Environ. Pollut. 2008, 154, 467–472. [Google Scholar] [CrossRef]
- Farquhar, G.D.; Firth, P.M.; Wetselaar, R.; Weir, B. On the gaseous exchange of ammonia between leaves and the environment: Determination of the ammonia compensation point. Plant Physiol. 1980, 66, 710–714. [Google Scholar] [CrossRef] [PubMed]
- Nemitz, E.; Milford, C.; Sutton, M.A. A two-layer canopy compensation point model for describing bi-directional biosphere-atmosphere exchange of ammonia. Q. J. Royal. Met. Soc. 2001, 127, 815–833. [Google Scholar] [CrossRef]
- Asman, W.A.H.; Sutton, M.A.; Schjorring, J.K. Ammonia: Emission, atmospheric transport and deposition. New Phytol. 1998, 139, 27–48. [Google Scholar] [CrossRef]
- Högberg, P. Tansley Review No. 95 15N natural abundance in soil-plant systems. New Phytol. 1997, 137, 179–203. [Google Scholar] [CrossRef]
- Frank, D.A.; Evans, R.D.; Tracy, B.F. The role of ammonia volatilization in controlling the natural 15N abundance of a grazed grassland. Biogeochemistry 2004, 68, 169–178. [Google Scholar] [CrossRef]
- Möller, K.; Müller, T. Effects of anaerobic digestion on digestate nutrient availability and crop growth: A review. Eng. Life Sci. 2012, 12, 242–257. [Google Scholar] [CrossRef]
- Gericke, D.; Bornemann, L.; Kage, H.; Pacholski, A. Modelling ammonia losses after field application of biogas slurry in energy crop rotations. Water Air Soil Pollut. 2012, 223, 29–47. [Google Scholar] [CrossRef]
- Möller, K. Effects of anaerobic digestion on soil carbon and nitrogen turnover, N emissions, and soil biological activity. A review. Agron. Sustain. Dev. 2015, 35, 1021–1041. [Google Scholar] [CrossRef]
- Abubaker, J.; Risberg, K.; Pell, M. Biogas residues as fertilisers—Effects on wheat growth and soil microbial activities. Appl. Energy 2012, 99, 126–134. [Google Scholar] [CrossRef]
- Quakernack, R.; Pacholski, A.; Techow, A.; Herrmann, A.; Taube, F.; Kage, H. Ammonia volatilization and yield response of energy crops after fertilization with biogas residues in a coastal marsh of Northern Germany. Agric. Ecosyst. Environ. 2012, 160, 66–74. [Google Scholar] [CrossRef]
- Wulf, S.; Maeting, M.; Clemens, J. Application technique and slurry co-fermentation effects on ammonia, nitrous oxide, and methane emissions after spreading: I. Ammonia volatilization. J. Environ. Qual. 2002, 31, 1789–1794. [Google Scholar] [CrossRef] [PubMed]
- Ni, K.; Pacholski, A.; Gericke, D.; Kage, H. Analysis of ammonia losses after field application of biogas slurries by an empirical model. J. Plant Nutr. Soil Sci. 2012, 175, 253–264. [Google Scholar] [CrossRef]
- Nyord, T.; Hansen, M.N.; Birkmose, T.S. Ammonia volatilisation and crop yield following land application of solid–liquid separated, anaerobically digested, and soil injected animal slurry to winter wheat. Agric. Ecosyst. Environ. 2012, 160, 75–81. [Google Scholar] [CrossRef]
- Wolf, U. Emission of NH3, N2O and CO2 following the application of differently treated digestates from biogas production. Ph.D. Thesis, Technische Universität Carolo-Wilhelmina zu Braunschweig, Braunschweig, Germany, 2014. [Google Scholar]
- Senbayram, M.; Chen, R.; Mühling, K.H.; Dittert, K. Contribution of nitrification and denitrification to nitrous oxide emissions from soils after application of biogas waste and other fertilizers. Rapid Commun. Mass Spectrom. 2009, 23, 2489–2498. [Google Scholar] [CrossRef]
- Soil Survey Staff. Illustrated Guide to Soil Taxonomy: Version 2.0; USDA: Lincoln, NE, USA, 2015.
- IUSS Working Group WRB. World Reference Base for Soil Resources 2014: International Soil Classification System for Naming Soils and Creating Legends for Soil Maps; FAO: Rome, Italy, 2014; ISBN 978-92-5-108369-7. [Google Scholar]
- Pacholski, A.; Cai, G.; Nieder, R.; Richter, J.; Fan, X.; Zhu, Z.; Roelcke, M. Calibration of a simple method for determining ammonia volatilization in the field—Comparative measurements in Henan Province, China. Nutr. Cycl. Agroecosys 2006, 74, 259–273. [Google Scholar] [CrossRef]
- Pacholski, A. Calibrated passive sampling—Multi-plot field measurements of NH3 emissions with a combination of dynamic tube method and passive samplers. J. Vis. Exp. 2016, 109, e53273. [Google Scholar] [CrossRef]
- Auerswald, K.; Schäufele, R.; Schnyder, H. Paths of nitrogen transfer from Trifolium repens to non-legume plants in unfertilised pastures. In Grassland in a Changing World: Proceedings of the 23th General Meeting of the European Grassland Federation Kiel, Germany, August 29th–September 2nd 2010; Schnyder, H., Isselstein, J., Taube, F., Auerswald, K., Schellberg, J., Wachendorf, M., Herrmann, A., Gierus, M., Wrage, N., Eds.; Mecke Druck und Verlag: Duderstadt, Germany, 2010; pp. 752–754. ISBN 978-3-86944-021-7. [Google Scholar]
- R Core Team. R: A Language and Environment for Statistical Computing; R Foundation for Statistical Computing: Vienna, Austria, 2022. [Google Scholar]
- Hotelling, H. The teaching of statistics. Ann. Math. Stat. 1940, 11, 457–470. [Google Scholar] [CrossRef]
- Simon, A.I.L. Langzeitwirkungen von Gärresten in Energiepflanzenfruchtfolgen auf Bodeneigenschaften und Bodenprozesse unter den Bedingungen des ökologischen Landbaus, 1. Auflage; Verlag Dr. Köster: Berlin, Germany, 2021; ISBN 9783968310138. [Google Scholar]
- Boaretto, R.M.; Mattos, D., Jr.; Quaggio, J.A.; Cantarella, H.; Trivelin, P.C.O. Absorption of 15NH3 volatilized from urea by Citrus trees. Plant Soil 2013, 365, 283–290. [Google Scholar] [CrossRef]
- Bergamo Fenilli, T.A.; Reichardt, K.; Ocheuze Trivelin, P.C.; Favarin, J.L. Volatilization of ammonia derived from fertilizer and its reabsorption by coffee plants. Commun. Soil Sci. Plant Anal. 2007, 38, 1741–1751. [Google Scholar] [CrossRef]
- Randall, G.W.; Mulla, D.J. Nitrate nitrogen in surface waters as influenced by climatic conditions and agricultural practices. J. Environ. Qual. 2001, 30, 337–344. [Google Scholar] [CrossRef]
- Sharpley, A.N.; Syers, J.K. Amounts and relative significance of runoff types in the transport of nitrogen into a stream draining an agricultural watershed. Water Air Soil Pollut Water Air Soil Pollut. 1981, 15, 299–308. [Google Scholar] [CrossRef]
- Reents, H.J.; Simon, A.; Levin, K.; Hülsbergen, K.-J. Wirkungen von Biogassystemen auf Bodenfruchtbarkeit, Ertrag und Produktqualität unter den Bedingungen des ökologischen Landbaus: BOFRUBIOGAS; Project Report; Bavarian State Ministry for Food, Agriculture and Forestry: Munich, Germany, 2018.
- Taylor, S.L.; Payton, M.E.; Raun, W.R. Relationship between mean yield, coefficient of variation, mean square error, and plot size in wheat field experiments. Commun. Soil Sci. Plant Anal. 2008, 30, 1439–1447. [Google Scholar] [CrossRef]
- Hurlbert, S.H. Pseudoreplication and the design of ecological field experiments. Ecol. Monogr. 1984, 54, 187–211. [Google Scholar] [CrossRef]
- Auerswald, K.; Fischer, F.K.; Kistler, M.; Treisch, M.; Maier, H.; Brandhuber, R. Behavior of farmers in regard to erosion by water as reflected by their farming practices. Sci. Total Environ. 2018, 613–614, 1–9. [Google Scholar] [CrossRef]
- Ankenbrand, E.; Schwertmann, U. The land consolidation project of Freinhausen, Bavaria. In Soil Erosion Protection Measures in Europe, Proceedings of the European Community Workshop on Soil Erosion Protection, Freising, Federal Republic of Germany, 24–26 May 1988; Schwertmann, U., Rickson, R.J., Auerswald, K., Eds.; CATENA Verlag: Cremlingen-Destedt, Germany, 1989; pp. 167–173. ISBN 3-923381-16-6. [Google Scholar]
- Boardman, J.; Vandaele, K. Effect of the spatial organization of land use on muddy flooding from cultivated catchments and recommendations for the adoption of control measures. Earth Surf. Process Landforms 2016, 41, 336–343. [Google Scholar] [CrossRef]
- Chartin, C.; Bourennane, H.; Salvador-Blanes, S.; Hinschberger, F.; Macaire, J.-J. Classification and mapping of anthropogenic landforms on cultivated hillslopes using DEMs and soil thickness data—Example from the SW Parisian Basin, France. Geomorphology 2011, 135, 8–20. [Google Scholar] [CrossRef]
- Kriszan, M.; Schellberg, J.; Amelung, W.; Gebbing, T.; Pötsch, E.M.; Kühbauch, W. Revealing N management intensity on grassland farms based on natural δ15N abundance. Agric. Ecosyst. Environ. 2014, 184, 158–167. [Google Scholar] [CrossRef]
- Schwertl, M.; Auerswald, K.; Schäufele, R.; Schnyder, H. Carbon and nitrogen stable isotope composition of cattle hair: Ecological fingerprints of production systems? Agric. Ecosyst. Environ. 2005, 109, 153–165. [Google Scholar] [CrossRef]
- Vos, C.; Rösemann, C.; Haenel, H.-D.; Dämmgen, U.; Döring, U.; Wulf, S.; Eurich-Menden, B.; Freibauer, A.; Döhler, H.; Schreiner, C.; et al. Calculations of Gaseous and Particulate Emissions from GERMAN Agriculture 1990–2020: Report on Methods and Data (RMD) Submission 2022; Thünen Report No. 91; Johann Heinrich von Thünen-Institut: Braunschweig, Germany, 2022; Available online: https://d-nb.info/1253489017/ (accessed on 26 April 2023).
- Liu, Y.; Liao, Y.; Liu, W. High nitrogen application rate and planting density reduce wheat grain yield by reducing filling rate of inferior grain in middle spikelets. Crop J. 2021, 9, 412–426. [Google Scholar] [CrossRef]
- Husted, S.; Mattson, M.; Schjoerring, J.K. Ammonia compensation points in two cultivars of Hordeum vulgare L. during vegetative and generative growth. Plant Cell Environ. 1996, 19, 1299–1306. [Google Scholar] [CrossRef]
- Mattsson, M.; Herrmann, B.; David, M.; Loubet, B.; Riedo, M.; Theobald, M.R.; Sutton, M.A.; Bruhn, D.; Neftel, A.; Schjoerring, J.K. Temporal variability in bioassays of the stomatal ammonia compensation point in relation to plant and soil nitrogen parameters in intensively managed grassland. Biogeosciences 2009, 6, 171–179. [Google Scholar] [CrossRef]
- Schjørring, J.K.; Nielsen, N.E.; Jensen, H.E.; Gottschau, A. Nitrogen losses from field-grown spring barley plants as affected by rate of nitrogen application. Plant Soil 1989, 116, 167–175. [Google Scholar] [CrossRef]
- Sutton, M.A.; Fowler, D.; Moncrieft, J.B.; Storeton-West, R.L. The exchange of atmospheric ammonia with vegetated surfaces. II: Fertilized vegetation. Q. J. R. Meteorol. Soc. 1993, 119, 1047–1070. [Google Scholar] [CrossRef]
- Edmeades, D.C. The long-term effects of manures and fertilisers on soil productivity and quality: A review. Nutr. Cycl. Agroecosys 2003, 66, 165–180. [Google Scholar] [CrossRef]
- Rochette, P.; Angers, D.A.; Chantigny, M.H.; Gagnon, B.; Bertrand, N. N2O fluxes in soils of contrasting textures fertilized with liquid and solid dairy cattle manures. Can. J. Soil. Sci. 2008, 88, 175–187. [Google Scholar] [CrossRef]
- Gutser, R.; Ebertseder, T.; Weber, A.; Schraml, M.; Schmidhalter, U. Short-term and residual availability of nitrogen after long-term application of organic fertilizers on arable land. J. Plant Nutr. Soil Sc. 2005, 168, 439–446. [Google Scholar] [CrossRef]
- Paul, J.W.; Beauchamp, E.G. Nitrogen availability for corn in soils amended with urea, cattle slurry, and solid and composted manures. Can. J. Soil. Sci. 1993, 73, 253–266. [Google Scholar] [CrossRef]
- Sutton, M.A.; Schjorring, J.K.; Wyers, G.P.; Duyzer, J.; Ineson, P.; Powlson, D. Plant-atmosphere exchange of ammonia. Philos. Trans. Phys. Sci. Eng. 1995, 351, 261–278. [Google Scholar]
- Personne, E.; Tardy, F.; Génermont, S.; Decuq, C.; Gueudet, J.-C.; Mascher, N.; Durand, B.; Masson, S.; Lauransot, M.; Fléchard, C.; et al. Investigating sources and sinks for ammonia exchanges between the atmosphere and a wheat canopy following slurry application with trailing hose. Agric. For. Meteorol. 2015, 207, 11–23. [Google Scholar] [CrossRef]
- Zhang, L.; Wright, L.P.; Asman, W.A.H. Bi-directional air-surface exchange of atmospheric ammonia: A review of measurements and a development of a big-leaf model for applications in regional-scale air-quality models. J. Geophys. Res. 2010, 115, D20310. [Google Scholar] [CrossRef]
- Berry, P.M.; Sylvester-Bradley, R.; Philipps, L.; Hatch, D.J.; Cuttle, S.P.; Rayns, F.W.; Gosling, P. Is the productivity of organic farms restricted by the supply of available nitrogen? Soil Use Manag. 2002, 18, 248–255. [Google Scholar] [CrossRef]
- Kubota, H.; Iqbal, M.; Quideau, S.; Dyck, M.; Spaner, D. Agronomic and physiological aspects of nitrogen use efficiency in conventional and organic cereal-based production systems. Renew Agric. Food. Syst. 2017, 33, 443–466. [Google Scholar] [CrossRef]
- Pang, X.P.; Letey, J. Organic farming: Challenge of timing nitrogen availability to crop nitrogen requirements. Soil Sci. Soc. Am. J. 2000, 64, 247–253. [Google Scholar] [CrossRef]
- Levin, K.S.; Auerswald, K.; Reents, H.J.; Hülsbergen, K.-J. Effects of organic energy crop rotations and fertilisation with the liquid digestate phase on organic carbon in the topsoil. Agronomy 2021, 11, 1393. [Google Scholar] [CrossRef]
- Poyda, A.; Levin, K.S.; Hülsbergen, K.-J.; Auerswald, K. Perennial crops can compensate for low soil carbon inputs from maize in ley-arable systems. Plants 2023, 12, 29. [Google Scholar] [CrossRef]







| Crop Rotation | Year 1 | Year 2 | Year 3 Cover Crop | Year 3 | Year 4 |
|---|---|---|---|---|---|
| CR1a | Clover–grass | Wheat (39) | Rye (10) | Maize (51) | Triticale (33) |
| CR2 | Clover–grass | Wheat (28) | Rye (10) | Maize (46) | Wheat (30) |
| CR3 | Clover–grass | Wheat (26) | Legume/non-legume mixture (7) | Lupin 1,2 | Wheat 3 (29) |
| CR4 | Clover–grass | Wheat (29) | Legume/non-legume mixture (7) | Soybean 1 | Wheat 4 (28) |
| CR5 | Clover–grass | Wheat (40) | White clover (3) | Maize and white clover (42) | Triticale (35) |
| CR6 | Clover–grass | Wheat (35) | White clover (3) | Maize and white clover (37) | Maize and white clover (38) |
| CR1b | Clover–grass | Wheat (39) | Rye (10) | Maize (51) | Triticale (33) |
| CR7 | Clover–grass | Wheat (35) | Legume/non-legume mixture (6) | Maize (42) | Triticale (35) |
| CR8 | Clover–grass | Wheat (40) | Legume/non-legume mixture (6) | Maize (37) | Maize 5 (30) |
| CR9 | Clover–grass (28) | Wheat (64) | Clover–grass | Clover–grass | Triticale (45) |
| CR10 | Clover–grass (46) | Wheat (68) | Clover–grass | Clover–grass | Clover–grass (19) |
| CR1c | Clover–grass | Wheat (39) | Rye (10) | Maize (51) | Triticale (33) |
| Variable | Content (%, Dry Weight Basis, Standard Deviation in Parentheses) |
|---|---|
| Dry matter | 8.1 (1.3) |
| Loss on ignition | 72.3 (2.6) |
| Total nitrogen | 6.3 (0.9) |
| Ammonium nitrogen | 3.3 (0.6) |
| Phosphate (as P2O5) | 2.2 (0.3) |
| Potassium (as K2O) | 8.9 (1.0) |
| Carbon | 39.3 (0.9) |
| Sulfur | 0.5 (0.05) |
Disclaimer/Publisher’s Note: The statements, opinions and data contained in all publications are solely those of the individual author(s) and contributor(s) and not of MDPI and/or the editor(s). MDPI and/or the editor(s) disclaim responsibility for any injury to people or property resulting from any ideas, methods, instructions or products referred to in the content. |
© 2023 by the authors. Licensee MDPI, Basel, Switzerland. This article is an open access article distributed under the terms and conditions of the Creative Commons Attribution (CC BY) license (https://creativecommons.org/licenses/by/4.0/).
Share and Cite
Levin, K.S.; Winkhart, F.; Hülsbergen, K.-J.; Reents, H.J.; Auerswald, K. Artefacts in Field Trial Research—Lateral Ammonia Fluxes Confound Fertiliser Plot Experiments. Agriculture 2023, 13, 1617. https://doi.org/10.3390/agriculture13081617
Levin KS, Winkhart F, Hülsbergen K-J, Reents HJ, Auerswald K. Artefacts in Field Trial Research—Lateral Ammonia Fluxes Confound Fertiliser Plot Experiments. Agriculture. 2023; 13(8):1617. https://doi.org/10.3390/agriculture13081617
Chicago/Turabian StyleLevin, Karin S., Felizitas Winkhart, Kurt-Jürgen Hülsbergen, Hans Jürgen Reents, and Karl Auerswald. 2023. "Artefacts in Field Trial Research—Lateral Ammonia Fluxes Confound Fertiliser Plot Experiments" Agriculture 13, no. 8: 1617. https://doi.org/10.3390/agriculture13081617
APA StyleLevin, K. S., Winkhart, F., Hülsbergen, K.-J., Reents, H. J., & Auerswald, K. (2023). Artefacts in Field Trial Research—Lateral Ammonia Fluxes Confound Fertiliser Plot Experiments. Agriculture, 13(8), 1617. https://doi.org/10.3390/agriculture13081617

