On-the-Go Vis-NIR Spectroscopy for Field-Scale Spatial-Temporal Monitoring of Soil Organic Carbon
Abstract
1. Introduction
2. Materials and Methods
2.1. Study Area
2.2. Data Collection
2.3. Data Preprocessing
2.4. Model Training and Evaluation
3. Results and Discussion
3.1. Model Structure
3.2. Performance Metrics of PLSR and OK
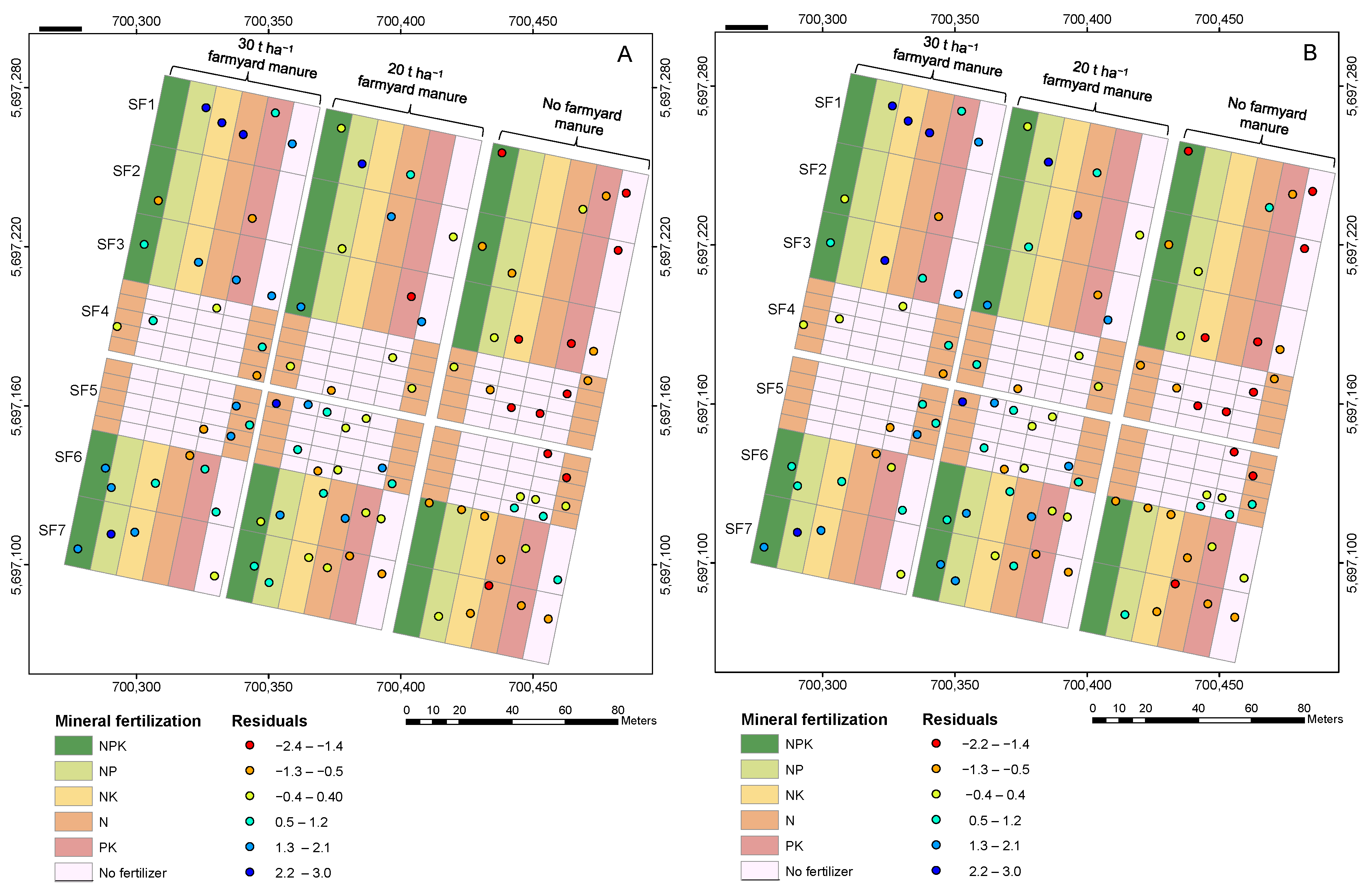
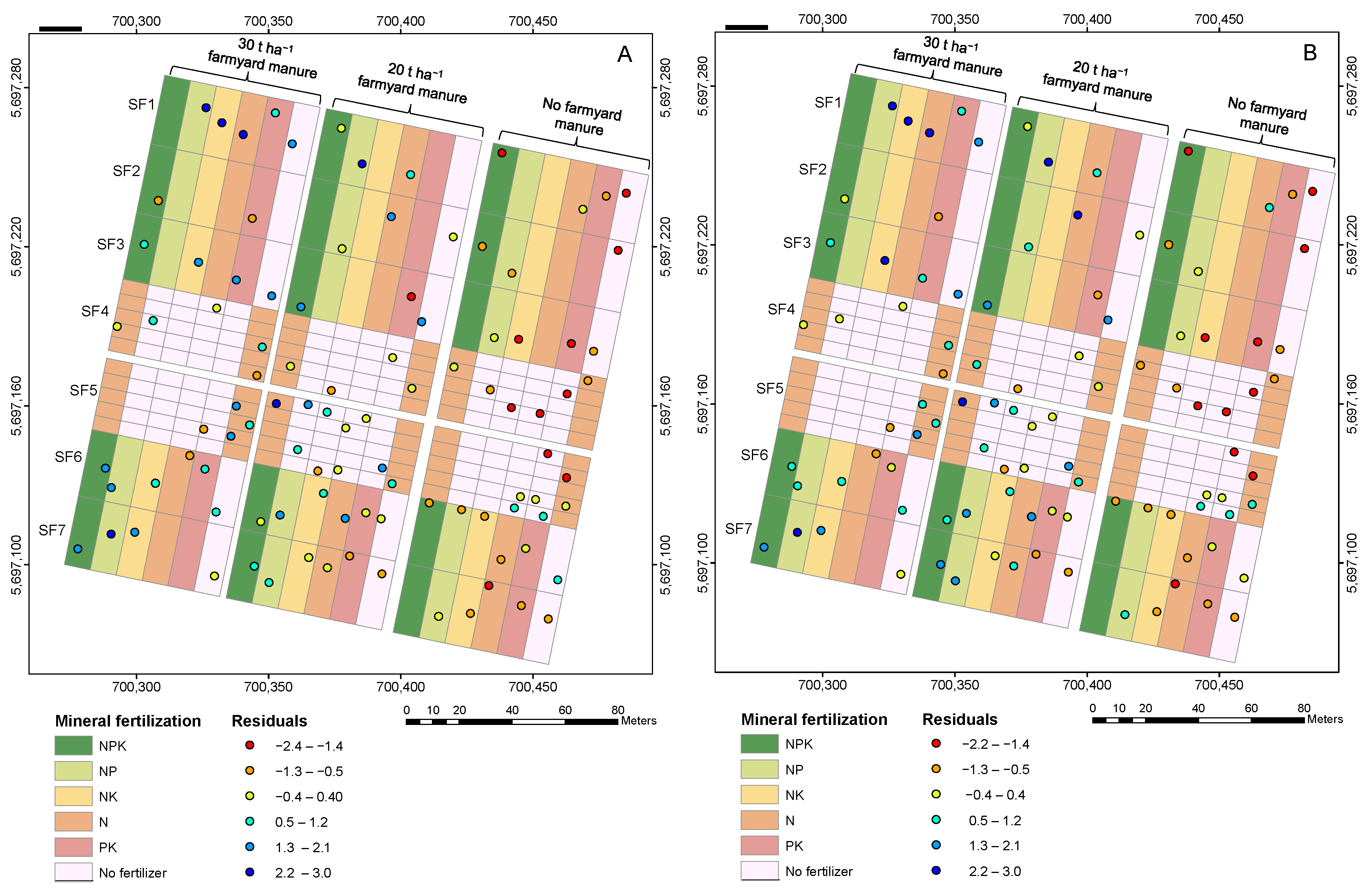
3.3. Spatially Continuous Predictions of SOC
4. Conclusions
Author Contributions
Funding
Institutional Review Board Statement
Data Availability Statement
Conflicts of Interest
References
- UNFCCC. Paris Agreement. In Proceedings of the Conference of the Parties to the United Nations Framework Convention on Climate Change, Paris, France, 12 December 2023. [Google Scholar]
- Acharya, U.; Lal, R.; Chandra, R. Data Driven Approach on In-Situ Soil Carbon Measurement. Carbon Manag. 2022, 13, 401–419. [Google Scholar] [CrossRef]
- Stenberg, B.; Rossel, R.A.V.; Mouazen, A.M.; Wetterlind, J. Visible and Near Infrared Spectroscopy in Soil Science. Adv. Agron. 2010, 107, 163–215. [Google Scholar] [CrossRef]
- Knadel, M.; Thomsen, A.; Greve, M.H. Multisensor On-The-Go Mapping of Soil Organic Carbon Content. Soil Sci. Soc. Am. J. 2011, 75, 1799–1806. [Google Scholar] [CrossRef]
- Ben Dor, E.; Ong, C.; Lau, I.C. Reflectance Measurements of Soils in the Laboratory: Standards and Protocols. Geoderma 2015, 245, 112–124. [Google Scholar] [CrossRef]
- Nocita, M.; Stevens, A.; van Wesemael, B.; Aitkenhead, M.; Bachmann, M.; Barthès, B.; Dor, E.B.; Brown, D.J.; Clairotte, M.; Csorba, A.; et al. Soil Spectroscopy: An Alternative to Wet Chemistry for Soil Monitoring. Adv. Agron. 2015, 132, 139–159. [Google Scholar] [CrossRef]
- Wetterlind, J.; Piikki, K.; Stenberg, B.; Söderström, M. Exploring the Predictability of Soil Texture and Organic Matter Content with a Commercial Integrated Soil Profiling Tool. Eur. J. Soil Sci. 2015, 66, 631–638. [Google Scholar] [CrossRef]
- Cho, Y.; Sudduth, K.A.; Drummond, S.T. Profile Soil Property Estimation Using a Vis-Nir-Ec-Force Probe. Trans. ASABE 2017, 60, 683–692. [Google Scholar] [CrossRef]
- Viscarra Rossel, R.A.; Lobsey, C.R.; Sharman, C.; Flick, P.; McLachlan, G. Novel Proximal Sensing for Monitoring Soil Organic C Stocks and Condition. Environ. Sci. Technol. 2017, 51, 5630–5641. [Google Scholar] [CrossRef]
- Huang, X.; Senthilkumar, S.; Kravchenko, A.; Thelen, K.; Qi, J. Total Carbon Mapping in Glacial till Soils Using Near-Infrared Spectroscopy, Landsat Imagery and Topographical Information. Geoderma 2007, 141, 34–42. [Google Scholar] [CrossRef]
- Muñoz, J.D.; Kravchenko, A. Soil Carbon Mapping Using On-the-Go near Infrared Spectroscopy, Topography and Aerial Photographs. Geoderma 2011, 166, 102–110. [Google Scholar] [CrossRef]
- Knadel, M.; Thomsen, A.; Schelde, K.; Greve, M.H. Soil Organic Carbon and Particle Sizes Mapping Using Vis-NIR, EC and Temperature Mobile Sensor Platform. Comput. Electron. Agric. 2015, 114, 134–144. [Google Scholar] [CrossRef]
- Ladoni, M.; Bahrami, H.A.; Alavipanah, S.K.; Norouzi, A.A. Estimating Soil Organic Carbon from Soil Reflectance: A Review. Precis. Agric. 2010, 11, 82–99. [Google Scholar] [CrossRef]
- Padarian, J.; Minasny, B.; McBratney, A.B. Machine Learning and Soil Sciences: A Review Aided by Machine Learning Tools. Soil 2020, 6, 35–52. [Google Scholar] [CrossRef]
- Bartholomeus, H.; Kooistra, L.; Stevens, A.; van Leeuwen, M.; van Wesemael, B.; Ben-Dor, E.; Tychon, B. Soil Organic Carbon Mapping of Partially Vegetated Agricultural Fields with Imaging Spectroscopy. Int. J. Appl. Earth Obs. Geoinf. 2011, 13, 81–88. [Google Scholar] [CrossRef]
- Angelopoulou, T.; Tziolas, N.; Balafoutis, A.; Zalidis, G.; Bochtis, D. Remote Sensing Techniques for Soil Organic Carbon Estimation: A Review. Remote Sens. 2019, 11, 676. [Google Scholar] [CrossRef]
- Minasny, B.; McBratney, A.B.; Bellon-Maurel, V.; Roger, J.M.; Gobrecht, A.; Ferrand, L.; Joalland, S. Removing the Effect of Soil Moisture from NIR Diffuse Reflectance Spectra for the Prediction of Soil Organic Carbon. Geoderma 2011, 167, 118–124. [Google Scholar] [CrossRef]
- Bellon-Maurel, V.; McBratney, A. Near-Infrared (NIR) and Mid-Infrared (MIR) Spectroscopic Techniques for Assessing the Amount of Carbon Stock in Soils—Critical Review and Research Perspectives. Soil Biol. Biochem. 2011, 43, 1398–1410. [Google Scholar] [CrossRef]
- Wu, C.Y.; Jacobson, A.R.; Laba, M.; Baveye, P.C. Accounting for Surface Roughness Effects in the Near-Infrared Reflectance Sensing of Soils. Geoderma 2009, 152, 171–180. [Google Scholar] [CrossRef]
- Ge, Y.; Morgan, C.L.S.; Grunwald, S.; Brown, D.J.; Sarkhot, D.V. Comparison of Soil Reflectance Spectra and Calibration Models Obtained Using Multiple Spectrometers. Geoderma 2011, 161, 202–211. [Google Scholar] [CrossRef]
- Körschens, M. The Importance of Long-Term Field Experiments for Soil Science and Environmental Research–A Review. Plant Soil Environ. 2006, 52, 1–8. [Google Scholar]
- Altermann, M.; Rinklebe, J.; Merbach, I.; Körschens, M.; Langer, U.; Hofmann, B. Chernozem—Soil of the Year 2005. J. Plant Nutr. Soil Sci. 2005, 168, 725–740. [Google Scholar] [CrossRef]
- Ad-hoc-AG Boden. Bodenkundliche Kartieranleitung, 5th ed.; Bundesanstalt für Geowissenschaften und Rohstoffe in Zusammenarbeit mit den Staatlichen Geologischen Diensten: Stuttgart, Germany, 2005; ISBN 978-3-510-95920-4. [Google Scholar]
- Merbach, I.; Schulz, E. Long-Term Fertilization Effects on Crop Yields, Soil Fertility and Sustainability in the Static Fertilization Experiment Bad Lauchstädt under Climatic Conditions 2001-2010. Arch. Agron. Soil Sci. 2013, 59, 1041–1057. [Google Scholar] [CrossRef]
- Körschens, M.; Pfefferkorn, A. Bad Lauchstädt—The Static Fertilization Experiment and Other Long-Term Field Experiments; UFZ—Umweltforschungszentrum Leipzig-Halle GmbH: Leipzig, Germany, 1998. [Google Scholar]
- Ellinger, M.; Merbach, I.; Werban, U.; Ließ, M. Error Propagation in Spectrometric Functions of Soil Organic Carbon. SOIL 2019, 5, 275–288. [Google Scholar] [CrossRef]
- Kennard, R.W.; Stone, L.A. Computer Aided Design of Experiments. Technometrics 1969, 11, 137–148. [Google Scholar] [CrossRef]
- Christy, C.D. Real-Time Measurement of Soil Attributes Using on-the-Go near Infrared Reflectance Spectroscopy. Comput. Electron. Agric. 2008, 61, 10–19. [Google Scholar] [CrossRef]
- Filzmoser, P.; Gschwandtner, M. Package ‘ Mvoutlier ’. Multivariate Outlier Detection Based on Robust Methods, R Package Version 2.1.1; The R Foundation for Statistical Computing: Vienna, Austria, 2022. [Google Scholar]
- Savitzky, A.; Golay, M.J.E. Smoothing and Differentiation of Data by Simplified Least Squares Procedures. Anal. Chem. 1964, 36, 1627–1639. [Google Scholar] [CrossRef]
- Clark, R.N.; Roush, T.L. Reflectance Spectroscopy: Quantitative Analysis Techniques for Remote Sensing Applications. J. Geophys. Res. 1984, 89, 6329–6340. [Google Scholar] [CrossRef]
- Hopkins, D.W. What Is a Norris Derivative? NIR News 2001, 12, 3–5. [Google Scholar] [CrossRef]
- Martens, H.; Jensen, S.A.; Geladi, P. Multivariate Linearity Transformations for near Infrared Reflectance Spectroscopy. In Proceedings of the Nordic Symposium Applied Statistics; Christie, O.H.J., Ed.; Stokkland Forlag: Stavanger, Norway, 1983; pp. 205–234. [Google Scholar]
- Stevens, A.; Ramirez-Lopez, L.; Hans, G. Package ‘ Prospectr ’—Miscellaneous Functions for Processing and Sample Selection of Spectroscopic Data; Version 0.2.6. 2022. Available online: https://github.com/l-ramirez-lopez/prospectr (accessed on 11 August 2023).
- Angelopoulou, T.; Balafoutis, A.; Zalidis, G.; Bochtis, D. From Laboratory to Proximal Sensing Spectroscopy for Soil Organic Carbon Estimation-A Review. Sustainability 2020, 12, 443. [Google Scholar] [CrossRef]
- Pebesma, E.J. Multivariable Geostatistics in S: The Gstat Package. Comput. Geosci. 2004, 30, 683–691. [Google Scholar] [CrossRef]
- Pebesma, E.; Graeler, B. Package “gstat” Title Spatial and Spatio-Temporal Geostatistical Modelling, Prediction and Simulation, Version 2.1-1. 2023. Available online: https://github.com/r-spatial/gstat/ (accessed on 11 August 2023).
- Wickham, H. ggplot2: Elegant Graphics for Data Analysis; Springer: New York, NY, USA, 2016; ISBN 978-3-319-24277-4. Available online: https://ggplot2.tidyverse.org (accessed on 11 August 2023).
- Wickham, H. Ggplot2. Wiley Interdiscip. Rev. Comput. Stat. 2011, 3, 180–185. [Google Scholar] [CrossRef]
- Sarkar, D. Lattice: Multivariate Data Visualization with R. J. Stat. Softw. 2008, 25. [Google Scholar] [CrossRef]
- Dotto, A.C.; Dalmolin, R.S.D.; ten Caten, A.; Grunwald, S. A Systematic Study on the Application of Scatter-Corrective and Spectral-Derivative Preprocessing for Multivariate Prediction of Soil Organic Carbon by Vis-NIR Spectra. Geoderma 2018, 314, 262–274. [Google Scholar] [CrossRef]
- Rinnan, Å.; van den Berg, F.; Engelsen, S.B. Review of the Most Common Pre-Processing Techniques for near-Infrared Spectra. TrAC Trends Anal. Chem. 2009, 28, 1201–1222. [Google Scholar] [CrossRef]
- Tabatabai, S.; Knadel, M.; Thomsen, A.; Greve, M.H. On-the-Go Sensor Fusion for Prediction of Clay and Organic Carbon Using Pre-processing Survey, Different Validation Methods, and Variable Selection. Soil Sci. Soc. Am. J. 2019, 83, 300–310. [Google Scholar] [CrossRef]
- Viscarra Rossel, R.A.; McGlynn, R.N.; McBratney, A.B. Determining the Composition of Mineral-Organic Mixes Using UV-Vis-NIR Diffuse Reflectance Spectroscopy. Geoderma 2006, 137, 70–82. [Google Scholar] [CrossRef]
- Kravchenko, A.N. Influence of Spatial Structure on Accuracy of Interpolation Methods. Soil Sci. Soc. Am. J. 2003, 67, 1564–1571. [Google Scholar] [CrossRef]
- Sudduth, K.A.; Hummel, J.W. Portable, near-Infrared Spectrophotometer for Rapid Soil Analysis. Trans. Am. Soc. Agric. Eng. 1993, 36, 185–194. [Google Scholar] [CrossRef]
- Mouazen, A.M.; Kuang, B. On-Line Visible and near Infrared Spectroscopy for in-Fi Eld Phosphorous Management. Soil Tillage Res. 2016, 155, 471–477. [Google Scholar] [CrossRef]
- Cressie, N. Block Kriging for Lognormal Spatial Processes. Math. Geol. 2006, 38, 413–443. [Google Scholar] [CrossRef]
- Kang, J.; Jin, R.; Li, X.; Zhang, Y. Block Kriging with Measurement Errors: A Case Study of the Spatial Prediction of Soil Moisture in the Middle Reaches of Heihe River Basin. IEEE Geosci. Remote Sens. Lett. 2017, 14, 87–91. [Google Scholar] [CrossRef]
- Croft, H.; Kuhn, N.J.; Anderson, K. On the Use of Remote Sensing Techniques for Monitoring Spatio-Temporal Soil Organic Carbon Dynamics in Agricultural Systems. Catena 2012, 94, 64–74. [Google Scholar] [CrossRef]
- Reyes, J.; Ließ, M. Can Soil Spectroscopy Contribute to Soil Organic Carbon Monitoring on Agricultural Soils? EGUsphere 2022. [Google Scholar] [CrossRef]
- Franceschini, M.H.D.; Demattê, J.A.M.; Kooistra, L.; Bartholomeus, H.; Rizzo, R.; Fongaro, C.T.; Molin, J.P. Effects of External Factors on Soil Reflectance Measured On-the-Go and Assessment of Potential Spectral Correction through Orthogonalisation and Standardisation Procedures. Soil Tillage Res. 2018, 177, 19–36. [Google Scholar] [CrossRef]












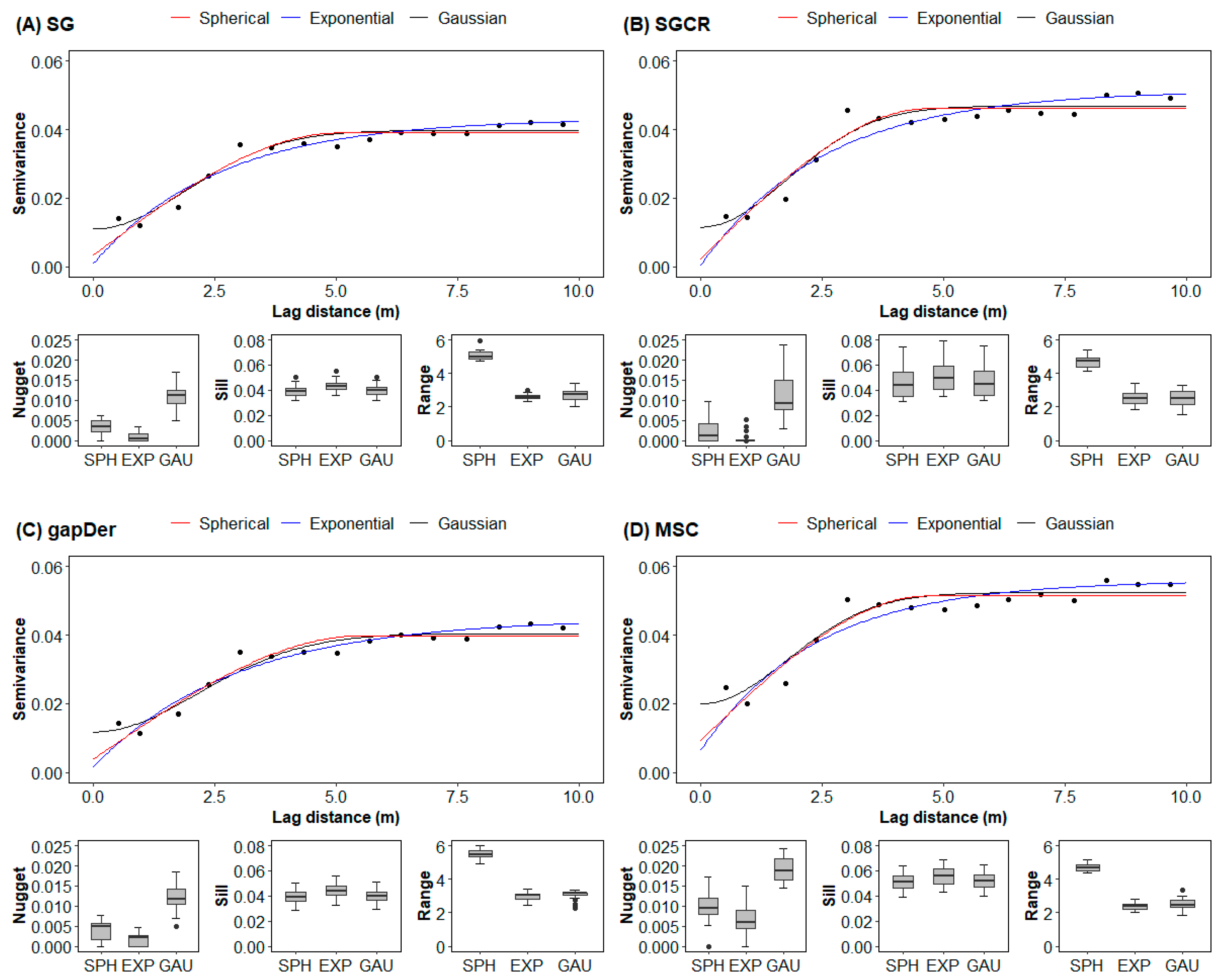
| Preprocessing Method | Abbreviation | Veris Wavelength Range |
|---|---|---|
| Savitzky–Golay | SG | 432–2201 |
| Savitzky–Golay w = 11 and continuum removal | SGCR | 432–2201 |
| Gap-Segment derivative (w = 11, s = 10) | gapDer | 408–2186 |
| Multiplicative scatter correction | MSC | 403–2201 |
Disclaimer/Publisher’s Note: The statements, opinions and data contained in all publications are solely those of the individual author(s) and contributor(s) and not of MDPI and/or the editor(s). MDPI and/or the editor(s) disclaim responsibility for any injury to people or property resulting from any ideas, methods, instructions or products referred to in the content. |
© 2023 by the authors. Licensee MDPI, Basel, Switzerland. This article is an open access article distributed under the terms and conditions of the Creative Commons Attribution (CC BY) license (https://creativecommons.org/licenses/by/4.0/).
Share and Cite
Reyes, J.; Ließ, M. On-the-Go Vis-NIR Spectroscopy for Field-Scale Spatial-Temporal Monitoring of Soil Organic Carbon. Agriculture 2023, 13, 1611. https://doi.org/10.3390/agriculture13081611
Reyes J, Ließ M. On-the-Go Vis-NIR Spectroscopy for Field-Scale Spatial-Temporal Monitoring of Soil Organic Carbon. Agriculture. 2023; 13(8):1611. https://doi.org/10.3390/agriculture13081611
Chicago/Turabian StyleReyes, Javier, and Mareike Ließ. 2023. "On-the-Go Vis-NIR Spectroscopy for Field-Scale Spatial-Temporal Monitoring of Soil Organic Carbon" Agriculture 13, no. 8: 1611. https://doi.org/10.3390/agriculture13081611
APA StyleReyes, J., & Ließ, M. (2023). On-the-Go Vis-NIR Spectroscopy for Field-Scale Spatial-Temporal Monitoring of Soil Organic Carbon. Agriculture, 13(8), 1611. https://doi.org/10.3390/agriculture13081611

